An Investigation of the Influences of SWOT Sampling and Errors on Ocean Eddy Observation
Abstract
1. Introduction
2. Data and Methods
2.1. SSH Model Data
2.2. Mapping Procedure Based on Optimal Interpolation
2.3. Eddy Identification
2.4. CSE Determination
| Algorithm 1: CSE determination for every eddy in three datasets |
| Input: , ,; |
| Output: the CSE label for every eddy in three datasets; |
| begin: |
| for i from 1 to m { |
| find space-time matching eddies for in : return a sub dataset with eddies; |
| if ( > 1) { |
| check space-time matching eddies for in : return ; |
| if ( != NULL) { |
| set the CSE labels of eddies in ,, as “merged”;}}} |
| for i from 1 to l { |
| if ( without a CSE label in ){ |
| find space-time matching eddies for in : return a sub dataset |
| with eddies; |
| find space-time matching eddies for in : return a sub dataset |
| with eddies; |
| if ( = 1 && = 1) { |
| set the CSE labels of eddies in , , as “matched”} |
| if (( > 1 || > 1) && ( & != 0)) { |
| set the CSE labels of eddies in , , as “split”} |
| if ( || = 0) { |
| set the CSE labels of eddies in , , as “missed”}}} |
| for i from 1 to m { |
| if ( without a CSE label in ) { |
| set the CSE labels of eddies as “artifact”}} |
| for i from 1 to n { |
| if ( without a CSE label in ) { |
| set the CSE labels of eddies as “artifact”}} |
| end |
3. Results of OSSEs in the Kuroshio Extension (KE) Region
4. Discussion
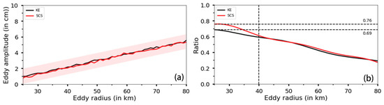
4.1. Comparison with OSSEs in the South China Sea (SCS)
4.2. The Influence of SWOT Errors on Small Scale Eddies (with Radius Scales of ~10 km)
- The eddy center is visible in the geostrophic velocity field;
- The rotating structure is visible in the geostrophic velocity field;
- The SSH contour is closed in the SSH field.
4.3. Underlying Assumptions and Biases
5. Conclusions
Author Contributions
Funding
Acknowledgments
Conflicts of Interest
References
- Dong:, C.; McWilliams, J.C.; Liu, Y.; Chen, D. Global heat and salt transports by eddy movement. Nat. Commun. 2014, 5, 3294. [Google Scholar] [CrossRef] [PubMed]
- Johnson, K.S.; Riser, S.C.; Karl, D.M. Nitrate supply from deep to near-surface waters of the north pacific subtropical gyre. Nature 2010, 465, 1062–1065. [Google Scholar] [CrossRef] [PubMed]
- Chelton, D.B.; Schlax, M.G.; Samelson, R.M. Global observations of nonlinear mesoscale eddies. Prog. Oceanogr. 2011, 91, 167–216. [Google Scholar] [CrossRef]
- Chelton, D.B.; Gaube, P.; Schlax, M.G.; Early, J.J.; Samelson, R.M. The influence of nonlinear mesoscale eddies on near-surface oceanic chlorophyll. Science 2011, 334, 328–332. [Google Scholar] [CrossRef]
- Chen, G.; Han, G.; Yang, X. On the intrinsic shape of oceanic eddies derived from satellite altimetry. Remote Sens. Environ. 2019, 228, 75–89. [Google Scholar] [CrossRef]
- Zhang, Z.; Wang, W.; Qiu, B. Oceanic mass transport by mesoscale eddies. Science 2014, 345, 322–324. [Google Scholar] [CrossRef]
- Faghmous, J.H.; Frenger, I.; Yao, Y.; Warmka, R.; Lindell, A.; Kumar, V. A daily global mesoscale ocean eddy dataset from satellite altimetry. Sci. Data 2015, 2, 150028. [Google Scholar] [CrossRef]
- Fu, L.-L.; Chelton, D.B.; Le Traon, P.-Y.; Morrow, R. Eddy dynamics from satellite altimetry. Oceanography 2010, 23, 14–25. [Google Scholar] [CrossRef]
- Chelton, D.B.; Schlax, M.G. The accuracies of smoothed sea surface height fields constructed from tandem satellite altimeter datasets. J. Atmos. Ocean. Technol. 2003, 20, 1276–1302. [Google Scholar] [CrossRef]
- Cédric, P.C.; Patrice, K. Can oceanic submesoscale processes be observed with satellite altimetry? Geophys. Res. Lett. 2010, 37, 707–716. [Google Scholar]
- Lévy, M.; Iovino, D.; Resplandy, L.; Klein, P.; Madec, G.; Tréguier, A.M.; Masson, S.; Takahashi, K. Large-scale impacts of submesoscale dynamics on phytoplankton: Local and remote effects. Ocean Model. 2012, 43, 77–93. [Google Scholar] [CrossRef]
- Gaultier, L.; Ubelmann, C.; Fu, L.-L. The challenge of using future SWOT data for oceanic field reconstruction. J. Atmos. Ocean. Technol. 2015, 33, 119–126. [Google Scholar] [CrossRef]
- Wang, J.; Fu, L.L.; Torres, H.S.; Chen, S.; Qiu, B.; Menemenlis, D. On the spatial scales to be resolved by the surface water and ocean topography Ka-band radar interferometer. J. Atmos. Ocean. Technol. 2019, 36, 87–99. [Google Scholar] [CrossRef]
- Amores, A.; Jordà, G.; Arsouze, T.; Le Sommer, J. Up to what extent can we characterize ocean eddies using present-day gridded altimetric products? J. Geophys. Res. Oceans 2018, 123, 7220–7236. [Google Scholar] [CrossRef]
- Fu, L.-L.; Cherchali, S.; Vaze, P. Surface Water and Ocean Topography Mission (SWOT) Project—Science Requirements Document; JPL D-61923; NASA: Washington, DC, USA, 2015.
- Peral, E.; Esteban-Fernandez, D. SWOT mission performance and error budget. In Proceedings of the IGARSS 2018—2018 IEEE International Geoscience and Remote Sensing Symposium, Valencia, Spain, 22–27 July 2018; pp. 8625–8628. [Google Scholar]
- Morrow, R.; Fu, L.-L.; Ardhuin, F.; Benkiran, M.; Chapron, B.; Cosme, E.; d’Ovidio, F.; Farrar, J.T.; Gille, S.T.; Lapeyre, G.; et al. Global observations of fine-scale ocean surface topography with the Surface Water and Ocean Topography (SWOT) mission. Front. Mar. Sci. 2019, 6, UNSP 232. [Google Scholar] [CrossRef]
- Fu, L.-L.; Ubelmann, C. On the transition from profile altimeter to swath altimeter for observing global ocean surface topography. J. Atmos. Ocean. Technol. 2014, 31, 560–568. [Google Scholar] [CrossRef]
- Ubelmann, C.; Fu, L.-L.; Brown, S.; Peral, E.; Esteban-Fernandez, D. The effect of atmospheric water vapor content on the performance of future wide-swath ocean altimetry measurement. J. Atmos. Ocean. Technol. 2014, 31, 1446–1454. [Google Scholar] [CrossRef]
- Ma, Z.; Han, G. Reconstruction of the surface inshore Labrador Current from SWOT sea surface height measurements. Remote Sens. 2019, 11, 1264. [Google Scholar] [CrossRef]
- Hybrid Coordinate Ocean Model (HYCOM) Data. Available online: ftp://ftp.hycom.org/datasets/GLBu0.08/expt_91.1/hindcasts/2015/ (accessed on 2 January 2020).
- Kelly, K.A.; Thompson, L.; Cheng, W.; Metzger, E.J. Evaluation of HYCOM in the Kuroshio Extension region using new metrics. J. Geophys. Res. Oceans 2007, 112, C01004. [Google Scholar] [CrossRef]
- Luecke, C.A.; Arbic, B.K.; Bassette, S.L.; Richman, J.G.; Shriver, J.F.; Alford, M.H.; Smedstad, O.M.; Timko, P.G.; Trossman, D.S.; Wallcraft, A.J. The global mesoscale eddy available potential energy field in models and observations. J. Geophys. Res. Oceans 2017, 122, 9126–9143. [Google Scholar] [CrossRef]
- Nagano, A.; Ichikawa, K.; Ichikawa, H.; Konda, M.; Murakami, K. Volume transports proceeding to the Kuroshio Extension region and recirculating in the Shikoku Basin. J. Oceanogr. 2013, 69, 285–293. [Google Scholar] [CrossRef]
- Dong, D.; Brandt, P.; Chang, P.; Schütte, F.; Yang, X.; Yan, J.; Zeng, J. Mesoscale eddies in the Northwestern Pacific Ocean: Three-dimensional eddy structures and heat/salt transports. J. Geophys. Res. Oceans 2017, 122, 9795–9813. [Google Scholar] [CrossRef]
- Shchepetkin, A.F.; McWilliams, J.C. The regional oceanic modeling system (ROMS): A split-explicit, free-surface, topography-following-coordinate oceanic model. Ocean Model. 2005, 9, 347–404. [Google Scholar] [CrossRef]
- Regional Ocean Modeling System (ROMS) Model Data off the Oregon Coast. Available online: https://swot.jpl.nasa.gov/files/SWOTsimulator/swotsimulator_largedata.zip (accessed on 10 March 2020).
- Bretherton, F.P.; Davis, R.E.; Fandry, C.B. A technique for objective analysis and design of oceanographic experiments applied to MODE-73. Deep Sea Res. Oceanogr. Abstr. 1976, 23, 559–582. [Google Scholar] [CrossRef]
- Le Traon, P.Y.; Nadal, F.; Ducet, N. An improved mapping method of multisatellite altimeter data. J. Atmos. Ocean. Technol. 1998, 15, 522–534. [Google Scholar] [CrossRef]
- Mason, E.; Pascual, A.; McWilliams, J.C. A new sea surface height–based code for oceanic mesoscale eddy tracking. J. Atmos. Ocean. Technol. 2014, 31, 1181–1188. [Google Scholar] [CrossRef]
- Zeng, L.X.; Levy, G. Space and time aliasing structure in monthly mean polar-orbiting satellite data. J. Geophys. Res. Atmos. 1995, 100, 5133–5142. [Google Scholar] [CrossRef]
- Itoh, S.; Yasuda, I. Characteristics of mesoscale eddies in the Kuroshio-Oyashio Extension region detected from the distribution of the sea surface height anomaly. J. Phys. Oceanogr. 2010, 40, 1018–1034. [Google Scholar] [CrossRef]
- Sun, W.; Dong, C.; Tan, W.; He, Y. Statistical characteristics of cyclonic warm-core eddies and anticyclonic cold-core eddies in the North Pacific based on remote sensing data. Remote Sens. 2019, 11, 208. [Google Scholar] [CrossRef]
- Sasaki, Y.N.; Minobe, S. Climatological mean features and interannual to decadal variability of ring formations in the Kuroshio Extension region. J. Oceanogr. 2015, 71, 499–509. [Google Scholar] [CrossRef]
- Chen, G.; Tang, T.J.; Zhao, C.; Wu, S.; Yu, F.; Ma, C.; Xu, Y.; Chen, W.; Zhang, Y.; Liu, J.; et al. Concept design of the “Guanlan” science mission: China’s novel contribution to space oceanography. Front. Mar. Sci. 2019, 6, UNSP 194. [Google Scholar] [CrossRef]
- Qiu, B.; Chen, S.; Klein, P.; Wang, J.; Torres, H.; Fu, L.-L. Seasonality in transition scale from balanced to unbalanced motions in the world ocean. J. Phys. Oceanogr. 2018, 48, 591–605. [Google Scholar] [CrossRef]
- Bai, Y.; Wang, Y.; Zhang, Y.; Zhao, C.; Chen, G. Impact of ocean waves on Guanlan’s IRA measurement error. Remote Sens. 2020, 12, 1534. [Google Scholar] [CrossRef]
- Ubelmann, C.; Cornuelle, B.; Fu, L.-L. Dynamic mapping of along-track ocean altimetry: Method and performance from observing system simulation experiments. J. Atmos. Ocean. Technol. 2016, 33, 1691–1699. [Google Scholar] [CrossRef]
- Ruggiero, G.A.; Ourmières, Y.; Cosme, E.; Blum, J.; Auroux, D.; Verron, J. Data assimilation experiments using diffusive back-and-forth nudging for the NEMO ocean model. Nonlinear Proc. Geophys. 2015, 22, 233–248. [Google Scholar] [CrossRef]













| Coverage | Model/Type | Spatial Resolution Lat × Lon (°) | Temporal Resolution (Day) |
|---|---|---|---|
| KE (24–44°N and 140–180°E) | HYCOM/ Gridded | 1/12.5 1/12.5 | 1 day |
| SCS (5–25°N and 105–125°E) | |||
| Oregon Coast (42–48°N and 124–130°W) | ROMS/ Gridded | 1/170 1/130 (~0.6 km ) | 1 day |
| CSE | |||
|---|---|---|---|
| 1 | 1 | 1 | matched |
| 1 | >1 | >1 | split |
| 1 | >1 | 1 | |
| 1 | 1 | >1 | |
| >1 | 1 | 1 | merged |
| 1 | 0 | 0 | missed |
| 1 | ≥1 | 0 | |
| 1 | 0 | ≥1 | |
| 0 | 1 | 1 | artifact |
| 0 | 1 | 0 | |
| 0 | 0 | 1 |
| Proportion of Detected Eddies In KE-Edt (%) | Proportion of Missed Eddies In KE-Edt (%) | ||||
|---|---|---|---|---|---|
| Matched | Split | Merged | Missed | ||
| (Due to Sampling and Mapping) | (Due to SWOT Observation Errors) | (“Unstably Missed”) | |||
| 61.0 | 2.0 | 3.0 | 23.5 | 6.5 | 4.0 |
| 66.0 | 34.0 | ||||
| Proportion of Detected Eddies In SCS-Edt (%) | Proportion of Missed Eddies In SCS-Edt (%) | ||||
|---|---|---|---|---|---|
| Matched | Split | Merged | Missed | ||
| (Due to Sampling and Mapping) | (Due to SWOT Observation Errors) | (“Unstably Missed”) | |||
| 58.5 | 0.5 | 1.0 | 29.0 | 6.0 | 5.0 |
| 60.0 | 40.0 | ||||
© 2020 by the authors. Licensee MDPI, Basel, Switzerland. This article is an open access article distributed under the terms and conditions of the Creative Commons Attribution (CC BY) license (http://creativecommons.org/licenses/by/4.0/).
Share and Cite
Ma, C.; Guo, X.; Zhang, H.; Di, J.; Chen, G. An Investigation of the Influences of SWOT Sampling and Errors on Ocean Eddy Observation. Remote Sens. 2020, 12, 2682. https://doi.org/10.3390/rs12172682
Ma C, Guo X, Zhang H, Di J, Chen G. An Investigation of the Influences of SWOT Sampling and Errors on Ocean Eddy Observation. Remote Sensing. 2020; 12(17):2682. https://doi.org/10.3390/rs12172682
Chicago/Turabian StyleMa, Chunyong, Xiaoxiao Guo, Haoxin Zhang, Jiankai Di, and Ge Chen. 2020. "An Investigation of the Influences of SWOT Sampling and Errors on Ocean Eddy Observation" Remote Sensing 12, no. 17: 2682. https://doi.org/10.3390/rs12172682
APA StyleMa, C., Guo, X., Zhang, H., Di, J., & Chen, G. (2020). An Investigation of the Influences of SWOT Sampling and Errors on Ocean Eddy Observation. Remote Sensing, 12(17), 2682. https://doi.org/10.3390/rs12172682
