Characteristic Analysis of Droughts and Waterlogging Events for Maize Based on a New Comprehensive Index through Coupling of Multisource Data in Midwestern Jilin Province, China
Abstract
1. Introduction
2. Materials and Methods
2.1. Study Area
2.2. Data and Preprocessing
2.2.1. Meteorological and Remote Sensing Data
2.2.2. Maize Yield Records
2.3. Methods
2.3.1. Anomalies of Climatic Yield
2.3.2. Comprehensive Drought and Waterlogging Index (CDWI)
2.3.3. Sen’s Slope Method
2.3.4. Mann–Kendall Test
2.3.5. Spatial Efficiency (SPAEF) Metric
2.3.6. Entropy Weight Method
3. Results
3.1. Comparisons of the SPEI and CDWI
3.1.1. Comparison of the Two Indices in Time
3.1.2. Comparison of Two Indices in Space
3.2. Temporal Distribution of Drought and Waterlogging for Maize Based on the CDWI
3.3. Spatial Variation Characteristics of Drought and Waterlogging for Maize Based on the CDWI
3.3.1. Spatial Variation Characteristics of Drought Frequency for Maize Based on the CDWI
3.3.2. Spatial Variation Characteristics of Waterlogging Frequency for Maize Based on the CDWI
4. Discussion
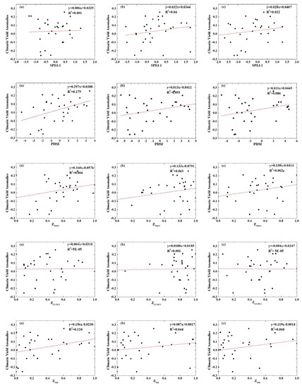
4.1. Correlation Analysis Between Each Index with Climatic Yield Anomalies for Maize
4.2. Relationship Between Precipitation Concentration Index (CI) and the Two Indices (SPEI and CDWI)
4.3. Comparison with Other Studies
5. Conclusions
Author Contributions
Funding
Acknowledgments
Conflicts of Interest
References
- Alexander, D. Natural Disasters; CRC Press: Boca Raton, FL, USA, 2017; pp. 120–213. [Google Scholar]
- Wang, S.; Huo, Z.; Guo, J.; Wang, C. Agrometeorological Disaster Risk Management in China of the chapter XIV. In Natural Disasters and Extreme Events in Agriculture; Springer: Berlin/Heidelberg, Germany, 2005; pp. 241–258. [Google Scholar]
- Ding, Y.H. The Variability of the Asian Summer Monsoon. J. Meteorol. Soc. Jpn. 2007, 85, 21–54. [Google Scholar] [CrossRef]
- Ding, Y.H.; Chan, C.L. The East Asian summer monsoon: An overview. Meteorol. Atmos. Phys. 2005, 89, 117–142. [Google Scholar]
- Ding, Y.H.; Wang, Z.Y.; Sun, Y. Inter-decadal variation of the summer precipitation in East China and its association with decreasing Asian summer monsoon. Part I: Observed evidences. Int. J. Climatol. 2008, 28, 1139–1161. [Google Scholar] [CrossRef]
- Wang, H.J. The Weakening of the Asian Monsoon Circulation after the End of 1970’s. Adv. Atmos. Sci. 2001, 18, 376–386. [Google Scholar]
- Zhai, J.Q.; Su, B.; Krysanova, V.; Vetter, T.; Chao, G.; Tong, J. Spatial variation and trends in PDSI and SPI indices and their relation to streamflow in 10 large regions of China. J. Clim. 2010, 3, 649–663. [Google Scholar] [CrossRef]
- Liang, L.; Zhao, S.H.; Qin, Z.H.; He, K.X.; Luo, Y.X.; Zhou, X. Drought Change Trend Using MODIS TVDI and Its Relationship with Climate Factors in China from 2001 to 2010. J. Integr. Agric. 2014, 7, 1501–1508. [Google Scholar] [CrossRef]
- Chen, H.; Sun, J. Anthropogenic warming has caused hot droughts more frequently in China. J. Hydrol. 2017, 544, 306–318. [Google Scholar] [CrossRef]
- Trenberth, K.E. Observations: Surface and atmospheric climate change. In Climate Change 2007: The Physical Science Basis; Contribution of WGI to IPCC AR4; Solomon, S., Ed.; IPCC: Geneva, Switzerland, 2007; pp. 235–336. [Google Scholar]
- Gao, Q.H.; Ma, Z.J. Comprehensive Research Pregress on Natural Disasters in China; Meteorological Press of China: Beijing, China, 2009; pp. 33–54. (In Chinese) [Google Scholar]
- Liu, Y.; You, M.; Zhu, J.; Wang, F.; Ran, R. Integrated risk assessment for agricultural drought and flood disasters based on entropy information diffusion theory in the middle and lower reaches of the Yangtze River, China. Int. J. Disaster Risk Reduct. 2019, 38, 101194. [Google Scholar] [CrossRef]
- Singh, V.P.; Mishra, A.K. A review of drought concepts. J. Hydrol. 2010, 391, 202–216. [Google Scholar]
- Cammalleri, C.; Micale, F.; Vogt, J. A novel soil moisture-based drought severity index (DSI) combining water deficit magnitude and frequency. Hydrol. Process. 2016, 30, 289–301. [Google Scholar] [CrossRef]
- Waseem, M.; Ajmal, M.; Kim, T.W. Development of a new composite drought index for multivariate drought assessment. J. Hydrol. 2015, 527, 30–37. [Google Scholar] [CrossRef]
- McKee, T.B.; Doesken, N.J.; Kleist, J. The relationship of drought frequency and duration to time scales. In Proceedings of the Eighth Conference on Applied Climatology, American Meteorological Society, Boston, MA, USA, 17–22 January 1993; pp. 179–184. [Google Scholar]
- Wang, S.; Mo, X.; Liu, S.; Lin, Z.; Hu, S. Validation and trend analysis of ECV soil moisture data on cropland in North China Plain during 1981–2010. Int. J. Appl. Earth Obs. 2016, 48, 110–121. [Google Scholar] [CrossRef]
- McCabe, M.F.; Van Dijk, A.I.J.M.; De Jeu, R.A.M.; Wagner, W.; Liu, Y.Y.; Parinussa, R.M.; Dorigo, W.A.; Evans, J.P. Trend-preserving blending of passive and active microwave soil moisture retrievals. Remote Sens. Environ. 2012, 123, 280–297. [Google Scholar]
- Zhenghu, Z.; Chuankuan, W.; Yiqi, L. Response of soil microbial communities to altered precipitation: A global synthesis. Glob. Ecol. Biogeogr. 2018, 27, 1121–1136. [Google Scholar]
- Gregoire, J.; Flasse, S.; Ceccato, P. Designing a spectral index to estimate vegetation water content from remote sensing data. Remote Sens. Environ. 2002, 82, 198–207. [Google Scholar]
- Bajgain, R.; Xiao, X.; Wagle, P.; Basara, J.; Zhou, Y. Sensitivity analysis of vegetation indices to drought over two tallgrass prairie sites. ISPRS J. Photogramm. 2015, 108, 151–160. [Google Scholar] [CrossRef]
- Bajgain, R.; Xiao, X.; Basara, J.; Wagle, P.; Zhou, Y.; Zhang, Y.; Mahan, H. Assessing agricultural drought in summer over Oklahoma Mesonet sites using the water-related vegetation index from MODIS. Int. J. Biometeorol. 2017, 61, 377–390. [Google Scholar] [CrossRef]
- Hao, Z.C.; Aghakouchak, A. A Nonparametric Multivariate Multi-Index Drought Monitoring Framework. J. Hydrometeorol. 2014, 15, 89–101. [Google Scholar] [CrossRef]
- Hao, C.; Zhang, J.; Yao, F. Combination of multi-sensor remote sensing data for drought monitoring over Southwest China. Int. J. Appl. Earth Obs. 2015, 35, 270–283. [Google Scholar] [CrossRef]
- Gonzalez-Zamora, A.; Pablos, M.; Sanchez, N.; Martinez-Fernandez, J.; Piles, M. Integrated remote sensing approach to global agricultural drought monitoring. Agric. Forest Meteorol. 2018, 259, 141–153. [Google Scholar]
- Beguería, S.; Vicente-Serrano, S.M.; Angulo-Martínez, M. A multiscalar global drought dataset: The SPEI base A New Gridded Product for the Analysis of Drought Variability and Impacts. Bull. Am. Meteorol. Soc. 2010, 91, 1351–1356. [Google Scholar] [CrossRef]
- Rhee, J.; Im, J.; Carbone, G.J. Monitoring agricultural drought for arid and humid regions using multi-sensor remote sensing data. Remote Sens. Environ. 2010, 114, 2875–2887. [Google Scholar] [CrossRef]
- Xiang, Z.; Hong, W.; Shunlin, L.; Tao, Z.; Bin, H.; Bijian, T.; Donghai, W. Responses of Natural Vegetation to Different Stages of Extreme Drought during 2009–2010 in Southwestern China. Remote Sens. 2015, 7, 14039–14054. [Google Scholar]
- Labudová, L.; Labuda, M.; Takáč, J. Comparison of SPI and SPEI applicability for drought impact assessment on crop production in the Danubian Lowland and the East Slovakian Lowland. Theor. Appl. Climatol. 2017, 128, 491–506. [Google Scholar] [CrossRef]
- Sergio, V.S.; Daniel, C.; Miquel, T.; Natalia, M.; Santiago, B.; Cesar, A.; Ahmed, K. Drought Variability and Land Degradation in Semiarid Regions: Assessment Using Remote Sensing Data and Drought Indices (1982–2011). Remote Sens. 2015, 7, 4391–4423. [Google Scholar]
- Wang, G.; Gong, T.; Lu, J.; Lou, D.; Hagan, D.F.T.; Chen, T. On the long-term changes of drought over China (1948–2012) from different methods of potential evapotranspiration estimations. Int. J. Climatol. 2018, 38, 2954–2966. [Google Scholar] [CrossRef]
- Ficklin, D.L.; Abatzoglou, J.T.; Novick, K.A. A New Perspective on Terrestrial Hydrologic Intensity That Incorporates Atmospheric Water Demand. Geophys. Res. Lett. 2019, 46, 8114–8124. [Google Scholar] [CrossRef]
- Rajsekhar, D.; Singh, V.P.; Mishra, A.K. Multivariate drought index: An information theory based approach for integrated drought assessment. J. Hydrol. 2015, 526, 164–182. [Google Scholar] [CrossRef]
- Li, Y.; Chang, J.; Yuan, M.; Wang, Y. Copula-based drought risk assessment combined with an integrated index in the Wei River Basin, China. J. Hydrol. 2016, 540, 824–834. [Google Scholar]
- Chang, J.; Wang, Y.; Istanbulluoglu, E.; Bai, T.; Huang, Q.; Yang, D.; Huang, S. Impact of climate change and human activities on runoff in the Weihe River Basin, China. Quat. Int. 2015, 380, 169–179. [Google Scholar] [CrossRef]
- Huang, S.; Chang, J.; Huang, Q.; Chen, Y. Spatio-temporal changes and frequency analysis of drought in the wei river basin, China. Water Resour. Manag. 2014, 10, 3095–3110. [Google Scholar] [CrossRef]
- Andreia, F.; Russo, A.; Gouveia, C.; Páscoa, P. Modelling drought-related yield losses in Iberia using remote sensing and multiscalar indices. Theor. Appl. Climatol. 2019, 136, 203–220. [Google Scholar]
- Yang, J.; Wang, Y.; Hu, H.; Huang, Q.; Chang, J.; Li, Y.; Yao, J.; Chen, Y. Comprehensive drought characteristics analysis based on a nonlinear multivariate drought index. J. Hydrol. 2018, 557, 651–667. [Google Scholar] [CrossRef]
- Svoboda, M.; Doug, L.; Hayes, M.; Richard, H.; Karin, G.; Angel, J.; Rippey, B.; Tinker, R.; Palecki, M.; Stooksbury, D. The Drought Monitor. Bull. Am. Meteorol. Soc. 2002, 83, 1181–1190. [Google Scholar] [CrossRef]
- WMO. Drought Monitoring and Early Warning: Concepts, Progress and Future Challenges; Report WMO; No. 100692-63-11006-9; World Meteorological Organization: Geneva, Switzerland, 2006; p. 24. [Google Scholar]
- Dai, A. Drought under global warming: A review. Wiley Interdiscip. Rev. Clim. Chang. 2011, 1, 45–65. [Google Scholar] [CrossRef]
- Zhang, A.; Jia, G. Monitoring meteorological drought in semiarid regions using multi-sensor microwave remote sensing data. Remote Sens. Environ. 2013, 134, 12–23. [Google Scholar] [CrossRef]
- Wang, H. A Study on the Drought Situation in Jilin Province Based on MODIS Data; Southwest University: Chongqing, China, 2013. (In Chinese) [Google Scholar]
- Wang, B. Jilin: The world pearl of the golden corn belt. J. Heilongjiang Grain 2014, 8, 35–36. (In Chinese) [Google Scholar]
- Deng, R.X.; Li, Y.; Zhang, S.W.; Shi, X.L.; Wang, W.J. Change Analysis of Shelterbelt Landscape in Midwestern Jilin Province; IEEE: Piscataway, NJ, USA, 2010; Volume 1, pp. 128–131. [Google Scholar]
- Wang, R.; Zhang, J.; Guo, E.; Li, D.; Ha, S.; Alu, S. Spatiotemporal characteristics of drought and waterlogging during maize growing season in midwestern Jilin province for recent 55 years. J. Nat. Disasters 2018, 27, 186–197. (In Chinese) [Google Scholar]
- Abatzoglou, J.T.; Dobrowski, S.Z.; Parks, S.A.; Hegewisch, K.C. TerraClimate, a high-resolution global dataset of monthly climate and climatic water balance from 1958–2015. Sci. Data 2018, 5, 170191. [Google Scholar] [CrossRef]
- Jorge, P.; Compton, T. A Non-Stationary 1981–2012 AVHRR NDVI3g Time Series. Remote Sens. 2014, 6, 6929–6960. [Google Scholar]
- Wang, S.; Mo, X.; Liu, Z.; Baig, M.H.A.; Chi, W. Understanding long-term (1982–2013) patterns and trends in winter wheat spring green-up date over the North China Plain. Int. J. Appl. Earth Obs. 2017, 57, 235–244. [Google Scholar] [CrossRef]
- Liu, H.; Gao, Y.; Sun, J.; Wu, X.; Jha, S.K.; Zhang, H.; Gong, X.; Li, Y. Responses of yield, water use efficiency and quality of short-season cotton to irrigation management: Interactive effects of irrigation methods and deficit irrigation. Irrig. Sci. 2017, 35, 125–139. [Google Scholar] [CrossRef]
- Vicente-Serrano, S.M.; Beguería, S.; López-Moreno, J.I. A Multiscalar Drought Index Sensitive to Global Warming: The Standardized Precipitation Evapotranspiration Index. J. Clim. 2010, 23, 1696–1718. [Google Scholar] [CrossRef]
- Shi, W.J.; Tao, F.L. Spatio-temporal distributions of climate disasters and the response of wheat yields in China from 1983 to 2008. Nat. Hazards 2014, 74, 569–583. [Google Scholar] [CrossRef]
- JQ, Z. Risk assessment of drought disaster in the maize-growing region of Songliao Plain, China. Agric. Ecosyst. Environ. 2004, 102, 133–153. [Google Scholar]
- Sen, P.K. Estimates of the Regression Coefficient Based on Kendall’s Tau. J. Am. Stat. Assoc. 1968, 63, 1379–1389. [Google Scholar] [CrossRef]
- Prabhakar, A.K.; Singh, K.K.; Lohani, A.K. Regional level long-term rainfall variability assessment using Mann-Kendall test over the Odisha state of India. J. Agrometeorol. 2018, 20, 164–165. [Google Scholar]
- Demirel, M.C.; Koch, J.; Stisen, S.; Samaniego, L.; Mendiguren, G.; Mai, J. Combining satellite data and appropriate objective functions for improved spatial pattern performance of a distributed hydrologic model. Hydrol. Earth Syst. Sci. 2018, 22, 1299–1315. [Google Scholar] [CrossRef]
- Vatansever, K.; Akgűl, Y. Performance evaluation of websites using entropy and grey relational analysis methods: The case of airline companies. Decis. Sci. Lett. 2018, 2, 119–130. [Google Scholar] [CrossRef]
- Li, J. Weight Determining of Factors Influencing Grain Output Based on Entropy Weight Method. Asian Agric. Res. 2012, 4, 7–9. [Google Scholar]
- Wen, K.G. China Meteorological Disaster Collection-Jilin Roll; Meteorological Press in China: Beijing, China, 2008. (In Chinese) [Google Scholar]
- Bureau, S.S. China Statistical Yearbook; China Statistics Press: Beijing, China, 2015. (In Chinese) [Google Scholar]
- Administration, C.M. The Meteorology Disaster Almanac over China; China Meteorological Press: Beijing, China, 2001–2015. (In Chinese) [Google Scholar]
- Water Resources Department of Jilin Province. Flood and Drought Disaster in Jilin Province; Jilin Science and Technology Press: Changchun, China, 1996. (In Chinese) [Google Scholar]
- Zhang, X.; Chen, N.; Li, J.; Chen, Z.; Niyogi, D. Multi-sensor integrated framework and index for agricultural drought monitoring. Remote Sens. Environ. 2017, 188, 141–163. [Google Scholar] [CrossRef]
- Hauke, J.; Kossowski, T. Comparison of values of Pearson’s and Spearman’s correlation coefficients on the same sets of data. Quaest. Geogr. 2011, 2, 87–93. [Google Scholar] [CrossRef]
- Ray, D.K.; Gerber, J.S.; MacDonald, G.K.; West, P.C. Climate variation explains a third of global crop yield variability. Nat. Commun. 2015, 6, 5989. [Google Scholar] [CrossRef] [PubMed]
- Esfahanian, E.; Nejadhashemi, A.P.; Abouali, M.; Adhikari, U.; Zhang, Z.; Daneshvar, F.; Herman, M.R. Development and evaluation of a comprehensive drought index. J. Environ. Manag. 2017, 185, 31–43. [Google Scholar] [CrossRef] [PubMed]
- Singh, D.; Tsiang, M.; Rajaratnam, B.; Diffenbaugh, N.S. Precipitation extremes over the continental United States in a transient, high-resolution, ensemble climate model experiment. J. Geophys. Res. Atmos. 2013, 118, 7063–7086. [Google Scholar] [CrossRef]
- Wu, P.; Christidis, N.; Stott, P. Anthropogenic impact on Earth’s hydrological cycle. Nat. Clim. Change. 2013, 3, 807. [Google Scholar] [CrossRef]
- Martin-Vide, J. Spatial distribution of a daily precipitation concentration index in peninsular Spain. Int. J. Climatol. 2004, 24, 959–971. [Google Scholar] [CrossRef]
- Wang, R.; Zhang, J.; Guo, E.; Zhao, C.; Cao, T. Spatial and temporal variations of precipitation concentration and their relationships with large- scale atmospheric circulations across Northeast China. Atmos. Res. 2019, 222, 62–73. [Google Scholar] [CrossRef]
- Roye, D.; Martin-Vide, J. Concentration of daily precipitation in the contiguous United States. Atmos. Res. 2017, 196, 237–247. [Google Scholar] [CrossRef]
- Du, L.; Tian, Q.; Yu, T.; Meng, Q.; Jancso, T.; Udvardy, P.; Huang, Y. A comprehensive drought monitoring method integrating MODIS and TRMM data. Int. J. Appl. Earth Obs. 2013, 23, 245–253. [Google Scholar] [CrossRef]
- Hao, Z.; AghaKouchak, A. Multivariate Standardized Drought Index: A parametric multi-index model. Adv. Water Resour. 2013, 57, 12–18. [Google Scholar] [CrossRef]
- Huang, S.; Leng, G.; Xing, L.; Zhu, Y.; Huang, Q.; Chang, J. Drought structure based on a nonparametric multivariate standardized drought index across the Yellow River basin, China. J. Hydrol. 2015, 530, 127–136. [Google Scholar] [CrossRef]
- Zhao, M.; Kimball, J.S.; McDowell, N.G.; Running, S.W.; Mu, Q. A remotely sensed global terrestrial drought severty index. Bull. Am. Meteorol. Soc. 2013, 94, 83–98. [Google Scholar]
- Zhang, J.; Huang, J.; Mu, Q. Assessing the remotely sensed Drought Severity Index for agricultural drought monitoring and impact analysis in North China. Ecol. Indic. 2016, 63, 296–309. [Google Scholar] [CrossRef]
- Liu, X.; Zhu, X.; Pan, Y.; Bai, J.; Li, S. Performance of different drought indices for agriculture drought in the North China Plain. J. Arid Land 2018, 10, 507–516. [Google Scholar] [CrossRef]











| Classification | SPEI | CDWI |
|---|---|---|
| Extreme waterlogging | SPEI ≥ 2.0 | CDWI ≥ 1.5 |
| Serious waterlogging | 1.5 ≤ SPEI < 5.0 | 1.2 ≤ CDWI < 1.5 |
| Moderate waterlogging | 1.0 ≤ SPEI < 1.5 | 0.9 ≤ CDWI < 1.2 |
| Slight waterlogging | 0.5 ≤ SPEI < 1.0 | 0.3 ≤ CDWI < 0.9 |
| Near normal | −0.5 < SPEI < 0.5 | −0.3 < CDWI < 0.3 |
| Slight drought | −1.0 < SPEI ≤ −0.5 | −0.9 < CDWI ≤ −0.3 |
| Moderate drought | −1.5< SPEI ≤ −1.0 | −1.2 < CDWI ≤ −0.9 |
| Serious drought | −2.0 < SPEI ≤ −1.5 | −1.5 < CDWI ≤ −1.2 |
| Extreme drought | SPEI ≤ −2.0 | CDWI ≤ −1.5 |
| Growing Stage | Different Years of Disasters | CDWI | SPEI | Actual Situation |
|---|---|---|---|---|
| Emergence-tasseling stage | 1989 | W | N | W |
| 2000 | D | N | D | |
| 2007 | D | N | D | |
| 2009 | D | N | D | |
| 2011 | W | N | W | |
| Tasseling-milky maturity stage | 1989 | D | N | D |
| 2004 | D | N | D | |
| 2010 | W | N | W | |
| 2011 | D | N | D | |
| 2012 | W | N | W | |
| Milky maturity-mature stage | 1997 | D | W | D |
| 2000 | D | N | D | |
| 2012 | W | N | W |
| Type | Number of Grid Points | Influence Range |
|---|---|---|
| Drought | ≥50% | Global regional drought |
| ≥30%, and <50% | Regional drought | |
| ≥10%, and ≤25% | Local drought | |
| Waterlogging | ≥50% | Global regional waterlogging |
| ≥30%, and <50% | Regional waterlogging | |
| ≥10%, and ≤25% | Local waterlogging |
| Growth Stages | Year | |||||
|---|---|---|---|---|---|---|
| Global Regional Drought | Regional Drought | Local Drought | Global Regional Waterlogging | Regional Waterlogging | Local Waterlogging | |
| a | 1982, 1983, 1993, 1996, 1997, 1998, 2000, 2001, 2002, 2003, 2004, 2007, 2008 | 1984, 2006, 2009, 2014 | 1985, 1992 | 1985, 1986, 1987, 1988, 1989, 1990, 1991, 1992, 1995, 1999, 2005, 2010, 2011, 2012, 2013, 2015 | 1984 | 1993, 1994, 2009 |
| b | 1982, 1983, 1989, 1992, 1993, 1996, 1997, 2000, 2001, 2002, 2003, 2004, 2006, 2007, 2008, 2009, 2011, 2014, 2015 | 1995 | - | 1984, 1985, 1986, 1987, 1988, 1990, 1991, 1994, 1995, 1998, 1999, 2005, 2010, 2012, 2013 | 1983, 2011 | 1993 |
| c | 1982, 1989, 1992, 1993, 1995, 1996, 1997, 1999, 2000, 2001, 2002, 2003, 2004, 2006, 2007, 2008, 2009, 2010, 2011, 2014, 2015 | 1983 | - | 1984,1985,1986,1987,1988,1990,1991,1994,1998,2005,2012,2013 | 1983, 2010 | 1993 |
| Spearman Correlation Coefficients | SPEI-1 | PDSI | ZNDVI | ZET/PET | ZSM |
|---|---|---|---|---|---|
| Emergence-tasseling | −0.042 | 0.423 * | 0.256 | −0.035 | 0.352 |
| Tasseling-milky maturity | 0.201 | 0.306 | 0.105 | 0.075 | 0.281 |
| Milky maturity-mature | 0.181 | 0.294 | 0.264 | 0.032 | 0.245 |
| Spearman Correlation Coefficients | Emergence-Tasseling | Tasseling-Milky Maturity | Milky Maturity-Mature |
|---|---|---|---|
| SPEI and CI | 0.148 | 0382 * | 0.319 |
| CDWI and CI | 0.377 * | 0.357 * | 0.378 * |
© 2019 by the authors. Licensee MDPI, Basel, Switzerland. This article is an open access article distributed under the terms and conditions of the Creative Commons Attribution (CC BY) license (http://creativecommons.org/licenses/by/4.0/).
Share and Cite
Wang, R.; Zhang, J.; Wang, C.; Guo, E. Characteristic Analysis of Droughts and Waterlogging Events for Maize Based on a New Comprehensive Index through Coupling of Multisource Data in Midwestern Jilin Province, China. Remote Sens. 2020, 12, 60. https://doi.org/10.3390/rs12010060
Wang R, Zhang J, Wang C, Guo E. Characteristic Analysis of Droughts and Waterlogging Events for Maize Based on a New Comprehensive Index through Coupling of Multisource Data in Midwestern Jilin Province, China. Remote Sensing. 2020; 12(1):60. https://doi.org/10.3390/rs12010060
Chicago/Turabian StyleWang, Rui, Jiquan Zhang, Chunyi Wang, and Enliang Guo. 2020. "Characteristic Analysis of Droughts and Waterlogging Events for Maize Based on a New Comprehensive Index through Coupling of Multisource Data in Midwestern Jilin Province, China" Remote Sensing 12, no. 1: 60. https://doi.org/10.3390/rs12010060
APA StyleWang, R., Zhang, J., Wang, C., & Guo, E. (2020). Characteristic Analysis of Droughts and Waterlogging Events for Maize Based on a New Comprehensive Index through Coupling of Multisource Data in Midwestern Jilin Province, China. Remote Sensing, 12(1), 60. https://doi.org/10.3390/rs12010060

