Quantifying the Effects of Hurricanes Irma and Maria on Coastal Water Quality in Puerto Rico using Moderate Resolution Satellite Sensors
Abstract
1. Introduction
2. Data and Methods
2.1. Satellite Data Analysis
2.2. Precipitation Analysis
3. Results
3.1. Precipitation Vvalues
3.2. Regional and Monthly Pre- and Post-Hurricane Water Quality
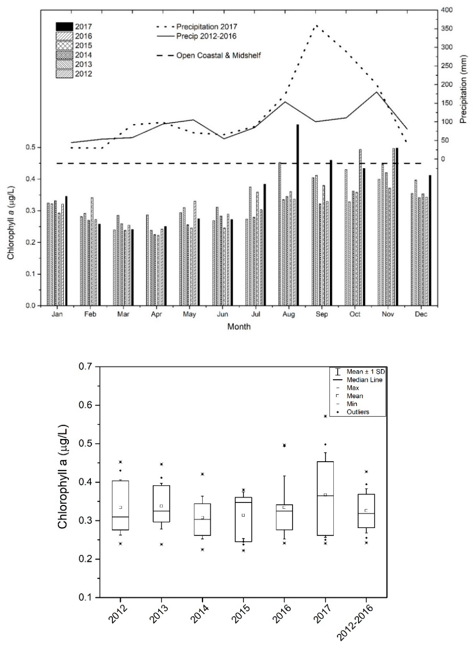
3.2.1. Chl-a Concentrations
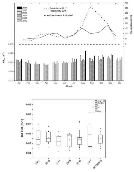
3.2.2. Kd490
3.3. Inner Shelf vs Outer Shelf Pixels
4. Discussion
5. Conclusions
Author Contributions
Funding
Acknowledgments
Conflicts of Interest
References
- Greening, H.; Doering, P.; Corbett, C. Hurricane impacts on coastal ecosystems. Estuaries and coasts, part A: Hurricane impacts on coastal ecosystems. J. Coast. Estuar. Res. Fed. 2006, 29, 877–879. [Google Scholar] [CrossRef]
- Valiela, I.P.; Peckol, C.; D’Avanzo, J.; Kremer, D.; Hersh, K.; Foreman, K.; Lajtha, B.; Seely, W.R.; Geyer, I.; Crawford, R. Ecological effects of major storms on coastal watersheds and coastal waters: Hurricane Bob on Cape Cod. J. Coast. Res. 1998, 14, 218–238. [Google Scholar]
- Hernandez-Cruz, L.R.; Purkis, S.J.; Riegl, B. Documenting decadal spatial changes in seagrass and Acropora palmatta cover by aerial photography analysis in Vieques, Puerto Rico: 1937–2000. Bull. Mar. Sci. 2006, 2, 401–414. [Google Scholar]
- Hernández-Delgado, E.A. The emerging threats of climate change on tropical coastal ecosystem services, public health, local economies and livelihood sustainability of small islands: Cumulative impacts and synergies. Mar. Pollut. Bull. 2015, 101, 5–28. [Google Scholar] [CrossRef]
- García-Sais, J.R.; Williams, S.M.; Amirrezvani, A. Mortality, recovery, and community shifts of scleractinian corals in Puerto Rico one decade after the 2005 regional bleaching event. PeerJ 2017, 5, e3611. [Google Scholar] [CrossRef]
- Mallin, M.A.; Corbett, C.A. How Hurricane attributes determine the extent of environmental effects: Multiple hurricanes and different coastal systems. Estuaries Coasts 2006, 29, 1046–1061. [Google Scholar] [CrossRef]
- Bejarano, I.; Apeldoorn, R. Seawater turbidity and fish communities on coral reefs of Puerto Rico. Mar. Ecol. Prog. Ser. 2013, 474, 217–226. [Google Scholar] [CrossRef]
- Cangialosi, J.P.; Latto, A.S.; Berg, R. National Hurricane Center Tropical Cyclone Report Hurricane Irma (AL112017). 2018. Available online: https://www.nhc.noaa.gov/data/tcr/AL112017_Irma.pdf (accessed on 20 August 2018).
- Pasch, R.J.; Penny, A.B.; Berg, R. National Hurricane Center Tropical Cyclone Report Hurricane María (AL152017). 2018. Available online: https://www.nhc.noaa.gov/data/tcr/AL152017_María.pdf (accessed on 20 August 2018).
- Miller, P.W.; Kumar, A.; Mote, T.L.; Moraes, F.D.S.; Mishra, D.R. Persistent hydrological consequences of Hurricane María in Puerto Rico. Geophys. Res. Lett. 2019, 46, 1413–1422. [Google Scholar] [CrossRef]
- Hu, T.; Smith, R.B. The Impact of Hurricane María on the Vegetation of Dominica and Puerto Rico Using Multispectral Remote Sensing. Remote Sens. 2018, 10, 827. [Google Scholar] [CrossRef]
- Shi, W.; Wang, M. Observations of a Hurricane Katrina-induced phytoplankton bloom in the Gulf of Mexico. Geophys. Res. Lett 2007, 34, 11607. [Google Scholar] [CrossRef]
- Gilbes, F.; Armstrong, R.A.; Webb, R.M.; Müller-Karger, F.E. SeaWifs helps assess hurricane impact on phytoplankton in caribbean sea. Eos Trans. Am. Geophys. Union 2001, 82, 529. [Google Scholar] [CrossRef]
- Wang, M.; Son, S. VIIRS-derived chlorophyll-a using the ocean color index method. Remote Sens. Environ. 2016, 182, 141–149. [Google Scholar] [CrossRef]
- Hu, C.; Lee, Z.; Franz, B.A. Chlorophyll-a algorithms for oligotrophic oceans: A novel approach based on three-band reflectance difference. J. Geophys. Res. 2012, 117. [Google Scholar] [CrossRef]
- O’Reilly, J.E.; Maritorena, S.; Mitchell, B.G.; Siegel, D.A.; Carder, K.L.; Garver, S.A.; Kahru, M.; McClain, C.R. Ocean color chlorophyll algorithms for SeaWiFS. J. Geophys. Res. 1998, 103, 24937–24953. [Google Scholar] [CrossRef]
- Wang, M.; Son, S.; Harding, L.W., Jr. Retrieval of diffuse attenuation coefficient in the Chesapeake Bay and turbid ocean regions for satellite ocean color applications. J. Geophys. Res. 2009, 114. [Google Scholar] [CrossRef]
- Morel, A.H.Y.; Gentili, B.; Werdell, P.J.; Hooker, S.B.; Franz, B.A. Examining the consistency of products derived from various ocean color sensors in open ocean (Case 1) waters in the perspective of a multi-sensor approach. Remote Sens. Environ. 2007, 111, 69–88. [Google Scholar] [CrossRef]
- Lee, Z.P.; Du, K.; Arnone, R. A model for the diffuse attenuation coefficient of downwelling irradiance. J. Geophys. Res. 2005, 110. [Google Scholar] [CrossRef]
- Kirk, J.T.O. Light and Photosynthesis in Aquatic Ecosystems; Cambridge University Press: Cambridge, UK, 2011. [Google Scholar]
- Kendall, M.S.C.R.; Kruer, K.R.; Buja, J.D.; Christensen, M.; Finkbeiner, R.A.; Warner Monaco, M.E. NOAA Technical Memorandum NOS NCCOS CCMA 152 (On-line). Methods Used to Map the Benthic Habitats of Puerto Rico and the U.S. Virgin Islands. 2001. Available online: http://biogeo.nos.noaa.gov/projects/mapping/caribbean/startup.htm (accessed on 21 November 2019).
- Water Quality Standards (WQS). Hawaii Administrative Rules (HAR). Amendment and Compilation of Chapter 11–54. State of Hawai‘i Department of Health. Available online: https://www.epa.gov/wqs-tech/water-quality-standards-regulations-hawaii (accessed on 22 November 2019).
- (GBRMPA) Great Barrier Reef Marine Park Authority. Water Quality Guidelines for the Great Barrier Reef Marine Park; Great Barrier Reef Marine Park Authority: Townsville, Australia, 2010; p. 99. [Google Scholar]
- Ramos-Scharrón, C.E.; Arima, E. Hurricane María’s Precipitation Signature in Puerto Rico: A Conceivable Presage of Rains to Come; Scientific Reports; Nature Research: London, UK, 2019. [Google Scholar]
- Keellings, D.; Hernández Ayala, J.J. Extreme rainfall associated with Hurricane María over Puerto Rico and its connections to climate variability and change. Geophys. Res. Lett. 2019, 46, 2964–2973. [Google Scholar] [CrossRef]
- NWS San Juan. Climate Review for Puerto Rico and the U.S. Virgin Islands. Climate Reports from the Weather Forecast Office San Juan. 2017. Available online: https://www.weather.gov/media/sju/climo/monthly_reports/2017/2017.pdf (accessed on 8 February 2020).
- Rogers, C.S. Responses of coral reefs and reef organisms to sedimentation. Mar. Ecol. 1990, 62, 185–202. [Google Scholar] [CrossRef]
- Scheffer, M.S.; Carpenter, J.A.; Foley, C.; Folke Walker, B. Catastrophic shifts in ecosystems. Nature 2001, 413, 591–596. [Google Scholar] [CrossRef]
- Warne, A.G.; Webb, R.M.T.; Larsen, M.C. Water, sediment, and nutrient discharge characteristics of rivers in Puerto Rico, and their potential influence on Coral Reefs. Available online: http://pubs.usgs.gov/sir/2005/5206/ (accessed on 30 January 2007).
- Mikelsons, K.; Wang, M. Optimal satellite orbit configuration for global ocean color product coverage. Opt. Express 2019, 27, A445–A457. [Google Scholar] [CrossRef] [PubMed]










© 2020 by the authors. Licensee MDPI, Basel, Switzerland. This article is an open access article distributed under the terms and conditions of the Creative Commons Attribution (CC BY) license (http://creativecommons.org/licenses/by/4.0/).
Share and Cite
Hernández, W.J.; Ortiz-Rosa, S.; Armstrong, R.A.; Geiger, E.F.; Eakin, C.M.; Warner, R.A. Quantifying the Effects of Hurricanes Irma and Maria on Coastal Water Quality in Puerto Rico using Moderate Resolution Satellite Sensors. Remote Sens. 2020, 12, 964. https://doi.org/10.3390/rs12060964
Hernández WJ, Ortiz-Rosa S, Armstrong RA, Geiger EF, Eakin CM, Warner RA. Quantifying the Effects of Hurricanes Irma and Maria on Coastal Water Quality in Puerto Rico using Moderate Resolution Satellite Sensors. Remote Sensing. 2020; 12(6):964. https://doi.org/10.3390/rs12060964
Chicago/Turabian StyleHernández, William J., Suhey Ortiz-Rosa, Roy A. Armstrong, Erick F. Geiger, C. Mark Eakin, and Robert A. Warner. 2020. "Quantifying the Effects of Hurricanes Irma and Maria on Coastal Water Quality in Puerto Rico using Moderate Resolution Satellite Sensors" Remote Sensing 12, no. 6: 964. https://doi.org/10.3390/rs12060964
APA StyleHernández, W. J., Ortiz-Rosa, S., Armstrong, R. A., Geiger, E. F., Eakin, C. M., & Warner, R. A. (2020). Quantifying the Effects of Hurricanes Irma and Maria on Coastal Water Quality in Puerto Rico using Moderate Resolution Satellite Sensors. Remote Sensing, 12(6), 964. https://doi.org/10.3390/rs12060964

