Comparison of Machine Learning Algorithms for Retrieval of Water Quality Indicators in Case-II Waters: A Case Study of Hong Kong
Abstract
:1. Introduction
2. Study Area and Materials and Methods
2.1. Study Area
2.2. Materials
2.2.1. Station-Based Water Quality Observations
2.2.2. Satellite Data
2.2.3. In Situ Water Surface Reflectance
2.3. Methods
2.3.1. Data Preprocessing
2.3.2. Estimation of Water Quality with Machine Learning Techniques
2.3.3. Input Selection for Machine Learning Algorithm
2.3.4. Empirical Predictive Modeling (EPM)
2.3.5. Validation of Water Quality Predictions
2.3.6. Evaluation of Model Parameters
3. Results and Discussion
3.1. Selection of Band Combinations for Data Input
3.2. Model Selection
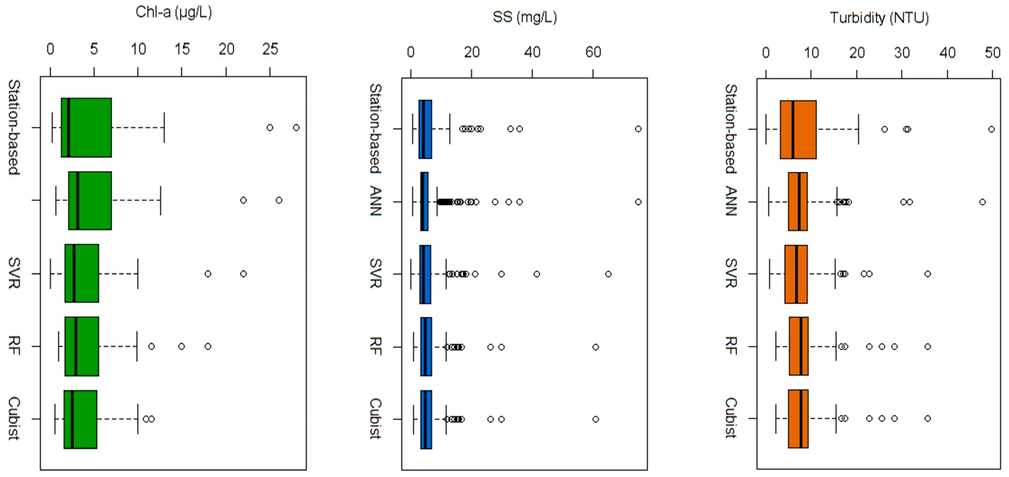
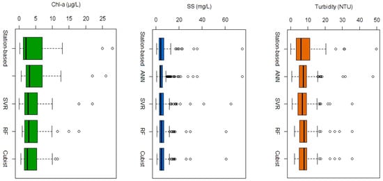
3.3. Evaluation of Machine Learning Regression by Using In-Situ SR Data
3.4. Evaluation of Machine Learning Regression Using Satellite-Derived SR Data
3.5. The Relative Importance of Model Parameters
3.6. Comparison of ANN with In Situ and C2RCC-Nets Derived Data
3.7. Spatial Distribution of Water Quality across Coastal Areas of Hong Kong
3.8. Limitations and Future Directions
4. Conclusions
Supplementary Materials
Author Contributions
Funding
Acknowledgments
Conflicts of Interest
References
- Harding, L.W.; Mallonee, M.E.; Perry, E.S. Toward a Predictive Understanding of Primary Productivity in a Temperate, Partially Stratified Estuary. Estuar. Coast. Shelf Sci. 2002, 55, 437–463. [Google Scholar] [CrossRef]
- Small, C.; Nicholls, R.J. A global analysis of human settlement in coastal zones. J. Coast. Res. 2003, 19, 584–599. [Google Scholar]
- Neumann, B.; Vafeidis, A.T.; Zimmermann, J.; Nicholls, R.J. Future coastal population growth and exposure to sea-level rise and coastal flooding-a global assessment. PLoS ONE 2015, 10, e0118571. [Google Scholar] [CrossRef]
- Kim, Y.H.; Im, J.; Ha, H.K.; Choi, J.-K.; Ha, S. Machine learning approaches to coastal water quality monitoring using GOCI satellite data. Gisci. Remote Sens. 2014, 51, 158–174. [Google Scholar] [CrossRef]
- Paerl, H.W. Assessing and managing nutrient-enhanced eutrophication in estuarine and coastal waters: Interactive effects of human and climatic perturbations. Ecol. Eng. 2006, 26, 40–54. [Google Scholar] [CrossRef]
- Anderson, D.M.; Glibert, P.M.; Burkholder, J.M. Harmful algal blooms and eutrophication: Nutrient sources, composition, and consequences. Estuaries 2002, 25, 704–726. [Google Scholar] [CrossRef]
- McGowan, J.A.; Deyle, E.R.; Ye, H.; Carter, M.L.; Perretti, C.T.; Seger, K.D.; Verneil, A.; Sugihara, G. Predicting coastal algal blooms in southern California. Ecology 2017, 98, 1419–1433. [Google Scholar] [CrossRef] [PubMed]
- Chen, X.; Li, Y.S.; Liu, Z.; Yin, K.; Li, Z.; Wai, O.W.; King, B. Integration of multi-source data for water quality classification in the Pearl River estuary and its adjacent coastal waters of Hong Kong. Cont. Shelf Res. 2004, 24, 1827–1843. [Google Scholar] [CrossRef]
- Doña, C.; Chang, N.-B.; Caselles, V.; Sánchez, J.M.; Camacho, A.; Delegido, J.; Vannah, B.W. Integrated satellite data fusion and mining for monitoring lake water quality status of the Albufera de Valencia in Spain. J. Environ. Manag. 2015, 151, 416–426. [Google Scholar] [CrossRef]
- Moses, W.J.; Gitelson, A.A.; Berdnikov, S.; Povazhnyy, V. Estimation of chlorophyll-a concentration in case II waters using MODIS and MERIS data—Successes and challenges. Environ. Res. Lett. 2009, 4, 045005. [Google Scholar] [CrossRef]
- Laili, N.; Arafah, F.; Jaelani, L.; Subehi, L.; Pamungkas, A.; Koenhardono, E.; Sulisetyono, A. Development of Water Quality Parameter Retrieval Algorithms for Estimating Total Suspended Solids and Chlorophyll-A Concentration Using LANDSAT-8 Imagery at Poteran Island Water. ISPRS Ann. Photogramm. Remote Sens. Spat. Inf. Sci. 2015, 2, 55. [Google Scholar] [CrossRef]
- Miller, R.L.; McKee, B.A. Using MODIS Terra 250 m imagery to map concentrations of total suspended matter in coastal waters. Remote Sens. Environ. 2004, 93, 259–266. [Google Scholar] [CrossRef]
- Wong, M.; Nichol, J.; Lee, K.; Emerson, N. Modeling water quality using Terra/MODIS 500 m satellite images. In Proceedings of the XXIst ISPRS Congress, Beijing, China, 3–11 July 2008; pp. 679–684. [Google Scholar]
- Gin, K.Y.H.; Koh, S.T.; Lin, I.I.; Chan, E.S. Application of Spectral Signatures and Colour Ratios to Estimate Chlorophyll in Singapore’s Coastal Waters. Estuar. Coast. Shelf Sci. 2002, 55, 719–728. [Google Scholar]
- Bilotta, G.; Brazier, R. Understanding the influence of suspended solids on water quality and aquatic biota. Water Res. 2008, 42, 2849–2861. [Google Scholar] [CrossRef]
- Gholizadeh, M.H.; Melesse, A.M.; Reddi, L. A comprehensive review on water quality parameters estimation using remote sensing techniques. Sensors 2016, 16, 1298. [Google Scholar] [CrossRef]
- Mao, Y.; Wang, S.; Qiu, Z.; Sun, D.; Bilal, M. Variations of transparency derived from GOCI in the Bohai Sea and the Yellow Sea. Opt. Express 2018, 26, 12191–12209. [Google Scholar] [CrossRef]
- Devred, E.; Turpie, K.R.; Moses, W.; Klemas, V.V.; Moisan, T.; Babin, M.; Toro-Farmer, G.; Forget, M.-H.; Jo, Y.-H. Future retrievals of water column bio-optical properties using the Hyperspectral Infrared Imager (HyspIRI). Remote Sens. 2013, 5, 6812–6837. [Google Scholar] [CrossRef]
- Matsushita, B.; Yang, W.; Yu, G.; Oyama, Y.; Yoshimura, K.; Fukushima, T. A hybrid algorithm for estimating the chlorophyll-a concentration across different trophic states in Asian inland waters. Remote Sens. 2015, 102, 28–37. [Google Scholar] [CrossRef]
- Marrari, M.; Hu, C.; Daly, K. Validation of SeaWiFS chlorophyll a concentrations in the Southern Ocean: A revisit. Remote Sens. Environ. 2006, 105, 367–375. [Google Scholar] [CrossRef]
- Gregg, W.W.; Casey, N.W. Global and regional evaluation of the SeaWiFS chlorophyll data set. Remote Sens. Environ. 2004, 93, 463–479. [Google Scholar] [CrossRef]
- Nas, B.; Ekercin, S.; Karabörk, H.; Berktay, A.; Mulla, D.J. An application of Landsat-5TM image data for water quality mapping in Lake Beysehir, Turkey. Water Air Soil Pollut. 2010, 212, 183–197. [Google Scholar] [CrossRef]
- Chander, G.; Markham, B.L.; Helder, D.L. Summary of current radiometric calibration coefficients for Landsat MSS, TM, ETM+, and EO-1 ALI sensors. Remote Sens. Environ. 2009, 113, 893–903. [Google Scholar] [CrossRef]
- Caballero, I.; Steinmetz, F.; Navarro, G. Evaluation of the first year of operational Sentinel-2A data for retrieval of suspended solids in medium-to high-turbidity waters. Remote Sens. 2018, 10, 982. [Google Scholar] [CrossRef]
- Choi, J.K.; Park, Y.J.; Ahn, J.H.; Lim, H.S.; Eom, J.; Ryu, J.H. GOCI, the world’s first geostationary ocean color observation satellite, for the monitoring of temporal variability in coastal water turbidity. J. Geophys. Res. Ocean. 2012, 117. [Google Scholar] [CrossRef]
- Nechad, B.; Ruddick, K.G.; Park, Y. Calibration and validation of a generic multisensor algorithm for mapping of total suspended matter in turbid waters. Remote Sens. Environ. 2010, 114, 854–866. [Google Scholar] [CrossRef]
- Tilstone, G.H.; Lotliker, A.A.; Miller, P.I.; Ashraf, P.M.; Kumar, T.S.; Suresh, T.; Ragavan, B.R.; Menon, H.B. Assessment of MODIS-Aqua chlorophyll-a algorithms in coastal and shelf waters of the eastern Arabian Sea. Cont. Shelf Res. 2013, 65, 14–26. [Google Scholar] [CrossRef]
- Nazeer, M.; Wong, M.S.; Nichol, J.E. A new approach for the estimation of phytoplankton cell counts associated with algal blooms. Sci. Total Environ. 2017, 590, 125–138. [Google Scholar] [CrossRef]
- Singh, K.P.; Basant, N.; Gupta, S. Support vector machines in water quality management. Anal. Chim. Acta 2011, 703, 152–162. [Google Scholar] [CrossRef]
- Zhang, Y.; Wang, Y.; Wang, Y.; Xi, H. Investigating the impacts of landuse-landcover (LULC) change in the pearl river delta region on water quality in the pearl river estuary and Hong Kong’s coast. Remote Sens. 2009, 1, 1055–1064. [Google Scholar] [CrossRef]
- Camps-Valls, G.; Gómez-Chova, L.; Muñoz-Marí, J.; Vila-Francés, J.; Amorós-López, J.; Calpe-Maravilla, J. Retrieval of oceanic chlorophyll concentration with relevance vector machines. Remote Sens. Environ. 2006, 105, 23–33. [Google Scholar] [CrossRef]
- Ruescas, A.B.; Mateo-Garcia, G.; Camps-Valls, G.; Hieronymi, M. Retrieval of Case 2 Water Quality Parameters with Machine Learning. In Proceedings of the IGARSS 2018—2018 IEEE International Geoscience and Remote Sensing Symposium, Valencia, Spain, 22–27 July 2018; pp. 124–127. [Google Scholar]
- Marine Water Quality in Hong Kong in 2017; The Environmental Protection Department (EPD), The Government of the Hong Kong Special Administrative Region: Hong Kong, China, 2017.
- Vanhellemont, Q.; Ruddick, K. Advantages of high quality SWIR bands for ocean colour processing: Examples from Landsat-8. Remote Sens. Environ. 2015, 161, 89–106. [Google Scholar] [CrossRef]
- CROPSCAN, Inc. Multispectral Radiometers. Available online: http://www.cropscan.com/msr.html (accessed on 2 November 2016).
- USGS. Using the USGS Landsat 8 Product. Available online: https://landsat.usgs.gov/using-usgs-landsat-8-product (accessed on 30 December 2016).
- Vermote, E.; Tanré, D.; Deuzé, J.; Herman, M.; Morcrette, J.; Kotchenova, S. Second simulation of a satellite signal in the solar spectrum-vector (6SV). 6s User Guide Version 2006, 3, 1–55. [Google Scholar]
- Nazeer, M.; Nichol, J.E.; Yung, Y.-K. Evaluation of atmospheric correction models and Landsat surface reflectance product in an urban coastal environment. Int. J. Remote Sens. 2014, 35, 6271–6291. [Google Scholar] [CrossRef]
- McFeeters, S.K. The use of the Normalized Difference Water Index (NDWI) in the delineation of open water features. Int. J. Remote Sens. 1996, 17, 1425–1432. [Google Scholar] [CrossRef]
- Stojanova, D.; Panov, P.; Gjorgjioski, V.; Kobler, A.; Džeroski, S. Estimating vegetation height and canopy cover from remotely sensed data with machine learning. Ecol. Inform. 2010, 5, 256–266. [Google Scholar] [CrossRef]
- Otukei, J.R.; Blaschke, T. Land cover change assessment using decision trees, support vector machines and maximum likelihood classification algorithms. Int. J. Appl. Earth Obs. Geoinf. 2010, 12, S27–S31. [Google Scholar] [CrossRef]
- Ballabio, C. Spatial prediction of soil properties in temperate mountain regions using support vector regression. Geoderma 2009, 151, 338–350. [Google Scholar] [CrossRef]
- Mountrakis, G.; Im, J.; Ogole, C. Support vector machines in remote sensing: A review. ISPRS J. Photogramm. Remote Sens. 2011, 66, 247–259. [Google Scholar] [CrossRef]
- Flake, G.W.; Lawrence, S. Efficient SVM regression training with SMO. Mach. Learn. 2002, 46, 271–290. [Google Scholar] [CrossRef]
- Tang, Z.; de Almeida, C.; Fishwick, P.A. Time series forecasting using neural networks vs. Box-Jenkins methodology. Simulation 1991, 57, 303–310. [Google Scholar] [CrossRef]
- Panchal, G.; Panchal, M. Review on methods of selecting number of hidden nodes in artificial neural network. Int. J. Comput. Sci. Mob. Comput. 2014, 3, 455–464. [Google Scholar]
- Quinlan, J.R. Learning with continuous classes. In Proceedings of the 5th Australian Joint Conference on Artificial Intelligence, Hobart, Tasmania, 16–18 November 1992; pp. 343–348. [Google Scholar]
- Quinlan, J.R. Combining instance-based and model-based learning. In Proceedings of the Tenth International Conference on Machine Learning, Amherst, MA, USA, 27–29 June 1993; pp. 236–243. [Google Scholar]
- Appelhans, T.; Mwangomo, E.; Hardy, D.R.; Hemp, A.; Nauss, T. Evaluating machine learning approaches for the interpolation of monthly air temperature at Mt. Kilimanjaro, Tanzania. Spat. Stat. 2015, 14, 91–113. [Google Scholar] [CrossRef]
- Kuhn, M.; Weston, S.; Keefer, C.; Coulter, N.; Quinlan, R. Cubist: Rule- and Instance-Based Regression Modeling; R Package Version 0.0.15; R project, 2013. [Google Scholar]
- Breiman, L. Random Forests. Mach. Learn. 2001, 45, 5–32. [Google Scholar] [CrossRef]
- Jang, E.; Im, J.; Ha, S.; Lee, S.; Park, Y.-G. Estimation of water quality index for coastal areas in Korea using GOCI satellite data based on machine learning approaches. Korean J. Remote Sens. 2016, 32, 221–234. [Google Scholar] [CrossRef]
- Eibe, F.; Hall, M.; Witten, I.; Pal, J. The WEKA Workbench. Online Appendix for Data Mining: Practical Machine Learning Tools and Techniques; The University of Waikato: Hamilton, New Zealand, 2016. [Google Scholar]
- Zhang, C.; Han, M. Mapping Chlorophyll-a Concentration in Laizhou Bay Using Landsat 8 OLI data. In Proceedings of the 36th IAHR World Congress, The Hague, The Netherlands, 28 June–3 July 2015. [Google Scholar]
- Nazeer, M.; Nichol, J.E. Combining Landsat TM/ETM+ and HJ-1 A/B CCD Sensors for Monitoring Coastal Water Quality in Hong Kong. IEEE Geosci. Remote Sens. Lett. 2015, 12, 1898–1902. [Google Scholar] [CrossRef]
- Fang, L.-G.; Chen, S.-S.; Li, D.; Li, H.-L. Use of reflectance ratios as a proxy for coastal water constituent monitoring in the Pearl River Estuary. Sensors 2009, 9, 656–673. [Google Scholar] [CrossRef]
- Tian, L.; Wai, O.; Chen, X.; Liu, Y.; Feng, L.; Li, J.; Huang, J. Assessment of Total Suspended Sediment Distribution under Varying Tidal Conditions in Deep Bay: Initial Results from HJ-1A/1B Satellite CCD Images. Remote Sens. 2014, 6, 9911. [Google Scholar] [CrossRef]
- Software, N.S. Chapter 311—Stepwise Regression. Available online: https://ncss-wpengine.netdna-ssl.com/wp-content/themes/ncss/pdf/Procedures/NCSS/Stepwise_Regression.pdf (accessed on 30 December 2018).
- Refaeilzadeh, P.; Tang, L.; Liu, H. Cross-validation. In Encyclopedia of Database Systems; Springer: New York, NY, USA, 2009; pp. 532–538. [Google Scholar]
- Schroeder, T.; Behnert, I.; Schaale, M.; Fischer, J.; Doerffer, R. Atmospheric correction algorithm for MERIS above case-2 waters. Int. J. Remote Sens. 2007, 28, 1469–1486. [Google Scholar] [CrossRef]
- Brockmann, C.; Doerffer, R.; Peters, M.; Kerstin, S.; Embacher, S.; Ruescas, A. Evolution of the C2RCC neural network for Sentinel 2 and 3 for the retrieval of ocean colour products in normal and extreme optically complex waters. In Proceedings of the Living Planet Symposium 2016, Prague, Czech Republic, 9–13 May 2016; p. 54. [Google Scholar]
- Sadeghi, A.; Dinter, T.; Vountas, M.; Taylor, B.; Altenburg-Soppa, M.; Peeken, I.; Bracher, A. Improvement to the PhytoDOAS method for identification of coccolithophores using hyper-spectral satellite data. Ocean Sci. 2012, 8, 1055. [Google Scholar] [CrossRef]
- Li, M.; Im, J.; Beier, C. Machine learning approaches for forest classification and change analysis using multi-temporal Landsat TM images over Huntington Wildlife Forest. Gisci. Remote Sens. 2013, 50, 361–384. [Google Scholar] [CrossRef]
- Lu, Z.; Im, J.; Quackenbush, L.J.; Yoo, S. Remote sensing-based house value estimation using an optimized regional regression model. Photogramm. Eng. Remote Sens. 2013, 79, 809–820. [Google Scholar] [CrossRef]
- Hong Kong Red Tide Database. Available online: http://redtide.afcd.gov.hk/index_en.html?mode=0 (accessed on 1 Feburary 2019).
- Zhou, F.; Liu, Y.; Guo, H. Application of multivariate statistical methods to water quality assessment of the watercourses in Northwestern New Territories, Hong Kong. Environ. Monit. Assess. 2007, 132, 1–13. [Google Scholar] [CrossRef]









| Band | Landsat TM/ETM+ | Landsat OLI | CROPSCAN MSR Bands |
|---|---|---|---|
| λ (μm) | λ (μm) | (μm) | |
| Blue (B1 *) | 0.45–0.52 (B1) | 0.45–0.51 (B2) | 0.4566–0.4634, 0.5062–0.5139 |
| Green (B2 *) | 0.52–0.60 (B2) | 0.53–0.59 (B3) | 0.5553–0.5647 |
| Red (B3 *) | 0.63–0.69 (B3) | 0.63–0.67 (B4) | 0.6540–0.6660 |
| NIR (B4 *) | 0.76–0.90 (B4) | 0.85–0.87 (B5) | 0.7545–0.7655, 0.8045–0.8155, 0.8640–0.8760, 0.8935–0.9065 |
| WQI | Sample Size | Range | Mean | Standard Deviation |
|---|---|---|---|---|
| Chl-a | 42 | 0.5–5.0 μg/L | 2.2 | 1.0 |
| SS | 42 | 0.7–8.0 mg/L | 3.3 | 1.8 |
| TURB | 42 | 1.3–12.0 NTU | 4.0 | 1.1 |
| WQI | Sample Size | Range | Mean | Standard Deviation |
|---|---|---|---|---|
| Chl-a | 120 | 0.3–28 μg/L | 3.5 | 3.2 |
| SS | 120 | 0.8–33.0 mg/L | 5.6 | 4.3 |
| TURB | 120 | 0.8–31.3 NTU | 9.4 | 5.6 |
| WQI | Bands and Band Combinations |
|---|---|
| Chl-a | B1-B4, B3/(B1)2, B4/(B1)2 |
| SS | B1-B4, (B3)2, B3/B1, B1*B3 and B2*B3 |
| TURB | B1-B4, (B3)2, B3/B1, B1*B3 and B2*B3 |
| WQI | R2 | R | MAE | RMSE |
|---|---|---|---|---|
| Chl-a (0.5–5.0 µg/L) | ||||
| ANN | 0.79 | 0.89 | 0.2 | 0.27 |
| SVR | 0.62 | 0.76 | 0.54 | 0.66 |
| Cubist | 0.6 | 0.78 | 0.56 | 0.68 |
| RF | 0.5 | 0.71 | 0.57 | 0.72 |
| SS (0.7–8.0 mg/L) | ||||
| ANN | 0.87 | 0.93 | 0.68 | 0.7 |
| SVR | 0.56 | 0.74 | 0.98 | 1.18 |
| Cubist | 0.55 | 0.75 | 0.98 | 1.18 |
| RF | 0.47 | 0.69 | 1.02 | 1.29 |
| Turbidity (1.3–12.0 NTU) | ||||
| ANN | 0.82 | 0.9 | 0.82 | 0.94 |
| SVR | 0.75 | 0.87 | 0.79 | 0.97 |
| Cubist | 0.67 | 0.78 | 0.73 | 0.94 |
| RF | 0.43 | 0.66 | 1.2 | 1.6 |
| Regression Models (Chl-a) | R2 | RMSE | MAE | |
|---|---|---|---|---|
| (μg/L) | (μg/L) | |||
| Forward Selection | −3.93 + 0.36 B1 + 0.16 B3 + 0.44 B4 + 30.31 B3/(B1)2 − 12.59 B4/(B1)2 | 0.77 | 0.61 | 0.53 |
| Backward Selection | −4.30 + 0.35 B1 + 0.10 B2 + 0.52 B4 + 32.31 B3/(B1)2 − 13.36 B4/(B1)2 | 0.70 | 0.59 | 0.51 |
| Stepwise Selection | −2.23 + 0.78 B3 + 14.75 B3/(B1)2 | 0.66 | 0.60 | 0.50 |
| Full Model | −4.04 + 0.32 B1 + 0.06 B2 + 0.10 B3 + 0.47 B4 + 30.83 B3/(B1)2 − 12.62 B4/(B1)2 | 0.60 | 0.64 | 0.54 |
| Regression Models (SS) | (mg/L) | (mg/L) | ||
| Forward Selection | 0.63 + 1.58 B2 − 0.64 B3 − 1.17 B4 − 0.02 B3 × B2 − 0.47 B3 × B1 + 0.68 (B3)2 | 0.71 | 0.97 | 0.83 |
| Backward Selection | 0.77 + 1.26 B2 − 1.39 B4 − 0.46 B3 × B1 + 0.62 (B3)2 | 0.73 | 0.93 | 0.74 |
| Stepwise Selection | 0.77 + 1.26 B2 − 1.39 B4 − 0.46 B3 × B1 + 0.62 (B3)2 | 0.73 | 0.93 | 0.78 |
| Full Model | −3.03 + 1.64 B1 + 1.16 B2 − 2.67 B3 − 1.14 B4 + 0.84 (B3)2 − 0.69 B3 × B1 − 0.09 B3 × B2 + 6.02 B3/B1 | 0.63 | 1.10 | 0.86 |
| Regression Models (Turbidity) | (NTU) | (NTU) | ||
| Forward Selection | 2.68 − 2.64 B1 + 4.38 B2 − 1.90 B3 − 1.22 B4 − 1.31 B3 × B2 + 0.76 B3 × B1 + 0.96 (B3)2 | 0.60 | 0.99 | 0.80 |
| Backward Selection | Same as Forward Selection | 0.60 | 0.99 | 0.80 |
| Stepwise Selection | Same as Forward Selection | 60 | 0.99 | 0.80 |
| Full Model | 1.25 − 0.36 B1 + 1.96 B2 − 0.88 B3 − 0.93 B4 + 0.54 (B3)2 − 0.04 B3 × B1 − 0.35 B3 × B2 + 0.20 B3/B1 | 0.50 | 1.07 | 0.82 |
| WQI | R2 | R | MAE | RMSE |
|---|---|---|---|---|
| Chl-a (0.3–28 µg/L) | ||||
| ANN | 0.87 | 0.91 | 1.13 | 1.4 |
| SVR | 0.79 | 0.89 | 1.32 | 1.790 |
| Cubist | 0.64 | 0.80 | 1.57 | 2.41 |
| RF | 0.64 | 0.80 | 1.48 | 2.67 |
| SS (0.8–33.0 mg/L) | ||||
| ANN | 0.89 | 0.92 | 1.8 | 2 |
| SVR | 0.59 | 0.77 | 1.9 | 2.8 |
| Cubist | 0.56 | 0.75 | 1.88 | 3.3 |
| RF | 0.51 | 0.72 | 1.78 | 3.11 |
| Turbidity (0.8–31.3 NTU) | ||||
| ANN | 0.80 | 0.85 | 2.61 | 3.10 |
| SVR | 0.62 | 0.79 | 2.83 | 3.97 |
| Cubist | 0.56 | 0.75 | 2.9 | 4.11 |
| RF | 0.51 | 0.72 | 3.3 | 4.4 |
| Regression Models (Chl-a) | R2 | RMSE | MAE | |
|---|---|---|---|---|
| (μg/L) | (μg/L) | |||
| Forward Selection | −1.66 + 0.89 B1 − 1.35 B2 + 0.59 B3 − 54.6 B3/(B1)2 + 4.07 B4/(B1)2 | 0.60 | 1.99 | 1.49 |
| Backward Selection | −1.93 + 0.98 B1 − 1.45 B2 + 0.63 B3 + 59.75 B3/(B1)2 | 0.64 | 1.94 | 1.48 |
| Stepwise Selection | −1.93 + 0.98 B1 − 1.45 B2 + 0.63 B3 + 58.7 B3/(B1)2 | 0.63 | 1.98 | 1.51 |
| Full Model | −1.26 + 0.83 B1 − 1.36 B2 + 0.78 B3 − 0.22 B4 + 48.8 B3/(B1)2 + 10.7 B4/(B1)2 | 0.63 | 2.00 | 1.51 |
| Regression Models (SS) | (mg/L) | (mg/L) | ||
| Forward Selection | −2.09 + 0.60 B1 + 1.42 B2 − 1.14B4 + 0.73 (B3)2 − 0.61 B3 × B1 | 0.51 | 2.64 | 1.95 |
| Backward Selection | −7.3 + 1.70 B1 + 1.34 B2 − 4.13 B3 − 1.24 B4 + 15.8 (B3)2 | 0.51 | 2.68 | 1.95 |
| Stepwise Selection | −0.62 + 1.55 B1 − 1.14 B4 + 0.65(B3)2 − 0.50 B3 × B1 | 0.47 | 2.76 | 2.03 |
| Full Model | −7.3 + 1.70 B1 + 1.34 B2 ± 4.13 B3 − 1.24 B4 + 0.80 (B3)2 − 0.44 B3 × B1 − 0.001 B3 × B2 + 15.8 B3/B1 | 0.58 | 3.88 | 2.70 |
| Regression Models (Turbidity) | (NTU) | (NTU) | ||
| Forward Selection | 3.68 − 0.57 B2 + 2.34 B3 − 1.31 B4 − 0.55 (B3)2 − 0.56 B3 × B1 | 0.45 | 4.17 | 3.56 |
| Backward Selection | 5.24 + 2.72 B3 − 1.48 B4 + 0.51 (B3)2 − 4.47 B3 × B1 | 0.44 | 4.16 | 3.53 |
| Stepwise Selection | Same as Backward Selection | - | - | - |
| Full Model | 7.3 − 1.34 B1 + 1.1 B2 + 3.80 B3 − 1.28 B4 + 0.53 (B3)2 − 0.43 B3 × B1 − 0.12 B3 × B2 − 6.8 B3/B1 | 0.41 | 4.15 | 3.44 |
| Input Data | Chl-a Concentration | SS Concentration | Turbidity | |||
|---|---|---|---|---|---|---|
| In Situ Reflectance | B3 | 33 | B3 | 41 | B3 | 34 |
| B2 | 21 | B3*B2 | 20 | B2 | 27 | |
| B3/(B1)2 | 20 | (B3)2 | 14 | B3*B2 | 25 | |
| B4 | 12 | IR | 9 | B3*B1 | 8 | |
| B4/(B1)2 | 9 | B3/B1 | 9 | |||
| B1 | 5 | B2 | 7 | |||
| total | 100 | 100 | 100 | |||
| Landsat Reflectance | B3/(B1)2 | 82 | B3*B2 | 28 | (B3)2 | 42 |
| B4/(B1)2 | 10 | B3 | 22 | B3 | 27 | |
| B1 | 3 | B3*B1 | 18 | B4 | 15 | |
| B4 | 2 | B2 | 12 | B3/B1 | 9 | |
| B2 | 1 | (B3)2 | 12 | B1 | 6 | |
| B3 | 1 | B4 | 8 | |||
| total | 100 | 100 | 100 | |||
| Input Data | Chl-a Concentration | SS Concentration | Turbidity |
|---|---|---|---|
| In Situ Reflectance | B3 (100%) | B3 (100%) | B3 (100%) |
| B2 (100%) | |||
| B3/(B1)2 (100%) | IR (60%) | ||
| B3*B2 (60%) | |||
| (B3)2 (60%) | |||
| Landsat Reflectance | B3/(B1)2 (18%/49%) | B3 (14%/47%) | (B3)2 (100%) |
| B2 (66%) | (B3)2 (47%/14%) | B3*B1 (60%) | |
| B3 (58%) | B2 (8%/7%) | B3 (40%) | |
| B1 (20%) | B3*B2 (98%) | B4 (40%) | |
| B3*B1 (59%) | B3*B2 (40%) | ||
| B4 (46%) | B1 (20%) | ||
| B3/B1 (46%) | B2 (20%) | ||
| B1 (13%) |
© 2019 by the authors. Licensee MDPI, Basel, Switzerland. This article is an open access article distributed under the terms and conditions of the Creative Commons Attribution (CC BY) license (http://creativecommons.org/licenses/by/4.0/).
Share and Cite
Hafeez, S.; Wong, M.S.; Ho, H.C.; Nazeer, M.; Nichol, J.; Abbas, S.; Tang, D.; Lee, K.H.; Pun, L. Comparison of Machine Learning Algorithms for Retrieval of Water Quality Indicators in Case-II Waters: A Case Study of Hong Kong. Remote Sens. 2019, 11, 617. https://doi.org/10.3390/rs11060617
Hafeez S, Wong MS, Ho HC, Nazeer M, Nichol J, Abbas S, Tang D, Lee KH, Pun L. Comparison of Machine Learning Algorithms for Retrieval of Water Quality Indicators in Case-II Waters: A Case Study of Hong Kong. Remote Sensing. 2019; 11(6):617. https://doi.org/10.3390/rs11060617
Chicago/Turabian StyleHafeez, Sidrah, Man Sing Wong, Hung Chak Ho, Majid Nazeer, Janet Nichol, Sawaid Abbas, Danling Tang, Kwon Ho Lee, and Lilian Pun. 2019. "Comparison of Machine Learning Algorithms for Retrieval of Water Quality Indicators in Case-II Waters: A Case Study of Hong Kong" Remote Sensing 11, no. 6: 617. https://doi.org/10.3390/rs11060617
APA StyleHafeez, S., Wong, M. S., Ho, H. C., Nazeer, M., Nichol, J., Abbas, S., Tang, D., Lee, K. H., & Pun, L. (2019). Comparison of Machine Learning Algorithms for Retrieval of Water Quality Indicators in Case-II Waters: A Case Study of Hong Kong. Remote Sensing, 11(6), 617. https://doi.org/10.3390/rs11060617

