Combination of AIRS Dual CO2 Absorption Bands to Develop an Ice Clouds Detection Algorithm in Different Atmospheric Layers
Abstract
1. Introduction
2. Data and Model Simulation
2.1. AIRS Observations and AIRS Level 2 Cloud Products
2.2. CALIOP Observations
2.3. The Community Radiative Transfer Model
3. Methods
3.1. Collocation between AIRS and CALIOP
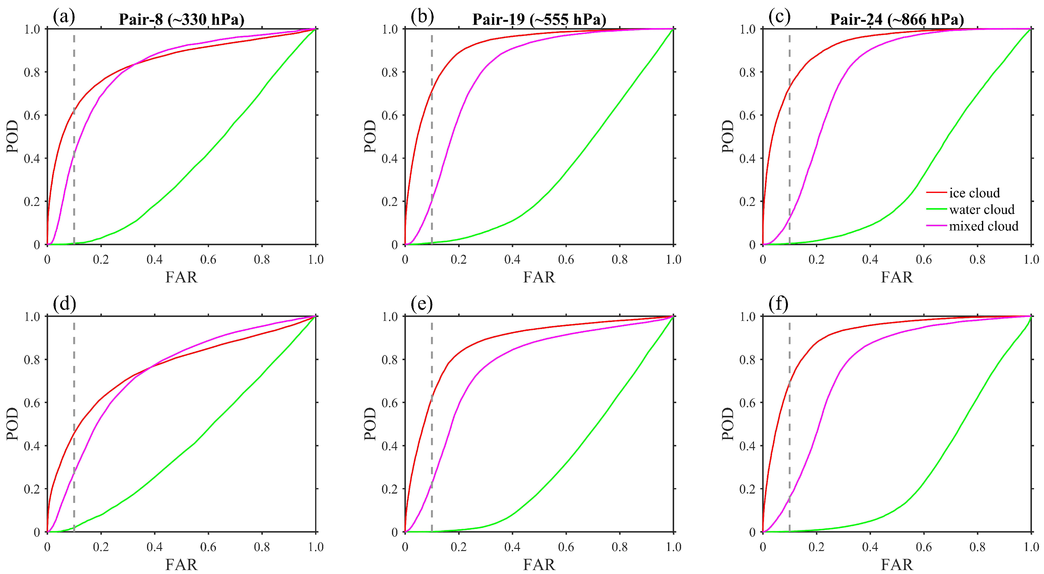
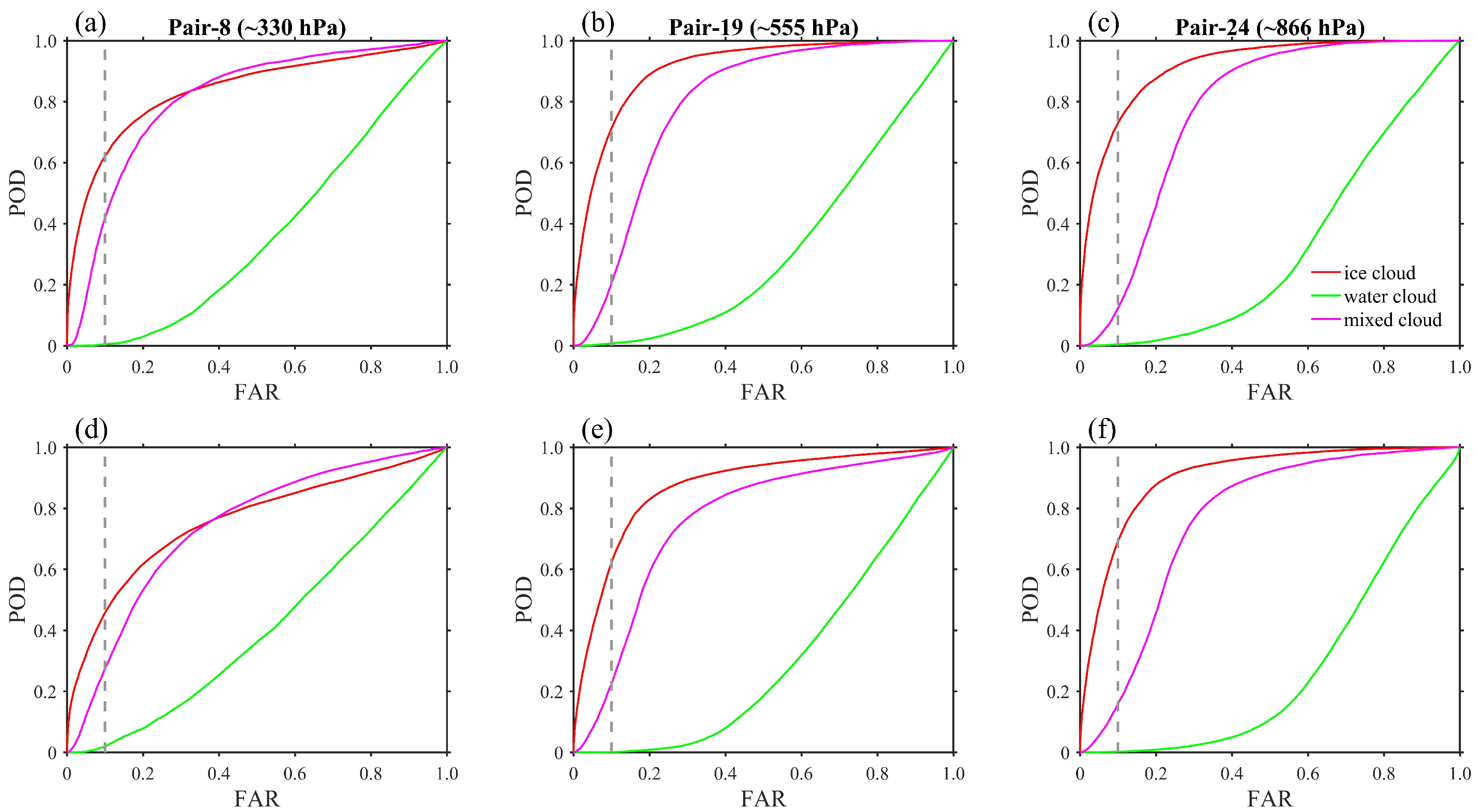
3.2. Evaluation Method
4. A Cloud Detection Method by Combining LWIR and SWIR CO2 Bands
4.1. Weighting Function Peak Altitude of LWIR and SWIR Channels
4.2. Finding the Cut-Off Pressure Level
4.3. Extracting Strongly Correlated Pairs
4.4. The Cloud Emission and Scattering Index
5. Evaluation and Validation
5.1. Limb Correction
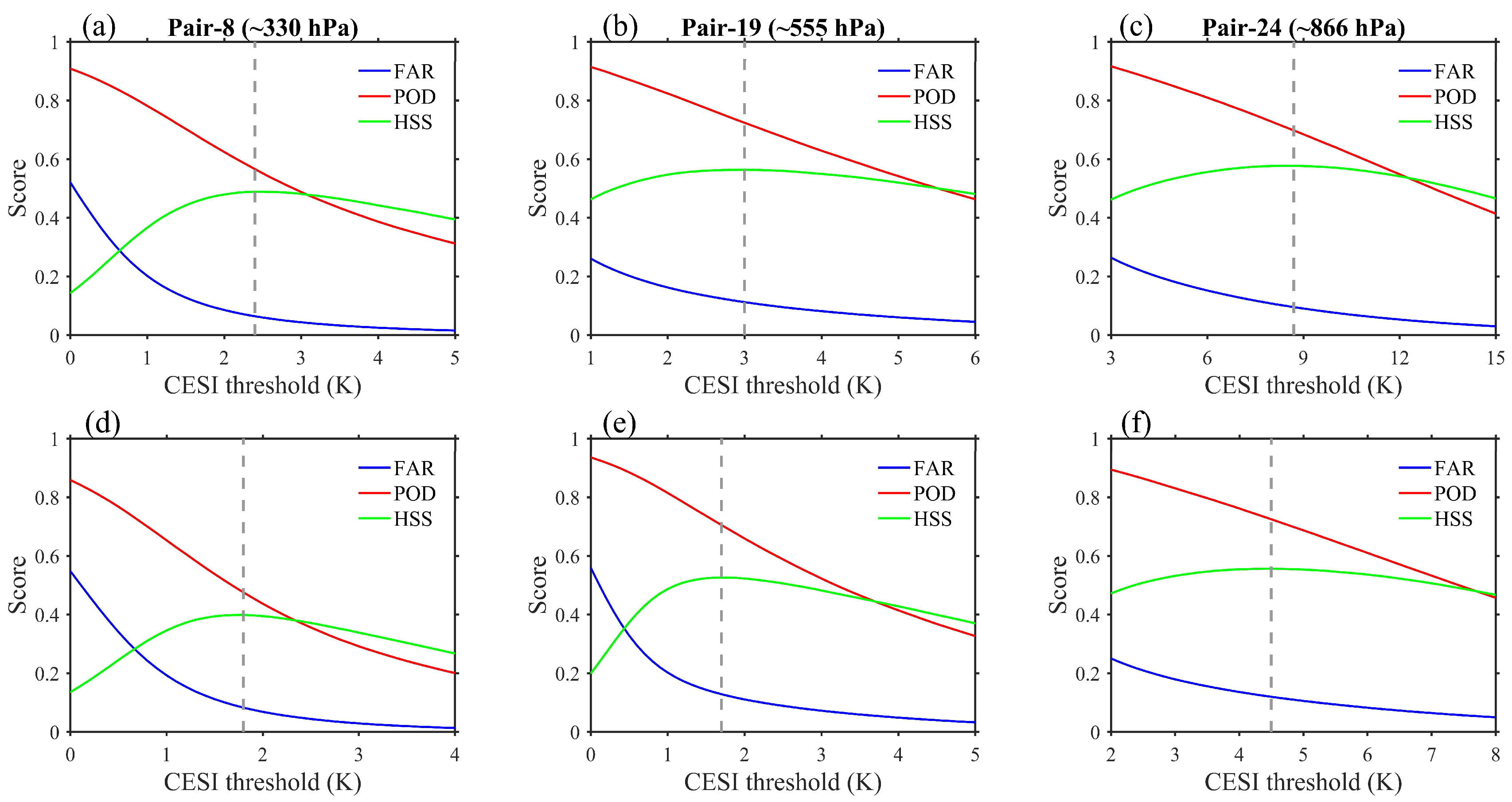
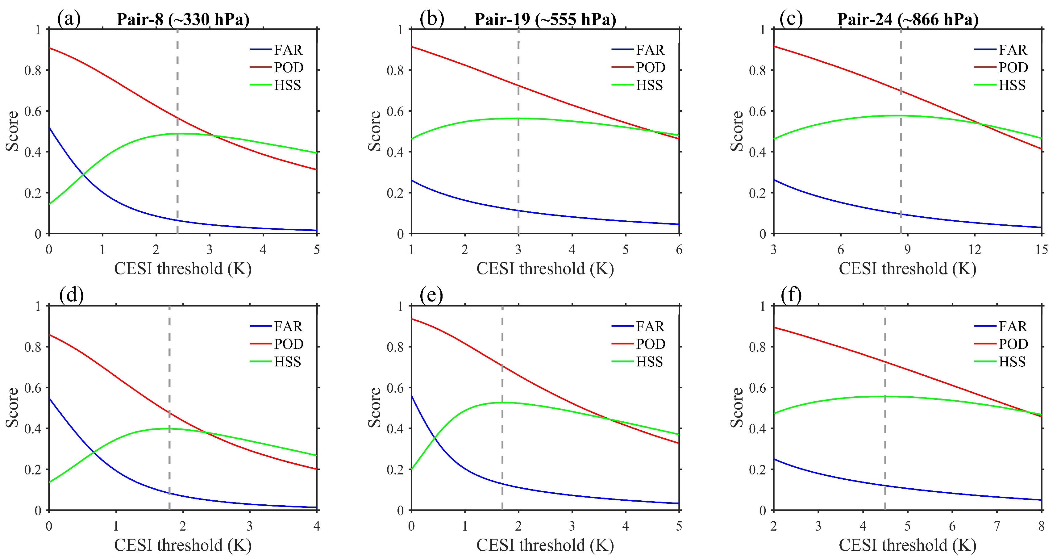
5.2. Evaluating and Obtaining the Thresholds of CESI Pairs
5.3. Validation
5.4. Evaluation of CESI Ice Clouds Detection by CALIOP Optical Depth
6. Discussion
7. Conclusions
Author Contributions
Funding
Conflicts of Interest
References
- Yang, P.; Liou, K.-N.; Bi, L.; Liu, C.; Yi, B.; Baum, B.A. On the radiative properties of ice clouds: Light scattering, remote sensing, and radiation parameterization. Adv. Atmos. Sci. 2015, 32, 32–63. [Google Scholar] [CrossRef]
- Lolli, S.; Campbell, J.R.; Lewis, J.R.; Gu, Y.; Marquis, J.W.; Chew, B.N.; Liew, S.-C.; Salinas, S.V.; Welton, E.J. Daytime top-of-the-atmosphere cirrus cloud radiative forcing properties at singapore. J. Appl. Meteorol. Clim. 2017, 56, 1249–1257. [Google Scholar] [CrossRef]
- Gouveia, D.A.; Barja, B.; Barbosa, H.M.; Seifert, P.; Baars, H.; Pauliquevis, T.; Artaxo, P. Optical and geometrical properties of cirrus clouds in Amazonia derived from 1 year of ground-based lidar measurements. Atmos. Chem. Phys. 2017, 17, 3619–3636. [Google Scholar] [CrossRef]
- Cutillo, L.; Amato, U.; Antoniadis, A.; Cuomo, V.; Serio, C. Cloud detection from multispectral satellite images. In Proceedings of the IEEE Gold Conference, Naples, Italy, 13–14 May 2004. [Google Scholar]
- McNally, A. A note on the occurrence of cloud in meteorologically sensitive areas and the implications for advanced infrared sounders. Q. J. R. Meteorol. Soc. A J. Atmos. Sci. Appl. Meteorol. Phys. Oceanogr. 2002, 128, 2551–2556. [Google Scholar] [CrossRef]
- Jedlovec, G. Automated detection of clouds in satellite imagery. Adv. Geosci. Remote Sens. 2009, 303–316. [Google Scholar] [CrossRef]
- Aumann, H.H.; Chahine, M.T.; Gautier, C.; Goldberg, M.D.; Kalnay, E.; McMillin, L.M.; Revercomb, H.; Rosenkranz, P.W.; Smith, W.L.; Staelin, D.H. AIRS/AMSU/HSB on the Aqua mission: Design, science objectives, data products, and processing systems. IEEE Trans. Geosci. Remote Sens. 2003, 41, 253–264. [Google Scholar] [CrossRef]
- Chahine, M.T.; Pagano, T.S.; Aumann, H.H.; Atlas, R.; Barnet, C.; Blaisdell, J.; Chen, L.; Divakarla, M.; Fetzer, E.J.; Goldberg, M. AIRS: Improving weather forecasting and providing new data on greenhouse gases. Bull. Am. Meteorol. Soc. 2006, 87, 911–926. [Google Scholar] [CrossRef]
- Le Marshall, J.; Jung, J.; Goldberg, M.; Barnet, C.; Wolf, W.; Derber, J.; Treadon, R.; Lord, S. Using cloudy AIRS fields of view in numerical weather prediction. Aust. Meteorol. Mag. 2008, 57, 249–254. [Google Scholar]
- Le Marshall, J.; Jung, J.; Derber, J.; Chahine, M.; Treadon, R.; Lord, S.J.; Goldberg, M.; Wolf, W.; Liu, H.C.; Joiner, J. Improving global analysis and forecasting with AIRS. Bull. Am. Meteorol. Soc. 2006, 87, 891–895. [Google Scholar] [CrossRef]
- Xiong, X.; Barnet, C.; Maddy, E.; Sweeney, C.; Liu, X.; Zhou, L.; Goldberg, M. Characterization and validation of methane products from the Atmospheric Infrared Sounder (AIRS). J. Geophys. Res. Biogeosci. 2008, 113. [Google Scholar] [CrossRef]
- Xuebao, W.; Jun, L.; Wenjian, Z.; Fang, W. Atmospheric profile retrieval with AIRS data and validation at the ARM CART site. Adv. Atmos. Sci. 2005, 22, 647–654. [Google Scholar] [CrossRef]
- Wei, H.; Yang, P.; Li, J.; Baum, B.A.; Huang, H.-L.; Platnick, S.; Hu, Y.; Strow, L. Retrieval of semitransparent ice cloud optical thickness from Atmospheric Infrared Sounder (AIRS) measurements. IEEE Trans. Geosci. Remote Sens. 2004, 42, 2254–2267. [Google Scholar] [CrossRef]
- Weisz, E.; Li, J.; Li, J.; Zhou, D.K.; Huang, H.L.; Goldberg, M.D.; Yang, P. Cloudy sounding and cloud-top height retrieval from AIRS alone single field-of-view radiance measurements. Geophys. Res. Lett. 2007, 34. [Google Scholar] [CrossRef]
- Crevoisier, C.; Heilliette, S.; Chédin, A.; Serrar, S.; Armante, R.; Scott, N. Midtropospheric CO2 concentration retrieval from AIRS observations in the tropics. Geophys. Res. Lett. 2004, 31. [Google Scholar] [CrossRef]
- Yue, Q.; Liou, K. Cirrus cloud optical and microphysical properties determined from AIRS infrared spectra. Geophys. Res. Lett. 2009, 36. [Google Scholar] [CrossRef]
- Prabhakara, C.; Fraser, R.; Dalu, G.; Wu, M.-L.C.; Curran, R.; Styles, T. Thin cirrus clouds: Seasonal distribution over oceans deduced from Nimbus-4 IRIS. J. Appl. Meteorol. 1988, 27, 379–399. [Google Scholar] [CrossRef]
- Saunders, R.W.; Kriebel, K.T. An improved method for detecting clear sky and cloudy radiances from AVHRR data. Int. J. Remote Sens. 1988, 9, 123–150. [Google Scholar] [CrossRef]
- Heidinger, A.K.; Pavolonis, M.J. Gazing at cirrus clouds for 25 years through a split window. Part I: Methodology. J. Appl. Meteorol. Clim. 2009, 48, 1100–1116. [Google Scholar] [CrossRef]
- Frey, R.A.; Ackerman, S.A.; Liu, Y.; Strabala, K.I.; Zhang, H.; Key, J.R.; Wang, X. Cloud detection with MODIS. Part I: Improvements in the MODIS cloud mask for collection 5. J. Atmos. Ocean. Technol. 2008, 25, 1057–1072. [Google Scholar] [CrossRef]
- Kopp, T.J.; Thomas, W.; Heidinger, A.K.; Botambekov, D.; Frey, R.A.; Hutchison, K.D.; Iisager, B.D.; Brueske, K.; Reed, B. The VIIRS Cloud Mask: Progress in the first year of S-NPP toward a common cloud detection scheme. J. Geophys. Res. Atmos. 2014, 119, 2441–2456. [Google Scholar] [CrossRef]
- Wang, J.; Liu, C.; Yao, B.; Min, M.; Letu, H.; Yin, Y.; Yung, Y.L. A multilayer cloud detection algorithm for the Suomi-NPP Visible Infrared Imager Radiometer Suite (VIIRS). Remote Sens. Environ. 2019, 227, 1–11. [Google Scholar] [CrossRef]
- McNally, A.; Watts, P. A cloud detection algorithm for high-spectral-resolution infrared sounders. Q. J. R. Meteorol. Soc. A J. Atmos. Sci. Appl. Meteorol. Phys. Oceanogr. 2003, 129, 3411–3423. [Google Scholar] [CrossRef]
- Lin, L.; Zou, X.; Weng, F. Combining CrIS double CO2 bands for detecting clouds located in different layers of the atmosphere. J. Geophys. Res. Atmos. 2017, 122, 1811–1827. [Google Scholar] [CrossRef]
- Auligné, T. Multivariate minimum residual method for cloud retrieval. Part I: Theoretical aspects and simulated observation experiments. Mon. Weather Rev. 2014, 142, 4383–4398. [Google Scholar] [CrossRef]
- Auligné, T. Multivariate minimum residual method for cloud retrieval. Part II: Real observations experiments. Mon. Weather Rev. 2014, 142, 4399–4415. [Google Scholar] [CrossRef]
- Amato, U.; Lavanant, L.; Liuzzi, G.; Masiello, G.; Serio, C.; Stuhlmann, R.; Tjemkes, S. Cloud mask via cumulative discriminant analysis applied to satellite infrared observations: Scientific basis and initial evaluation. Atmos. Meas. Tech. 2014, 7, 3355–3372. [Google Scholar] [CrossRef]
- Kahn, B.; Irion, F.; Dang, V.; Manning, E.; Nasiri, S.; Naud, C.; Blaisdell, J.; Schreier, M.; Yue, Q.; Bowman, K. The atmospheric infrared sounder version 6 cloud products. Atmos. Chem. Phys. 2014, 14, 399–426. [Google Scholar] [CrossRef]
- Schlüssel, P.; Hultberg, T.H.; Phillips, P.L.; August, T.; Calbet, X. The operational IASI Level 2 processor. Adv. Space Res. 2005, 36, 982–988. [Google Scholar] [CrossRef]
- Menzel, W.P.; Schmit, T.J.; Zhang, P.; Li, J. Satellite-based atmospheric infrared sounder development and applications. Bull. Am. Meteorol. Soc. 2018, 99, 583–603. [Google Scholar] [CrossRef]
- Menzel, W.; Smith, W.; Stewart, T. Improved cloud motion wind vector and altitude assignment using VAS. J. Clim. Appl. Meteorol. 1983, 22, 377–384. [Google Scholar] [CrossRef]
- Chahine, M.T. Remote sounding of cloudy atmospheres. I. The single cloud layer. J. Atmos. Sci. 1974, 31, 233–243. [Google Scholar] [CrossRef]
- Holz, R.E.; Ackerman, S.; Antonelli, P.; Nagle, F.; Knuteson, R.O.; McGill, M.; Hlavka, D.L.; Hart, W.D. An improvement to the high-spectral-resolution CO2-slicing cloud-top altitude retrieval. J. Atmos. Ocean. Technol. 2006, 23, 653–670. [Google Scholar] [CrossRef]
- DeSouza-Machado, S.; Strow, L.; Hannon, S.; Motteler, H.; Lopez-Puertas, M.; Funke, B.; Edwards, D. Fast forward radiative transfer modeling of 4.3 μm nonlocal thermodynamic equilibrium effects for infrared temperature sounders. Geophys. Res. Lett. 2007, 34. [Google Scholar] [CrossRef]
- Gao, B.-C.; Li, R.-R.; Shettle, E.P. Cloud Remote Sensing Using Midwave IR CO2 and N2O Slicing Channels near 4.5 μm. Remote Sens. 2011, 3, 1006–1013. [Google Scholar] [CrossRef]
- Wang, L.; Tian, M.; Zheng, Y. Assessment and improvement of the Cloud Emission and Scattering Index (CESI)–an algorithm for cirrus detection. Int. J. Remote Sens. 2019, 40, 5366–5387. [Google Scholar] [CrossRef]
- Ben-Dor, E. A precaution regarding cirrus cloud detection from airborne imaging spectrometer data using the 1.38 μm water vapor band. Remote Sens. Environ. 1994, 50, 346–350. [Google Scholar] [CrossRef]
- Olsen, E.T.; Friedman, S.; Fishbein, E.; Granger, S.; Hearty, T.; Irion, F.; Lee, S.; Licata, S.; Manning, E. AIRS/AMSU/HSB Version 6 Changes from Version 5. Jet Propuls. Lab. Calif. Inst. Technol. PasadenaCalif. Available online: http://Disc.Sci.Gsfc.Nasa.Gov/Airs/Doc./V6_Docs/V6releasedocs-1/V6_Chang.__V5.Pdf (accessed on 4 December 2014).
- Winker, D.M.; Pelon, J.R.; McCormick, M.P. The CALIPSO mission: Spaceborne lidar for observation of aerosols and clouds. Proc. SPIE 2003, 4893, 1–11. [Google Scholar] [CrossRef]
- Stephens, G.L.; Vane, D.G.; Boain, R.J.; Mace, G.G.; Sassen, K.; Wang, Z.; Illingworth, A.J.; O’connor, E.J.; Rossow, W.B.; Durden, S.L. The CloudSat mission and the A-Train: A new dimension of space-based observations of clouds and precipitation. Bull. Am. Meteorol. Soc. 2002, 83, 1771–1790. [Google Scholar] [CrossRef]
- Winker, D.M.; Vaughan, M.A.; Omar, A.; Hu, Y.; Powell, K.A.; Liu, Z.; Hunt, W.H.; Young, S.A. Overview of the CALIPSO mission and CALIOP data processing algorithms. J. Atmos. Ocean. Technol. 2009, 26, 2310–2323. [Google Scholar] [CrossRef]
- Winker, D.M.; Hostetler, C.A.; Vaughan, M.A.; Omar, A.H. CALIOP algorithm theoretical basis document, part 1: CALIOP instrument, and algorithms overview. Release 2006, 2, 29. [Google Scholar]
- Chung, C.-Y.; Francis, P.N.; Saunders, R.W.; Kim, J. Comparison of SEVIRI-derived cloud occurrence frequency and cloud-top height with a-train data. Remote Sens. 2017, 9, 24. [Google Scholar] [CrossRef]
- Jin, H.; Nasiri, S.L. Evaluation of AIRS cloud-thermodynamic-phase determination with CALIPSO. J. Appl. Meteorol. Clim. 2014, 53, 1012–1027. [Google Scholar] [CrossRef]
- Weng, F.; Han, Y.; Van Delst, P.; Liu, Q.; Yan, B. JCSDA community radiative transfer model (CRTM). In Proceedings of the 14th International ATOVS Study Conference, Beijing, China, 25–31 May 2005; pp. 217–222. [Google Scholar]
- Han, Y.; van Delst, P.; Liu, Q.; Weng, F.; Yan, B.; Treadon, R.; Derber, J. Community Radiative Transfer Model (CRTM)—Version 1; NOAA Technicl Report NESDIS 122; NOAA: Silver Spring, MD, USA, 2006.
- Chen, Y.; Weng, F.; Han, Y.; Liu, Q. Validation of the community radiative transfer model by using CloudSat data. J. Geophys. Res. Atmos. 2008, 113. [Google Scholar] [CrossRef]
- Yang, P.; Wei, H.; Huang, H.-L.; Baum, B.A.; Hu, Y.X.; Kattawar, G.W.; Mishchenko, M.I.; Fu, Q. Scattering and absorption property database for nonspherical ice particles in the near-through far-infrared spectral region. Appl. Opt. 2005, 44, 5512–5523. [Google Scholar] [CrossRef] [PubMed]
- Nagle, F.W.; Holz, R.E. Computationally efficient methods of collocating satellite, aircraft, and ground observations. J. Atmos. Ocean. Technol. 2009, 26, 1585–1595. [Google Scholar] [CrossRef]
- NASA Langley ASDC. CALIPSO Data Quality Statements: Summary Statement for the Release of the CALIPSO Lidar Level 2 Cloud and Aerosol Profile Products Version 3.01, May 2010, Report, Hampton, Va. 2010. Available online: http://www-calipso.larc.nasa.gov/resources/calipso_users_guide/data_quality (accessed on 4 May 2010).
- Mecikalski, J.R.; Bedka, K.M.; Paech, S.J.; Litten, L.A. A statistical evaluation of GOES cloud-top properties for nowcasting convective initiation. Mon. Weather Rev. 2008, 136, 4899–4914. [Google Scholar] [CrossRef]
- Hogan, R.J.; O’Connor, E.J.; Illingworth, A.J. Verification of cloud-fraction forecasts. Q. J. R. Meteorol. Soc. A J. Atmos. Sci. Appl. Meteorol. Phys. Oceanogr. 2009, 135, 1494–1511. [Google Scholar] [CrossRef]
- Carrier, M.; Zou, X.; Lapenta, W.M. Identifying cloud-uncontaminated AIRS spectra from cloudy FOV based on cloud-top pressure and weighting functions. Mon. Weather Rev. 2007, 135, 2278–2294. [Google Scholar] [CrossRef]
- Kahn, B.H.; Teixeira, J. A global climatology of temperature and water vapor variance scaling from the Atmospheric Infrared Sounder. J. Clim. 2009, 22, 5558–5576. [Google Scholar] [CrossRef]
- Chen, Y.; Han, Y.; Weng, F. Characterization of long-term stability of Suomi NPP Cross-track Infrared Sounder spectral calibration. IEEE Trans. Geosci. Remote Sens. 2016, 55, 1147–1159. [Google Scholar] [CrossRef]
- Chen, Y.; Han, Y.; Weng, F. Detection of earth-rotation doppler shift from suomi national polar-orbiting partnership cross-track infrared sounder. Appl. Opt. 2013, 52, 6250–6257. [Google Scholar] [CrossRef] [PubMed]
- Han, Y.; Zou, X.; Weng, F. Cloud and precipitation features of Super Typhoon Neoguri revealed from dual oxygen absorption band sounding instruments on board FengYun-3C satellite. Geophys. Res. Lett. 2015, 42, 916–924. [Google Scholar] [CrossRef]
- Weng, F.; Zou, X.; Qin, Z. Uncertainty of AMSU-A derived temperature trends in relationship with clouds and precipitation over ocean. Clim. Dyn. 2014, 43, 1439–1448. [Google Scholar] [CrossRef]
- Weng, F.; Zou, X. 30-Year atmospheric temperature record derived by one-dimensional variational data assimilation of MSU/AMSU-A observations. Clim. Dyn. 2014, 43, 1857–1870. [Google Scholar] [CrossRef]
- Ma, Y.; Zou, X.; Weng, F. Potential applications of small satellite microwave observations for monitoring and predicting global fast-evolving weathers. IEEE J. Sel. Top. Appl. Earth Obs. Remote Sens. 2017, 10, 2441–2451. [Google Scholar] [CrossRef]
- Cai, A.; Zou, X. Latitudinal and Scan-dependent Biases of Microwave Humidity Sounder Measurements and Their Dependences on Cloud Ice Water Path. Adv. Atmos. Sci. 2019, 36, 557–569. [Google Scholar] [CrossRef]
- Zhang, K.; Zhou, L.; Goldberg, M.; Liu, X.; Wolf, W.; Tan, C.; Liu, Q. A methodology to adjust ATMS observations for limb effect and its applications. J. Geophys. Res. Atmos. 2017, 122, 11347–11356. [Google Scholar] [CrossRef]
- Li, X.; Zou, X. Bias characterization of CrIS radiances at 399 selected channels with respect to NWP model simulations. Atmos. Res. 2017, 196, 164–181. [Google Scholar] [CrossRef]
- Sassen, K.; Cho, B.S. Subvisual-thin cirrus lidar dataset for satellite verification and climatological research. J. Appl. Meteorol. 1992, 31, 1275–1285. [Google Scholar] [CrossRef]
- Hong, Y.; Liu, G. The characteristics of ice cloud properties derived from CloudSat and CALIPSO measurements. J. Clim. 2015, 28, 3880–3901. [Google Scholar] [CrossRef]
- Sassen, K.; Wang, Z.; Liu, D. Cirrus clouds and deep convection in the tropics: Insights from CALIPSO and CloudSat. J. Geophys. Res. Atmos. 2009, 114. [Google Scholar] [CrossRef]
- Sun, W.; Videen, G.; Kato, S.; Lin, B.; Lukashin, C.; Hu, Y. A study of subvisual clouds and their radiation effect with a synergy of CERES, MODIS, CALIPSO, and AIRS data. J. Geophys. Res. Atmos. 2011, 116. [Google Scholar] [CrossRef]
- Minnis, P.; Trepte, Q.Z.; Sun-Mack, S.; Chen, Y.; Doelling, D.R.; Young, D.F.; Spangenberg, D.A.; Miller, W.F.; Wielicki, B.A.; Brown, R.R. Cloud detection in nonpolar regions for CERES using TRMM VIRS and Terra and Aqua MODIS data. IEEE Trans. Geosci. Remote Sens. 2008, 46, 3857–3884. [Google Scholar] [CrossRef]
- Cho, H.-M.; Nasiri, S.L.; Yang, P. Application of CALIOP measurements to the evaluation of cloud phase derived from MODIS infrared channels. J. Appl. Meteorol. Clim. 2009, 48, 2169–2180. [Google Scholar] [CrossRef]
- Mace, G.; Zhang, Y.; Platnick, S.; King, M.; Minnis, P.; Yang, P. Evaluation of cirrus cloud properties from MODIS radiances using cloud properties derived from ground-based data collected at the ARM SGP site. J. Appl. Meteorol. 2005, 44, 221–240. [Google Scholar] [CrossRef]
- Kahn, B.; Chahine, M.; Stephens, G.; Mace, G.; Marchand, R.; Wang, Z.; Barnet, C.; Eldering, A.; Holz, R.; Kuehn, R. Cloud type comparisons of AIRS, CloudSat, and CALIPSO cloud height and amount. Atmos. Chem. Phys. 2008, 8, 1231–1248. [Google Scholar] [CrossRef]



















| Day/Night | Clear Sky | Ice Cloud | Water Cloud | Mixed Cloud |
|---|---|---|---|---|
| Day | 325086 | 223611 | 491986 | 161149 |
| Night | 280327 | 222595 | 468792 | 193368 |
| Cloud Detection by CALIOP | No Cloud Detection by CALIOP | |
|---|---|---|
| Cloud detection by CESI | Hit (a) | False alarm (b) |
| No cloud detection by CESI | Miss (c) | Correct negative (d) |
| Detected Altitude | LWIR | SWIR | Correlation Coefficients | |||||||
|---|---|---|---|---|---|---|---|---|---|---|
| Pair | Channel Number | Wave-Number (cm−1) | Peak WF Altitude (hPa) | COP Levels (hPa) | Channel Number | Wave-Number (cm−1) | Peak WF Altitude (hPa) | COP Levels (hPa) | ||
| Upper | 1 | 183 | 701.90 | 165.29 | 266.44 | 1956 | 2267.05 | 165.29 | 253.69 | 0.70 |
| 2 | 249 | 720.95 | 279.59 | 366.85 | 1947 | 2258.30 | 253.69 | 366.85 | 0.87 | |
| 3 | 186 | 702.74 | 293.13 | 366.85 | 1946 | 2257.33 | 266.44 | 382.81 | 0.89 | |
| 4 | 243 | 719.17 | 293.13 | 351.29 | 2105 | 2384.25 | 279.59 | 336.15 | 0.85 | |
| 5 | 200 | 706.71 | 307.07 | 399.18 | 1942 | 2253.46 | 279.59 | 415.97 | 0.88 | |
| 6 | 191 | 704.15 | 321.41 | 415.97 | 1941 | 2252.50 | 293.13 | 433.18 | 0.91 | |
| 7 | 205 | 708.13 | 336.15 | 450.80 | 1940 | 2251.53 | 307.07 | 450.80 | 0.95 | |
| 8 | 190 | 703.87 | 336.15 | 415.97 | 2106 | 2385.23 | 321.41 | 399.18 | 0.93 | |
| 9 | 211 | 709.85 | 366.85 | 487.29 | 1939 | 2250.57 | 336.15 | 487.29 | 0.96 | |
| 10 | 198 | 706.14 | 382.81 | 506.17 | 1933 | 2244.81 | 351.29 | 525.48 | 0.98 | |
| 11 | 230 | 715.35 | 399.18 | 585.91 | 1920 | 2232.43 | 366.85 | 585.91 | 0.97 | |
| 12 | 319 | 741.60 | 399.18 | 628.32 | 1919 | 2231.48 | 382.81 | 628.32 | 0.97 | |
| 13 | 204 | 707.85 | 415.97 | 545.20 | 1935 | 2246.73 | 382.81 | 545.20 | 0.98 | |
| 14 | 297 | 734.77 | 433.18 | 650.16 | 1918 | 2230.54 | 399.18 | 650.16 | 0.97 | |
| 15 | 218 | 711.87 | 450.80 | 585.91 | 2108 | 2387.17 | 415.97 | 565.34 | 0.98 | |
| Middle | 16 | 307 | 737.85 | 487.29 | 695.11 | 1917 | 2229.59 | 450.80 | 672.43 | 0.98 |
| 17 | 239 | 717.99 | 487.29 | 650.16 | 2109 | 2388.15 | 487.29 | 650.16 | 0.98 | |
| 18 | 270 | 727.23 | 545.20 | 765.71 | 1915 | 2227.70 | 525.48 | 741.75 | 0.99 | |
| 19 | 233 | 716.23 | 565.34 | 765.71 | 2110 | 2389.13 | 545.20 | 741.75 | 0.99 | |
| 20 | 293 | 733.54 | 650.16 | 814.87 | 2111 | 2390.11 | 628.32 | 814.87 | 0.99 | |
| 21 | 298 | 735.08 | 695.11 | 840.08 | 1914 | 2226.76 | 650.16 | 814.87 | 0.98 | |
| Lower | 22 | 336 | 746.97 | 741.75 | 865.70 | 2112 | 2391.09 | 695.11 | 865.70 | 0.99 |
| 23 | 335 | 746.65 | 840.08 | 891.74 | 2113 | 2392.07 | 790.08 | 891.74 | 0.98 | |
| 24 | 261 | 724.52 | 891.74 | 945.05 | 2114 | 2393.05 | 840.08 | 918.19 | 0.98 | |
© 2019 by the authors. Licensee MDPI, Basel, Switzerland. This article is an open access article distributed under the terms and conditions of the Creative Commons Attribution (CC BY) license (http://creativecommons.org/licenses/by/4.0/).
Share and Cite
Wang, L.; Zheng, Y.; Liu, C.; Niu, Z.; Xu, J.; Chen, W.; Jiang, R. Combination of AIRS Dual CO2 Absorption Bands to Develop an Ice Clouds Detection Algorithm in Different Atmospheric Layers. Remote Sens. 2020, 12, 6. https://doi.org/10.3390/rs12010006
Wang L, Zheng Y, Liu C, Niu Z, Xu J, Chen W, Jiang R. Combination of AIRS Dual CO2 Absorption Bands to Develop an Ice Clouds Detection Algorithm in Different Atmospheric Layers. Remote Sensing. 2020; 12(1):6. https://doi.org/10.3390/rs12010006
Chicago/Turabian StyleWang, Liwen, Youfei Zheng, Chao Liu, Zeyi Niu, Jingxin Xu, Wenfeng Chen, and Rongsheng Jiang. 2020. "Combination of AIRS Dual CO2 Absorption Bands to Develop an Ice Clouds Detection Algorithm in Different Atmospheric Layers" Remote Sensing 12, no. 1: 6. https://doi.org/10.3390/rs12010006
APA StyleWang, L., Zheng, Y., Liu, C., Niu, Z., Xu, J., Chen, W., & Jiang, R. (2020). Combination of AIRS Dual CO2 Absorption Bands to Develop an Ice Clouds Detection Algorithm in Different Atmospheric Layers. Remote Sensing, 12(1), 6. https://doi.org/10.3390/rs12010006
