Decay Assessment of Stone-Built Cultural Heritage: The Case Study of the Cosenza Cathedral Façade (South Calabria, Italy)
Abstract
1. Introduction
2. Materials and Methods
2.1. IR Thermography
2.2. Photogrammetric Survey and 3D Reconstruction
2.3. Damage Analysis
2.4. Polarizing Optical Microscopy
2.5. Ion Chromatography and Fourier Transform Infrared Spectroscopy
3. Results
3.1. IR Thermography
- to map the different materials relating to the changes in the architectural system verifying the known historical information about the several restorations that the building has undergone in the past;
- to quickly assess the presence of thermal discontinuities attributable to efflorescence degradation, moisture, and physical damage on the stone surfaces of the façade.
3.2. Photogrammetric Survey and 3D Reconstruction
3.3. Damage Analysis
3.4. Polarizing Optical Microscopy
3.5. Ion Chromatography and Fourier Transform Infrared Spectroscopy
4. Discussion
5. Conclusions
Author Contributions
Funding
Institutional Review Board Statement
Informed Consent Statement
Data Availability Statement
Acknowledgments
Conflicts of Interest
References
- Diz-Mellado, E.; Mascort-Albea, E.J.; Romero-Hernández, R.; Galán-Marín, C.; Rivera-Gómez, C.; Ruiz-Jaramillo, J.; Jaramillo-Morilla, A. Non-destructive testing and Finite Element Method integrated procedure for heritage diagnosis: The Seville Cathedral case study. J. Build. Eng. 2021, 37, 102134. [Google Scholar] [CrossRef]
- Chastre, C.; Ludovico-Marques, M. Chapter 13—Nondestructive testing methodology to assess the conservation of historic stone buildings and monuments. In Handbook of Materials Failure Analysis; Makhlouf, A.S.H., Aliofkhazraei, M., Eds.; Butterworth-Heinemann: Oxford, UK, 2018; pp. 255–294. [Google Scholar] [CrossRef]
- Kilic, G. Using advanced NDT for historic buildings: Towards an integrated multidisciplinary health assessment strategy. J. Cult. Herit. 2015, 16, 526–535. [Google Scholar] [CrossRef]
- Bosiljkov, V.; Uranjek, M.; Žarnić, R.; Bokan-Bosiljkov, V. An integrated diagnostic approach for the assessment of historic masonry structures. J. Cult. Herit. 2010, 11, 239–249. [Google Scholar] [CrossRef]
- Bosiljkov, V.; Maierhofer, C.; Koepp, C.; Wöstmann, J. Assessment of Structure through Non-Destructive Tests (NDT) and Minor Destructive Tests (MDT) Investigation: Case Study of the Church at Carthusian Monastery at Žiče (SLOVENIA). Int. J. Archit. Herit. 2010, 4, 1–15. [Google Scholar] [CrossRef]
- Andreotti, D. Storia dei Cosentini, 1st ed.; Pellegrini: Cosenza, Italy, 1978; Volume 1. [Google Scholar]
- Rubino, G.E.; Teti, M.A. Cosenza. Le Città Nella Storia d’Italia, 1st ed.Laterza: Roma, Italy, 1997. [Google Scholar]
- Mascioni Organs. Available online: https://www.mascioni-organs.com/en/cosenza-italy-cathedral/ (accessed on 15 July 2021).
- Your Italy. Available online: https://www.youritaly.it/en/guides/calabria/the-city-of-cosenza (accessed on 15 July 2021).
- Crisci, G.M.; De Francesco, A.M.; Gattuso, C.; Miriello, D. Un metodo geochimico per la determinazione della provenienza di lapidei macroscopicamente omogenei. Un esempio di applicazione sui monumenti del centro storico di Cosenza. Arkos Sci. Restaur. Archit. 2012, 2, 52–59. [Google Scholar]
- Mastrandrea, A.; Muto, F.; Neri, C.; Papazzoni, C.A.; Perri, E.; Russo, F. Deep-Water Coral Banks: An Example from the “Calcare di Mendicino” (Upper Miocene, Nothern Calabria, Italy). Facies 2012, 47, 27–42. [Google Scholar] [CrossRef]
- Randazzo, L.; Collina, M.; Ricca, M.; Barbieri, L.; Bruno, F.; Arcudi, A.; La Russa, M. Damage Indices and Photogrammetry for Decay Assessment of Stone-Built Cultural Heritage: The Case Study of the San Domenico Church Main Entrance Portal (South Calabria, Italy). Sustainability 2020, 12, 5198. [Google Scholar] [CrossRef]
- Ricca, M.; Le Pera, E.; Licchelli, M.; Macchia, A.; Malagodi, M.; Randazzo, L.; Rovella, N.; Ruffolo, S.; Weththimuni, M.; La Russa, M. The CRATI Project: New Insights on the Consolidation of Salt Weathered Stone and the Case Study of San Domenico Church in Cosenza (South Calabria, Italy). Coatings 2019, 9, 330. [Google Scholar] [CrossRef]
- UNI 11182. Cultural Heritage. Natural and Artificial Stone. Description of the Alteration—Terminology and Definition; Ente Nazionale Italiano di Unificazione (UNI): Milan, Italy, 2006. [Google Scholar]
- Mercuri, F.; Cicero, C.; Orazi, N.; Paoloni, S.; Marinelli, M.; Zammit, U. Infrared Thermography Applied to the Study of Cultural Heritage. Int. J. Thermophys. 2015, 36, 1189–1194. [Google Scholar] [CrossRef]
- Moropoulou, A.; Avdelidis, N.P.; Karoglou, M.; Delegou, E.T.; Alexakis, E.; Keramidas, V. Multispectral Applications of Infrared Thermography in the Diagnosis and Protection of Built Cultural Heritage. Appl. Sci. 2018, 8, 284. [Google Scholar] [CrossRef]
- Yilmaz, H.M.; Yakar, M.; Gulec, S.A.; Dulgerler, O.N. Importance of digital close-range photogrammetry in documentation of cultural heritage. J. Cult. Herit. 2007, 8, 428–433. [Google Scholar] [CrossRef]
- Fitzner, B.; Heinrichs, K. Damage diagnosis at stone monuments—Weathering forms, damage categories and damage indices. Underst. Manag. Stone Decay. 2001, 45, 1–49. [Google Scholar]
- Fitzner, B.; Hinrichs, K.; La Bouchardiere, D. Damage Index for Stone Monuments. In Protection and Conservation of the Cultural Heritage of the Mediterranean Cities, Proceedings of the 5th International Symposium on the Conservation of Monuments in the Mediterranean Basin, Sevilla, Spain, 5–8 April 2000; Swets, Zeitlinger: Lisse, The Netherlands, 2000. [Google Scholar]
- Montana, G.; Randazzo, L.; Mazzoleni, P. Natural and anthropogenic sources of total suspended particulate and their contribution to the formation of black crusts on building stone materials of Catania (Sicily). Environ. Earth Sci. 2012, 67, 1097–1110. [Google Scholar] [CrossRef][Green Version]
- OSU Chemistry REEL Program. Available online: https://research.cbc.osu.edu/reel/research-modules/environmental-chemistry/instrumentation/instrument-calibration/ion-chromatography-theory/ (accessed on 15 July 2021).
- RTI Laboratories. Available online: https://rtilab.com/techniques/ftir-analysis/ (accessed on 15 July 2021).
- Folk, R.L. Spectral subdivision of limestone types. Bull. Am. Assoc. Pet. Geol. 1962, 1, 62–84. [Google Scholar]
- Dunham, R.J. Classification of Carbonate Rocks According to Depositional Textures. Amer. Ass. Pet. Geol. 1962, 108–121. [Google Scholar]
- Evans, I.S. Salt crystallization and rock weathering: A review. Rev. Géomorphol. Dyn. 1970, 19, 153–177. [Google Scholar]
- Winkler, E.M. Stone in Architectur, 1st ed.; Springer: Berlin/Heidelberg, Germany, 1994. [Google Scholar]
- Goudie, A.S.; Viles, H.A. Salt Weathering Hazard, 1st ed.; Wiley: London, UK, 1997. [Google Scholar]
- Rodriguez-Navarro, C.; Doehne, E. Salt weathering: Influence of evaporation rate, supersaturation and crystallization pattern. Earth Surf. Process. Landf. 1999, 24, 191–209. [Google Scholar] [CrossRef]
- Dei, L.M.; Mauro, M.; Baglioni, P.; Del Fa, C.M.; Fratini, F. Growth of crystal phases in porous media. Langmuir 1999, 15, 8915–8922. [Google Scholar] [CrossRef]









| Sample ID | Description | Height above Ground (m) | Employed Techniques |
|---|---|---|---|
| D1 | CLC, U | 1.1 | IC |
| D2 | CLC, GSL | 1.1 | IC |
| D3 | CLC, GSL | 2.3 | POM |
| D4 | CLC, GSL | 1.4 | FTIR |
| D5 | EF | 2.2 | IC, FTIR |
| D6 | D-CLC | 1.8 | IC |
| D7 | CLC, U | 3.0 | FTIR |
| D8 | CLC, BSL | 1.6 | POM |
| D9 | CLC, U | 2.6 | IC, FTIR |
| D10 | CLC, U | 1.9 | FTIR |
| D11 | D-CLC, EF-SEF | 2.3 | IC, FTIR |
| D12 | CLC, U | 1.2 | FTIR |
| D13 | CLC, BSL | 5.9 | POM |
| D14 | D-CLC, BSL | 4.6 | IC, FTIR |
| D15 | D-CLC, BSL | 4.8 | IC, FTIR |
| D16 | D-CLC | 4.9 | IC |
| D17 | CLC, U | 5.0 | IC |
| D18 | D-CLC | 5.4 | IC, FTIR |
| D19 | D-CLC | 5.5 | IC, FTIR |
| D20 | D-CLC, BSL | 5.5 | IC, FTIR |
| D21 | CLC, BSL | 7.6 | POM |
| D22 | CLC, GSL | 7.3 | FTIR |
| D23 | CLC, BSL | 7.5 | POM |
| D24 | CLC, BSL | 7.8 | FTIR |
| D25 | CLC, BSL | 8.1 | FTIR |
| D26 | CLC, GSL | 9.0 | FTIR |
| D27 | CLC, U | 9.2 | FTIR |
| D28 | CLC, GSL | 9.3 | POM |
| D29 | CLC, U | 4.3 | FTIR |
| D30 | D-CLC, BSL | 4.1 | FTIR |
| D31 | CLC, BSL | 4.0 | POM |
| D32 | CLC, GSL | 4.0 | FTIR |
| D33 | CLC, BSL | 4.1 | FTIR |
| D34 | D-CLC, BSL | 7.8 | IC |
| D35 | CLC, BSL | 7.2 | FTIR |
| D36 | CLC, BSL | 7.7 | FTIR |
| D37 | CLC, BSL | 8.2 | POM |
| D38 | CLC, BSL | 8.9 | POM |
| D39 | D-CLC, BSL | 7.5 | IC, FTIR |
| D40 | D-CLC, BSL | 8.3 | IC, FTIR |
| D41 | CLC, BSL | 15.0 | FTIR |
| D42 | CLC, GSL | 14.4 | FTIR |
| D43 | CLC, BSL | 22.4 | POM |
| Day | T °C (medium) | T °C (min) | T °C (max) | RH% (medium) |
|---|---|---|---|---|
| February 22 | 13 °C | 10 °C | 18 °C | 76% |
| February 23 | 13 °C | 7 °C | 17 °C | 78% |
| February 24 | 12 °C | 7 °C | 16 °C | 83% |
| March 3 | 10 °C | 4 °C | 16 °C | 65% |
| March 4 | 9 °C | 2 °C | 15 °C | 81% |
| March 5 | 10 °C | 2 °C | 15 °C | 79% |
| Black Crusts | Erosion/ Disaggregation | Efflorescences | Biological Patina/Superficial Deposits | Loss of Material | |
|---|---|---|---|---|---|
| Area (cm2) | 198,328.5 | 481,235.3 | 51,506.3 | 471,502.5 | 31,402.5 |
| Area (%) | 5.75 | 13.95 | 1.49 | 2.29 | 0.91 |
| Weathering Forms | Parameters Considered during Evaluation | ||||||||||
|---|---|---|---|---|---|---|---|---|---|---|---|
| Black crusts | Intensity | Cover degree of the surface (%) | |||||||||
| <15 | 25 | 50 | 75 | 100 | |||||||
| Damage category | 0 | 1 | 2 | 3 | 4 | 5 | |||||
| Erosion/ Disaggregation | Depth (mm and/or cm) | ||||||||||
| Intensity | <0.5 | 0.5–1 | 1–3 | 3–5 | 5–10 | 10–25 | |||||
| Damage category | 0 | 1 | 2 | 3 | 4 | 5 | |||||
| Efflorescences | Cover degree of the surface (%)–Color change degree | ||||||||||
| Intensity | <10 | 25 | 50 | 75 | 100 | ||||||
| Chromatic alteration | Whitening | ||||||||||
| Damage category | 0 | 1 | 2 | 3 | 4 | 5 | |||||
| Biological patina/ Superficial deposits | Cover degree of the surface (%) | ||||||||||
| Intensity | <10 | 25 | 50 | 75 | 100 | ||||||
| Damage category | 0 | 1 | 2 | 3 | 4 | 5 | |||||
| Loss of material | Cover degree of the surface (%) | ||||||||||
| Intensity | <10 | 25 | 50 | 75 | 100 | ||||||
| Damage category | 0 | 1 | 2 | 3 | 4 | 5 | |||||
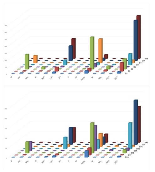
| Sample ID | Li+ | Na+ | NH4+ | K+ | Mg2+ | Ca2+ | Sr2+ | F− | Cl− | HCO3− | Br− | NO3− | PO43− | SO42− |
|---|---|---|---|---|---|---|---|---|---|---|---|---|---|---|
| D1 | 0.0 | 3.4 | 0.1 | 1.4 | 2.5 | 10.3 | 0.2 | 0.3 | 2.0 | 19.8 | 0.0 | 2.8 | 0.0 | 12.7 |
| D2 | 0.0 | 3.4 | 0.0 | 2.5 | 1.8 | 29.1 | 0.0 | 0.2 | 1.5 | 21.4 | 0.0 | 9.6 | 0.0 | 62.4 |
| D5 | 0.0 | 106.1 | 0.0 | 17.0 | 0.2 | 1.8 | 0.0 | 0.1 | 2.7 | 230.3 | 0.0 | 23.0 | 0.0 | 74.4 |
| D6 | 0.0 | 2.9 | 0.0 | 1.0 | 1.6 | 6.7 | 0.0 | 0.0 | 2.2 | 25.9 | 0.0 | 6.7 | 0.0 | 3.9 |
| D9 | 0.0 | 3.6 | 0.1 | 1.1 | 2.1 | 35.8 | 0.0 | 0.1 | 2.5 | 16.8 | 0.0 | 4.4 | 0.0 | 81.0 |
| D11 | 0.0 | 53.2 | 0.0 | 0.8 | 0.4 | 1.6 | 0.0 | 0.2 | 0.5 | 172.4 | 0.0 | 0.9 | 0.5 | 20.0 |
| D14 | 0.0 | 2.5 | 0.0 | 0.3 | 1.3 | 107.3 | 0.6 | 0.1 | 0.6 | 18.3 | 0.0 | 1.5 | 0.0 | 289.3 |
| D15 | 0.0 | 1.8 | 0.2 | 0.3 | 1.5 | 144.0 | 1.4 | 0.5 | 0.3 | 29.0 | 0.0 | 0.3 | 0.0 | 308.3 |
| D16 | 0.0 | 0.7 | 0.1 | 0.3 | 1.9 | 7.0 | 0.0 | 0.4 | 0.3 | 32.0 | 0.0 | 0.2 | 0.0 | 5.2 |
| D17 | 0.0 | 2.3 | 0.0 | 0.4 | 1.8 | 5.8 | 0.0 | 0.1 | 0.2 | 36.6 | 0.0 | 0.3 | 0.0 | 1.7 |
| D18 | 0.0 | 56.7 | 0.0 | 1.1 | 0.6 | 2.6 | 0.0 | 0.1 | 0.9 | 152.5 | 0.0 | 2.6 | 0.0 | 17.4 |
| D19 | 0.0 | 47.0 | 0.0 | 1.0 | 0.5 | 2.3 | 0.0 | 0.1 | 2.2 | 128.1 | 0.0 | 6.4 | 0.0 | 14.4 |
| D20 | 0.0 | 2.7 | 0.1 | 0.6 | 2.1 | 58.6 | 0.0 | 0.1 | 2.4 | 45.8 | 0.0 | 2.0 | 0.0 | 131.6 |
| D34 | 0.0 | 2.1 | 0.2 | 0.6 | 6.2 | 11.3 | 0.0 | 0.5 | 1.3 | 67.1 | 0.0 | 5.1 | 0.0 | 6.6 |
| D39 | 0.0 | 1.2 | 0.1 | 0.4 | 1.3 | 86.7 | 0.9 | 1.2 | 0.8 | 38.1 | 0.0 | 1.6 | 0.0 | 224.8 |
| D40 | 0.0 | 1.3 | 0.0 | 0.4 | 1.9 | 74.7 | 0.0 | 0.3 | 0.9 | 42.7 | 0.0 | 0.6 | 0.0 | 182.3 |
| Sample ID | Calcite | Gypsum | Silicates |
|---|---|---|---|
| D4 | 1429, 879, 729 | 1646, 1167, 1082, 781 | |
| D7 | 1429, 877, 729 | 1646, 1085, 781 | |
| D9 | 1440, 878, 729 | 3546, 3403, 1621, 671, 609 | 1679, 1140, 1119 |
| D10 | 1434, 877, 727 | 1022, 1084, 781 | |
| D11 | 1404, 875, 713 | 1661, 1082, 1016 | |
| D12 | 1435, 877, 727 | 3551, 3410, 1621, 661, 600 | 1623, 1082, 1038 |
| D14 | 1458, 856, 713 | 3541, 1622, 1109, 1009, 670, 596 | |
| D15 | 1779, 1447, 855, 714 | 3531, 3407, 1621, 1113, 1084, 1010, 670, 601 | |
| D18 | 1403, 874, 713 | 3453, 1654, 648, 615 | 1790, 1082, 692 |
| D19 | 104, 873, 714 | 3351, 1656, 649, 614 | 1790, 1081, 693 |
| D20 | 1787, 1447, 874, 713 | 3542, 1622,1116, 1084, 670, 601 | 1083, 782, 700 |
| D22 | 1804, 1435, 878, 730 | 1652, 1080, 1031, 781 | |
| D24 | 1788, 1427, 878, 729 | 1640, 1083, 1031, 783 | |
| D27 | 1808, 1417, 876, 728 | 1645, 1031, 784, 665 | |
| D29 | 1800, 1417, 873,7 13 | 3554, 1621, 1121, 669, 602 | 1667, 1083, 783 |
| D30 | 1791, 1415, 875, 713 | 3410, 1641, 607 | 1788, 1082, 698 |
| D35 | 1793, 1417, 874, 713 | 1647, 1008 | |
| D39 | 1787, 1446, 855, 713 | 3542, 1621, 1116, 1093, 670, 600 | |
| D40 | 1785, 1446, 879, 710 | 3541, 3400, 1621, 1112, 1082, 671, 607 |
Publisher’s Note: MDPI stays neutral with regard to jurisdictional claims in published maps and institutional affiliations. |
© 2021 by the authors. Licensee MDPI, Basel, Switzerland. This article is an open access article distributed under the terms and conditions of the Creative Commons Attribution (CC BY) license (https://creativecommons.org/licenses/by/4.0/).
Share and Cite
Donato, A.; Randazzo, L.; Ricca, M.; Rovella, N.; Collina, M.; Ruggieri, N.; Dodaro, F.; Costanzo, A.; Alberghina, M.F.; Schiavone, S.; et al. Decay Assessment of Stone-Built Cultural Heritage: The Case Study of the Cosenza Cathedral Façade (South Calabria, Italy). Remote Sens. 2021, 13, 3925. https://doi.org/10.3390/rs13193925
Donato A, Randazzo L, Ricca M, Rovella N, Collina M, Ruggieri N, Dodaro F, Costanzo A, Alberghina MF, Schiavone S, et al. Decay Assessment of Stone-Built Cultural Heritage: The Case Study of the Cosenza Cathedral Façade (South Calabria, Italy). Remote Sensing. 2021; 13(19):3925. https://doi.org/10.3390/rs13193925
Chicago/Turabian StyleDonato, Antonio, Luciana Randazzo, Michela Ricca, Natalia Rovella, Matteo Collina, Nicola Ruggieri, Francesco Dodaro, Antonio Costanzo, Maria F. Alberghina, Salvatore Schiavone, and et al. 2021. "Decay Assessment of Stone-Built Cultural Heritage: The Case Study of the Cosenza Cathedral Façade (South Calabria, Italy)" Remote Sensing 13, no. 19: 3925. https://doi.org/10.3390/rs13193925
APA StyleDonato, A., Randazzo, L., Ricca, M., Rovella, N., Collina, M., Ruggieri, N., Dodaro, F., Costanzo, A., Alberghina, M. F., Schiavone, S., Buongiorno, M. F., & Russa, M. F. L. (2021). Decay Assessment of Stone-Built Cultural Heritage: The Case Study of the Cosenza Cathedral Façade (South Calabria, Italy). Remote Sensing, 13(19), 3925. https://doi.org/10.3390/rs13193925

