Assessment of High Resolution Air Temperature Fields at Rocky Mountain National Park by Combining Scarce Point Measurements with Elevation and Remote Sensing Data
Abstract
1. Introduction
2. Case Study and Data
3. Methodology
4. Results
4.1. Application of the Methodology
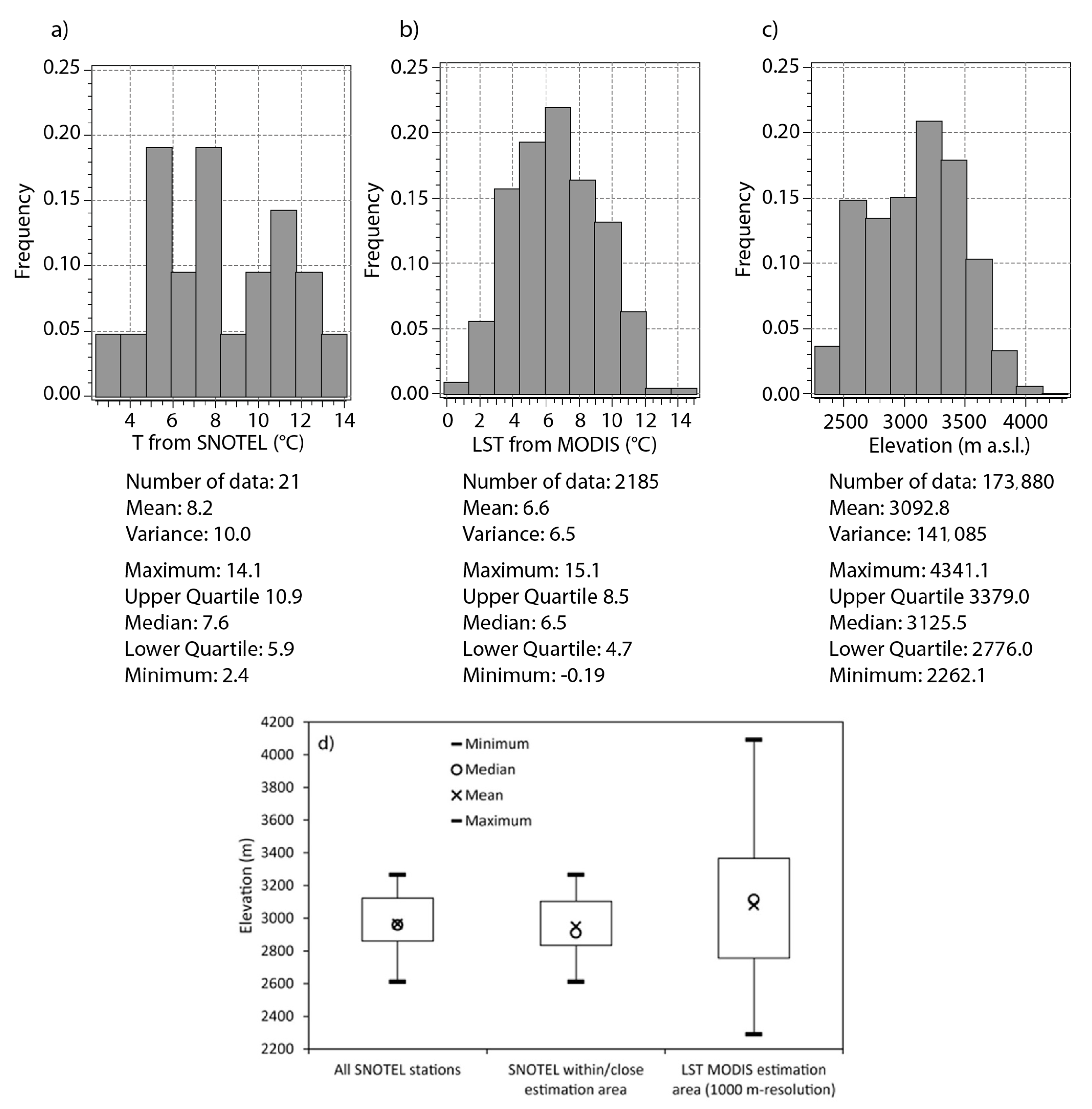
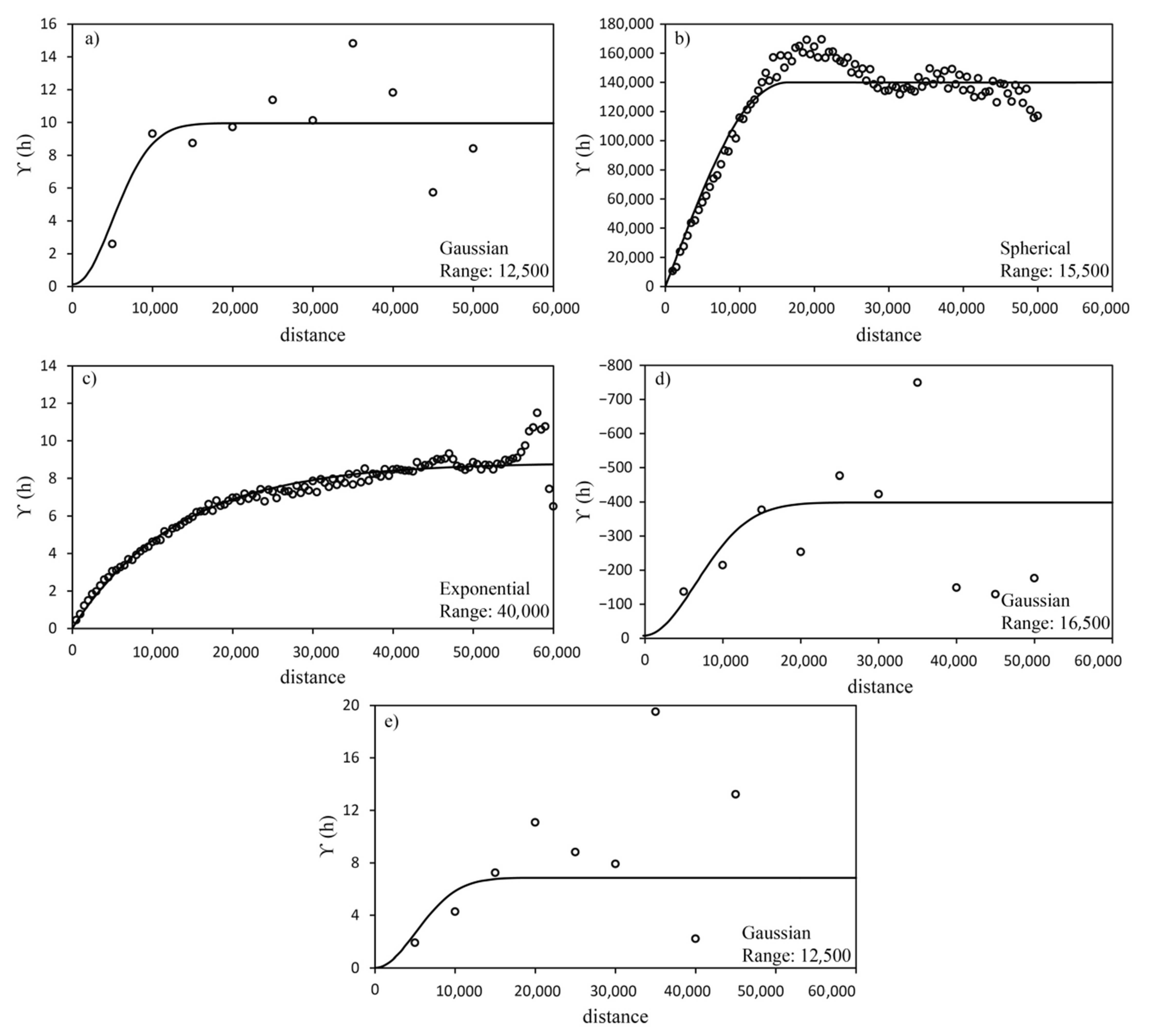
4.1.1. Analysis of the Secondary Information
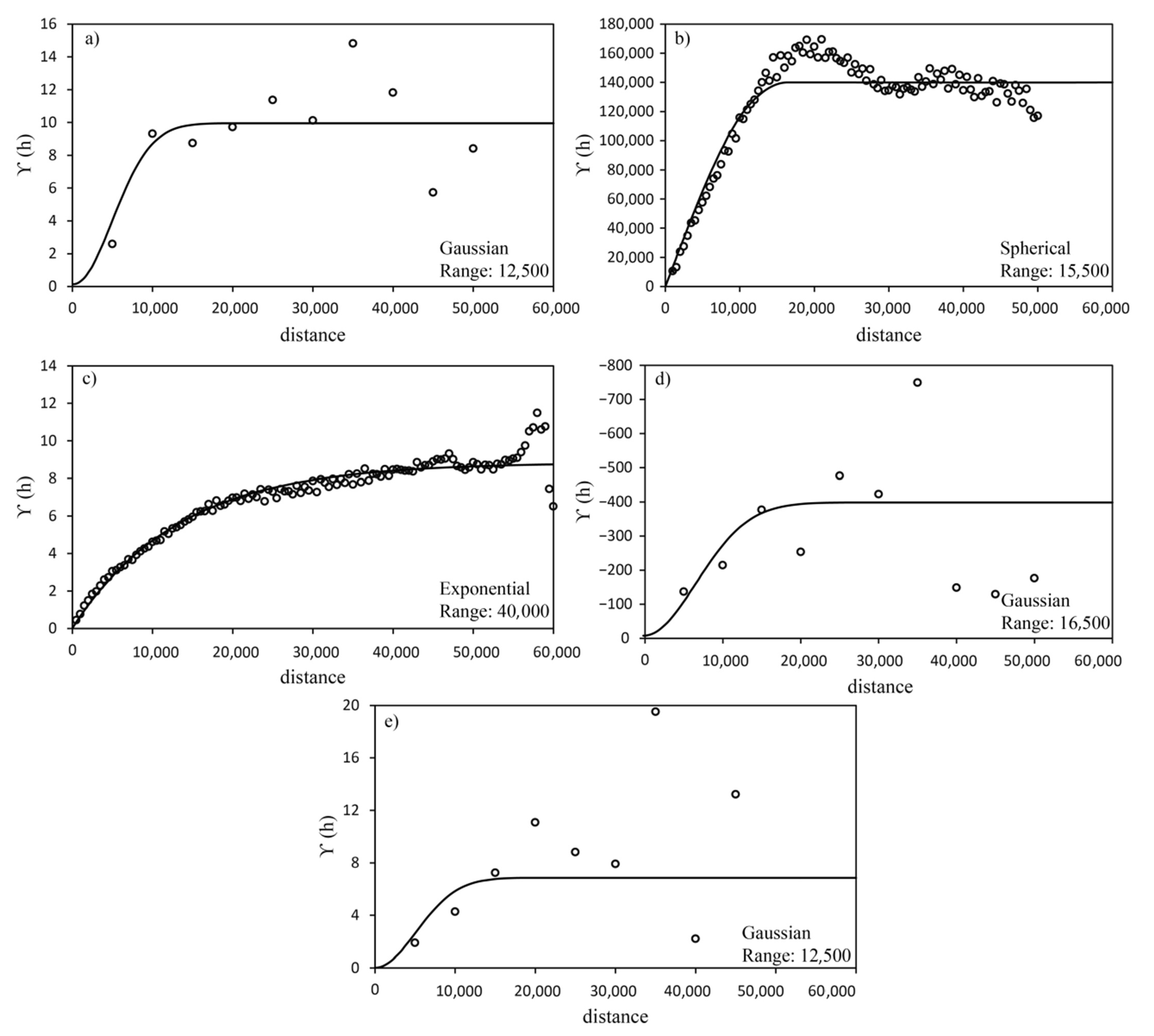
4.1.2. Estimation by Using Geostatistical Approaches
4.1.3. Comparison of Geostatistical Estimations with MODIS LST and the Lapse Rate Solution
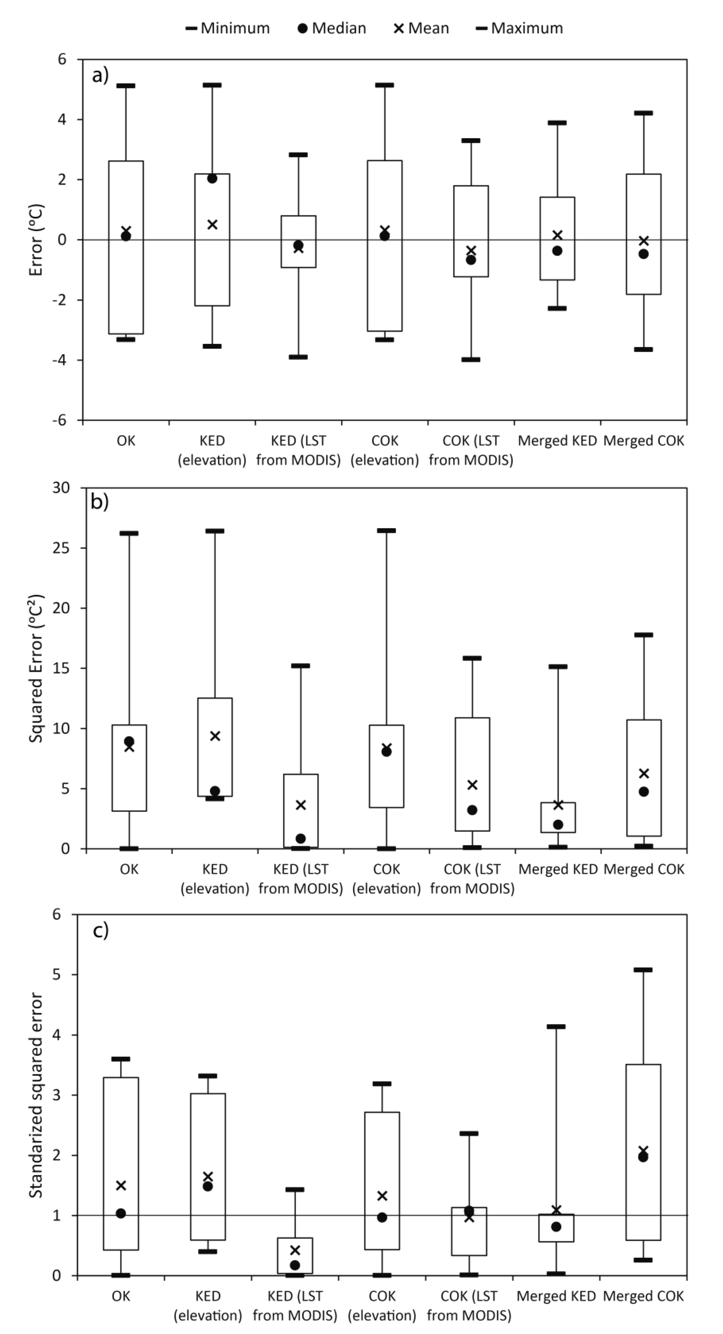
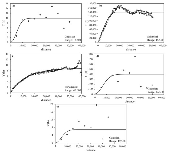
4.1.4. Cross Validation Experiment for Geostatistical Approaches
4.2. Validation of the Methodology
5. Discussion
6. Conclusions
Author Contributions
Funding
Institutional Review Board Statement
Informed Consent Statement
Data Availability Statement
Conflicts of Interest
Appendix A. Geostatistical Approaches
Appendix A.1. Ordinary Kriging (OK)
Appendix A.2. Co-Kriging (COK)
Appendix A.3. Kriging with External Drift (KED)
Appendix B. Cross Validation Methodology
References
- Gentine, P.; Chhang, A.; Rigden, A.; Salvucci, G. Evaporation estimates using weather station data and boundary layer theory. Geophys. Res. Lett. 2016, 43, 11661–11670. [Google Scholar] [CrossRef]
- Sexstone, G.A.; Clow, D.W.; Fassnacht, S.R.; Liston, G.E.; Hiemstra, C.A.; Knowles, J.F.; Penn, C.A. Snow sublimation in mountain environments and its sensitivity to forest disturbance and climate warming. Water Resour. Res. 2018, 54, 1191–1211. [Google Scholar] [CrossRef]
- Barnhart, T.B.; Molotch, N.P.; Livneh, B.; Harpold, A.A.; Knowles, J.F.; Schneider, D. Snowmelt rate dictates streamflow. Geophys. Res. Lett. 2016, 43, 8006–8016. [Google Scholar] [CrossRef]
- Martinec, J. Snowmelt-Runoff model for stream flow forecasts. Hydrol. Res. 1975, 6, 145–154. [Google Scholar] [CrossRef]
- Huang, S.; Eisner, S.; Magnusson, J.O.; Lussana, C.; Yang, X.; Beldring, S. Improvements of the spatially distributed hydrological modelling using the HBV model at 1 km resolution for Norway. J. Hydrol. 2019, 577. [Google Scholar] [CrossRef]
- Pérez-Sánchez, J.; Senent-Aparicio, J.; Segura-Méndez, F.; Pulido-Velazquez, D.; Srinivasan, R. Evaluating Hydrological Models for Deriving Water Resources in Peninsular Spain. Sustainability 2019, 11. [Google Scholar] [CrossRef]
- Pape, R.; Löffler, J. Modelling Spatio-temporal near surface temperature variation in High Mountain landscapes. Ecol. Model. 2004, 178, 483–501. [Google Scholar] [CrossRef]
- Collados-Lara, A.-J.; Fassnacht, S.R.; Pulido-Velazquez, D.; Pfohl, A.K.; Morán-Tejeda, E.; Venable, N.B.; Pardo-Igúzquiza, E.; Puntenney-Desmond, K. Intra-day variability of temperature and its near-surface gradient with elevation over mountainous terrain: Comparing MODIS land surface temperature data with coarse and fine scale near-surface measurements. Int. J. Clim. 2020, 1–15. [Google Scholar] [CrossRef]
- Zhang, F.; Zhang, H.; Hagen, S.C.; Ye, M.; Wang, D.; Gui, D.; Zeng, C.; Tian, L.; Liu, J. Snow cover and runoff modelling in a high mountain catchment with scarce data: Effects of temperature and precipitation parameters. Hydrol. Process. 2014, 29, 52–65. [Google Scholar] [CrossRef]
- Joyce, A.; Adamson, J.; Huntley, B.; Parr, T.; Baxter, R. Standardisation of Temperature Observed by Automatic Weather Stations. Environ. Monit. Assess. 2001, 68, 127–136. [Google Scholar] [CrossRef]
- Shiklomanov, A.I.; Lammers, R.B.; Vörösmarty, C.J. Widespread decline in hydrological monitoring threatens Pan-Arctic Research. Eos Trans. Am. Geophys. 2002, 83, 13–17. [Google Scholar] [CrossRef]
- Liston, G.E.; Elder, K. A Meteorological Distribution System for High-Resolution Terrestrial Modeling (MicroMet). J. Hydrometeorpl. 2006, 7, 217–234. [Google Scholar] [CrossRef]
- Roostaee, M.; Deng, Z. Effects of Digital Elevation Model Resolution on Watershed-Based Hydrologic Simulation. Water Resour. Manag. 2020, 34, 2433–2447. [Google Scholar] [CrossRef]
- Hudson, G.; Wackernagel, H. Mapping temperature using kriging with external drift: Theory and an example from Scotland. Int. J. Clim. 1994, 14, 77–91. [Google Scholar] [CrossRef]
- Rolland, C. Spatial and seasonal variations of air temperature lapse rates in alpine regions. J. Clim. 2003, 16, 1032–1046. [Google Scholar] [CrossRef]
- Blandford, T.R.; Humes, K.S.; Harshburger, B.J.; Moore, B.C.; Walden, V.P.; Ye, H. Seasonal and synoptic variations in near-surface air temperature lapse rates in a Mountainous Basin. J. Appl. Meteorol. Clim. 2008, 47, 249–261. [Google Scholar] [CrossRef]
- Li, Z.-L.; Tang, B.-H.; Wu, H.; Ren, H.; Yan, G.; Wan, Z.; Trigo, I.F.; Sobrino, J.A. Satellite derived land surface temperature: Current status and perspectives. Remote Sens. Environ. 2013, 131, 14–37. [Google Scholar] [CrossRef]
- Wan, Z.; Hook, S. MOD11A1 MODIS/Terra Land Surface Temperature and the Emissivity Daily L3 Global 1km SIN Grid. NASA LP DAAC 2015. [Google Scholar] [CrossRef]
- Khorchani, M.; Vicente-Serrano, S.M.; Azorin-Molina, C.; Garcia, M.; Martin-Hernandez, N.; Peña-Gallardo, M.; El Kenawy, A.; Domínguez-Castro, F. Trends in LST over the peninsular Spain as derived from the AVHRR imagery data. Glob. Planet. Chang. 2018, 166, 75–93. [Google Scholar] [CrossRef]
- Janatian, N.; Sadeghi, M.; Sanaeinejad, S.H.; Bakhshian, E.; Farid, A.; Hasheminia, S.M.; Ghazanfari, S. A statistical framework for estimating air temperature using MODIS land surface temperature data. Int. J. Clim. 2017, 37, 1181–1194. [Google Scholar] [CrossRef]
- Corbari, C.; Mancini, M.; Li, J.; Su, Z. Can satellite land surface temperature data be used similarly to ground discharge measurements for distributed hydrological model calibration? Hydrol. Sci. J. 2015, 60, 202–217. [Google Scholar] [CrossRef]
- Corbari, C.; Huber, C.; Yesou, H.; Huang, Y.; Su, Z.; Mancini, M. Multi-Satellite Data of Land Surface Temperature, Lakes Area, and Water Level for Hydrological Model Calibration and Validation in the Yangtze River Basin. Water 2019, 11, 2621. [Google Scholar] [CrossRef]
- Molotch, N.P.; Fassnacht, S.R.; Bales, R.C.; Helfrich, S.R. Estimating the distribution of snow water equivalent and snow extent beneath cloud cover in the Salt–Verde River basin, Arizona. Hydrol. Process. 2004, 18, 1595–1611. [Google Scholar] [CrossRef]
- Zink, M.; Mai, J.; Cuntz, M.; Samaniego, L. Conditioning a hydrologic model using patterns of remotely sensed land surface temperature. Water Resour. Res. 2018, 54, 2976–2998. [Google Scholar] [CrossRef]
- Benavides, R.; Montes, F.; Rubio, A.; Osoro, K. Geostatistical modelling of air temperature in a mountainous region of Northern Spain. Agric. Meteorol. 2007, 146, 173–188. [Google Scholar] [CrossRef]
- Jimeno-Sáez, P.; Pulido-Velazquez, D.; Collados-Lara, A.-J.; Pardo-Igúzquiza, E.; Senent-Aparicio, J.; Baena-Ruiz, L. A Preliminary Assessment of the “Undercatching” and the Precipitation Pattern in an Alpine Basin. Water 2020, 12, 1061. [Google Scholar] [CrossRef]
- Bianchi, E.; Villalba, R.; Viale, M.; Couvreux, F.; Marticorena, R. New precipitation and temperature grids for northern Patagonia: Advances in relation to global climate grids. J. Meteorol. Res. 2016, 30, 38–52. [Google Scholar] [CrossRef]
- Yang, Y.Z.; Cai, W.H.; Yang, J. Evaluation of MODIS Land Surface Temperature Data to Estimate Near-Surface Air Temperature in Northeast China. Remote Sens. 2017, 9, 410. [Google Scholar] [CrossRef]
- Kitsara, G.; Papaioannou, G.; Retalis, A.; Paronis, D.; Kerkides, P. Estimation of air temperature and reference evapotranspiration using MODIS land surface temperature over Greece. Int. J. Remote Sens. 2018, 39, 924–948. [Google Scholar] [CrossRef]
- Goble, P. Colorado Climate, Colorado Encyclopedia. Available online: https://coloradoencyclopedia.org/article/colorado-climate (accessed on 7 October 2019).
- PRISM Climate Group. 30-Year Normal Mean Temperature. Northwest Alliance for Computational Science & Engineering (NACSE) 2015, Based at Oregon State University. Available online: https://prism.oregonstate.edu/normals/ (accessed on 13 November 2020).
- Fassnacht, S.R.; Patterson, G.G.; Venable, N.B.; Cherry, M.L.; Pfohl, A.K.; Sanow, J.E.; Tedesche, M.E. How Do We Define Climate Change? Considering the Temporal Resolution of Niveo-Meteorological Data. Hydrology 2020, 7, 38. [Google Scholar] [CrossRef]
- Kampf, S.K.; Fassnacht, S.R. Snow, Colorado Encyclopedia. Available online: https://coloradoencyclopedia.org/article/snow (accessed on 12 January 2020).
- Natural Resources Conservation Service. NRCS: National Water and Climate Center SNOTEL Data Network; U.S. Department of Agriculture: Washington, DC, USA, 2016. Available online: ww.wcc.nrcs.usda.gov/snow/ (accessed on 26 July 2020).
- Matheron, G. Principles of geostatistics. Econ. Geol. 1963, 58, 1246–1266. [Google Scholar] [CrossRef]
- Chiles, J.P.; Delfiner, P. Geostatistics: Modelling Spatial Uncertainty; Wiley: New York, NY, USA, 1999. [Google Scholar]
- Collados-Lara, A.-J.; Pardo-Igúzquiza, E.; Pulido-Velazquez, D.; Jiménez-Sánchez, J. Precipitation fields in an alpine Mediterranean catchment: Inversion of precipitation gradient with elevation or undercatch of snowfall? Int. J. Clim. 2018, 38, 3565–3578. [Google Scholar] [CrossRef]
- Pardo-Igúzquiza, E.; Chica-Olmo, M.; Atkinson, P.M. Downscaling cokriging for image sharpening. Remote Sens. Envrion. 2006, 102, 86–98. [Google Scholar] [CrossRef]
- Grimes, D.I.F.; Pardo-Igúzquiza, E.; Bonifacio, R. Optimal areal rainfall estimation using raingauges and satellite data. J. Hydrol. 1999, 222, 93–108. [Google Scholar] [CrossRef]
- Fassnacht, S.R.; Dressler, K.A.; Bales, R.C. Snow water equivalent interpolation for the Colorado River Basin from snow telemetry (SNOTEL) data. Water Resour. Res. 2003, 39, 1208. [Google Scholar] [CrossRef]
- Pardo-Igúzquiza, E. Comparison of geostatistical methods for estimating the areal average climatological rainfall mean using data on precipitation and topography. Int. J. Clim. 1998, 18, 1031–1047. [Google Scholar] [CrossRef]
- Cassiani, G.; Christakos, G. Analysis and Estimation of Natural Processes with Nonhomogeneous Spatial Variation Using Secondary Information. Math. Geol. 1998, 30, 57–76. [Google Scholar] [CrossRef]
- Vancutsem, C.; Ceccato, P.; Dinku, T.; Connor, S.J. Evaluation of MODIS land surface temperature data to estimate air temperature in different ecosystems over Africa. Remote Sens. Environ. 2010, 114, 449–465. [Google Scholar] [CrossRef]
- Carrera-Hernández, J.; Gaskin, S. Spatio temporal analysis of daily precipitation and temperature in the Basin of Mexico. J. Hydrol. 2007, 336, 231–249. [Google Scholar] [CrossRef]
- Guo, Q.; Zhang, M.; Yang, X.; Zheng, M. Spatial Interpolation of Monthly Mean Temperatures Based on Cokriging Method. In Advances in Computational Science and Computing. ISCSC 2018. Advances in Intelligent Systems and Computing, Tlemcen, Algeria, 1–3 October 2018; Xiong, N., Xiao, Z., Tong, Z., Du, J., Wang, L., Li, M., Eds.; Springer: Cham, Switzerland, 2019; p. 877. [Google Scholar] [CrossRef]
- Boezio, M.N.M.; Costa, J.F.C.L.; Koppe, J.C. Kriging with an external drift versus collocated cokriging for water table mapping. Appl. Earth Sci. 2006, 115, 103–112. [Google Scholar] [CrossRef]
- Wackernagel, H. Multivariate geostatistics: An introduction with applications. Multivariate Geostatistics: An Introduction with Applications. J. Am. Stat. Assoc. 1996, 91, 1375. [Google Scholar] [CrossRef]
- Freitas, S.C.; Trigo, I.; Macedo, J.; Barroso, C.; Silva, R.; Perdigao, R. Land Surface Temperature from multiple geostationary satellites. Int. J. Remote Sens. 2013, 34, 3051–3068. [Google Scholar] [CrossRef]
- Jin, K.; Wang, F.; Zong, Q.L.; Qin, P.; Liu, C.X. Impact of variations in vegetation on surface air temperature change over the Chinese Loess Plateau. Sci. Total Envrion. 2020, 716, 136967. [Google Scholar] [CrossRef] [PubMed]
- Musacchio, C.; Coppa, G.; Merlone, A. An experimental method for evaluation of the snow albedo effect on near-surface air temperature measurements. Meteorol. Appl. 2019, 26, 161–170. [Google Scholar] [CrossRef]
- Thiebault, K.; Young, S. Snow cover change and its relationship with land surface temperature and vegetation in northeastern North America from 2000 to 2017. Int. J. Remote Sens. 2020, 41, 8453–8474. [Google Scholar] [CrossRef]














| Day | MODIS View Time | SNOTEL Time | Mean (°C) and St. Dev. (°C) for MODIS LST | Mean (°C) and St.Dev. (°C) for SNOTEL Temperature |
|---|---|---|---|---|
| 10 September 2018 | 21:54 | 22:00 | 6.6 and 2.5 | 8.2 and 3.2 |
| 17 January 2018 | 11:06 | 11:00 | −5.7 and 5.5 | −0.6 and 2.9 |
| 27 April 2018 | 10:42 | 11:00 | 12.6 and 7.3 | 12.1 and 1.2 |
| 19 July 2018 | 11:12 | 11:00 | 28.3 and 4.4 | 22.2 and 1.7 |
| 16 October 2018 | 11:06 | 11:00 | 1.5 and 3.8 | 3.8 and 1.4 |
| Used Data | |||
|---|---|---|---|
| Solution | SNOTEL | LST from MODIS | Elevation |
| LST from MODIS | X | ||
| Hypsometric interpolation | X | X | |
| OK | X | ||
| KED using elevation | X | X | |
| KED using LST | X | X | |
| COK using elevation | X | X | |
| COK using LST | X | X | |
| Merged KED | X | X | X |
| Merged COK | X | X | X |
| Solution | R2 of the Linear Relationship | % of Pixels Included in the Estimation Uncertainty Range | ||
|---|---|---|---|---|
| LST | Interpolation Using the SNOTEL Lapse Rate | LST | Interpolation Using the SNOTEL Lapse Rate | |
| OK | 0.33 | 0.21 | 62 | 40 |
| KED using elevation | 0.53 | 0.71 | 81 | 50 |
| KED using LST | 0.93 | 0.46 | 78 | 38 |
| COK using elevation | 0.33 | 0.23 | 64 | 40 |
| COK using LST | 0.46 | 0.28 | 62 | 38 |
| Merged KED | 0.79 | 0.64 | 73 | 35 |
| Merged COK | 0.42 | 0.27 | 47 | 30 |
| Day | Mean (°C) | Standard Deviation (°C) |
|---|---|---|
| 17 January 2018 | −1.0 | 3.1 |
| 27 April 2018 | 11.9 | 1.5 |
| 19 July 2018 | 21.7 | 3.0 |
| 16 October 2018 | 3.5 | 2.6 |
Publisher’s Note: MDPI stays neutral with regard to jurisdictional claims in published maps and institutional affiliations. |
© 2020 by the authors. Licensee MDPI, Basel, Switzerland. This article is an open access article distributed under the terms and conditions of the Creative Commons Attribution (CC BY) license (http://creativecommons.org/licenses/by/4.0/).
Share and Cite
Collados-Lara, A.-J.; Fassnacht, S.R.; Pardo-Igúzquiza, E.; Pulido-Velazquez, D. Assessment of High Resolution Air Temperature Fields at Rocky Mountain National Park by Combining Scarce Point Measurements with Elevation and Remote Sensing Data. Remote Sens. 2021, 13, 113. https://doi.org/10.3390/rs13010113
Collados-Lara A-J, Fassnacht SR, Pardo-Igúzquiza E, Pulido-Velazquez D. Assessment of High Resolution Air Temperature Fields at Rocky Mountain National Park by Combining Scarce Point Measurements with Elevation and Remote Sensing Data. Remote Sensing. 2021; 13(1):113. https://doi.org/10.3390/rs13010113
Chicago/Turabian StyleCollados-Lara, Antonio-Juan, Steven R. Fassnacht, Eulogio Pardo-Igúzquiza, and David Pulido-Velazquez. 2021. "Assessment of High Resolution Air Temperature Fields at Rocky Mountain National Park by Combining Scarce Point Measurements with Elevation and Remote Sensing Data" Remote Sensing 13, no. 1: 113. https://doi.org/10.3390/rs13010113
APA StyleCollados-Lara, A.-J., Fassnacht, S. R., Pardo-Igúzquiza, E., & Pulido-Velazquez, D. (2021). Assessment of High Resolution Air Temperature Fields at Rocky Mountain National Park by Combining Scarce Point Measurements with Elevation and Remote Sensing Data. Remote Sensing, 13(1), 113. https://doi.org/10.3390/rs13010113

