Comprehensive Comparisons of State-of-the-Art Gridded Precipitation Estimates for Hydrological Applications over Southern China
Abstract
1. Introduction
2. Materials and Methods
2.1. Study Region
2.2. Datasets
2.2.1. CMPA
2.2.2. Satellite and reanalysis precipitation products
2.3. Methodology
3. Results
3.1. Spatial Distributions of Accumulated Rainfall over Southern China in Summer 2019
3.2. Daily Scale Assessment of the Precipitation Products over Southern China from June to August
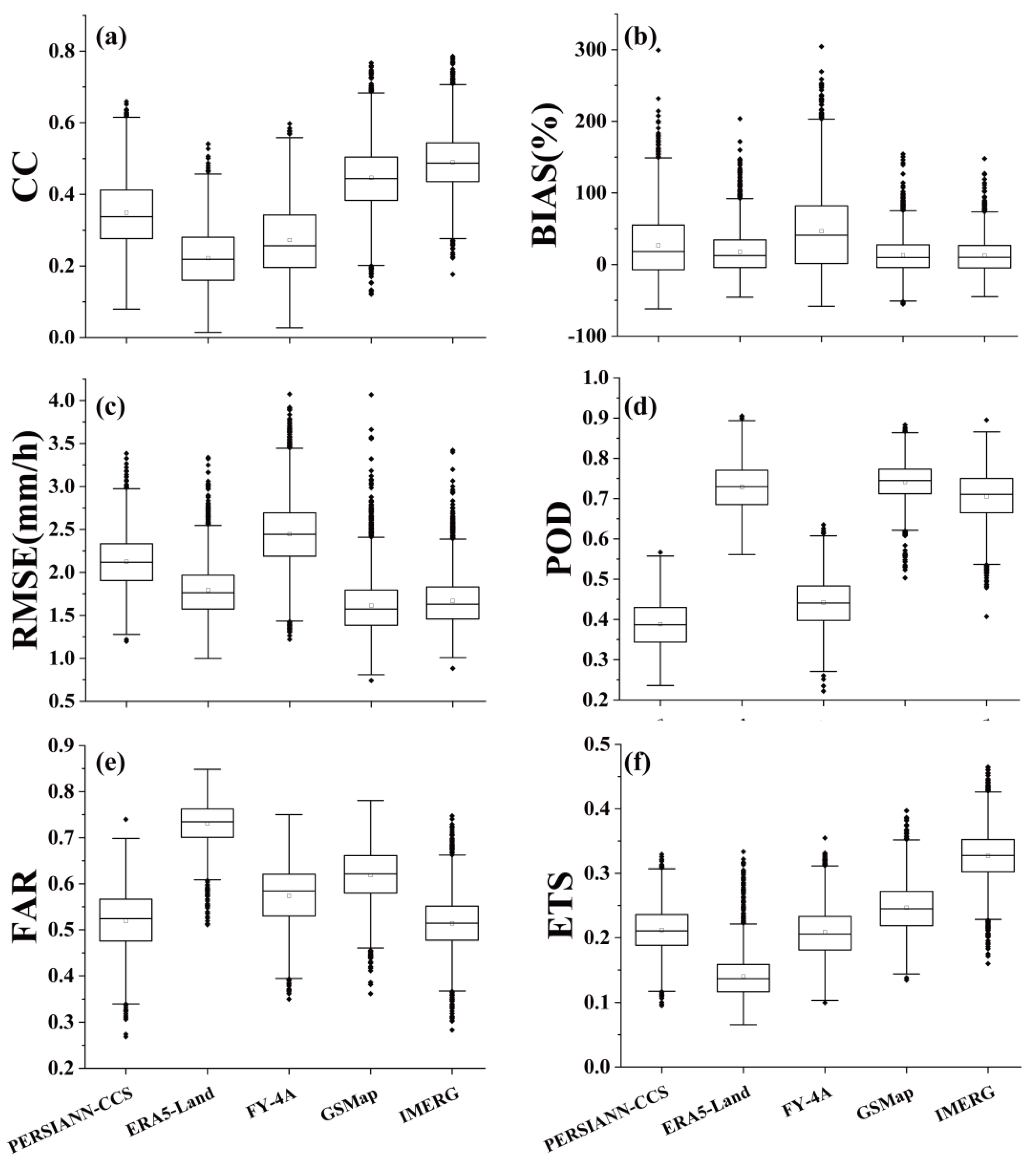
3.3. Hourly Scale Assessment of the Five Precipitation Products Based on Statistical Metrics
4. Discussions
5. Conclusions
- (1)
- All five products overestimate the accumulated rainfall in the summer of 2019, and FY-4A presents the most serious overestimation; additionally, FY-4A cannot capture the spatial and temporal distribution characteristics of precipitation over southern China.
- (2)
- IMERG and GSMaP perform better than PERSIANN-CCS, ERA5-Land, and FY-4A, both at daily and hourly time-scales, over southern China; IMERG correlates slightly better than GSMaP against CMPA data, while it performs worse than GSMaP in terms of POD.
- (3)
- The reanalysis product ERA5-Land performs better than PERSIANN-CCS and FY-4A at the daily scale but shows the worst CC, FAR, and ETS values of all precipitation products at the hourly scale.
- (4)
- The rankings of precipitation products most suitable for this region are IMERG, GSMaP, ERA5-Land, PERSIANN-CCS, and FY-4A at the daily scale; and IMERG, GSMaP, PERSIANN-CCS, FY-4A, and ERA5-Land at the hourly scale.
Author Contributions
Funding
Acknowledgments
Conflicts of Interest
References
- Sharifi, E.; Eitzinger, J.; Dorigo, W.A. Performance of the State-Of-The-Art Gridded Precipitation Products over Mountainous Terrain: A Regional Study over Austria. Remote Sens. 2019, 11, 2018. [Google Scholar] [CrossRef]
- Beck, H.E.; Wood, E.F.; Pan, M.; Fisher, C.K.; Miralles, D.G.; Van Dijk, A.I.J.M.; McVicar, T.R.; Adler, R.F. MSWEP V2 Global 3-Hourly 0.1° Precipitation: Methodology and Quantitative Assessment. Bull. Am. Meteorol. Soc. 2019, 100, 473–500. [Google Scholar] [CrossRef]
- Ma, Z.; Xu, J.; He, K.; Han, X.; Ji, Q.; Wang, T.; Xiong, W.; Hong, Y. An updated moving window algorithm for hourly-scale satellite precipitation downscaling: A case study in the Southeast Coast of China. J. Hydrol. 2020, 581, 124378. [Google Scholar] [CrossRef]
- Ren, L.; Wang, B.; Shi, C.; Cui, W.; Zhao, C.; Liu, Y.; Ren, L.; Zhang, L.; Zhu, Y.; Chen, T.; et al. Evaluation of hydrological utility of IMERG Final run V05 and TMPA 3B42V7 satellite precipitation products in the Yellow River source region, China. J. Hydrol. 2018, 567, 696–711. [Google Scholar] [CrossRef]
- Gao, Z.; Long, D.; Tang, G.; Zeng, C.; Huang, J.; Hong, Y. Assessing the potential of satellite-based precipitation estimates for flood frequency analysis in ungauged or poorly gauged tributaries of China’s Yangtze River basin. J. Hydrol. 2017, 550, 478–496. [Google Scholar] [CrossRef]
- Xue, X.; Hong, Y.; Limaye, A.S.; Gourley, J.J.; Huffman, G.J.; Khan, S.I.; Dorji, C.; Chen, S. Statistical and hydrological evaluation of TRMM-based Mulit-satellite precipitation analysis over the wangchu basin of bhutan: Are the latest satellite precipitation products 3B42V7 ready for use in ungauged basins? J. Hydrol. 2013, 449, 91–99. [Google Scholar] [CrossRef]
- Gebregiorgis, A.S.; Hossain, F. Understanding the Dependence of Satellite Rainfall Uncertainty on Topography and Climate for Hydrologic Model Simulation. IEEE Trans. Geosci. Remote Sens. 2013, 51, 704–718. [Google Scholar] [CrossRef]
- Tang, G.; Clark, M.P.; Papalexiou, S.; Ma, Z.; Hong, Y. Have satellite precipitation products improved over last two decades? A comprehensive comparison of GPM IMERG with nine satellite and reanalysis datasets. Remote Sens. Environ. 2020, 240, 111697. [Google Scholar] [CrossRef]
- Huffman, G.J.; Adler, R.F.; Bolvin, D.T.; Nelkin, E.J. The TRMM multi-satellite precipitation analysis (TMPA). In Satellite Rainfall Applications for Surface Hydrology; Springer: Dordrecht, The Netherlands, 2010; pp. 3–22. [Google Scholar]
- Huffman, G.J.; Bolvin, D.T.; Braithwaite, D.; Hsu, K.; Joyce, R.; Kidd, C.; Nelkin, E.J.; Sorooshian, S.; Tan, J.; Xie, P. NASA Global Precipitation Measurement (GPM) Integrated Multi-satellitE Retrievals for GPM (IMERG). In Algorithm Theoretical Basis Document (ATBD); NASA/GSFC: Greenbelt, MD, USA, 2019. [Google Scholar]
- Joyce, R.J.; Janowiak, J.E.; Arkin, P.A.; Xie, P. CMORPH: A Method that Produces Global Precipitation Estimates from Passive Microwave and Infrared Data at High Spatial and Temporal Resolution. J. Hydrometeorol. 2004, 5, 287–296. [Google Scholar] [CrossRef]
- Hong, Y.; Gochis, D.; Cheng, J.-T.; Hsu, K.-L.; Sorooshian, S. Evaluation of PERSIANN-CCS Rainfall Measurement Using the NAME Event Rain Gauge Network. J. Hydrometeorol. 2007, 8, 469–482. [Google Scholar] [CrossRef]
- Nguyen, P.; Ombadi, M.; Sorooshian, S.; Hsu, K.-L.; AghaKouchak, A.; Braithwaite, D.; Ashouri, H.; Thorstensen, A.R. The PERSIANN family of global satellite precipitation data: A review and evaluation of products. Hydrol. Earth Syst. Sci. 2018, 22, 5801–5816. [Google Scholar] [CrossRef]
- Mega, T.; Ushio, T.; Takahiro, M.; Kubota, T.; Kachi, M.; Oki, R. Gauge-Adjusted Global Satellite Mapping of Precipitation. IEEE Trans. Geosci. Remote Sens. 2018, 57, 1928–1935. [Google Scholar] [CrossRef]
- Beck, H.E.; Van Dijk, A.I.J.M.; Levizzani, A.F.V.; Schellekens, J.; Miralles, D.G.; Martens, B.; De Roo, A. MSWEP: 3-hourly 0.25° global gridded precipitation (1979–2015) by merging gauge, satellite, and reanalysis data. Hydrol. Earth Syst. Sci. 2017, 21, 589–615. [Google Scholar] [CrossRef]
- Xu, J.; Ma, Z.; Tang, G.; Ji, Q.; Min, X.; Wan, W.; Shi, Z. Quantitative Evaluations and Error Source Analysis of Fengyun-2-Based and GPM-Based Precipitation Products over Mainland China in Summer, 2018. Remote Sens. 2019, 11, 2992. [Google Scholar] [CrossRef]
- Vitolo, C.; Di Giuseppe, F.; Barnard, C.; Coughlan, R.; San-Miguel-Ayanz, J.; Libertá, G.; Krzeminski, B. ERA5-based global meteorological wildfire danger maps. Sci. Data 2020, 7, 1–11. [Google Scholar] [CrossRef]
- Yu, C.; Hu, D.; Liu, M.; Wang, S.; Di, Y. Spatio-temporal accuracy evaluation of three high-resolution satellite precipitation products in China area. Atmos. Res. 2020, 241, 104952. [Google Scholar] [CrossRef]
- Sun, Q.; Miao, C.; Duan, Q.; Ashouri, H.; Sorooshian, S.; Hsu, K.L. A Review of Global Precipitation Data Sets: Data Sources, Estimation, and Intercomparisons. Rev. Geophys. 2018, 56, 79–107. [Google Scholar] [CrossRef]
- Hong, Y.; Tang, G.; Ma, Y.; Huang, Q.; Han, Z.; Zeng, Z.; Yang, Y.; Wang, C.; Guo, X. Remote Sensing Precipitation: Sensors, Retrievals, Validations, and Applications; Observation and Measurement Ecohydrology; Springer: Berlin/Heidelberg, Germany, 2018. [Google Scholar]
- Lu, D.; Young, B. Evaluation and Hydrological Utility of the Latest GPM IMERG V5 and GSMaP V7 Precipitation Products over the Tibetan Plateau. Remote Sens. 2018, 10, 2022. [Google Scholar] [CrossRef]
- Mohammed, I.N.; Bolten, J.D.; Srinivasan, R.; Lakshmi, V. Improved Hydrological Decision Support System for the Lower Mekong River Basin Using Satellite-Based Earth Observations. Remote Sens. 2018, 10, 885. [Google Scholar] [CrossRef]
- Jiang, L.; Bauer-Gottwein, P. How do GPM IMERG precipitation estimates perform as hydrological model forcing? Evaluation for 300 catchments across Mainland China. J. Hydrol. 2019, 572, 486–500. [Google Scholar] [CrossRef]
- Shao, J.; Gao, H.; Wang, X.; Zhang, Q. Application of Fengyun-4 Satellite to Flood Disaster Monitoring through a Rapid Multi-Temporal Synthesis Approach. J. Meteorol. Res. 2020, 34, 720–731. [Google Scholar] [CrossRef]
- MaggioniiD, V.; Massari, C. On the performance of satellite precipitation products in riverine flood modeling: A review. J. Hydrol. 2018, 558, 214–224. [Google Scholar] [CrossRef]
- Tang, G.; Long, D.; Hong, Y.; Gao, J.; Wan, W. Documentation of multifactorial relationships between precipitation and topography of the Tibetan Plateau using spaceborne precipitation radars. Remote Sens. Environ. 2018, 208, 82–96. [Google Scholar] [CrossRef]
- Wang, T.; Tang, G. Spatial Variability and Linkage between Extreme Convections and Extreme Precipitation Revealed by 22-Year Space-Borne Precipitation Radar Data. Geophys. Res. Lett. 2020, 47, 088437. [Google Scholar] [CrossRef]
- Vizy, E.K.; Cook, K.H. Observed relationship between the Turkana low-level jet and boreal summer convection. Clim. Dyn. 2019, 53, 4037–4058. [Google Scholar] [CrossRef]
- Zhang, A.; Xiao, L.; Min, C.; Chen, S.; Kulie, M.; Huang, C.; Liang, Z. Evaluation of latest GPM-Era high-resolution satellite precipitation products during the May 2017 Guangdong extreme rainfall event. Atmos. Res. 2019, 216, 76–85. [Google Scholar] [CrossRef]
- Islam, A.; Yu, B.; Cartwright, N. Assessment and comparison of five satellite precipitation products in Australia. J. Hydrol. 2020, 590, 125474. [Google Scholar] [CrossRef]
- Zhou, Z.; Guo, B.; Xing, W.; Zhou, J.; Xu, F.; Xu, Y. Comprehensive evaluation of latest GPM era IMERG and GSMaP precipitation products over mainland China. Atmos. Res. 2020, 246, 105132. [Google Scholar] [CrossRef]
- Li, X.; Chen, Y.; Wang, H.; Zhang, Y. Assessment of GPM IMERG and radar quantitative precipitation estimation (QPE) products using dense rain gauge observations in the Guangdong-Hong Kong-Macao Greater Bay Area, China. Atmos. Res. 2020, 236, 104834. [Google Scholar] [CrossRef]
- Shen, Y.; Zhao, P.; Pan, Y.; Yu, J. A high spatiotemporal gauge-satellite merged precipitation analysis over China. J. Geophys. Res. Atmos. 2014, 119, 3063–3075. [Google Scholar] [CrossRef]
- Yong, B.; Ren, L.-L.; Hong, Y.; Wang, J.-H.; Yong, B.; Jiang, S.; Chen, X.; Wang, W. Hydrologic evaluation of Multisatellite Precipitation Analysis standard precipitation products in basins beyond its inclined latitude band: A case study in Laohahe basin, China. Water Resour. Res. 2010, 46, 759–768. [Google Scholar] [CrossRef]
- Copernicus Climate Change Service (C3S). ERA5: Fifth Generation of ECMWF Atmospheric Reanalyses of the Global Climate. Copernicus Climate Change Service Climate Data Store (CDS): July 2019. Available online: https://cds.climate.copernicus.eu/cdsapp#!/home (accessed on 23 October 2020).
- Taylor, K.E. Summarizing multiple aspects of model performance in a single diagram. J. Geophys. Res. Atmos. 2001, 106, 7183–7192. [Google Scholar] [CrossRef]
- Xu, X.; Frey, S.K.; Boluwade, A.; Erler, A.R.; Khader, O.; Lapen, D.R.; Sudicky, E. Evaluation of variability among different precipitation products in the Northern Great Plains. J. Hydrol. Reg. Stud. 2019, 24, 100608. [Google Scholar] [CrossRef]
- Tang, G.; Behrangi, A.; Long, D.; Li, C.; Hong, Y. Accounting for spatiotemporal errors of gauges: A critical step to evaluate gridded precipitation products. J. Hydrol. 2018, 559, 294–306. [Google Scholar] [CrossRef]
- Zhang, D.; Liu, X.; Bai, P.; Li, X. Suitability of Satellite-Based Precipitation Products for Water Balance Simulations Using Multiple Observations in a Humid Catchment. Remote Sens. 2019, 11, 151. [Google Scholar] [CrossRef]
- Chen, Y.; Yu, Z.; Han, W.; He, J.; Chen, M. Case Study of a Retrieval Method of 3D Proxy Reflectivity from FY-4A Lightning Data and Its Impact on the Assimilation and Forecasting for Severe Rainfall Storms. Remote Sens. 2020, 12, 1165. [Google Scholar] [CrossRef]
- Sunilkumar, K.; Narayana, R.T.; Saikranthi, K.; Purnachandra, M.R. Comprehensive evaluation of multisatellite precipitation estimates over India using gridded rainfall data. J. Geophys. Res. Atmos. 2015, 120, 8987–9005. [Google Scholar] [CrossRef]
- Mastrantonas, N.; Bhattacharya, B.; Shibuo, Y.; Rasmy, M.; Espinoza-Dávalos, G.; Solomatine, D. Evaluating the Benefits of Merging Near-Real-Time Satellite Precipitation Products: A Case Study in the Kinu Basin Region, Japan. J. Hydrometeorol. 2019, 20, 1213–1233. [Google Scholar] [CrossRef]
- Massari, C.; Brocca, L.; Pellarin, T.; Abramowitz, G.; Filippucci, P.; Ciabatta, L.; Maggioni, V.; Kerr, Y.; Prieto, D.F. A daily 25 km short-latency rainfall product for data-scarce regions based on the integration of the Global Precipitation Measurement mission rainfall and multiple-satellite soil moisture products. Hydrol. Earth Syst. Sci. 2020, 24, 2687–2710. [Google Scholar] [CrossRef]
- Qingping, W.; Xiaojing, W.; Yangquan, C.; Jie, D. Visualization and Application of FY-4A Satellite Data. Meteorol. Ence Technol. 2019, 3, 502–507. [Google Scholar]
- Li, S.; Yue, J.; Wang, X.; Li, C.; Liu, H.; Li, G. Precipitation Characteristics of an Abrupt Heavy Rainfall Event over the Complex Terrain of Southwest China Observed by the FY-4A Satellite and Doppler Weather Radar. Water 2020, 12, 2502. [Google Scholar] [CrossRef]












| Dataset | Full Name of the Dataset | Resolution | Period | Latency | Reference |
|---|---|---|---|---|---|
| FY-4A | Fengyun 4A Quantitative Precipitation Estimation | 4 km/0.5 h | 2018–present | 9 hours | [33] |
| PERSIANN-CCS | Precipitation Estimation from Remotely Sensed Information using Artificial Neural Networks Cloud Classification System | 0.04°/0.5 h | 2006–present | 1 hour | [12] |
| ERA5-Land | European Center for Medium-Range Weather Forecasts Reanalysis v5 | 0.1°/1 h | 1979–present | 2 months | [35] |
| GSMaP | Global Satellite Mapping of Precipitation (Gauge) | 0.1°/1 h | 2000–present | 3 days | [14] |
| IMERG | Integrated Multi-satellitE Retrievals for Global Precipitation Measurement Final | 0.1°/1 h | 2000–present | 3.5 months | [10] |
| Index | Equation 1 | Perfect Value |
|---|---|---|
| Probability of detection (POD) | 1 | |
| False alarm ratio (FAR) | 0 | |
| Equitable threat score (ETS) | 1 |
| Statistic Index | Equation 1 | Perfect Value |
|---|---|---|
| Correlation coefficient (CC) | 1 | |
| Relative bias (BIAS) | 0 | |
| Root-mean-square error (RMSE) | 0 |
| Index | Dataset | June | July | August | Summer |
|---|---|---|---|---|---|
| PERSIANN-CCS | 0.45 | 0.53 | 0.61 | 0.48 | |
| ERA5-Land | 0.50 | 0.57 | 0.65 | 0.57 | |
| CC | FY-4A | 0.44 | 0.45 | 0.42 | 0.43 |
| GSMaP | 0.68 | 0.68 | 0.75 | 0.71 | |
| IMERG | 0.70 | 0.71 | 0.77 | 0.73 | |
| PERSIANN-CCS | 28.38 | 89.14 | −17.10 | 33.07 | |
| BIAS (%) | ERA5-Land | 33.93 | 28.30 | 15.68 | 26.16 |
| FY-4A | 13.51 | 199.16 | −51.01 | 52.14 | |
| GSMaP | 25.19 | 25.72 | 14.73 | 21.95 | |
| IMERG | 21.32 | 24.33 | 18.64 | 21.41 | |
| PERSIANN-CCS | 20.12 | 23.23 | 13.06 | 19.27 | |
| RMSE (mm/d) | ERA5-Land | 15.31 | 11.91 | 12.82 | 13.40 |
| FY-4A | 21.96 | 39.28 | 15.39 | 27.51 | |
| GSMaP | 12.51 | 11.43 | 11.47 | 11.81 | |
| IMERG | 13.77 | 12.61 | 12.06 | 12.82 |
| Index | PERSIANN-CCS | ERA5-Land | FY-4A | GSMaP | IMERG |
|---|---|---|---|---|---|
| CC | 0.35 | 0.22 | 0.28 | 0.45 | 0.49 |
| BIAS | 27.67 | 18.26 | 48.41 | 13.00 | 12.49 |
| RMSE | 2.14 | 1.80 | 2.45 | 1.62 | 1.68 |
| POD | 0.39 | 0.73 | 0.45 | 0.74 | 0.70 |
| FAR | 0.52 | 0.73 | 0.57 | 0.62 | 0.51 |
| ETS | 0.21 | 0.14 | 0.21 | 0.25 | 0.33 |
Publisher’s Note: MDPI stays neutral with regard to jurisdictional claims in published maps and institutional affiliations. |
© 2020 by the authors. Licensee MDPI, Basel, Switzerland. This article is an open access article distributed under the terms and conditions of the Creative Commons Attribution (CC BY) license (http://creativecommons.org/licenses/by/4.0/).
Share and Cite
Gao, Z.; Huang, B.; Ma, Z.; Chen, X.; Qiu, J.; Liu, D. Comprehensive Comparisons of State-of-the-Art Gridded Precipitation Estimates for Hydrological Applications over Southern China. Remote Sens. 2020, 12, 3997. https://doi.org/10.3390/rs12233997
Gao Z, Huang B, Ma Z, Chen X, Qiu J, Liu D. Comprehensive Comparisons of State-of-the-Art Gridded Precipitation Estimates for Hydrological Applications over Southern China. Remote Sensing. 2020; 12(23):3997. https://doi.org/10.3390/rs12233997
Chicago/Turabian StyleGao, Zhen, Bensheng Huang, Ziqiang Ma, Xiaohong Chen, Jing Qiu, and Da Liu. 2020. "Comprehensive Comparisons of State-of-the-Art Gridded Precipitation Estimates for Hydrological Applications over Southern China" Remote Sensing 12, no. 23: 3997. https://doi.org/10.3390/rs12233997
APA StyleGao, Z., Huang, B., Ma, Z., Chen, X., Qiu, J., & Liu, D. (2020). Comprehensive Comparisons of State-of-the-Art Gridded Precipitation Estimates for Hydrological Applications over Southern China. Remote Sensing, 12(23), 3997. https://doi.org/10.3390/rs12233997

