Evaluation of Seven Atmospheric Profiles from Reanalysis and Satellite-Derived Products: Implication for Single-Channel Land Surface Temperature Retrieval
Abstract
1. Introduction
2. Materials and Methods
2.1. Data
2.1.1. Atmospheric Profiles
2.1.2. Landsat Data
2.1.3. ASTER GED Data
2.1.4. In Situ LST Measurements
2.1.5. In Situ LST Uncertainty
2.2. Methodology
2.2.1. Single-Channel LST Retrieval Algorithm
2.2.2. Calculation of atmospheric parameters
2.2.3. Surface Emissivity Estimation
2.2.4. Sensitivity Analysis of Single-Channel Algorithm
3. Results
3.1. Comparison of Vertical Distributions of Different Atmospheric Profiles
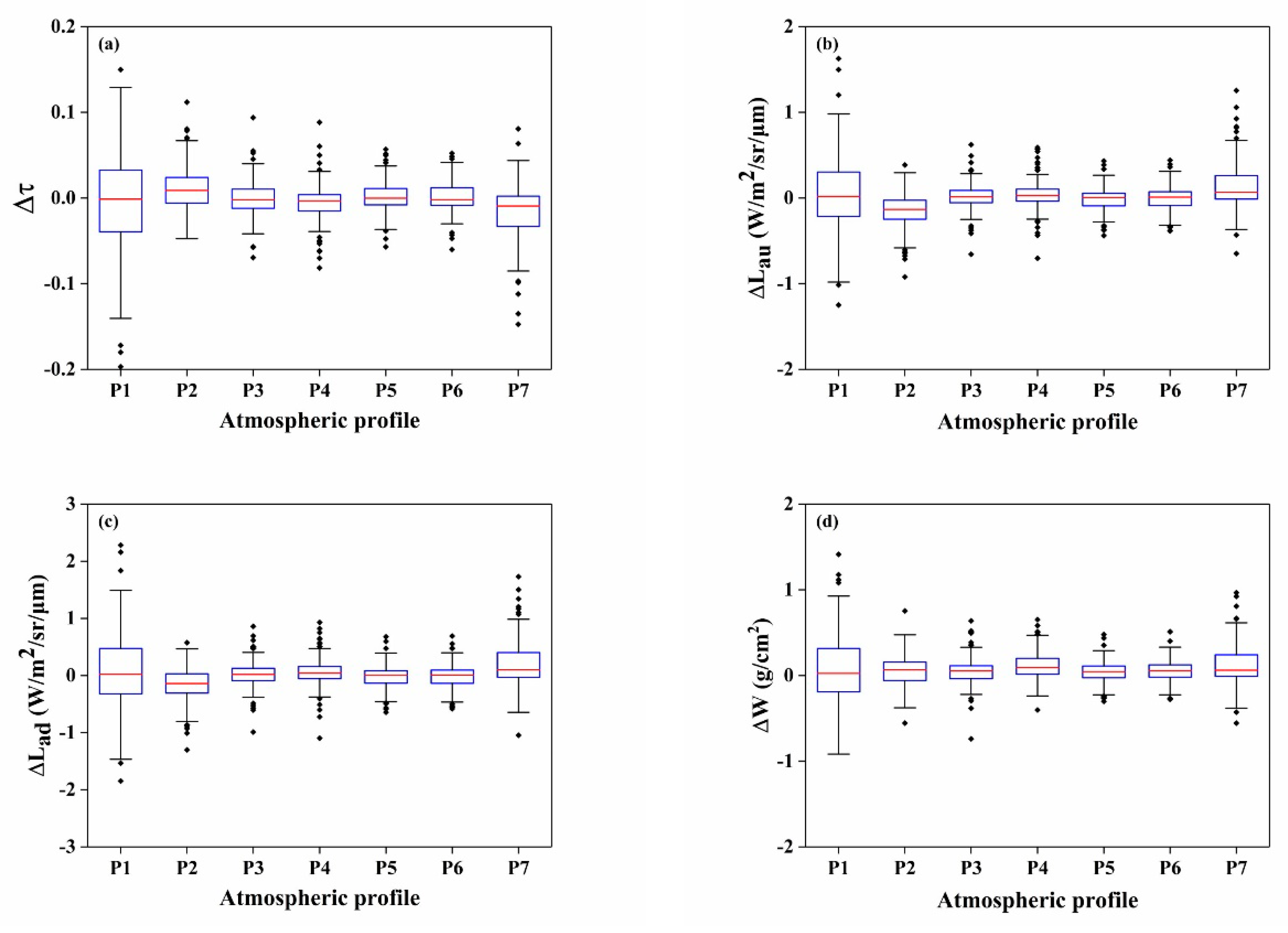
3.2. Comparison of Atmospheric Parameters Calculated from Different Atmospheric Profiles
3.3. Comparison of Retrieved LST Using Different Atmospheric Profiles
3.4. LST Validation Using in Situ Measurements
4. Discussion
5. Conclusions
Author Contributions
Funding
Acknowledgments
Conflicts of Interest
References
- Anderson, M.C.; Norman, J.M.; Diak, G.R.; Kustas, W.P.; Mecikalski, J.R. A two-source time-integrated model for estimating surface fluxes using thermal infrared remote sensing. Remote Sens. Environ. 1997, 60, 195–216. [Google Scholar] [CrossRef]
 - Anderson, M.C.; Kustas, W.P.; Norman, J.M.; Hain, C.R.; Mecikalski, J.R.; Schultz, L.; González-Dugo, M.P.; Cammalleri, C.; d’Urso, G.; Pimstein, A.; et al. Mapping daily evapotranspiration at field to continental scales using geostationary and polar orbiting satellite imagery. Hydrol. Earth Syst. Sci. 2011, 15, 223–239. [Google Scholar] [CrossRef]
 - Zhou, L.; Dickinson, R.E.; Tian, Y.; Jin, M.; Ogawa, K.; Yu, H.; Schmugge, T. A sensitivity study of climate and energy balance simulations with use of satellite-derived emissivity data over Northern Africa and the Arabian Peninsula. J. Geophys. Res Atmos. 2003, 108, 4795–4803. [Google Scholar] [CrossRef]
 - Duan, S.-B.; Li, Z.-L.; Wang, C.; Zhang, S.; Tang, B.-H.; Leng, P.; Gao, M.-F. Land-surface temperature retrieval from Landsat 8 single-channel thermal infrared data in combination with NCEP reanalysis data and ASTER GED product. Int. J. Remote Sens. 2019, 40, 1763–1778. [Google Scholar] [CrossRef]
 - Wan, Z.; Wang, P.; Li, X. Using MODIS land surface temperature and normalized difference vegetation index products for monitoring drought in the southern Great Plains, USA. Int. J. Remote Sens. 2004, 25, 61–72. [Google Scholar] [CrossRef]
 - Weng, Q. Thermal infrared remote sensing for urban climate and environmental studies: Methods, applications, and trends. ISPRS J. Photogramm. 2009, 64, 335–344. [Google Scholar] [CrossRef]
 - Anderson, M.C.; Norman, J.M.; Kustas, W.P.; Houborg, R.; Starks, P.J.; Agam, N. A thermal-based remote sensing technique for routine mapping of land-surface carbon, water and energy fluxes from field to regional scales. Remote Sens. Environ. 2008, 112, 4227–4241. [Google Scholar] [CrossRef]
 - Prata, A.J.; Caselles, V.; Coll, C.; Sobrino, J.A.; OttlO, C. Thermal remote sensing of land surface temperature from satellites: Current status and future prospects. Remote Sens Reviews. 1995, 12, 175–224. [Google Scholar] [CrossRef]
 - Dash, P.; Göttsche, F.-M.; Olesen, F.-S.; Fischer, H. Land surface temperature and emissivity estimation from passive sensor data: Theory and practice-current trends. Int. J. Remote Sens. 2002, 23, 2563–2594. [Google Scholar] [CrossRef]
 - Duan, S.-B.; Li, Z.-L.; Tang, B.-H.; Wu, H.; Tang, R. Generation of a time-consistent land surface temperature product from MODIS data. Remote Sens. Environ. 2014, 140, 339–349. [Google Scholar] [CrossRef]
 - Duan, S.-B.; Li, Z.-L.; Leng, P. A framework for the retrieval of all-weather land surface temperature at a high spatial resolution from polar-orbiting thermal infrared and passive microwave data. Remote Sens. Environ. 2017, 195, 107–117. [Google Scholar] [CrossRef]
 - Malakar, N.K.; Hulley, G.C.; Hook, S.J.; Laraby, K.; Cook, M.; Schott, J.R. An operational land surface temperature product for Landsat thermal data: Methodology and validation. IEEE Trans. Geosci. Remote Sens. 2018, 56, 5717–5735. [Google Scholar] [CrossRef]
 - Barsi, J.A.; Schott, J.R.; Hook, S.J.; Raqueno, N.G.; Markham, B.L.; Radocinski, R.G. Landsat-8 thermal infrared sensor (TIRS) vicarious radiometric calibration. Remote Sens. 2014, 6, 11607–11626. [Google Scholar] [CrossRef]
 - Montanaro, M.; Levy, R.; Markham, B. On-orbit radiometric performance of the Landsat 8 thermal infrared sensor. Remote Sens. 2014, 6, 11753–11769. [Google Scholar] [CrossRef]
 - Isaya Ndossi, M.; Avdan, U. Application of open source coding technologies in the production of land surface temperature (LST) maps from Landsat: A PyQGIS plugin. Remote Sens. 2016, 8, 413. [Google Scholar] [CrossRef]
 - Wang, M.; Zhang, Z.; He, G.; Wang, G.; Long, T.; Peng, Y. An enhanced single-channel algorithm for retrieving land surface temperature from Landsat series data. J. Geophys. Res Atmos. 2016, 121, 11712–11722. [Google Scholar] [CrossRef]
 - Duan, S.-B.; Li, Z.-L.; Li, H.; Göttsche, F.-M.; Wu, H.; Zhao, W.; Leng, P.; Zhang, X.; Coll, C. Validation of Collection 6 MODIS land surface temperature product using in situ measurements. Remote Sens. Environ. 2019, 225, 16–29. [Google Scholar] [CrossRef]
 - Qin, Z.; Karnieli, A.; Berliner, P. A mono-window algorithm for retrieving land surface temperature from Landsat TM data and its application to the Israel-Egypt border region. Int. J. Remote Sens. 2010, 22, 3719–3746. [Google Scholar] [CrossRef]
 - Wang, F.; Qin, Z.; Song, C.; Tu, L.; Karnieli, A.; Zhao, S. An improved mono-window algorithm for land surface temperature retrieval from landsat 8 thermal infrared sensor data. Remote Sens. 2015, 7, 4268–4289. [Google Scholar] [CrossRef]
 - Jiménez-Muñoz, J.C.; Sobrino, J.A. A generalized single-channel method for retrieving l surface temperature from remote sensing data. J. Geophys. Res Atmos. 2003, 109, 4688. [Google Scholar] [CrossRef]
 - Jiménez-Muñoz, J.C.; Cristóbal, J.; Sobrino, J.A.; Sòria, G.; Ninyerola, M.; Pons, X. Revision of the single-channel algorithm for land surface temperature retrieval from Landsat thermal-infrared data. IEEE Trans. Geosci. Remote Sens. 2009, 47, 339–349. [Google Scholar] [CrossRef]
 - Cristdoi, J.; Jiménez-Muñoz, J.C.; Sobrino, J.A.; Ninyerola, M.; Pons, X. Improvements in land surface temperature retrieval from the Landsat series thermal band using water vapor and air temperature. J. Geophys. Res Atmos. 2009, 114, D08103. [Google Scholar] [CrossRef]
 - Barsi, J.A.; Barker, J.L.; Schott, J.R. An atmospheric correction parameter calculator for a single thermal band rarth-sensing instrument. IGARSS 2003 2003, 5, 3014–3016. [Google Scholar] [CrossRef]
 - Sobrino, J.A.; Jiménez-Muñoz, J.C.; Paolini, L. Land surface temperature retrieval from LANDSAT TM 5. Remote Sens. Environ. 2004, 90, 434–440. [Google Scholar] [CrossRef]
 - Yu, X.; Guo, X.; Wu, Z. Land surface temperature retrieval from Landsat 8 TIRS-Comparison between radiative transfer equation-based method, split window algorithm and single channel method. Remote Sens. 2014, 6, 9829–9852. [Google Scholar] [CrossRef]
 - Windahl, E.; de Beurs, K. An intercomparison of Landsat land surface temperature retrieval methods under variable atmospheric conditions using in situ skin temperature. Int. J. Appl. Earth Obs. 2016, 51, 11–27. [Google Scholar] [CrossRef]
 - Wang, A.; Zeng, X. Evaluation of multireanalysis products with in situ observations over the Tibetan Plateau. J. Geophys. Res Atmos. 2012, 117, D05102. [Google Scholar] [CrossRef]
 - Jiménez-Muñoz, J.C.; Sobrino, J.A.; Mattar, C.; Franch, B. Atmospheric correction of optical imagery from MODIS and reanalysis atmospheric products. Remote Sens. Environ. 2010, 114, 2195–2210. [Google Scholar] [CrossRef]
 - Sobrino, J.A.; Jiménez-Muñoz, J.C.; Mattar, C.; Sòria, G. Evaluation of Terra/MODIS atmospheric profiles product (MOD07) over the Iberian Peninsula: A comparison with radiosonde stations. Int. J. Digit. Earth. 2014, 8, 771–783. [Google Scholar] [CrossRef]
 - Meng, X.; Cheng, J. Evaluating eight global reanalysis products for atmospheric correction of thermal infrared sensor-Application to Landsat 8 TIRS10 data. Remote Sens. 2018, 10, 474. [Google Scholar] [CrossRef]
 - Coll, C.; Caselles, V.; Valor, E.; Nicl, R. Comparison between different sources of atmospheric profiles for land surface temperature retrieval from single channel thermal infrared data. Remote Sens. Environ. 2012, 117, 199–210. [Google Scholar] [CrossRef]
 - Li, H.; Liu, Q.; Du, Y.; Jiang, J.; Wang, H. Evaluation of the NCEP and MODIS atmospheric products for single channel land surface temperature retrieval with ground measurements: A case study of HJ-1B IRS data. IEEE J. STARS. 2013, 6, 1399–1408. [Google Scholar] [CrossRef]
 - PjstarPlanells, L.; Garc-Santos, V.; Caselles, V. Comparing different profiles to characterize the atmosphere for three MODIS TIR bands. Atmos. Res. 2015, 161, 108–115. [Google Scholar] [CrossRef]
 - Crosson, W.L.; Al-Hamdan, M.Z.; Hemmings, S.N.J.; Wade, G.M. A daily merged MODIS Aqua-Terra land surface temperature data set for the conterminous United States. Remote Sens. Environ. 2012, 119, 315–324. [Google Scholar] [CrossRef]
 - Aumann, H.H.; Chahine, M.T.; Gautier, C.; Goldberg, M.D.; Kalnay, E.; McMillin, L.M.; Revercomb, H.; Rosenkranz, P.W.; Smith, W.L.; Staelin, D.H.; et al. AIRS/AMSU/HSB on the Aqua mission: Design, science objective, data products, and processing systems. IEEE Trans. Geosci. Remote Sens. 2003, 41, 253–264. [Google Scholar] [CrossRef]
 - Fotsing Talla, C.; Njomo, D.; Cornet, C.; Dubuisson, P.; Akana Nguimdo, L. ECMWF atmospheric profiles in Maroua, Cameroon: Analysis and overview of the simulation of downward global solar radiation. Atmosphere 2018, 9, 44. [Google Scholar] [CrossRef]
 - Molod, A.; Takacs, L.; Suarez, M.; Bacmeister, J. Development of the GEOS-5 atmospheric general circulation model: Evolution from MERRA to MERRA2. Geosci. Model Dev. 2015, 8, 1339–1356. [Google Scholar] [CrossRef]
 - Zia ul Rehman, T.; Muhammad, A.; Muhammad, A.; Nasir, H.; Hamza, S.; Hasnain, A. Evaluation of NCEP-Products (NCEP-NCAR, NCEP-DOE, NCEP-FNL, NCEP-GFS) of solar radiation for Karachi, Pakistan. ISES 2018, 1–12. [Google Scholar] [CrossRef]
 - Eom, H.-S.; Myoung-Seok, S. Seasonal and diurnal variations of stability indices and environmental parameters using NCEP FNL data over East Asia. Asia Pac. J. Atmos. Sci. 2011, 47, 181–192. [Google Scholar] [CrossRef]
 - Lim, Y.-K.; Stefanova, L.B.; Chan, S.C.; Schubert, S.D.; Ochubert, S.J. High-resolution subtropical summer precipitation derived from dynamical downscaling of the NCEP/DOE reanalysis: How much small-scale information is added by a regional model? Clim. Dynam. 2010, 37, 1061–1080. [Google Scholar] [CrossRef]
 - Hulley, G.C.; Hook, S.J.; Abbott, E.; Malakar, N.; Islam, T.; Abrams, M. The ASTER Global Emissivity Dataset (ASTER GED): Mapping Earth’s emissivity at 100 meter spatial scale. Geophys. Res. Lett. 2015, 42, 7966–7976. [Google Scholar] [CrossRef]
 - Wang, C.; Duan, S.-B.; Zhang, X.; Wu, H.; Gao, M.-F.; Leng, P. An alternative split-window algorithm for retrieving land surface temperature from Visible Infrared Imaging Radiometer Suite data. Int. J. Remote Sens. 2019, 40, 1640–1654. [Google Scholar] [CrossRef]
 - Rubio, E.; Caselles, V.; Coll, C.; Valour, E.; Sospedra, F. Thermal-infrared emissivities of natural surfaces: Improvements on the experimental set-up and new measurements. Int. J. Remote Sens. 2003, 24, 5379–5390. [Google Scholar] [CrossRef]
 - Li, Z.-L.; Tang, B.-H.; Wu, H.; Ren, H.; Yan, G.; Wan, Z.; Trigo, I.F.; Sobrino, J.A. Satellite-derived land surface temperature: Current status and perspectives. Remote Sens. Environ. 2013, 131, 14–37. [Google Scholar] [CrossRef]
 - Li, F.; Jackson, T.J.; Kustas, W.P.; Schmugge, T.J.; French, A.N.; Cosh, M.H.; Bindlish, R. Deriving land surface temperature from landsat 5 and 7 during SMEX02/SMACEX. Remote Sens. Environ. 2004, 92, 521–534. [Google Scholar] [CrossRef]
 - Rosas, J.; Houborg, R.; McCabe, M.F. Sensitivity of Landsat 8 Surface Temperature Estimates to Atmospheric Profile Data: A Study Using MODTRAN in Dryland Irrigated Systems. Remote Sens. 2017, 9, 988. [Google Scholar] [CrossRef]
 - Sobrino, J.A.; Caselles, V.; Becker, F. Significance of the remotely sensed thermal infrared measurements obtained over a citrus orchard. ISPRS J. Photogramm. 1990, 44, 343–354. [Google Scholar] [CrossRef]
 - Valor, E.; Caselles, V. Mapping land surface emissivity from NDVI: Application to European, African, and South American areas. Remote Sens. Environ. 1996, 57, 167–184. [Google Scholar] [CrossRef]
 - Carlson, T.N.; Perry, E.M.; Schmugge, T.J. Remote estimation of soil moisture availability and fractional vegetation cover for agricultural fields. Agr. Forest Meteorol. 1990, 52, 45–69. [Google Scholar] [CrossRef]
 - Li, Z.-L.; Wu, H.; Wang, N.; Qiu, S.; Sobrino, J.A.; Wan, Z.; Tang, B.-H.; Yan, G. Land surface emissivity retrieval from satellite data. Int. J. Remote Sens. 2013, 34, 3084–3127. [Google Scholar] [CrossRef]
 - Seemann, S.W.; Borbas, E.E.; Li, J.; Menzel, W.P.; Gumley, L.E. MODIS atmospheric profile retrieval algorithm theoretical basis document; Cooperative Institute for Meteorological Satellite Studies: University of Wisconsin-Madison, Madison, WI, USA, 2006. [Google Scholar]
 - Susskind, J.; Barnet, C.D.; Blaisdell, J.M. Retrieval of atmospheric and surface parameters from AIRS/AMSU/HSB under cloudy conditions. IEEE Trans. Geosci. Remote Sens. 2003, 41, 390–409. [Google Scholar] [CrossRef]
 














| Sensor | Platform | Launch Date | Decommission | Equatorial Crossing Time | Repeat Cycle | Number of TIR Bands | Spectral Range | Spatial Resolution | 
|---|---|---|---|---|---|---|---|---|
| TM | Landsat 4 | 16 July 1982 | 30 June 2001 | 9:45 | 16 days | 1 | Band 6: 10.4–12.5 µm | 120 m | 
| TM | Landsat 5 | 1 March 1984 | 5 June 2013 | 9:45 | 16 days | 1 | Band 6: 10.4–12.5 µm | 120 m | 
| ETM+ | Landsat 7 | 15 April 1999 | Operational | 10:00 | 16 days | 1 | Band 6: 10.4–12.5 µm | 60 m | 
| TIRS | Landsat 8 | 11 February 2013 | Operational | 10:00 | 16 days | 2 | B10: 10.60-11.19 µm B11: 11.50–12.51 µm  | 100 m | 
| Atmospheric Profile | Data Source  | Data Periods  | Temporal Resolution  | Spatial Resolution  | Vertical Resolution  | Website | 
|---|---|---|---|---|---|---|
| Radio sounding | UWYO | 1973 to present | Twice daily | — | varying | http://weather.uwyo.edu/upperair/sounding.html | 
| Satellite-derived profile | MxD07 | 2000 to present | Twice daily | 5 km×5 km | 20 pressure levels  | https://ladsweb.modaps.eosdis.nasa.gov/search/ | 
| AIRS | 2002 to present | Twice daily | 1° × 1° | 24 pressure levels  | https://search.earthdata.nasa.gov/ | |
| Reanalysis profile  | ECMWF | 1979 to present | 6 hourly | 0.125° × 0.125° | 37 pressure levels  | http://apps.ecmwf.int/datasets/ | 
| MERRA2 | 1980 to present | 3 hourly | 0.625° × 0.5° | 42 pressure levels  | https://disc.gsfc.nasa.gov | |
| NCEP /GFS  | 2007 to present | 6 hourly | 0.5° × 0.5° | 31 pressure levels  | https://nomads.ncdc.noaa.gov/data/gfsanl/ | |
| NCEP /FNL  | 1999 to present | 6 hourly | 1.0° × 1.0° | 26 pressure levels  | http://rda.ucar.edu/datasets/ds083.2/ | |
| NCEP /DOE  | 1979 to present | 6 hourly | 2.5° × 2.5° | 17 pressure levels  | http://rda.ucar.edu/datasets/ds091.0/ | 
| ID | Country | Station | Latitude | Longitude | Elevation (m) | 
|---|---|---|---|---|---|
| 02365 | Sweden | Sundsvall-Harnosand | 62.53° N | 17.45° E | 6 | 
| 02591 | Sweden | Visby Aervlogiska Stn | 57.65° N | 18.35° E | 47 | 
| 11035 | Austria | Wien | 48.25° N | 16.36° E | 200 | 
| 11747 | Czech Republic | Prostejov | 49.45° N | 17.13° E | 216 | 
| 11952 | Slovakia | Poprad-Ganovce | 49.03° N | 20.31° E | 706 | 
| 12120 | Poland | Leba | 54.75° N | 17.53° E | 6 | 
| 12374 | Poland | Legionowo | 38.43° N | 27.16° E | 96 | 
| 12425 | Poland | Wroclaw | 51.13° N | 16.98° E | 116 | 
| 12843 | Hungary | Budapest | 47.43° N | 19.18° E | 139 | 
| 12982 | Hungary | Szeged | 46.25° N | 20.10° E | 83 | 
| 13275 | Serbia | Beograd | 44.76° N | 20.42° E | 203 | 
| 14240 | Croatia | Zagreb | 45.82° N | 16.03° E | 246 | 
| 14430 | Croatia | Zadar | 44.10° N | 15.34° E | 79 | 
| 15420 | Romania | Bucuresti lnmh-Banesa  | 44.50° N | 26.13° E | 91 | 
| 16320 | Italy | Brindisi | 40.65° N | 17.95° E | 10 | 
| 17064 | Turkey | Istanbul | 40.90° N | 29.15° E | 17 | 
| 17220 | Turkey | Izmir | 38.43° N | 27.16° E | 29 | 
| Atmospheric Profile | Transmittance | Upwelling Radiance (W/m2/sr/μm)  | Downwelling Radiance (W/m2/sr/μm)  | Water Vapor Content (g/cm2)  | 
|---|---|---|---|---|
| MYD07 | 0.059 | 0.46 | 0.70 | 0.43 | 
| AIRS | 0.031 | 0.27 | 0.37 | 0.21 | 
| ECMWF | 0.022 | 0.17 | 0.24 | 0.18 | 
| MERRA2 | 0.024 | 0.19 | 0.28 | 0.19 | 
| NCEP/GFS | 0.019 | 0.15 | 0.22 | 0.14 | 
| NCEP/FNL | 0.020 | 0.15 | 0.22 | 0.15 | 
| NCEP/DOE | 0.039 | 0.31 | 0.46 | 0.27 | 
| Site | Num | Mean WVC (g/cm2)  | MOD07 | AIRS | ECMWF | MERRA2 | NCEP/GFS | NCEP/FNL | NCEP/DOE | |||||||
|---|---|---|---|---|---|---|---|---|---|---|---|---|---|---|---|---|
| Bias (K) | RMSE (K) | Bias (K) | RMSE (K) | Bias (K) | RMSE (K) | Bias (K) | RMSE (K) | Bias (K) | RMSE (K) | Bias (K) | RMSE (K) | Bias (K) | RMSE (K) | |||
| S1 | 3 | 0.40 | 0.11 | 0.35 | 0.64 | 0.86 | −0.03 | 0.30 | 0.03 | 0.32 | −0.02 | 0.30 | −0.01 | 0.29 | −0.08 | 0.35 | 
| S2 | 16 | 0.90 | −0.82 | 1.50 | −0.58 | 1.25 | −0.77 | 1.15 | −0.42 | 1.25 | −0.64 | 1.24 | −0.73 | 1.25 | −1.13 | 1.85 | 
| S3 | 8 | 0.43 | 0.05 | 0.47 | 0.14 | 0.53 | 0.14 | 0.55 | 0.18 | 0.57 | 0.15 | 0.59 | 0.33 | 0.71 | 0.09 | 0.54 | 
© 2020 by the authors. Licensee MDPI, Basel, Switzerland. This article is an open access article distributed under the terms and conditions of the Creative Commons Attribution (CC BY) license (http://creativecommons.org/licenses/by/4.0/).
Share and Cite
Yang, J.; Duan, S.-B.; Zhang, X.; Wu, P.; Huang, C.; Leng, P.; Gao, M. Evaluation of Seven Atmospheric Profiles from Reanalysis and Satellite-Derived Products: Implication for Single-Channel Land Surface Temperature Retrieval. Remote Sens. 2020, 12, 791. https://doi.org/10.3390/rs12050791
Yang J, Duan S-B, Zhang X, Wu P, Huang C, Leng P, Gao M. Evaluation of Seven Atmospheric Profiles from Reanalysis and Satellite-Derived Products: Implication for Single-Channel Land Surface Temperature Retrieval. Remote Sensing. 2020; 12(5):791. https://doi.org/10.3390/rs12050791
Chicago/Turabian StyleYang, Jingjing, Si-Bo Duan, Xiaoyu Zhang, Penghai Wu, Cheng Huang, Pei Leng, and Maofang Gao. 2020. "Evaluation of Seven Atmospheric Profiles from Reanalysis and Satellite-Derived Products: Implication for Single-Channel Land Surface Temperature Retrieval" Remote Sensing 12, no. 5: 791. https://doi.org/10.3390/rs12050791
APA StyleYang, J., Duan, S.-B., Zhang, X., Wu, P., Huang, C., Leng, P., & Gao, M. (2020). Evaluation of Seven Atmospheric Profiles from Reanalysis and Satellite-Derived Products: Implication for Single-Channel Land Surface Temperature Retrieval. Remote Sensing, 12(5), 791. https://doi.org/10.3390/rs12050791
        
