Transfer Change Rules from Recurrent Fully Convolutional Networks for Hyperspectral Unmanned Aerial Vehicle Images without Ground Truth Data
Abstract
1. Introduction
- (1)
- The method can be effectively applied to VHR in both spatial and spectral images by automatically generating initial label data from plentiful spectral bands and using multiscale 3D filters to extract various sized objects from the images.
- (2)
- Our method can improve the CD results of hyperspectral UAV images when using only label data obtained in an unsupervised way by transferring pre-trained information. In doing so, it possesses the advantages of both supervised and unsupervised approaches.
- (3)
- The proposed method can effectively transfer change rules using a combined weighted loss and detect changes with minimal additional training. Furthermore, the final CD map can be created without post-processing requirements, such as clustering and classification.
2. Methods
2.1. Architecture of the Proposed Change Detection (CD) Methods
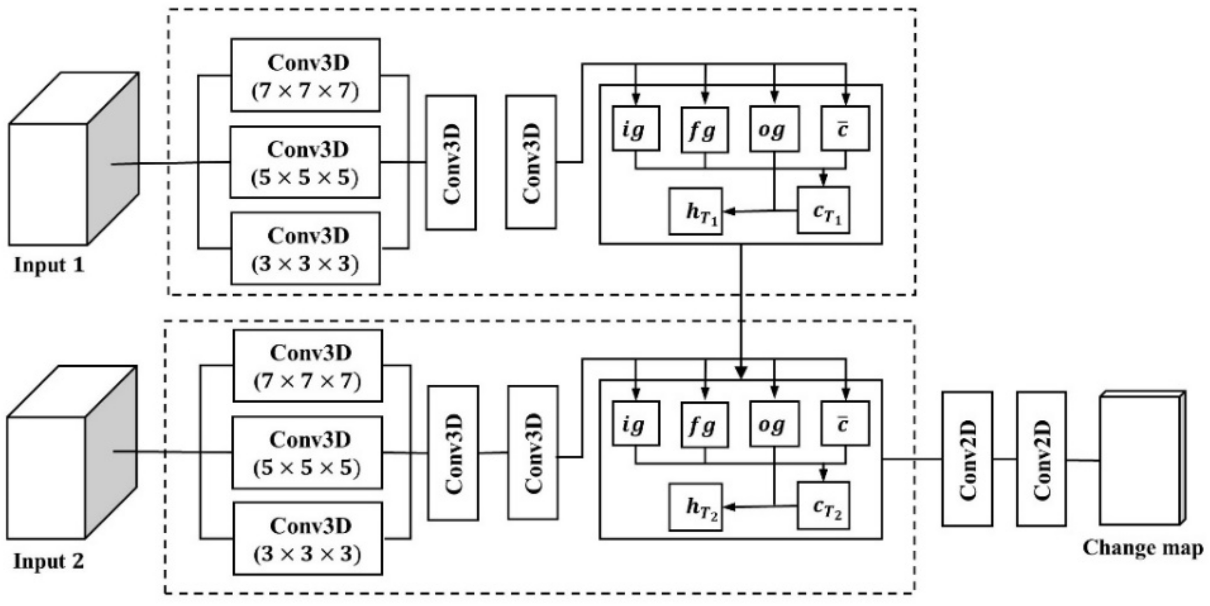
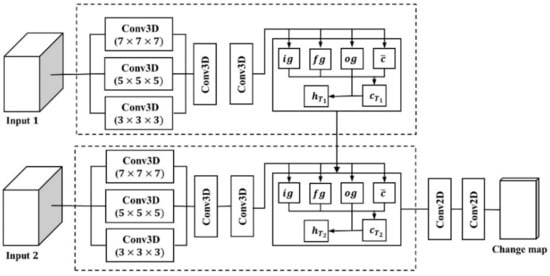
2.2. CD Network for Very High-Resolution Hyperspectral UAV Images
2.3. Generating Label Data
2.3.1. Difference Imaging Based on the Spectral Similarity Measures
2.3.2. Sample Selection Using Fuzzy C-Means Clustering
2.4. Quality Assessment
3. Datasets
4. Results
4.1. Label Data Generated from DIs
4.2. CD Results
5. Discussion
5.1. Comparison with Output of Each Step
5.2. Limitations and Future Work
6. Conclusions
Author Contributions
Funding
Acknowledgments
Conflicts of Interest
References
- Gong, J.; Sui, H.; Ma, G.; Zhou, Q. A review of multitemporal remote sensing data change detection algorithms. Proc. ISPRS 2008, 37, 757–762. [Google Scholar]
- Wang, S.; Ma, Q.; Ding, H.; Liang, H. Detection of urban expansion and land surface temperature change using multi-temporal Landsat images. Resour. Conserv. Recycl. 2018, 128, 526–534. [Google Scholar] [CrossRef]
- Washaya, P.; Balz, T.; Mohamadi, B. Coherence change-detection with sentinel-1 for natural and anthropogenic disaster monitoring in urban areas. Remote Sens. 2018, 10, 1026. [Google Scholar] [CrossRef]
- Schultz, M.; Shapiro, A.; Clevers, J.; Beech, C.; Herold, M. Forest cover and vegetation degradation detection in the Kavango Zambezi rransfrontier conservation area using BFAST monitor. Remote Sens. 2018, 10, 1850. [Google Scholar] [CrossRef]
- Adão, T.; Hruška, J.; Pádua, L.; Bessa, J.; Peres, E.; Morais, R.; Sousa, J.J. Hyperspectral imaging: A review on UAV-based sensors, data processing and applications for agriculture and forestry. Remote Sens. 2017, 9, 1110. [Google Scholar] [CrossRef]
- Dellinger, F.; Delon, J.; Gousseau, Y.; Michel, J.; Tupin, F. Change detection for high resolution satellite images, based on SIFT descriptors and an a contrario approach. In Proceedings of the 2014 IEEE International Geoscience and Remote Sensing Symposium, Quebec City, QC, Canada, 13–18 July 2014; pp. 1281–1284. [Google Scholar]
- Camacho, A.; Correa, C.V.; Arguello, H. An analysis of spectral variability in hyperspectral imagery: A case study of stressed oil palm detection in Colombia. Int. J. Remote Sens. 2019, 40, 7603–7623. [Google Scholar] [CrossRef]
- Wulder, M.A.; Ortlepp, S.M.; White, J.C.; Coops, N.C.; Coggins, S.B. Monitoring tree-level insect population dynamics with multi-scale and multi-source remote sensing. J. Spat. Sci. 2008, 53, 49–61. [Google Scholar] [CrossRef]
- Thomson, A.G.; Fuller, R.M.; Eastwoods, J.A. Supervised versus unsupervised methods for classification of coasts and river corridors from airborne remote sensing. Int. J. Remote Sens. 1998, 18, 3423–3431. [Google Scholar] [CrossRef]
- Liu, S.; Bruzzone, L. Hierarchical unsupervised change detection in multitemporal hyperspectral images. IEEE Trans. Geosci. Remote Sens. 2015, 53, 244–260. [Google Scholar]
- Gong, M.; Zhao, J.; Liu, J.; Miao, Q.; Jiao, L. Change detection in synthetic aperture radar images based on deep neural networks. IEEE Trans. Neural Netw. 2016, 27, 125–138. [Google Scholar] [CrossRef]
- Song, A.; Choi, J.; Han, Y.; Kim, Y. Change detection in hyperspectral images using recurrent 3d fully convolutional networks. Remote Sens. 2018, 10, 1827. [Google Scholar] [CrossRef]
- Peng, D.; Guan, H. Unsupervised change detection method based on saliency analysis and convolutional neural network. J. Appl. Remote Sens. 2019, 13, 024512. [Google Scholar] [CrossRef]
- Gong, M.; Niu, X.; Zhang, P.; Li, Z. Generative adversarial networks for change detection in multi- spectral imagery. IEEE Geosci. Remote Sens. Lett. 2017, 14, 2310–2314. [Google Scholar] [CrossRef]
- Chen, H.; Wu, C.; Du, B.; Zhang, L.; Wang, L. Change detection in multisource VHR images via deep Siamese convolutional multiple-layers recurrent neural network. IEEE Trans. Geosci. Remote Sens. 2019, 20, 1–17. [Google Scholar] [CrossRef]
- Yang, M.; Jiao, L.; Liu, F.; Hou, B.; Yang, S. Transferred deep learning-based change detection in remote sensing images. IEEE Trans. Geosci. Remote Sens. 2019, 57, 6960–6973. [Google Scholar] [CrossRef]
- Liu, J.; Chen, K.; Xu, G.; Sun, X.; Yan, M.; Diao, W.; Han, H. Convolutional neural network-based transfer learning for optical aerial images change detection. IEEE Geosci. Remote S. 2019, 17, 127–131. [Google Scholar] [CrossRef]
- Li, Y.; Zhang, H.; Xue, X.; Jiang, Y.; Shen, Q. Deep learning for remote sensing image classification: A survey. In Wiley Interdisciplinary Reviews: Data Mining and Knowledge Discovery; John Wiley & Sons: Hoboken, NJ, USA, 2018; p. e1264. [Google Scholar]
- Yuan, Q.; Wei, Y.; Meng, X.; Shen, H.; Zhang, L. A multiscale and multidepth convolutional neural network for remote sensing imagery pan-sharpening. IEEE J. Sel. Top. Appl. Earth Obs. Remote Sens. 2018, 11, 978–989. [Google Scholar] [CrossRef]
- Li, Y.; Zhang, H.; Shen, Q. Spectral-spatial classification of hyperspectral imagery with 3D convolutional neural network. Remote Sens. 2017, 9, 67. [Google Scholar] [CrossRef]
- Song, A.; Choi, J. Fully convolutional networks with multiscale 3D filters and transfer learning for change detection in high spatial resolution satellite images. Remote Sens. 2020, 12, 799. [Google Scholar] [CrossRef]
- Acquarelli, J.; Marchiori, E.; Buydens, L.M.C.; Tran, T.; van Laarhoven, T. Spectral-spatial classification of hyperspectral images: Three tricks and a new learning setting. Remote Sens. 2018, 10, 1156. [Google Scholar] [CrossRef]
- Lyu, H.; Lu, H.; Mou, L. Learning a transferable change rule from a recurrent neural network for land cover change detection. Remote Sens. 2016, 8, 506. [Google Scholar] [CrossRef]
- Mou, L.; Bruzzone, L.; Zhu, X.X. Learning spectral-spatial-temporal features via a recurrent convolutional neural network for change detection in multispectral imagery. IEEE Trans. Geosci. Remote Sens. 2019, 57, 924–935. [Google Scholar] [CrossRef]
- Jong, K.L.D.; Bosman, A.S. Unsupervised Change Detection in Satellite Images Using Convolutional Neural Networks. Available online: https://arxiv.org/abs/1812.05815?context=cs.NE (accessed on 30 March 2020).
- Bovolo, F.; Marchesi, S.; Bruzzone, L. A framework for automatic and unsupervised detection of multiple changes in multitemporal images. IEEE Trans. Geosci. Remote 2012, 50, 2196–2212. [Google Scholar] [CrossRef]
- Ramos, J.F.; Renza, D.; Ballesteros, L.; Dora, M. Evaluation of spectral similarity indices in unsupervised change detection approaches. Dyna 2018, 85, 117–126. [Google Scholar]
- Shanmugam, S.; SrinivasaPerumal, P. Spectral matching approaches in hyperspectral image processing. Int. J. Remote Sens. 2014, 35, 8217–8251. [Google Scholar] [CrossRef]
- Du, Y.; Chang, C.-I.; Ren, H.; Chang, C.-C.; Jensen, J.O.; D’Amico, F.M. New hyperspectral discrimination measure for spectral characterization. Opt. Eng. 2004, 43, 1777–1786. [Google Scholar]
- Kruse, F.A.; Lefkoff, A.B.; Boardman, J.W.; Heidebrecht, K.B.; Shapiro, A.T.; Barloon, P.J.; Goetz, A.F.H. The spectral image-processing system (SIPS)-interactive visualization and analysis of imaging spectrometer data. Remote Sens. Environ. 1993, 44, 145–163. [Google Scholar] [CrossRef]
- Robila, S.A.; Gershman, A. Spectral matching accuracy in processing hyperspectral data. In Proceedings of the IEEE International Symposium on Signals, Circuits and Systems, ISSCS 2005, Iasi, Romania, 14–15 July 2005; Volume 1, pp. 165–166. [Google Scholar]
- Carvalho, O.A., Jr.; Guimaraes, R.F.; Gillespie, A.R.; Silva, N.C.; Gomes, R.A.T. A new approach to change vector analysis using distance and similarity measures. Remote Sens 2011, 3, 2473–2493. [Google Scholar] [CrossRef]
- Chang, C. An information theoretic-based approach to spectral variability, similarity and discriminability for hyperspectral image analysis. IEEE Trans. Inf. Theory 2000, 46, 1927–1932. [Google Scholar] [CrossRef]
- Kumar, M.N.; Seshasai, M.V.R.; Prasad, K.S.V. A new hybrid spectral similarity measure for discrimination among Vigna species. Int. J. Remote Sens. 2011, 32, 4041–4053. [Google Scholar] [CrossRef]
- Chen, B.; Vodacek, A.; Cahill, N.D. A novel adaptive scheme for evaluating spectral similarity in high-resolution urban scenes. IEEE J. Sel. Top. Appl. 2013, 6, 1376–1385. [Google Scholar] [CrossRef]
- Padma, S.; Sanjeevi, S. Jeffries Matusita based mixed-measure for improved spectral matching in hyperspectral image analysis. Int. J. Appl. Earth Obs. Geoinf. 2014, 32, 138–151. [Google Scholar] [CrossRef]
- Adep, R.N.; Vijayan, A.P.; Shetty, A.; Ramesh, H. Performance evaluation of hyperspectral classification algorithms on aviris mineral data. Perspect. Sci. 2016, 8, 722–726. [Google Scholar] [CrossRef]
- Dunn, J.C. A fuzzy relative of the ISODATA process and its use in detecting compact well-separated clusters. J. Cybern. 1974, 3, 32–57. [Google Scholar]
- Mai, D.S.; Long, T.N. Semi-Supervised Fuzzy C-Means Clustering for Change Detection from Multispectral Satellite Image. In Proceedings of the 2015 IEEE International Conference on Fuzzy Systems, Istanbul, Turkey, 2–5 August 2015. [Google Scholar]
- Hao, M.; Zhang, H.; Shi, W.; Deng, K. Unsupervised change detection using fuzzy c-means and MRF from remotely sensed images. Remote Sens. Lett. 2013, 4, 1185–1194. [Google Scholar] [CrossRef]
- Park, S.; Song, A. Discrepancy analysis for detecting candidate parcels requiring update of land category in cadastral map using hyperspectral UAV Images: A case study in Jeonju, South Korea. Remote Sens. 2020, 12, 354. [Google Scholar] [CrossRef]
- ArcGIS Webmap. Available online: https://www.arcgis.com/home/webmap/viewer.html (accessed on 28 January 2020).










| Acronyms | Full Names | Acronyms | Full Names |
|---|---|---|---|
| CD | Change detection | TL | Transfer learning |
| UAV | Unmanned aerial vehicle | SAM | Spectral angle mapper |
| RS | Remote sensing | SCA | Spectral correlation angle |
| VHR | Very high resolution | SCM | Spectral correlation measure |
| SAR | Synthetic aperture radar | SID | Spectral information divergence |
| DI | Difference image | JM | Jeffries–Matusita |
| 3D | Three-dimensional | OA | Overall accuracy |
| 2D | Two-dimensional | TP | True positive |
| FCN | Fully convolutional network | TN | True negative |
| CNN | Convolutional neural network | FN | False negative |
| GAN | Generative adversarial network | FP | False positive |
| DSCNN | Deep Siamese convolutional neural network | CIR | Color-infrared |
| Study Site | Methods | OA | Precision | Recall | F1-Score |
|---|---|---|---|---|---|
| Site1 | SIDSAM | 0.7590 | 0.6162 | 0.5902 | 0.6029 |
| SIDSCA | 0.7497 | 0.7688 | 0.5569 | 0.6459 | |
| JMSAM | 0.5632 | 0.6706 | 0.3700 | 0.4769 | |
| Site2 | SIDSAM | 0.7332 | 0.5205 | 0.2427 | 0.3310 |
| SIDSCA | 0.8045 | 0.4045 | 0.2994 | 0.3441 | |
| JMSAM | 0.6049 | 0.3067 | 0.1124 | 0.1645 |
| The Sampling Methodology | Number of Samples | Study Site | OA | Precision | Recall | F1-Score |
|---|---|---|---|---|---|---|
| Random sampling | Training: 40,000 Validation: 20,000 Testing: 30,000 | Site 1 | 0.9723 | 0.8766 | 0.9199 | 0.8978 |
| Site 2 | 0.9757 | 0.9515 | 0.9663 | 0.9588 | ||
| Non-overlapping sampling | Training: 1600 Validation: 800 Testing: 1200 | Site 1 | 0.9196 | 0.6162 | 0.7585 | 0.6800 |
| Site 2 | 0.9006 | 0.9423 | 0.9184 | 0.9302 |
| Source Domain | Target Domain | Epoch | OA | Precision | Recall | F1-Score | |
|---|---|---|---|---|---|---|---|
| Case 1 | Site1 | Site2 | 0 | 0.6337 | 0.5657 | 0.2040 | 0.2998 |
| 200 | 0.8164 | 0.5808 | 0.3909 | 0.4673 | |||
| Case 2 | Site2 | Site1 | 0 | 0.6273 | 0.6165 | 0.4144 | 0.4956 |
| 200 | 0.8391 | 0.7515 | 0.7194 | 0.7351 |
© 2020 by the authors. Licensee MDPI, Basel, Switzerland. This article is an open access article distributed under the terms and conditions of the Creative Commons Attribution (CC BY) license (http://creativecommons.org/licenses/by/4.0/).
Share and Cite
Song, A.; Kim, Y. Transfer Change Rules from Recurrent Fully Convolutional Networks for Hyperspectral Unmanned Aerial Vehicle Images without Ground Truth Data. Remote Sens. 2020, 12, 1099. https://doi.org/10.3390/rs12071099
Song A, Kim Y. Transfer Change Rules from Recurrent Fully Convolutional Networks for Hyperspectral Unmanned Aerial Vehicle Images without Ground Truth Data. Remote Sensing. 2020; 12(7):1099. https://doi.org/10.3390/rs12071099
Chicago/Turabian StyleSong, Ahram, and Yongil Kim. 2020. "Transfer Change Rules from Recurrent Fully Convolutional Networks for Hyperspectral Unmanned Aerial Vehicle Images without Ground Truth Data" Remote Sensing 12, no. 7: 1099. https://doi.org/10.3390/rs12071099
APA StyleSong, A., & Kim, Y. (2020). Transfer Change Rules from Recurrent Fully Convolutional Networks for Hyperspectral Unmanned Aerial Vehicle Images without Ground Truth Data. Remote Sensing, 12(7), 1099. https://doi.org/10.3390/rs12071099

