Differential Kalman Filter Design for GNSS Open Loop Tracking
Abstract
1. Introduction
2. Structure of OL-DKF
2.1. State Model of the Proposed OL-DKF
2.2. Measurement Model of the Proposed OL-DKF
3. Parameters Setting
3.1. Performance Analysis of OL-DKF
3.1.1. Input Performance of OL-DKF
- Accuracy of the code phase measurement
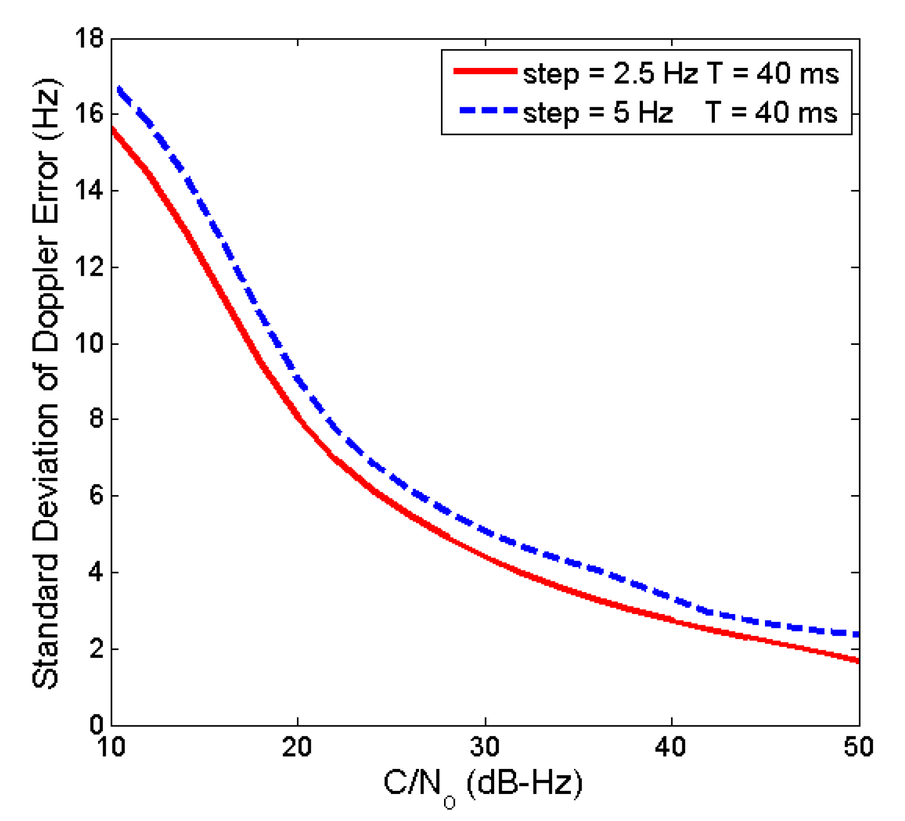
- Accuracy of the Doppler frequency measurement
3.1.2. Output Performance of OL-DKF
3.2. Accuracy of OL Outputs
3.3. Accuracy of OL-KF Outputs
4. Numerical Simulations and Comparisons Between OL, OL-KF and the Proposed OL-DKF
4.1. Comparison of Velocity Accuracy
4.2. Comparison of Position Accuracy
5. Experiments and Results
5.1. First Test Case: Unblocked Roads
5.2. Second Test Case: Roads Blocked by Light Railway
5.3. Third Test Case: Roads in City Canyon
6. Conclusions
Author Contributions
Funding
Conflicts of Interest
Appendix A. Derivation of Accuracy of the OL-KF Output
References
- Curran, J.T.; Lachapelle, G.; Murphy, C.C. Improving the design of frequency lock loops for GNSS receivers. IEEE Trans. Aerosp. Electron. Syst. 2012, 48, 850–868. [Google Scholar] [CrossRef]
- Roncagliolo, P.A.; Garcia, J.G. High dynamics and false lock resistant GNSS carrier tracking loops. In Proceedings of the ION GNSS 2007, Institute of Navigation, Fort Worth, TX, USA, 25–28 September 2007; pp. 2364–2375. [Google Scholar]
- Roncagliolo, P.A.; García, J.G.; Muravchik, C.H. Optimized carrier tracking loop design for real-time high-dynamics GNSS receivers. Int. J. Navig. Obs. 2012, 2012, 651039. [Google Scholar] [CrossRef]
- Yang, R.; Ling, K.V.; Poh, E.K.; Morton, Y. Generalized GNSS signal carrier tracking: Part I—Modeling and analysis. IEEE Trans. Aerosp. Electron. Syst. 2017, 53, 1781–1797. [Google Scholar] [CrossRef]
- Yang, R.; Ling, K.V.; Poh, E.K.; Morton, Y. Generalized GNSS Signal Carrier Tracking—Part II: Optimization and Implementation. IEEE Trans. Aerosp. Electron. Syst. 2017, 53, 1798–1811. [Google Scholar] [CrossRef]
- Psiaki, M.L. Extended Kalman filter methods for tracking weak GPS signals. In Proceedings of the ION GPS 2002, Institute of Navigation, Portland, ON, USA, 24–27 September 2002; pp. 2539–2553. [Google Scholar]
- Ziedan, N.I.; Garrison, J.L. Extended Kalman filter-based tracking of weak GPS signals under high dynamic conditions. In Proceedings of the ION GNSS 2004, Institute of Navigation, Long Beach, CA, USA, 21–24 September 2004; pp. 20–31. [Google Scholar]
- Omidi, M.J.; Gazor, S.; Gulak, P.G.; Pasupathy, S. Differential Kalman filtering for tracking Rayleigh fading channels. In Signal Processing Systems; IEEE: Cambridge, MA, USA, 1998; pp. 376–385. [Google Scholar]
- Gazor, S.; Rabiei, A.M.; Pasupathy, S. Synchronized per survivor MLSD receiver using a differential Kalman filter. IEEE Trans. Commun. 2002, 50, 364–368. [Google Scholar] [CrossRef]
- Zhao, S.; Cui, X.; Guan, F.; Lu, M. A Kalman filter-based short baseline RTK algorithm for single-frequency combination of GPS and BDS. Sensors 2014, 14, 15415–15433. [Google Scholar] [CrossRef] [PubMed]
- Krasner, N.F. Method for Open Loop Tracking GPS Signals. U.S. Patent 6,633,255, 14 October 2003. [Google Scholar]
- Uijt de Haag, M. An Investigation into the Application of Block Processing Techniques for the Global Positioning System. Ph.D. Thesis, Ohio University, Athens, OH, USA, 1999. Available online: https://etd.ohiolink.edu/pg_10?0::NO:10:P10_ACCESSION_NUM:ohiou1181171187 (accessed on 2 January 2019).
- van Graas, F.; Soloviev, A.; de Haag, M.U.; Gunawardena, S. Closed-loop sequential signal processing and open-loop batch processing approaches for GNSS receiver design. IEEE J. Sel. Top. Signal Process. 2009, 3, 571–586. [Google Scholar] [CrossRef]
- Lin, H.; Tang, X.; Ou, G. An Open Loop With Kalman Filter for Intermittent GNSS Signal Tracking. IEEE Commun. Lett. 2017, 21, 2634–2637. [Google Scholar] [CrossRef]
- Han, S.; Wang, W.; Chen, X.; Meng, W. Quasi-open-loop Structure for high dynamic carrier tracking based on UKF. Acta Aeronaut. Astronaut. Sin. 2010, 31, 2393–2399. [Google Scholar]
- Tahir, M.; Presti, L.L.; Fantino, M. A novel quasi-open loop architecture for GNSS carrier recovery systems. Int. J. Navig. Obs. 2012, 2012, 324858. [Google Scholar] [CrossRef]
- Shin, O.S.; Lee, K.B. Differentially coherent combining for double-dwell code acquisition in DS-CDMA systems. IEEE Trans. Commun. 2003, 51, 1046–1050. [Google Scholar] [CrossRef]
- Hsu, L.T.; Jan, S.S.; Groves, P.D.; Kubo, N. Multipath mitigation and NLOS detection using vector tracking in urban environments. GPS Solut. 2015, 19, 249–262. [Google Scholar] [CrossRef]
- Kaplan, E.; Hegarty, C. Understanding GPS: Principles and Applications; Artech House: Boston, CA, USA, 2005. [Google Scholar]
- Borio, D.; Camoriano, L.; Presti, L.L. Impact of GPS acquisition strategy on decision probabilities. IEEE Trans. Aerosp. Electron. Syst. 2008, 44, 996–1011. [Google Scholar] [CrossRef]
- Zhou, Z.; Li, B. Opti+mal Doppler-aided smoothing strategy for GNSS navigation. GPS Solut. 2017, 21, 197–210. [Google Scholar] [CrossRef]































© 2020 by the authors. Licensee MDPI, Basel, Switzerland. This article is an open access article distributed under the terms and conditions of the Creative Commons Attribution (CC BY) license (http://creativecommons.org/licenses/by/4.0/).
Share and Cite
Jin, T.; Yuan, H.; Ling, K.-V.; Qin, H.; Kang, J. Differential Kalman Filter Design for GNSS Open Loop Tracking. Remote Sens. 2020, 12, 812. https://doi.org/10.3390/rs12050812
Jin T, Yuan H, Ling K-V, Qin H, Kang J. Differential Kalman Filter Design for GNSS Open Loop Tracking. Remote Sensing. 2020; 12(5):812. https://doi.org/10.3390/rs12050812
Chicago/Turabian StyleJin, Tian, Heliang Yuan, Keck-Voon Ling, Honglei Qin, and Jianrong Kang. 2020. "Differential Kalman Filter Design for GNSS Open Loop Tracking" Remote Sensing 12, no. 5: 812. https://doi.org/10.3390/rs12050812
APA StyleJin, T., Yuan, H., Ling, K.-V., Qin, H., & Kang, J. (2020). Differential Kalman Filter Design for GNSS Open Loop Tracking. Remote Sensing, 12(5), 812. https://doi.org/10.3390/rs12050812

