Remote Sensing of Pasture Degradation in the Highlands of the Kyrgyz Republic: Finer-Scale Analysis Reveals Complicating Factors
Abstract
:1. Introduction
2. Materials and Methods
2.1. Study Area
2.2. Geospatial Data
2.3. Methods
2.3.1. Land Surface Phenology
2.3.2. Settlement Ring Buffer Analyses
- Elevation classes {1–4}, all aspects, slopes < 30°, PHmean, TTPmean;
- Elevation classes {1–4}, all aspects, slopes < 30°, PH2007, TTP2007;
- Elevation classes {1–4}, all aspects, slopes < 30°, PH2009, TTP2009;
- Elevation classes {1–4}, northern aspects, slopes < 30°, PHmean, TTPmean;
- Elevation classes {1–4}, northern aspects, slopes < 30°, PH2007, TTP2007;
- Elevation classes {1–4}, northern aspects, slopes < 30°, PH2009, TTP2009;
- Elevation classes {1–4}, southern aspects, slopes < 30°, PHmean, TTPmean;
- Elevation classes {1–4}, southern aspects, slopes < 30°, PH2007, TTP2007;
- Elevation classes {1–4}, southern aspects, slopes < 30°, PH2009, TTP2009.
3. Results
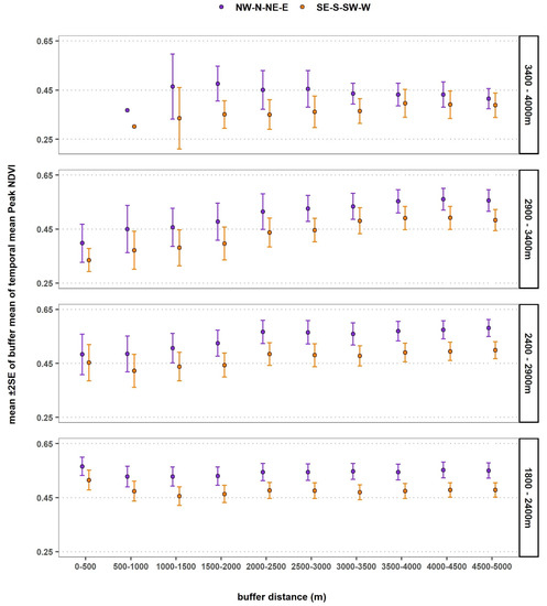
3.1. Buffer Mean Values of the Peak NDVI as a Function of Distance and Elevation
3.2. Contrasting Mean Values of Phenometrics Nearby and Far from Villages
3.3. Influence of Weather on Phenometrics
3.4. Influence of Aspect on Phenometrics
3.5. Interaction of Weather, Aspect, and Distance on Phenometrics
4. Discussion
5. Conclusions
Author Contributions
Funding
Data Availability Statement
Acknowledgments
Conflicts of Interest
References
- FAOStats: Statistics page of the Food and Agriculture Organization (FAO). Available online: http://www.fao.org/faostat/en/#data/RL (accessed on 20 June 2021).
- Akimaliev, D.A.; Zaurov, D.E.; Eisenman, S.W. The geography, climate and vegetation of Kyrgyzstan. In Medicinal Plants of Central Asia: Uzbekistan and Kyrgyzstan; Springer: New York, NY, USA, 2013; pp. 1–4. [Google Scholar]
- Borchardt, P.; Schickhoff, U.; Scheitweiler, S.; Kulikov, M. Mountain pastures and grasslands in the SW Tien Shan, Kyrgyzstan—Floristic patterns, environmental gradients, phytogeography, and grazing impact. J. Mt. Sci. 2011, 8, 363–373. [Google Scholar] [CrossRef]
- Dubovyk, O.; Landmann, T.; Dietz, A.; Menz, G. Quantifying the impacts of environmental factors on vegetation dynamics over climatic and management gradients of Central Asia. Remote Sens. 2016, 8, 600. [Google Scholar] [CrossRef] [Green Version]
- Hoppe, F.; Kyzy, T.Z.; Usupbaev, A.; Schickhoff, U. Rangeland degradation assessment in Kyrgyzstan: Vegetation and soils as indicators of grazing pressure in Naryn Oblast. J. Mt. Sci. 2016, 13, 1567–1583. [Google Scholar] [CrossRef]
- Kulikov, M.; Schickhoff, U.; Borchardt, P. Spatial and seasonal dynamics of soil loss ratio in mountain rangelands of south-western Kyrgyzstan. J. Mt. Sci. 2016, 13, 316–329. [Google Scholar] [CrossRef]
- Wang, Y.; Yue, H.; Peng, Q.; He, C.; Hong, S.; Bryan, B.A. Recent responses of grassland net primary productivity to climatic and anthropogenic factors in Kyrgyzstan. Land Degrad. Dev. 2020, 31, 2490–2506. [Google Scholar] [CrossRef]
- Zhumanova, M.; Mönnig, C.; Hergarten, C.; Darr, D.; Wrage-Mönnig, N. Assessment of vegetation degradation in mountainous pastures of the Western Tien-Shan, Kyrgyzstan, using eMODIS NDVI. Ecol. Indic. 2018, 95, 527–543. [Google Scholar] [CrossRef]
- Kerven, C.; Steimann, B.; Dear, C.; Ashley, L. Researching the future of pastoralism in Central Asia’s mountains: Examining development orthodoxies. Mt. Res. Dev. 2012, 32, 368–377. [Google Scholar] [CrossRef] [Green Version]
- Robinson, S. Land degradation in Central Asia: Evidence, Perception and Policy. In The End of Desertification? Behnke, R., Mortimore, M., Eds.; Springer: Heidelberg, Germany, 2016; pp. 451–490. [Google Scholar] [CrossRef]
- de Beurs, K.M.; Henebry, G.; Owsley, B.C.; Sokolik, I. Using multiple remote sensing perspectives to identify and attribute land surface dynamics in Central Asia 2001–2013. Remote Sens. Environ. 2015, 170, 48–61. [Google Scholar] [CrossRef]
- de Beurs, K.M.; Henebry, G.; Owsley, B.C.; Sokolik, I.N. Large scale climate oscillation impacts on temperature, precipitation and land surface phenology in Central Asia. Environ. Res. Lett. 2018, 13, 065018. [Google Scholar] [CrossRef]
- Eddy, I.M.; Gergel, S.E.; Coops, N.C.; Henebry, G.; Levine, J.; Zerriffi, H.; Shibkov, E. Integrating remote sensing and local ecological knowledge to monitor rangeland dynamics. Ecol. Indic. 2017, 82, 106–116. [Google Scholar] [CrossRef]
- Kulikov, M.; Schickhoff, U. Vegetation and climate interaction patterns in Kyrgyzstan: Spatial discretization based on time series analysis. Erdkunde 2017, 71, 143–165. [Google Scholar] [CrossRef]
- Xu, H.-J.; Wang, X.-P.; Zhang, X.-X. Decreased vegetation growth in response to summer drought in Central Asia from 2000 to 2012. Int. J. Appl. Earth Obs. Geoinf. 2016, 52, 390–402. [Google Scholar] [CrossRef]
- Xu, H.-J.; Wang, X.-P.; Yang, T.-B. Trend shifts in satellite-derived vegetation growth in Central Eurasia, 1982–2013. Sci. Total Environ. 2017, 579, 1658–1674. [Google Scholar] [CrossRef] [PubMed]
- Imanberdieva, N. Flora and plant formations distributed in At-Bashy Valleys–Internal Tien Shan in Kyrgyzstan and interactions with climate. In Climate Change Impacts on High-Altitude Ecosystems; Öztürk, M., Hakeem, K.R., Faridah-Hanum, I., Efe, R., Eds.; Springer: New York, NY, USA, 2015; pp. 569–590. ISBN 9783319128597. [Google Scholar]
- Nowak, A.; Świerszcz, S.; Nowak, S.; Nobis, M. Classification of tall-forb vegetation in the Pamir-Alai and western Tian Shan Mountains (Tajikistan and Kyrgyzstan, Middle Asia). Veg. Classif. Surv. 2020, 1, 191–217. [Google Scholar] [CrossRef]
- Zhumanova, M.; Wrage-Mönnig, N.; Jurasinski, G. Long-term vegetation change in the Western Tien-Shan Mountain pastures, Central Asia, driven by a combination of changing precipitation patterns and grazing pressure. Sci. Total Environ. 2021, 781, 146720. [Google Scholar] [CrossRef] [PubMed]
- de Beurs, K.M.; Wright, C.K.; Henebry, G. Dual scale trend analysis for evaluating climatic and anthropogenic effects on the vegetated land surface in Russia and Kazakhstan. Environ. Res. Lett. 2009, 4, 045012. [Google Scholar] [CrossRef]
- Groisman, P.; Bulygina, O.; Henebry, G.; Speranskaya, N.; Shiklomanov, A.; Chen, Y.; Tchebakova, N.; Parfenova, E.; Tilinina, N.; Zolina, O.; et al. Dryland belt of Northern Eurasia: Contemporary environmental changes and their consequences. Environ. Res. Lett. 2018, 13, 115008. [Google Scholar] [CrossRef]
- Li, Z.; Chen, Y.; Li, W.; Deng, H.; Fang, G. Potential impacts of climate change on vegetation dynamics in Central Asia. J. Geophys. Res. Atmos. 2015, 120, 12345–12356. [Google Scholar] [CrossRef]
- Tomaszewska, M.A.; Henebry, G. Changing snow seasonality in the highlands of Kyrgyzstan. Environ. Res. Lett. 2018, 13, 065006. [Google Scholar] [CrossRef]
- Xenarios, S.; Gafurov, A.; Schmidt-Vogt, D.; Sehring, J.; Manandhar, S.; Hergarten, C.; Shigaeva, J.; Foggin, M. Climate change and adaptation of mountain societies in Central Asia: Uncertainties, knowledge gaps, and data constraints. Reg. Environ. Chang. 2019, 19, 1339–1352. [Google Scholar] [CrossRef]
- Tomaszewska, M.A.; Nguyen, L.H.; Henebry, G. Land surface phenology in the highland pastures of montane Central Asia: Interactions with snow cover seasonality and terrain characteristics. Remote Sens. Environ. 2020, 240, 111675. [Google Scholar] [CrossRef]
- Tomaszewska, M.A.; Henebry, G.M. How much variation in land surface phenology can climate oscillation modes explain at the scale of mountain pastures in Kyrgyzstan? Int. J. Appl. Earth Obs. Geoinf. 2020, 87, 102053. [Google Scholar] [CrossRef]
- Azykova, E.K. Geographyical and landscape characteristics of mountain territories. In Mountains of Kyrgyzstan; Aidaraliev, A.A., Ed.; Technology: Bishkek, Kyrgyzstan, 2002. [Google Scholar]
- Asian Development Bank. Central Asia Atlas of Natural Resource; Central Asian Countries Initiative for Land Management and Asian Development Bank: Manila, Philippines, 2010. [Google Scholar]
- Asian Development Bank. Central Asian Countries Initiative for Land Management (CACILM) Multicountry Partnership Framework Support Project. Available online: https://www.adb.org/projects/38464-012/main (accessed on 20 June 2021).
- NASA JPL. NASA Shuttle Radar Topography Mission Global 1 Arc Second. 2013. Available online: https://lpdaac.usgs.gov/products/srtmgl1v003/ (accessed on 20 June 2021). [CrossRef]
- Wan, Z.; Hook, S.; Hulley, G. MOD11A2 MODIS/Terra Land Surface Temperature/Emissivity 8-Day L3 Global 1 km SIN Grid V006; NASA EOSDIS Land Processes DAAC: Sioux Falls, SD, USA, 2015. [Google Scholar]
- Roy, D.; Kovalskyy, V.; Zhang, H.; Vermote, E.; Yan, L.; Kumar, S.S.; Egorov, A. Characterization of Landsat-7 to Landsat-8 reflective wavelength and normalized difference vegetation index continuity. Remote Sens. Environ. 2016, 185, 57–70. [Google Scholar] [CrossRef] [Green Version]
- Fisher, J.I.; Mustard, J.F.; Vadeboncoeur, M. Green leaf phenology at Landsat resolution: Scaling from the field to the satellite. Remote Sens. Environ. 2006, 100, 265–279. [Google Scholar] [CrossRef]
- Melaas, E.; Friedl, M.A.; Zhu, Z. Detecting interannual variation in deciduous broadleaf forest phenology using Landsat TM/ETM+ data. Remote Sens. Environ. 2013, 132, 176–185. [Google Scholar] [CrossRef]
- Pereladova, O.; Krever, V.; Shestakov, A. ECONET—Web for Life; Central Asia: Moscow, Russia, 2006. [Google Scholar]
- de Beurs, K.M.; Henebry, G. Land surface phenology, climatic variation, and institutional change: Analyzing agricultural land cover change in Kazakhstan. Remote Sens. Environ. 2004, 89, 497–509. [Google Scholar] [CrossRef]
- Henebry, G.M.; de Beurs, K.M. Remote sensing of land surface phenology: A prospectus. In Phenology: An Integrative Environmental Science; Schwartz, M.D., Ed.; Springer Netherlands: Dordrecht, The Netherlands, 2013; Volume 9789400769, pp. 385–411. ISBN 9789400769250. [Google Scholar]
- de Beurs, K.M.; Henebry, G.M. Spatio-temporal statistical methods for modelling land surface phenology. In Phenological Research: Methods for Environmental and Climate Change Analysis; Hudson, I.L., Keatley, M.R., Eds.; Springer: Dordrecht, The Netherlands, 2010; pp. 177–208. ISBN 978-90-481-3334-5. [Google Scholar]
- Moritz, S.; Bartz-Beielstein, T. imputeTS: Time Series Missing Value Imputation in R. R J. 2017, 9, 207. [Google Scholar] [CrossRef] [Green Version]
- Goodin, D.G.; Henebry, G. A technique for monitoring ecological disturbance in tallgrass prairie using seasonal NDVI trajectories and a discriminant function mixture model. Remote Sens. Environ. 1997, 61, 270–278. [Google Scholar] [CrossRef]
- Šidák, Z. Rectangular confidence regions for the means of multivariate normal distributions. J. Am. Stat. Assoc. 1967, 62, 626–633. [Google Scholar] [CrossRef]
- Cheng, Y.; Vrieling, A.; Fava, F.; Meroni, M.; Marshall, M.; Gachoki, S. Phenology of short vegetation cycles in a Kenyan rangeland from PlanetScope and Sentinel-2. Remote Sens. Environ. 2020, 248, 112004. [Google Scholar] [CrossRef]
- Strahler, A.H.; Woodcock, C.E.; Smith, J.A. On the nature of models in remote sensing. Remote Sens. Environ. 1986, 20, 121–139. [Google Scholar] [CrossRef]
- de Beurs, K.M.; Henebry, G. Northern annular mode effects on the land surface phenologies of Northern Eurasia. J. Clim. 2008, 21, 4257–4279. [Google Scholar] [CrossRef]
- Wright, C.K.; de Beurs, K.M.; Henebry, G. Land surface anomalies preceding the 2010 Russian heat wave and a link to the North Atlantic oscillation. Environ. Res. Lett. 2014, 9, 124015. [Google Scholar] [CrossRef]
- Zhang, X.; Wang, J.; Gao, F.; Liu, Y.; Schaaf, C.; Friedl, M.; Yu, Y.; Jayavelu, S.; Gray, J.; Liu, L.; et al. Exploration of scaling effects on coarse resolution land surface phenology. Remote Sens. Environ. 2017, 190, 318–330. [Google Scholar] [CrossRef] [Green Version]
- Wang, D.; Morton, D.; Masek, J.; Wu, A.; Nagol, J.; Xiong, X.; Levy, R.; Vermote, E.; Wolfe, R. Impact of sensor degradation on the MODIS NDVI time series. Remote Sens. Environ. 2012, 119, 55–61. [Google Scholar] [CrossRef] [Green Version]
- Lyapustin, A.; Wang, Y.; Xiong, X.; Meister, G.; Platnick, S.; Levy, R.; Franz, B.; Korkin, S.; Hilker, T.; Tucker, J.; et al. Scientific impact of MODIS C5 calibration degradation and C6+ improvements. Atmos. Meas. Tech. 2014, 7, 4353–4365. [Google Scholar] [CrossRef] [Green Version]
- Zhang, Y.; Song, C.; Band, L.E.; Sun, G.; Li, J. Reanalysis of global terrestrial vegetation trends from MODIS products: Browning or greening? Remote Sens. Environ. 2017, 191, 145–155. [Google Scholar] [CrossRef] [Green Version]
- Heck, E.; de Beurs, K.M.; Owsley, B.C.; Henebry, G.M. Evaluation of the MODIS collections 5 and 6 for change analysis of vegetation and land surface temperature dynamics in North and South America. ISPRS J. Photogramm. Remote Sens. 2019, 156, 121–134. [Google Scholar] [CrossRef]
- de Beurs, K.; Henebry, G. Trend analysis of the Pathfinder AVHRR Land (PAL) NDVI data for the deserts of Central Asia. IEEE Geosci. Remote Sens. Lett. 2004, 1, 282–286. [Google Scholar] [CrossRef]
- de Beurs, K.M.; Henebry, G. A statistical framework for the analysis of long image time series. Int. J. Remote Sens. 2005, 26, 1551–1573. [Google Scholar] [CrossRef]
- Levine, J.; Isaeva, A.; Eddy, I.; Foggin, M.; Gergel, S.; Hagerman, S.; Zerriffi, H. A cognitive approach to the post-Soviet Central Asian pasture puzzle: New data from Kyrgyzstan. Reg. Environ. Chang. 2017, 17, 941–947. [Google Scholar] [CrossRef]
- Levine, J.; Isaeva, A.; Zerriffi, H.; Eddy, I.M.S.; Foggin, M.; Gergel, S.E.; Hagerman, S.M. Testing for consensus on Kyrgyz rangelands: Local perceptions in Naryn oblast. Ecol. Soc. 2019, 24, 36. [Google Scholar] [CrossRef]
- Liechti, K. The meanings of pasture in resource degradation negotiations: Evidence from post-socialist rural Kyrgyzstan. Mt. Res. Dev. 2012, 32, 304–312. [Google Scholar] [CrossRef] [Green Version]







| Province (Oblast) | Total Points | Points after 10 km Filter |
|---|---|---|
| Batken | 63 | 36 |
| Chuy | 67 | 33 |
| Issyk-Kul | 100 | 45 |
| Jalal-Abad | 113 | 58 |
| Naryn | 96 | 44 |
| Osh | 137 | 56 |
| Talas | 41 | 21 |
| TOTAL | 617 | 293 |
Publisher’s Note: MDPI stays neutral with regard to jurisdictional claims in published maps and institutional affiliations. |
© 2021 by the authors. Licensee MDPI, Basel, Switzerland. This article is an open access article distributed under the terms and conditions of the Creative Commons Attribution (CC BY) license (https://creativecommons.org/licenses/by/4.0/).
Share and Cite
Tomaszewska, M.A.; Henebry, G.M. Remote Sensing of Pasture Degradation in the Highlands of the Kyrgyz Republic: Finer-Scale Analysis Reveals Complicating Factors. Remote Sens. 2021, 13, 3449. https://doi.org/10.3390/rs13173449
Tomaszewska MA, Henebry GM. Remote Sensing of Pasture Degradation in the Highlands of the Kyrgyz Republic: Finer-Scale Analysis Reveals Complicating Factors. Remote Sensing. 2021; 13(17):3449. https://doi.org/10.3390/rs13173449
Chicago/Turabian StyleTomaszewska, Monika A., and Geoffrey M. Henebry. 2021. "Remote Sensing of Pasture Degradation in the Highlands of the Kyrgyz Republic: Finer-Scale Analysis Reveals Complicating Factors" Remote Sensing 13, no. 17: 3449. https://doi.org/10.3390/rs13173449
APA StyleTomaszewska, M. A., & Henebry, G. M. (2021). Remote Sensing of Pasture Degradation in the Highlands of the Kyrgyz Republic: Finer-Scale Analysis Reveals Complicating Factors. Remote Sensing, 13(17), 3449. https://doi.org/10.3390/rs13173449

