Motion Parameter Identification and Motion Compensation for Shipborne HFSWR by Using the Reference RF Signal Generated at the Shore
Abstract
1. Introduction
2. Methods
2.1. Physical Model
2.2. Motion Compensation with Known Motion Parameters
2.2.1. Expression of the Reference RF Signal
2.2.2. Antenna Pattern and Array Steering Vector Modulated by Pitch
2.2.3. Motion Compensation for the Reference RF Signal
2.2.4. Motion Compensation Verification for the First-Order RCS
2.3. Identifiability Analysis of Motion Parameters by the Reference RF Signal
2.3.1. Identifiability Analysis of the Pitch Motion Parameters by the Reference RF Signal
2.3.2. Identifiability Analysis of Six-DOF Motion Parameters by the Reference RF Signal
2.4. Motion Parameter Identification Method
2.4.1. Identification of Motion Amplitude
- 1.
- According to Equation (36), the amplitude of the reference RF peak without motion is calculated.
- 2.
- According to Equation (33), the amplitude of the reference RF peak modulated by pitch is calculated.
- 3.
- and satisfy the following relationship:According to Equation (37), the value of a Bessel function of zero order can be obtained.
- 4.
- By the properties of the zero-order Bessel function, we can invert .
- 5.
- According to the relation between and , the identification result of motion parameter can be obtained, denoted as .
2.4.2. Identification of Angular Frequency
2.4.3. Correction of the Amplitude of Rotation
3. Simulation Results
3.1. Preliminary Results of Motion Parameter Identification and Compensation Incorporating the Reference RF Signal and the First-Order RCS
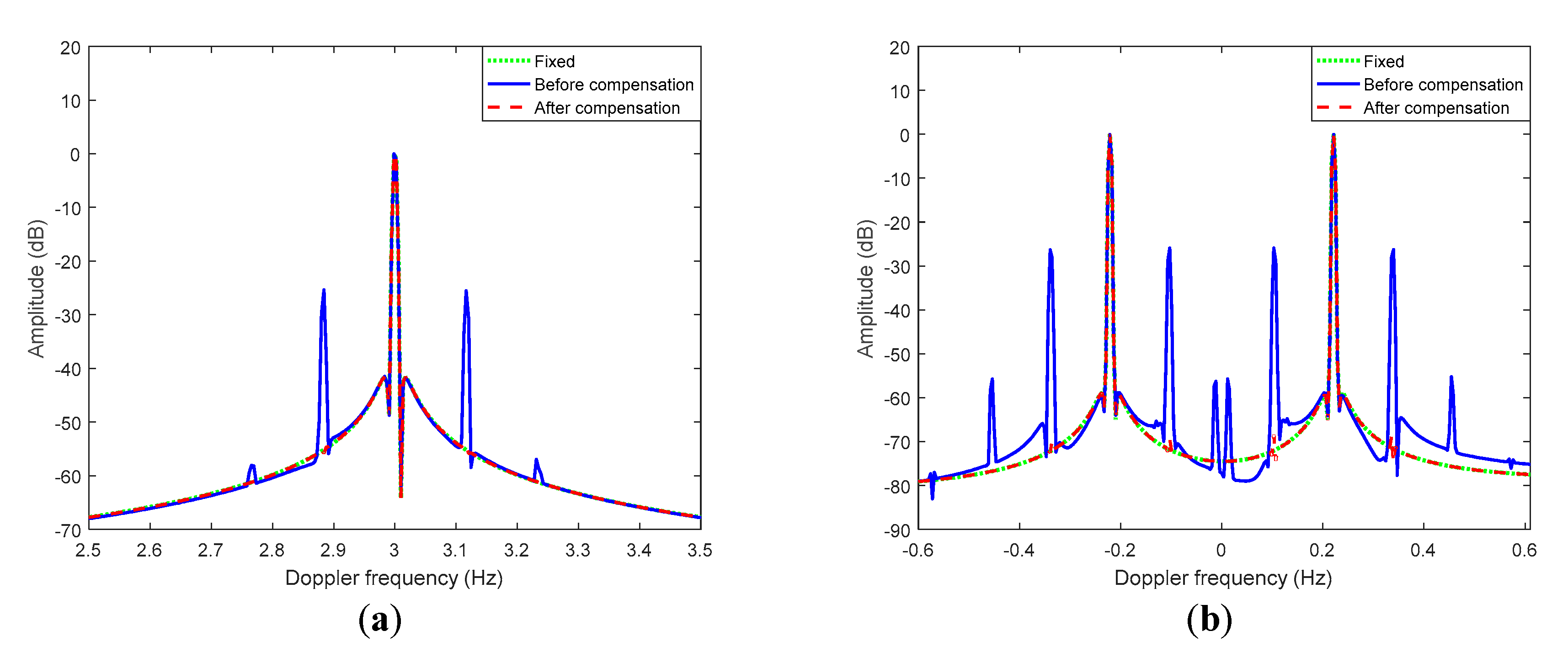
3.2. Final Results of Motion Parameter Identification and Compensation Incorporating the Reference RF Signal and the First-Order RCS
3.3. Method Comparison
4. Discussion
5. Conclusions
Author Contributions
Funding
Conflicts of Interest
Abbreviations
| Name | Definition |
| the whole echo signal model | |
| the transmitting power of the radar | |
| the gain of transmitting antennas | |
| the gain of receiving antennas | |
| the wave length | |
| the first-order RCS of the ocean surface | |
| the distance of each patch from the platform | |
| the included angle between the line that connects each patch and the platform and the Y-axis | |
| the n-th sweep period | |
| the change in angle of each patch | |
| the change in range of each patch | |
| the speed of light | |
| the bandwidth of radar | |
| the single-frequency reference RF signal after the first fast Fourier transform (FFT) | |
| the distance between the RF source and the platform | |
| the included angle between the line that connects the RF source and the platform and the opposite extension of the Y-axis | |
| the receiving antenna pattern | |
| the antenna pattern modulated by roll | |
| the antenna pattern modulated by pitch | |
| the amplitude of the array steering vector | |
| the number of receiving antennas | |
| the data vector | |
| the phase of the array steering vector | |
| the background noise | |
| the left of gravity of the platform | |
| the distance between the leftline of the deck and the receiving antennas | |
| the distance between the platform’s left of gravity and the deck | |
| the distance between adjacent receiving antennas | |
| the height of the receiving antennas | |
| the displacement of the platform’s surge | |
| the displacement of the platform’s sway | |
| the displacement of the platform’s heave | |
| the angles of roll | |
| the angles of pitch | |
| the angles of yaw | |
| the horizontal motion vectors caused by surge, sway, yaw, roll, and pitch, respectively | |
| the motion directions of surge, sway, yaw, roll, and pitch, respectively | |
| the amplitude of surge, sway, yaw, roll, and pitch, respectively | |
| the angular of surge, sway, yaw, roll, and pitch, respectively | |
| the rotation angles of yaw (functions) | |
| the rotation angles of roll (functions) | |
| the rotation angles of pitch (functions) | |
| the frequency of the reference RF signal | |
| the radar carrier frequency | |
| the reference RF signal | |
| the complex conjugate of radar local oscillator signal | |
| the Fourier transformation operator | |
| the amplitude of the reference RF signal | |
| the frequency response of the low-pass filter | |
| the cutoff frequency of the frequency response of the low-pass filter | |
| the start frequency of radar local oscillator signal | |
| the sweep period | |
| the sweep slope | |
| the echo time delay | |
| the initial phase of the reference RF signal | |
| the position of the reference RF signal in the Doppler spectra | |
| the wave number | |
| the angle changes of pitch | |
| the antenna pattern modulated by six-DOF motion | |
| the array steering vector without motion (including the amplitude and phase) | |
| the amplitude of the array steering vector modulated by pitch | |
| the phase of the array steering vector modulated by pitch | |
| the Hadamard product | |
| the amplitude of the array steering vector modulated by six-DOF motion | |
| the phase of the array steering vector modulated by six-DOF motion | |
| the steering vector phase of the antenna closest to the prow modulated by pitch | |
| the steering vector phase of the antenna closest to the prow without motion | |
| the steering vector phase of the antenna closest to the prow modulated by six-DOF motion | |
| the amplitude after parameter identification of surge, sway, yaw, roll, and pitch, respectively | |
| the angular frequency after parameter identification of surge, sway, yaw, roll, and pitch, respectively | |
| the first-order RCS (sum) | |
| the reference RF signal of the antenna closest to the prow modulated by pitch (after the first FFT) | |
| the Bessel function | |
| the order of the Bessel function | |
| the reference RF signal in the frequency-domain modulated by pitch of the antenna closest to the prow (after the second FFT) | |
| the reference RF signal in the frequency-domain modulated by six-DOF motion of the antenna closest to the prow (after the second FFT) | |
| the reference RF signal received by the antenna closest to the prow without motion in the frequency-domain (after the second FFT) | |
| the amplitude of the reference RF peak without motion | |
| the amplitude of the reference RF peak modulated by pitch | |
| the frequency of pitch | |
| the preliminary identification result of | |
| the frequency resolution | |
| the number of sweep periods | |
| the preliminary identification results of angular frequency | |
| the result of the i-th search of angular frequency | |
| the amplitude of the reference RF peak during the i-th search (search angular frequency) | |
| a unique minimum amplitude of the reference RF peak (search angular frequency) | |
| the maximum allowable error of the angular frequency | |
| the amplitude of the reference RF peak during the i-th search (search amplitude) | |
| the result of the i-th search of amplitude | |
| a unique minimum amplitude of the reference RF peak (search amplitude) | |
| the maximum allowable error of the amplitude of rotation | |
| the index of motion compensation | |
| each point on the curve after motion compensation | |
| each point on the curve without motion (shore-based) |
References
- Barrick, D.E. Extraction of wave parameters from measured HF radar sea-echo Doppler spectra. Radio Sci. 1977, 12, 415–424. [Google Scholar] [CrossRef]
- Khan, R.; Gamberg, B.; Power, D.; Walsh, J.; Dawe, B.; Pearson, W.; Millan, D. Target detection and tracking with a high frequency ground wave radar. IEEE J. Ocean. Eng. 1994, 19, 540–548. [Google Scholar] [CrossRef]
- Huang, W.; Wu, S.; Gill, E.W.; Wen, B.; Hou, J. HF radar wind and wave measurement over the Eastern China Sea. IEEE Trans. Geosci. Reomote Sens. 2002, 40, 1950–1955. [Google Scholar] [CrossRef]
- Jangal, F.; Saillant, S.; Helier, M. Wavelet contribution to remote sensing of the sea and target detection for a high-frequency surface wave radar. IEEE Geosci. Remote Sens. Lett. 2008, 5, 552–556. [Google Scholar] [CrossRef]
- Lipa, B.J.; Isaacson, J.; Nyden, B.; Barrick, D.E. Tsunami arrival detection with high frequency (HF) radar. Remote Sens. 2012, 4, 1448–1461. [Google Scholar] [CrossRef]
- Tian, Y.; Wen, B.; Zhou, H.; Wang, C.; Yang, J.; Huang, W. Wave height estimation from first-order backscatter of a dual-frequency high frequency radar. Remote Sens. 2017, 9, 1186. [Google Scholar] [CrossRef]
- Shen, W.; Gurgel, K.W. Wind direction inversion from narrow-beam HF radar backscatter signals in low and high wind conditions at different radar frequencies. Remote Sens. 2018, 10, 1480. [Google Scholar] [CrossRef]
- Lipa, B.J.; Barrick, D.E.; Isaacson, J.; Lilleboe, P.M. CODAR wave measurements from a North Sea semisubmersible. IEEE J. Ocean. Eng. 1990, 15, 119–125. [Google Scholar] [CrossRef]
- Howell, R.; Walsh, J. Measurement of ocean wave spectra using a ship-mounted HF radar. IEEE J. Ocean. Eng. 1993, 18, 306–310. [Google Scholar] [CrossRef]
- Gurgel, K.W.; Essen, H. On the performance of a shipborne current mapping HF radar. IEEE J. Ocean. Eng. 2000, 25, 183–191. [Google Scholar] [CrossRef]
- Xie, J.; Yuan, Y.; Liu, Y. Experimental analysis of sea clutter in shipborne HFSWR. IEE Proc. Radar Sonar Navig. 2001, 148, 67–71. [Google Scholar] [CrossRef]
- Walsh, J.; Huang, W.; Gill, E.G. The first-order high frequency radar ocean surface cross section for an antenna on a floating platform. IEEE Trans. Antennas Propag. 2010, 58, 2994–3003. [Google Scholar] [CrossRef]
- Walsh, J.; Huang, W.; Gill, E.G. The second-order high frequency radar ocean surface cross section for an antenna on a floating platform. IEEE Trans. Antennas Propag. 2012, 60, 4804–4813. [Google Scholar] [CrossRef]
- Xie, J.; Sun, M.; Ji, Z. The first-order ocean surface cross section for shipborne HFSWR. Electron. Lett. 2013, 49, 1025–1026. [Google Scholar] [CrossRef]
- Sun, M.; Xie, J.; Ji, Z.; Yao, G. Ocean surface cross sections for shipborne HFSWR with sway motion. Radio Sci. 2016, 51, 1745–1757. [Google Scholar] [CrossRef]
- Ma, Y.; Gill, E.W.; Huang, W. High frequency radar cross sections of the ocean surface incorporating pitch and roll motions of a floating platform. In Proceedings of the 2018 OCEANS—MTS/IEEE Kobe Techno-Oceans (OTO), Kobe, Japan, 28–31 May 2018. [Google Scholar]
- Yao, G.; Xie, J.; Huang, W. First-order ocean surface cross-section for shipborne HFSWR incorporating a horizontal oscillation motion model. IET Radar Sonar Navig. 2018, 12, 973–978. [Google Scholar] [CrossRef]
- Ma, Y.; Gill, E.W.; Huang, W. Bistatic high-frequency radar ocean surface cross section incorporating a dual-frequency platform motion model. IEEE J. Ocean. Eng. 2017, 43, 205–210. [Google Scholar] [CrossRef]
- Yao, G.; Xie, J.; Huang, W. Ocean surface cross section for bistatic HF radar incorporating a six DOF oscillation motion model. Remote Sens. 2019, 11, 2738. [Google Scholar] [CrossRef]
- Chang, G.; Li, M.; Xie, J.; Zhang, L.; Yu, C.; Ji, Y. Ocean surface current measurement using shipborne HF radar: Model and analysis. IEEE J. Ocean. Eng. 2016, 41, 970–981. [Google Scholar] [CrossRef]
- Gill, E.W.; Ma, Y.; Huang, W. Motion compensation for high-frequency surface wave radar on a floating platform. IET Radar Sonar Navig. 2018, 12, 37–45. [Google Scholar] [CrossRef]
- Bourges, A.; Guinvarc’h, R.; Uguen, B. Swell compensation for high frequency antenna array on buoys. In Proceedings of the 2006 IEEE Antennas and Propagation Society International Symposium, Albuquerque, NM, USA, 9–14 July 2006. [Google Scholar]
- Bourges, A.; Guinvarc’h, R.; Uguen, B. High-frequency surface wave radar based on a sea floating antenna concept. IET Microw. Antennas Propag. 2009, 3, 1237–1244. [Google Scholar]
- Yi, C.; Ji, Z.; Xie, J.; Sun, M.; Li, Y. Sea clutter suppression method for shipborne high-frequency surface-wave radar. IET Radar Sonar Navig. 2016, 10, 107–113. [Google Scholar] [CrossRef]
- Zhou, H.; Wen, B. Radio frequency interference suppression in small-aperture high-frequency radars. IEEE Geosci. Remote Sens. Lett. 2012, 9, 788–792. [Google Scholar] [CrossRef]
- Gill, E.W.; Walsh, J. A combined sea clutter and noise model appropriate to the operation of high-frequency pulsed Doppler radar in regions constrained by external noise. Radio Sci. 2008, 43, 289–297. [Google Scholar] [CrossRef]
- Grosdidier, S.; Baussard, A.; Khenchaf, A. HFSW radar model: Simulation and measurement. IEEE Trans. Geosci. Remote Sens. 2010, 48, 1–15. [Google Scholar] [CrossRef]
- IET. Propagation of Radiowaves, 2nd ed.; Barclay, L.W., Ed.; The Institution of Electrical Engineers: London, UK, 2003. [Google Scholar]
- Tahar, A.; Kim, M.H. Hull/mooring/riser coupled dynamics analysis and sensitivity study of tanker-based FPSO. Appl. Ocean. Res. 2003, 25, 367–382. [Google Scholar] [CrossRef]
- Das, S.N.; Das, S.K. Mathematical modeling of sway, roll and yaw motions: Order-wise analysis to determine coupled characteristics and numerical simulation for restoring moment’s sensitivity analysis. Acta Mech. 2010, 213, 305–322. [Google Scholar] [CrossRef]
- Pierson, W.; Moskowiz, L. A proposed spectral form for fully developed wind seas based on a similarity method of S. A. Kitaigordskii. J. Geophys. Res. 1964, 69, 5181–5190. [Google Scholar] [CrossRef]
- Tyler, G.L. Wave directional spectra from synthetic aperture observations of radio scatter. Deep Sea Res. 1974, 21, 989–1016. [Google Scholar] [CrossRef]












| Surge | Sway | Yaw | Roll | Pitch | |
|---|---|---|---|---|---|
| Amplitude | 1.335 m | 1.093 m | 1.373 | 2.225 | 1.263 |
| Angular Frequency (rad/s) | 0.7351 | 0.8105 | 0.7603 | 0.8859 | 0.7037 |
| Surge | Sway | Yaw | Roll | Pitch | |||
|---|---|---|---|---|---|---|---|
| Amplitude | Theoretical Value | 1.335 m | 1.093 m | 1.373 | 2.225 | 1.263 | |
| Preliminary | Value | 1.339 m | 1.092 m | 1.424° | 2.229° | 1.005° | |
| Error | 0.30% | 0.09% | 3.58% | 0.18% | 20.43% | ||
| Final | Value | 1.339 m | 1.092 m | 1.389° | 2.229° | 1.254° | |
| Error | 0.30% | 0.09% | 1.17% | 0.18% | 0.71% | ||
| Angular Frequency (rad/s) | Theoretical Value | 0.7351 | 0.8105 | 0.7603 | 0.8859 | 0.7037 | |
| Preliminary | Value | 0.7194 | 0.7911 | 0.7433 | 0.8872 | 0.6955 | |
| Error | 0.0157 | 0.0194 | 0.017 | 0.0013 | 0.0082 | ||
| Final | Value | 0.7351 | 0.8105 | 0.7603 | 0.8859 | 0.7037 | |
| Precision Error | Time Delay (ms) | |||
|---|---|---|---|---|
| Surge | 0.05 m | 40 | 0.0287 | 0.0013 |
| Sway | 0.05 m | 40 | 0.0097 | 1.7894 × 10−4 |
| Yaw | 0.08° | 5 | 0.0047 | 0.0038 |
| Roll | 0.01° | 5 | 3.1084 × 10−4 | 2.2756 × 10−5 |
| Pitch | 0.01° | 5 | 4.2219 × 10−4 | 2.7745 × 10−4 |
© 2020 by the authors. Licensee MDPI, Basel, Switzerland. This article is an open access article distributed under the terms and conditions of the Creative Commons Attribution (CC BY) license (http://creativecommons.org/licenses/by/4.0/).
Share and Cite
Zhu, D.; Niu, J.; Li, M.; Zhang, L.; Ji, Y.; Wu, Q.M.J. Motion Parameter Identification and Motion Compensation for Shipborne HFSWR by Using the Reference RF Signal Generated at the Shore. Remote Sens. 2020, 12, 2807. https://doi.org/10.3390/rs12172807
Zhu D, Niu J, Li M, Zhang L, Ji Y, Wu QMJ. Motion Parameter Identification and Motion Compensation for Shipborne HFSWR by Using the Reference RF Signal Generated at the Shore. Remote Sensing. 2020; 12(17):2807. https://doi.org/10.3390/rs12172807
Chicago/Turabian StyleZhu, Di, Jiong Niu, Ming Li, Ling Zhang, Yonggang Ji, and Q. M. Jonathan Wu. 2020. "Motion Parameter Identification and Motion Compensation for Shipborne HFSWR by Using the Reference RF Signal Generated at the Shore" Remote Sensing 12, no. 17: 2807. https://doi.org/10.3390/rs12172807
APA StyleZhu, D., Niu, J., Li, M., Zhang, L., Ji, Y., & Wu, Q. M. J. (2020). Motion Parameter Identification and Motion Compensation for Shipborne HFSWR by Using the Reference RF Signal Generated at the Shore. Remote Sensing, 12(17), 2807. https://doi.org/10.3390/rs12172807

