Urban Nighttime Leisure Space Mapping with Nighttime Light Images and POI Data
Abstract
1. Introduction
- (1)
- Traditionally, the data sources used for UNLS research involve household surveys or census data collected by the government or research organizations. However, the varying qualities of these surveys and censuses and the substantial monetary and time costs required to conduct these studies hamper efforts to evaluate the UNLS distribution.
- (2)
- With respect to NTLS, most previous methods focused on recessive economic factors without considering the spatial distribution, morphological characteristics, and other influencing factors.
- (3)
- Using NTL data alone to map leisure spaces may result in inaccurate determinations due to the excessively high radiance in specific types of areas such as commercial zones and transportation hubs.
2. Study Area and Dataset
2.1. Study Area
2.2. Data Sources
2.2.1. NTL Images
2.2.2. POI Data
2.3. Data Preprocessing to Generate Composite Data
2.3.1. Generating the POI Density Layer
2.3.2. Composite POI Density and NTL Intensity Layers
3. Method
3.1. Theoretical Basis
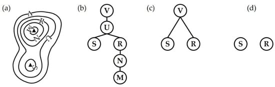
3.2. Localized Contour Tree Generation
3.2.1. Contour Map Generation
3.2.2. Localized Contour Tree
3.3. UNLSs Distribution
3.3.1. Identifying UNLSs from Contour Trees
3.3.2. Derivation of UNLS Attributes
3.4. Uncertainty and Sensitivity Analysis
4. Results
4.1. Generating a Contour Map from Composite Data
4.2. UNLS Distribution
4.3. Validation of the Identified UNLSs
4.4. Characteristics of the UNLSs
4.5. Uncertainty and Sensitivity Analysis Results
5. Discussion
6. Conclusions
Author Contributions
Funding
Acknowledgments
Conflicts of Interest
References
- Edginton, C.R.; Chen, P. Leisure as Transformation; Sagamore Publishing: Urbana, IL, USA, 2008. [Google Scholar]
- Michael, J.; Sara, F. Leisure Enhancement; Sagamore Publishing: Urbana, IL, USA, 2012. [Google Scholar]
- Corbusier, L.; Eardley, A. The Athens Charter; Grossman Publishers: New York, NY, USA, 1973. [Google Scholar]
- Gold, J.R. Creating the Charter of Athens: CIAM and the functional city, 1933-43. Town Plan. Rev. 1998, 69, 225. [Google Scholar] [CrossRef]
- Jing, Y.; Liu, Y.; Cai, E.; Liu, Y.; Zhang, Y. Quantifying the spatiality of urban leisure venues in Wuhan, Central China-GIS-based spatial pattern metrics. Sustain. Cities Soc. 2018, 40, 638–647. [Google Scholar] [CrossRef]
- Long, H.; Tang, G.; Li, X.; Heilig, G.K. Socio-economic driving forces of land-use change in Kunshan, the Yangtze River Delta economic area of China. J. Env. Manag. 2007, 83, 351–364. [Google Scholar] [CrossRef]
- Gong, P.; Liang, S.; Carlton, E.J.; Jiang, Q.; Wu, J.; Wang, L.; Remais, J.V. Urbanisation and health in China. Lancet 2012, 379, 843–852. [Google Scholar] [CrossRef]
- Fu, H.; Shao, Z.; Fu, P.; Cheng, Q. The dynamic analysis between urban nighttime economy and urbanization using the DMSP/OLS nighttime light data in China from 1992 to 2012. Remote Sens. 2017, 9, 416. [Google Scholar] [CrossRef]
- Yang, J.J.; Kim, G.T.; Lee, T.J. Parks as leisure spaces for older adults’ daily wellness: a Korean case study. Ann. Leis. Res. 2012, 15, 277–295. [Google Scholar] [CrossRef]
- Song, Y.; Ikeda, T. A Study on Present Shanghai Urban Inhabitants’ Leisure Activities and Sites. J. Asian Arch. Build. Eng. 2005, 4, 301–306. [Google Scholar] [CrossRef][Green Version]
- Roberts, K. Leisure: The importance of being inconsequential. Leis. Stud. 2011, 30, 5–20. [Google Scholar] [CrossRef]
- Lloyd, K.; Auld, C. Leisure, public space and quality of life in the urban environment. Urban Policy Res. 2003, 21, 339–356. [Google Scholar] [CrossRef]
- Liu, Y.; Jing, Y.; Cai, E.; Cui, J.; Zhang, Y.; Chen, Y. How Leisure Venues Are and Why? A Geospatial Perspective in Wuhan, Central China. Sustainability 2017, 9, 1865. [Google Scholar] [CrossRef]
- Jerrett, M.; Gale, S.; Kontgis, C. Spatial modeling in environmental and public health research. Int. J. Env. Res. Public Health 2010, 7, 1302–1329. [Google Scholar] [CrossRef] [PubMed]
- Kwan, M.P. Beyond space (as we knew it): Toward temporally integrated geographies of segregation, health, and accessibility: Space-time integration in geography and GIScience. Ann. Assoc. Am. Geogr. 2013, 103, 1078–1086. [Google Scholar] [CrossRef]
- Smith, O. Holding back the beers: maintaining ‘youth’identity within the British night-time leisure economy. J. Youth Stud. 2013, 16, 1069–1083. [Google Scholar] [CrossRef]
- Guerrier, Y.; Adib, A. Work at leisure and leisure at work: A study of the emotional labour of tour reps. Hum. Relat. 2003, 56, 1399–1417. [Google Scholar] [CrossRef]
- Cao, Y.; Bai, Z.; Zhou, W.; Ai, G. Gradient analysis of urban construction land expansion in the Chongqing urban area of China. J. Urban Plan. Dev. 2014, 141, 05014009. [Google Scholar] [CrossRef]
- Kim, Y.L. Data-driven approach to characterize urban vitality: how spatiotemporal context dynamically defines Seoul’s nighttime. Int. J. Geogr. Inf. Sci. 2019, 1–22. [Google Scholar] [CrossRef]
- Henderson, K.A. The imperative of leisure justice research. Leis. Sci. 2014, 36, 340–348. [Google Scholar] [CrossRef]
- Stewart, W. Leisure research to enhance social justice. Leis. Sci. 2014, 36, 325–339. [Google Scholar] [CrossRef]
- Xi, L.; Xu, H.; Chen, X.; Chang, L. Potential of NPP-VIIRS Nighttime Light Imagery for Modeling the Regional Economy of China. Remote Sens. 2013, 5, 3057–3081. [Google Scholar]
- van Weerdenburg, D.; Scheider, S.; Adams, B.; Spierings, B.; van der Zee, E. Where to go and what to do: Extracting leisure activity potentials from Web data on urban space. Comput. Env. Urban Syst. 2019, 73, 143–156. [Google Scholar] [CrossRef]
- Chen, X.; Nordhaus, W.D. Using luminosity data as a proxy for economic statistics. Proc. Natl. Acad. Sci. USA 2011, 108, 8589–8594. [Google Scholar] [CrossRef] [PubMed]
- Ballatore, A. The search for places as emergent aggregates. In Spatial Search-Specialist Meeting; Center for Spatial Studies, University of California Santa Barbara: Santa Barbara, CA, USA, 2014. [Google Scholar]
- Ma, T.; Zhou, Y.; Wang, Y.; Zhou, C.; Haynie, S.; Xu, T. Diverse relationships between Suomi-NPP VIIRS night-time light and multi-scale socioeconomic activity. Remote Sens. Lett. 2014, 5, 652–661. [Google Scholar] [CrossRef]
- van der Zee, E.; van der Borg, J.; Vanneste, D. The destination triangle: Toward relational management. In Knowledge Transfer to and within Tourism: Academic, Industry and Government Bridges; Emerald Publishing: West Yorkshire, UK, 2017; pp. 167–188. [Google Scholar]
- Ngesan, M.R.; Karim, H.A.; Zubir, S.S.; Ahmad, P. Urban Community Perception on Nighttime Leisure Activities in Improving Public Park Design. Procedia Soc. Behav. Sci. 2013, 105, 619–631. [Google Scholar] [CrossRef]
- Held, N. Comfortable and safe spaces? Gender, sexuality and ‘race’ in night-time leisure spaces. Emot. Space Soc. 2015, 14, 33–42. [Google Scholar] [CrossRef]
- Marine-Roig, E.; Clavé, S.A. Tourism analytics with massive user-generated content: A case study of Barcelona. J. Destin. Mark. Manag. 2015, 4, 162–172. [Google Scholar] [CrossRef]
- Stevenson, D. The arts and entertainment: Situating leisure in the creative economy. In A Handbook of Leisure Studies; Springer: London, UK, 2006; pp. 354–362. [Google Scholar]
- Liu, H.; Da, S. The relationships between leisure and happiness—A graphic elicitation method. Leis. Stud. 2019, 1–20. [Google Scholar] [CrossRef]
- Jackett, M.; Frith, W. Quantifying the impact of road lighting on road safety—A New Zealand Study. IATSS Res. 2013, 36, 139–145. [Google Scholar] [CrossRef]
- Donnelly, P.G. Newman, Oscar: Defensible Space Theory. Available online: https://ecommons.udayton.edu/soc_fac_pub/30/ (accessed on 23 May 2016).
- Brands, J.; Schwanen, T.; Van Aalst, I. Fear of crime and affective ambiguities in the night-time economy. Urban Stud. 2015, 52, 439–455. [Google Scholar] [CrossRef]
- Mouratidis, K. Built environment and leisure satisfaction: The role of commute time, social interaction, and active travel. J. Transp. Geogr. 2019, 80, 102491. [Google Scholar] [CrossRef]
- Crawford, A.; Flint, J. Urban Safety, Anti-Social Behaviour and the Night-Time Economy; Sage Publications: London, UK, 2009. [Google Scholar]
- Ngesan, M.R.; Karim, H.A. Night time social behavior in urban outdoor spaces of Shah Alam. Procedia-Soc. Behav. Sci. 2012, 50, 959–968. [Google Scholar] [CrossRef]
- Hsieh, A.T.; Chang, J. Shopping and tourist night markets in Taiwan. Tour. Manag. 2006, 27, 138–145. [Google Scholar] [CrossRef]
- Ngesan, M.R.; Zubir, S.S. Place identity of nighttime urban public park in Shah Alam and Putrajaya. Procedia-Soc. Behav. Sci. 2015, 170, 452–462. [Google Scholar] [CrossRef]
- Jenkins, J.M.; Young, T. Urban Development and the Leisure Dilemma: A case study of leisure and recreation in urban residential estates in the Lower Hunter, New South Wales. Ann. Leis. Res. 2008, 11, 77–100. [Google Scholar] [CrossRef]
- Guo, Q.; Lin, M.; Meng, J.H.; Zhao, J.L. The development of urban night tourism based on the nightscape lighting projects—A Case Study of Guangzhou. Energy Procedia 2011, 5, 477–481. [Google Scholar] [CrossRef]
- Elvidge, C.D.; Baugh, K.E.; Kihn, E.A.; Kroehl, H.W.; Davis, E.R.; Davis, C.W. Relation between satellite observed visible-near infrared emissions, population, economic activity and electric power consumption. Int. J. Remote Sens. 1997, 18, 1373–1379. [Google Scholar] [CrossRef]
- Keola, S.; Andersson, M.; Hall, O. Monitoring Economic Development from Space: Using Nighttime Light and Land Cover Data to Measure Economic Growth. World Dev. 2015, 66, 322–334. [Google Scholar] [CrossRef]
- Zhuo, L.; Ichinose, T.; Zheng, J.; Chen, J.; Shi, P.J.; Li, X. Modelling the population density of China at the pixel level based on DMSP/OLS non-radiance-calibrated night-time light images. Int. J. Remote Sens. 2009, 30, 1003–1018. [Google Scholar] [CrossRef]
- Amaral, S.; Monteiro, A.M.; Câmara, G.; Quintanilha, J.A. DMSP/OLS night-time light imagery for urban population estimates in the Brazilian Amazon. Int. J. Remote Sens. 2006, 27, 855–870. [Google Scholar] [CrossRef]
- Zhou, Y.; Smith, S.J.; Elvidge, C.D.; Zhao, K.; Thomson, A.; Imhoff, M. A cluster-based method to map urban area from DMSP/OLS nightlights. Remote Sens. Environ. 2014, 147, 173–185. [Google Scholar] [CrossRef]
- Small, C.; Pozzi, F.; Elvidge, C.D. Spatial analysis of global urban extent from DMSP-OLS night lights. Remote Sens. Environ. 2005, 96, 277–291. [Google Scholar] [CrossRef]
- Doll, C.N.; Pachauri, S. Estimating rural populations without access to electricity in developing countries through night-time light satellite imagery. Energy Policy 2010, 38, 5661–5670. [Google Scholar] [CrossRef]
- Letu, H.; Hara, M.; Yagi, H.; Naoki, K.; Tana, G.; Nishio, F.; Shuhei, O. Estimating energy consumption from night-time DMPS/OLS imagery after correcting for saturation effects. Int. J. Remote Sens. 2010, 31, 4443–4458. [Google Scholar] [CrossRef]
- Davies, T.W.; Bennie, J.; Inger, R.; De Ibarra, N.H.; Gaston, K.J. Artificial light pollution: are shifting spectral signatures changing the balance of species interactions? Glob. Chang. Biol. 2013, 19, 1417–1423. [Google Scholar] [CrossRef] [PubMed]
- Falchi, F.; Cinzano, P.; Duriscoe, D.; Kyba, C.C.; Elvidge, C.D.; Baugh, K.; Portnov, B.A.; Rybnikova, N.A.; Furgoni, R. The new world atlas of artificial night sky brightness. Sci. Adv. 2016, 2, e1600377. [Google Scholar] [CrossRef]
- Zhao, N.; Samson, E.L. Estimation of virtual water contained in international trade products using nighttime imagery. Int. J. Appl. Earth Obs. Geoinf. 2012, 18, 243–250. [Google Scholar] [CrossRef]
- Yang, X.; Ye, T.; Zhao, N.; Chen, Q.; Yue, W.; Qi, J.; Zeng, B.; Jia, P. Population Mapping with Multisensor Remote Sensing Images and Point-Of-Interest Data. Remote Sens. 2019, 11, 574. [Google Scholar] [CrossRef]
- Hu, T.; Yang, J.; Li, X.; Peng, G. Mapping Urban Land Use by Using Landsat Images and Open Social Data. Remote Sens. 2016, 8, 151. [Google Scholar] [CrossRef]
- Chen, W.; Huang, H.; Dong, J.; Zhang, Y.; Yang, Z. Social functional mapping of urban green space using remote sensing and social sensing data. ISPRS J. Photogramm. Remote Sens. 2018, 146, 436–452. [Google Scholar] [CrossRef]
- Liu, Y.; Liu, X.; Gao, S.; Gong, L.; Kang, C.; Zhi, Y.; Chi, G.; Shi, L. Social sensing: A new approach to understanding our socioeconomic environments. Ann. Assoc. Am. Geogr. 2015, 105, 512–530. [Google Scholar] [CrossRef]
- Levin, N. The impact of seasonal changes on observed nighttime brightness from 2014 to 2015 monthly VIIRS DNB composites. Remote Sens. Environ. 2017, 193, 150–164. [Google Scholar] [CrossRef]
- Levin, N.; Johansen, K.; Hacker, J.M.; Phinn, S. A new source for high spatial resolution night time images—The EROS-B commercial satellite. Remote Sens. Environ. 2014, 149, 1–12. [Google Scholar] [CrossRef]
- Jiang, W.; He, G.; Long, T.; Guo, H.; Yin, R.; Leng, W.; Liu, H.; Wang, G. Potentiality of using Luojia 1-01 nighttime light imagery to investigate artificial light pollution. Sensors 2018, 18, 2900. [Google Scholar] [CrossRef] [PubMed]
- Yuan, J.; Zheng, Y.; Xie, X. Discovering regions of different functions in a city using human mobility and POIs. In Proceedings of the 18th ACM SIGKDD International Conference on Knowledge Discovery and Data Mining, Beijing, China, 12–16 August 2012; pp. 186–194. [Google Scholar]
- Deveaux, R.D. Applied smoothing techniques for data analysis. Technometrics 1999, 41, 263. [Google Scholar] [CrossRef]
- Botev, Z.I.; Grotowski, J.F.; Kroese, D.P. Kernel density estimation via diffusion. Ann. Stat. 2010, 38, 2916–2957. [Google Scholar] [CrossRef]
- Silverman, B.W. Density Estimation for Statistics and Data Analysis; Routledge: London, UK, 2018. [Google Scholar]
- Zhao, P.; Kwan, M.P.; Qin, K. Uncovering the spatiotemporal patterns of CO2 emissions by taxis based on Individuals’ daily travel. J. Transp. Geogr. 2017, 62, 122–135. [Google Scholar] [CrossRef]
- Chen, Z.; Yu, B.; Song, W.; Liu, H.; Wu, Q.; Shi, K.; Wu, J. A new approach for detecting urban centers and their spatial structure with nighttime light remote sensing. IEEE Trans. Geosci. Remote Sens. 2017, 55, 6305–6319. [Google Scholar] [CrossRef]
- Deng, Y.; Liu, J.; Liu, Y.; Luo, A. Detecting Urban Polycentric Structure from POI Data. ISPRS Int. J. Geo-Inf. 2019, 8, 283. [Google Scholar] [CrossRef]
- Wu, Q.; Liu, H.; Wang, S.; Yu, B.; Beck, R.; Hinkel, K. A localized contour tree method for deriving geometric and topological properties of complex surface depressions based on high-resolution topographical data. Int. J. Geogr. Inf. Sci. 2015, 29, 2041–2060. [Google Scholar] [CrossRef]
- Guilbert, E. Multi-level representation of terrain features on a contour map. GeoInformatica 2013, 17, 301–324. [Google Scholar] [CrossRef]
- Taubenböck, H.; Standfuß, I.; Wurm, M.; Krehl, A.; Siedentop, S. Measuring morphological polycentricity-A comparative analysis of urban mass concentrations using remote sensing data. Comput. Environ. Urban Syst. 2017, 64, 42–56. [Google Scholar] [CrossRef]
- Samuel, N. Leisure participation and time-use surveys: France. In Free Time and Leisure Participation: International Perspectives; CABI Publishing: Wallingford, UK, 2005; pp. 75–100. [Google Scholar]












| POI Category | POI Count | Bandwidth |
|---|---|---|
| Recreation and Entertainment | 20,627 | 2287.16 1 |
| Daily Life Service | 26,227 | 1039.75 |
| Dining Service | 33,549 | 1614.73 |
| Shopping | 57,519 | 2107.31 |
| Hotel | 6441 | 2642.06 |
| Beauty Parlor | 3905 | 120.48 |
| Sports Facility and Gym | 1062 | 3694.68 |
| Education and Training | 14,159 | 2476.87 |
| Cultural Media | 1325 | 3959.24 |
| Natural Features | 90 | 2204.38 |
| Tourist Attraction | 5350 | 3105.63 |
| ID | Leisure Activity Category | Baidu Categories |
|---|---|---|
| 1 | Entertainment | Recreation and Entertainment |
| 2 | Life | Daily Life Service, Dining Service, Shopping, Hotel, Beauty Parlor |
| 3 | Sport | Sports Facility and Gym |
| 4 | Culture | Cultural Media, Education and Training |
| 5 | Outdoor | Natural Features, Tourist Attraction |
| 6 | Nonleisure | Residential Area, Medical and Health Care Service, Finance, Transportation, Governmental Organization, Entrance, Business Company, Automobile Service |
| Attribute | Definition | Further Information |
|---|---|---|
| District (D) | District-Level Administrative Region | Main urban area, Changping, Daxing, Fangshan, Huairou, Mentougou, Miyun, Pinggu, Shunyi, Tongzhou, Yanqing |
| Total Number (TN) | The number of leisure spaces in each district | pcs |
| Total Circumference (TP) | Total circumference of leisure spaces | km |
| Total Area (TA) | Total area of leisure spaces | km2 |
| Total Contour (TC) | Total contour of leisure spaces | |
| Maximum Area (MaxA) | The area of the largest leisure space in each district | km2 |
| Max Contour (MaxC) | The contour of the largest leisure space in each district |
| ID | Name | Project | Identified by Our Method | ID in Figure 7 | Supplementary Information |
|---|---|---|---|---|---|
| 1 | Guomao | NL 2 | √ | #63 1 | |
| 2/4 | Qianmen and Dashilan | NL | √ | #33 | |
| 3 | Sanlitun | NL | √ | #79 | |
| 5 | Wukesong | NL | √ | #69 | |
| 6 | Guijie | NBD | √ | #104 | |
| 7 | Shimaotianjie | NBD | √ | #63 | |
| 8/14 | Lansegangwan | NBD | √ | #62 | ID #8 is the blue harbor in Chaoyang District, which is identified. ID #14 is blue harbor in Wukesong, Haidian District, which is not identified. |
| 9/13 | Shibaojie | NBD | √ | #56 | ID #9 is Shibaojie in Zhongguancun, which is identified. ID #13 is Shibaojie in Beijing West Railway Station, which is not included. |
| 10 | Zhongliang | NBD | |||
| 11 | Heshenghui | NBD | |||
| 12 | Olympic Park | NBD | √ | #168 | |
| 15 | Huiju | NBD | |||
| 16 | Langyuan | NBD | |||
| 17 | Shangdi | NLA | #174 | ||
| 18 | Lugu | NLA | √ | ||
| 19 | Liyuan | NLA | √ | #28 | |
| 20 | Yongshun | NLA | √ | #68 | |
| 21 | Wudaokou | NLA | √ | #167 | |
| 22 | Tiantongyuan | NLA | √ | ||
| 23 | Fangzhuang | NLA | √ | ||
| 24 | Changying | NLA | √ | #76 | |
| 25 | Huilongguan | NLA | √ | #175 |
| District | Leisure Space ID | TN | TC | TA | TC | MaxA | MaxC |
|---|---|---|---|---|---|---|---|
| Main urban area | #52#7#8#9#10#15#16#172#19#20#21 #22#23#26#27#29#3#32#33#34#35# 36#37#38#42#43#45#46#47#48#49# 51#52#53#54#58#59#62#63#65#66# 67#69#70#71#72#76#78#79#81#83# 84#85#86#87#88#89#92#93#94#95# 100#103#104#105#106#107#109#11 0#112#114#118#119#120#1223123# 124#125#126#127#128#129#133#13 4#136#137#138#139#140#141#142# #145#146#148#149#151#152#153#1 54#155#156#157#158#159#161#163 #165#167#168#170#171#172#173#1 74 | 114 | 216.87 1 | 25.45 | 2429 | 0.67 | 41 |
| Changping | #175#181 | 2 | 2.70 | 0.27 | 24 | 0.15 | 16 |
| Daxing | #4 #5 2 | 2 | 4.29 | 0.37 | 27 | 0.22 | 15 |
| Fangshan | #3 | 1 | 1.45 | 0.15 | 15 | 0.15 | 15 |
| Huairou | #187#188#189 | 3 | 5.46 | 0.44 | 52 | 0.17 | 21 |
| Mentougou | #91#97#101 | 3 | 4.56 | 0.41 | 29 | 0.20 | 10 |
| Miyun | #190#192#193 | 3 | 5.23 | 0.55 | 66 | 0.29 | 26 |
| Pinggu | #179#180 | 2 | 3.47 | 0.32 | 38 | 0.21 | 19 |
| Shunyi | #176#177 | 2 | 6.18 | 0.89 | 28 | 0.62 | 17 |
| Tongzhou | #18#28#31#39#41#68 | 6 | 14.29 | 1.86 | 61 | 0.47 | 13 |
| Yanqing | #197 | 1 | 2.29 | 0.37 | 17 | 0.38 | 17 |
| Sum | 138 | 266.79 | 31.08 | 2786 | 3.53 | 210 |
| Threshold | Number of UNLSs | Total Area of UNLSs |
|---|---|---|
| 4 | 162 | 32.42 |
| 8 | 138 | 31.08 |
| 12 | 125 | 28.31 |
| 16 | 97 | 21.24 |
| Contour Interval | Number of UNLSs | Total Area of UNLSs |
|---|---|---|
| 0.5 | 142 | 31.62 |
| 1.0 | 138 | 31.08 |
| 1.5 | 138 | 30.73 |
© 2020 by the authors. Licensee MDPI, Basel, Switzerland. This article is an open access article distributed under the terms and conditions of the Creative Commons Attribution (CC BY) license (http://creativecommons.org/licenses/by/4.0/).
Share and Cite
Liu, J.; Deng, Y.; Wang, Y.; Huang, H.; Du, Q.; Ren, F. Urban Nighttime Leisure Space Mapping with Nighttime Light Images and POI Data. Remote Sens. 2020, 12, 541. https://doi.org/10.3390/rs12030541
Liu J, Deng Y, Wang Y, Huang H, Du Q, Ren F. Urban Nighttime Leisure Space Mapping with Nighttime Light Images and POI Data. Remote Sensing. 2020; 12(3):541. https://doi.org/10.3390/rs12030541
Chicago/Turabian StyleLiu, Jiping, Yue Deng, Yong Wang, Haosheng Huang, Qingyun Du, and Fu Ren. 2020. "Urban Nighttime Leisure Space Mapping with Nighttime Light Images and POI Data" Remote Sensing 12, no. 3: 541. https://doi.org/10.3390/rs12030541
APA StyleLiu, J., Deng, Y., Wang, Y., Huang, H., Du, Q., & Ren, F. (2020). Urban Nighttime Leisure Space Mapping with Nighttime Light Images and POI Data. Remote Sensing, 12(3), 541. https://doi.org/10.3390/rs12030541

