Mapping Maize Water Stress Based on UAV Multispectral Remote Sensing
Abstract
1. Introduction
- (1)
- To develop the NWSB and NTB for maize under the weather condition in Ordos, Inner Mongolia, China;
- (2)
- To evaluate UAV-based multispectral VIs that are sensitive to maize water stress and establish CWSI regression models;
- (3)
- To obtain CWSI maps with high spatial-temporal resolution at the field scale using the CWSI regression models.
2. Materials and Methods
2.1. Study Site
2.2. Experimental Design
2.3. Measurement of Maize Canopy Temperature
2.4. Meteorological Data
2.5. Soil Water Content Data
2.6. Unmanned Aerial Vehicle (UAV) Multispectral System and Data Collection
2.7. Vegetation Indices’ Selection and Calculation
2.8. Crop Water Stress Index (CWSI) Calculation
3. Results
3.1. Non-Water-Stressed Baselines (NWSBs) and Non-Transpiring Baselines (NTBs) of CWSI
3.2. CWSI of Maize
3.3. Vegetation Indices
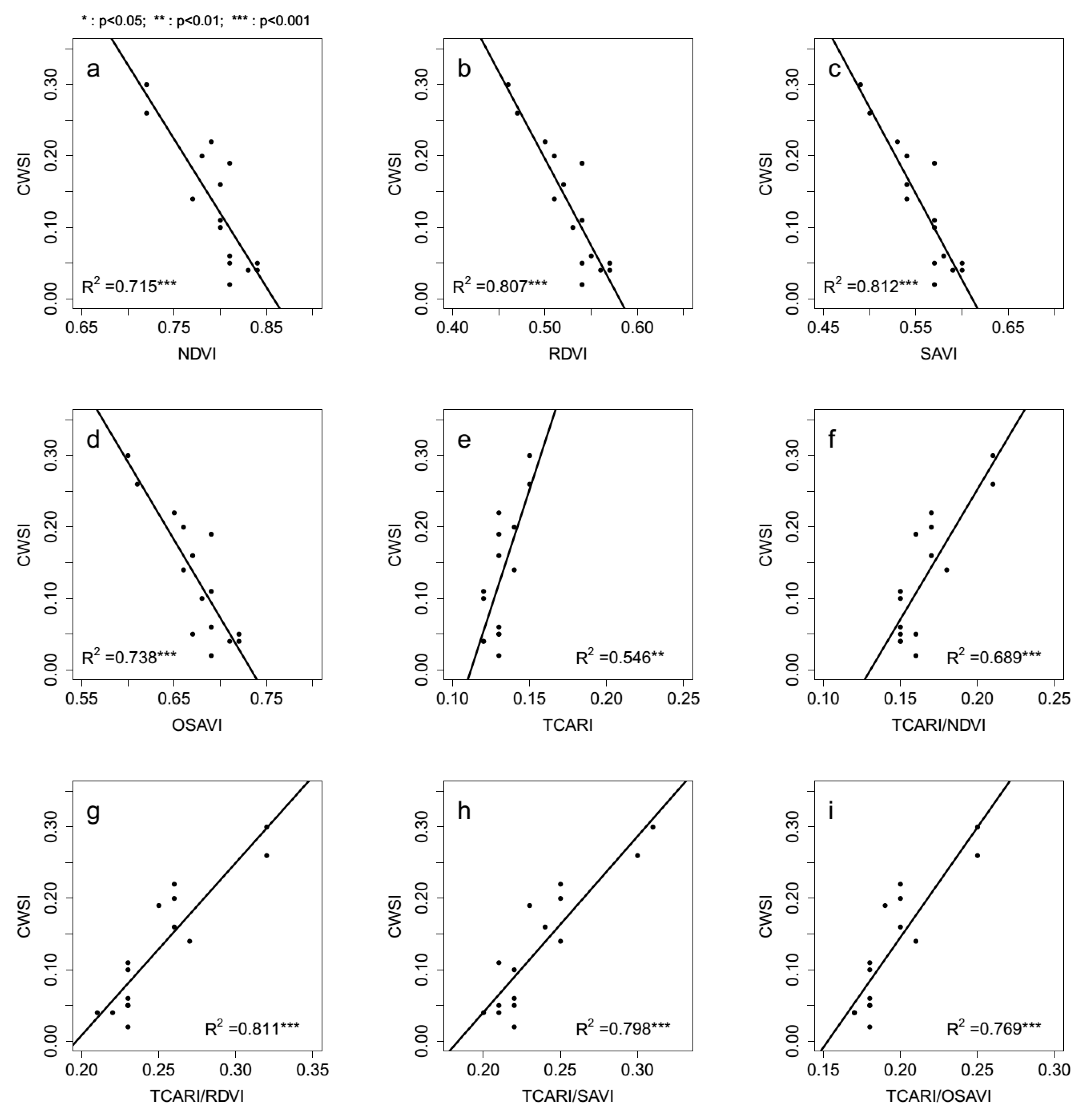
3.4. Correlations between Vegetation Indices (VIs) and CWSI
3.5. Maize Water Stress Maps Based on UAV Multispectral Remote-Sensing Imagery
4. Discussion
- (1)
- (2)
- (3)
- (4)
- (1)
- The change of maize physiological characteristics and microclimate from the reproductive to the maturation stage causes significant difference in NWSBs and insignificant difference in NTBs.
- (2)
- The crop and soil characteristics in the field have significant variability in each deficit irrigation treatment regions. One sample plot could not represent the entire treatment region well (Figure 8). Santesteban et al. [79] had also found that an 18-year-old vineyard under same irrigation condition and without significant pets and diseases had significant variability in water status.
5. Conclusions
Author Contributions
Funding
Acknowledgments
Conflicts of Interest
Appendix A



References
- Lopez, J.R.; Winter, J.M.; Elliott, J.; Ruane, A.C.; Porter, C.; Hoogenboom, G. Integrating growth stage deficit irrigation into a process based crop model. Agric. For. Meteorol. 2017, 243, 84–92. [Google Scholar] [CrossRef]
- Romero-Trigueros, C.; Nortes, P.A.; Alarcon, J.J.; Hunink, J.E.; Parra, M.; Contreras, S.; Droogers, P.; Nicolas, E. Effects of saline reclaimed waters and deficit irrigation on Citrus physiology assessed by UAV remote sensing. Agric. Water Manag. 2017, 183, 60–69. [Google Scholar] [CrossRef]
- Zhao, T.B.; Stark, B.; Chen, Y.Q.; Ray, A.L.; Doll, D. A Detailed Field Study of Direct Correlations Between Ground Truth Crop Water Stress and Normalized Difference Vegetation Index (NDVI) from Small Unmanned Aerial System (sUAS). In Proceedings of the 2015 International Conference on Unmanned Aircraft Systems (ICUAS), Denver, CO, USA, 9–12 June 2015; pp. 520–525. [Google Scholar]
- Sepulveda-Reyes, D.; Ingram, B.; Bardeen, M.; Zuniga, M.; Ortega-Farias, S.; Poblete-Echeverria, C. Selecting Canopy Zones and Thresholding Approaches to Assess Grapevine Water Status by Using Aerial and Ground-Based Thermal Imaging. Remote Sens. 2016, 8, 822. [Google Scholar] [CrossRef]
- Cui, N.; Du, T.; Kang, S.; Li, F.; Zhang, J.; Wang, M.; Li, Z. Regulated deficit irrigation improved fruit quality and water use efficiency of pear-jujube trees. Agric. Water Manag. 2008, 95, 489–497. [Google Scholar] [CrossRef]
- Geerts, S.; Raes, D. Deficit irrigation as an on-farm strategy to maximize crop water productivity in dry areas. Agric. Water Manag. 2009, 96, 1275–1284. [Google Scholar] [CrossRef]
- Han, M.; Zhang, H.; DeJonge, K.C.; Comas, L.H.; Trout, T.J. Estimating maize water stress by standard deviation of canopy temperature in thermal imagery. Agric. Water Manag. 2016, 177, 400–409. [Google Scholar] [CrossRef]
- Ihuoma, S.O.; Madramootoo, C.A. Recent advances in crop water stress detection. Comput. Electron. Agric. 2017, 141, 267–275. [Google Scholar] [CrossRef]
- Li, L.; Nielsen, D.C.; Yu, Q.; Ma, L.; Ahuja, L.R. Evaluating the Crop Water Stress Index and its correlation with latent heat and CO2 fluxes over winter wheat and maize in the North China plain. Agric. Water Manag. 2010, 97, 1146–1155. [Google Scholar] [CrossRef]
- Campbell, G.S.; Campbell, M.D.J.A.i.I. Irrigation Scheduling Using Soil Moisture Measurements: Theory and Practice. Adv. Irrig. 1982, 1, 25–42. [Google Scholar] [CrossRef]
- Hazaymeh, K.; Hassan, Q.K. Remote sensing of agricultural drought monitoring: A state of art review. Aims Environ. Sci. 2016, 3, 604–630. [Google Scholar] [CrossRef]
- Calera, A.; Campos, I.; Osann, A.; D’Urso, G.; Menenti, M. Remote Sensing for Crop Water Management: From ET Modelling to Services for the End Users. Sensors 2017, 17, 1104. [Google Scholar] [CrossRef]
- Du, L.; Tian, Q.; Yu, T.; Meng, Q.; Jancso, T.; Udvardy, P.; Huang, Y. A comprehensive drought monitoring method integrating MODIS and TRMM data. Int. J. Appl. Earth Obs. Geoinf. 2013, 23, 245–253. [Google Scholar] [CrossRef]
- Helman, D.; Bahat, I.; Netzer, Y.; Ben-Gal, A.; Alchanatis, V.; Peeters, A.; Cohen, Y. Using Time Series of High-Resolution Planet Satellite Images to Monitor Grapevine Stem Water Potential in Commercial Vineyards. Remote Sens. 2018, 10, 1615. [Google Scholar] [CrossRef]
- Zhang, H.; Han, M.; Chavez, J.L.; Lan, Y. Improvement in estimation of soil water deficit by integrating airborne imagery data into a soil water balance model. Int. J. Agric. Biol. Eng. 2017, 10, 37–46. [Google Scholar] [CrossRef]
- Bellvert, J.; Marsal, J.; Girona, J.; Zarco-Tejada, P.J. Seasonal evolution of crop water stress index in grapevine varieties determined with high-resolution remote sensing thermal imagery. Irrig. Sci. 2015, 33, 81–93. [Google Scholar] [CrossRef]
- Gerhards, M.; Schlerf, M.; Rascher, U.; Udelhoven, T.; Juszczak, R.; Alberti, G.; Miglietta, F.; Inoue, Y. Analysis of Airborne Optical and Thermal Imagery for Detection of Water Stress Symptoms. Remote Sens. 2018, 10, 1139. [Google Scholar] [CrossRef]
- Bai, H.; Purcell, L.C. Aerial canopy temperature differences between fast- and slow-wilting soya bean genotypes. J. Agron. Crop Sci. 2018, 204, 243–251. [Google Scholar] [CrossRef]
- Herwitz, S.R.; Johnson, L.F.; Dunagan, S.E.; Higgins, R.G.; Sullivan, D.V.; Zheng, J.; Lobitz, B.M.; Leung, J.G.; Gallmeyer, B.A.; Aoyagi, M.; et al. Imaging from an unmanned aerial vehicle: Agricultural surveillance and decision support. Comput. Electron. Agric. 2004, 44, 49–61. [Google Scholar] [CrossRef]
- Han, W.; Zhang, L.; Zhang, H.; Shi, Z.; Yuan, M.; Wang, Z. Extraction Method of Sublateral Canal Distribution Information Based on UAV Remote Sensing. Nongye Jixie Xuebao/Trans. Chin. Soc. Agric. Mach. 2017, 48, 210–219. [Google Scholar] [CrossRef]
- Han, W.; Guang, L.I.; Yuan, M.; Zhang, L.; Shi, Z. Extraction Method of Maize Planting Information Based on UAV Remote Sensing Techonology. Nongye Jixie Xuebao/Trans. Chin. Soc. Agric. Mach. 2017, 48, 139–147. [Google Scholar] [CrossRef]
- Zhao, C. Advances of Research and Application in Remote Sensing for Agriculture. Nongye Jixie Xuebao/Trans. Chin. Soc. Agric. Mach. 2014, 45, 277–293. [Google Scholar] [CrossRef]
- Inoue, Y.; Kimball, B.A.; Jackson, R.D.; Jr, P.J.P.; Reginato, R.J. Remote estimation of leaf transpiration rate and stomatal resistance based on infrared thermometry. Agric. For. Meteorol. 1990, 51, 21–33. [Google Scholar] [CrossRef]
- Zhang, Z.; Bian, J.; Han, W.; Fu, Q.; Chen, S.; Cui, T. Cotton moisture stress diagnosis based on canopy temperature characteristics calculated from UAV thermal infrared image. Nongye Gongcheng Xuebao/Trans. Chin. Soc. Agric. Eng. 2018, 34, 77–84. [Google Scholar] [CrossRef]
- Martínez, J.; Egea, G.; Agüera, J.; Pérez-Ruiz, M. A cost-effective canopy temperature measurement system for precision agriculture: A case study on sugar beet. Precis. Agric. 2016, 18, 95–110. [Google Scholar] [CrossRef]
- Han, M.; Zhang, H.H.; DeJonge, K.C.; Comas, L.H.; Gleason, S. Comparison of three crop water stress index models with sap flow measurements in maize. Agric. Water Manag. 2018, 203, 366–375. [Google Scholar] [CrossRef]
- Zia, S.; Romano, G.; Spreer, W.; Sanchez, C.; Cairns, J.; Araus, J.L.; Muller, J. Infrared Thermal Imaging as a Rapid Tool for Identifying Water-Stress Tolerant Maize Genotypes of Different Phenology. J. Agron. Crop Sci. 2013, 199, 75–84. [Google Scholar] [CrossRef]
- Zhang, L.; Niu, Y.; Han, W.; Liu, Z. Establishing Method of Crop Water Stress Index Empirical Model of Field Maize. Nongye Jixie Xuebao/Trans. Chin. Soc. Agric. Mach. 2018, 49, 233–239. [Google Scholar] [CrossRef]
- Irmak, S.; Haman, D.Z.; Bastug, R. Determination of crop water stress index for irrigation timing and yield estimation of corn. Agron. J. 2000, 92, 1221–1227. [Google Scholar] [CrossRef]
- Zhang, Z.; Bian, J.; Han, W.; Fu, Q.; Chen, S.; Cui, T. Diagnosis of Cotton Water Stress Using Unmanned Aerial Vehicle Thermal Infrared Remote Sensing after Removing Soil. Nongye Jixie Xuebao/Trans. Chin. Soc. Agric. Mach. 2018, 49, 250–260. [Google Scholar] [CrossRef]
- Cohen, Y.; Alchanatis, V.; Sela, E.; Saranga, Y.; Cohen, S.; Meron, M.; Bosak, A.; Tsipris, J.; Ostrovsky, V.; Orolov, V.; et al. Crop water status estimation using thermography: Multi-year model development using ground-based thermal images. Precis. Agric. 2015, 16, 311–329. [Google Scholar] [CrossRef]
- Pou, A.; Diago, M.P.; Medrano, H.; Baluja, J.; Tardaguila, J. Validation of thermal indices for water status identification in grapevine. Agric. Water Manag. 2014, 134, 60–72. [Google Scholar] [CrossRef]
- Zarco-Tejada, P.J.; Gonzalez-Dugo, V.; Williams, L.E.; Suarez, L.; Berni, J.A.J.; Goldhamer, D.; Fereres, E. A PRI-based water stress index combining structural and chlorophyll effects: Assessment using diurnal narrow-band airborne imagery and the CWSI thermal index. Remote Sens. Environ. 2013, 138, 38–50. [Google Scholar] [CrossRef]
- Agam, N.; Cohen, Y.; Alchanatis, V.; Ben-Gal, A. How sensitive is the CWSI to changes in solar radiation? Int. J. Remote Sens. 2013, 34, 6109–6120. [Google Scholar] [CrossRef]
- Bellvert, J.; Zarco-Tejada, P.J.; Girona, J.; González-Dugo, V.; Fereres, E. A tool for detecting crop water status using airborne high-resolution thermal imagery. WIT Trans. Ecol. Environ. 2014, 185, 25–32. [Google Scholar]
- Wang, D.; Gartung, J. Infrared canopy temperature of early-ripening peach trees under postharvest deficit irrigation. Agric. Water Manag. 2010, 97, 1787–1794. [Google Scholar] [CrossRef]
- Paltineanu, C.; Septar, L.; Moale, C. Crop Water Stress in Peach Orchards and Relationships with Soil Moisture Content in a Chernozem of Dobrogea. J. Irrig. Drain. Eng. 2013, 139, 20–25. [Google Scholar] [CrossRef]
- Agam, N.; Cohen, Y.; Berni, J.A.J.; Alchanatis, V.; Kool, D.; Dag, A.; Yermiyahu, U.; Ben-Gal, A. An insight to the performance of crop water stress index for olive trees. Agric. Water Manag. 2013, 118, 79–86. [Google Scholar] [CrossRef]
- Gençǧlan, C.; Yazar, A. Determination of Crop Water Stress İndex (CWSI) and irrigation timing by utilizing infrared thermometer values on the first corn grown under çukurova conditions. Am. J. Surg. 2014, 3, 342–345. [Google Scholar] [CrossRef]
- Berni, J.A.J.; Zarco-Tejada, P.J.; Sepulcre-Canto, G.; Fereres, E.; Villalobos, F. Mapping canopy conductance and CWSI in olive orchards using high resolution thermal remote sensing imagery. Remote Sens. Environ. 2009, 113, 2380–2388. [Google Scholar] [CrossRef]
- DeJonge, K.C.; Taghvaeian, S.; Trout, T.J.; Comas, L.H. Comparison of canopy temperature-based water stress indices for maize. Agric. Water Manag. 2015, 156, 51–62. [Google Scholar] [CrossRef]
- Taghvaeian, S.; Chavez, J.L.; Hansen, N.C. Infrared Thermometry to Estimate Crop Water Stress Index and Water Use of Irrigated Maize in Northeastern Colorado. Remote Sens. 2012, 4, 3619–3637. [Google Scholar] [CrossRef]
- Taghvaeian, S.; Comas, L.; DeJonge, K.C.; Trout, T.J. Conventional and simplified canopy temperature indices predict water stress in sunflower. Agric. Water Manag. 2014, 144, 69–80. [Google Scholar] [CrossRef]
- Wang, L.M.; Qiu, G.Y.; Zhang, X.Y.; Chen, S.Y. Application of a new method to evaluate crop water stress index. Irrig. Sci. 2005, 24, 49–54. [Google Scholar] [CrossRef]
- Gonzalez-Dugo, V.; Zarco-Tejada, P.J.; Fereres, E. Applicability and limitations of using the crop water stress index as an indicator of water deficits in citrus orchards. Agric. For. Meteorol. 2014, 198, 94–104. [Google Scholar] [CrossRef]
- Ballester, C.; Jimenez-Bello, M.A.; Castel, J.R.; Intrigliolo, D.S. Usefulness of thermography for plant water stress detection in citrus and persimmon trees. Agric. For. Meteorol. 2013, 168, 120–129. [Google Scholar] [CrossRef]
- Gonzalez-Dugo, V.; Goldhamer, D.; Zarco-Tejada, P.J.; Fereres, E. Improving the precision of irrigation in a pistachio farm using an unmanned airborne thermal system. Irrig. Sci. 2015, 33, 43–52. [Google Scholar] [CrossRef]
- Idso, S.B.; Jackson, R.D.; Pinter, P.J., Jr.; Reginato, R.J.; Hatfield, J.L. Normalizing the stress-degree-day parameter for environmental variability. Agric. Meteorol. 1981, 24, 45–55. [Google Scholar] [CrossRef]
- Jackson, R.D.; Idso, S.B.; Reginato, R.J.; Pinter, P.J. Canopy temperature as a crop water stress indicator. Water Resour. Res. 1981, 17, 1133–1138. [Google Scholar] [CrossRef]
- Rodriguez-Perez, J.R.; Riano, D.; Carlisle, E.; Ustin, S.; Smart, D.R. Evaluation of hyperspectral reflectance indexes to detect grapevine water status in vineyards. Am. J. Enol. Vitic. 2007, 58, 302–317. [Google Scholar]
- Park, S.; Ryu, D.; Fuentes, S.; Chung, H.; Hernández-Montes, E.; O’Connell, M. Adaptive Estimation of Crop Water Stress in Nectarine and Peach Orchards Using High-Resolution Imagery from an Unmanned Aerial Vehicle (UAV). Remote Sens. 2017, 9, 828. [Google Scholar] [CrossRef]
- Moran, M.S.; Clarke, T.R.; Inoue, Y.; Vidal, A. Estimating Crop Water-Deficit Using the Relation Between Surface-Air Temperature and Spectral Vegetation Index. Remote Sens. Environ. 1994, 49, 246–263. [Google Scholar] [CrossRef]
- Wang, P.; Luo, X.; Zhou, Z.; Zang, Y.; Hu, L. Key technology for remote sensing information acquisitionbased on micro UAV. Nongye Gongcheng Xuebao/Trans. Chin. Soc. Agric. Eng. 2014, 30, 1–12. [Google Scholar] [CrossRef]
- Xiang, H.; Tian, L. Development of a low-cost agricultural remote sensing system based on an autonomous unmanned aerial vehicle (UAV). Biosyst. Eng. 2011, 108, 174–190. [Google Scholar] [CrossRef]
- Bellvert, J.; Zarco-Tejada, P.J.; Girona, J.; Fereres, E. Mapping crop water stress index in a ’Pinot-noir’ vineyard: Comparing ground measurements with thermal remote sensing imagery from an unmanned aerial vehicle. Precis. Agric. 2014, 15, 361–376. [Google Scholar] [CrossRef]
- Ribeiro-Gomes, K.; Hernandez-Lopez, D.; Ortega, J.F.; Ballesteros, R.; Poblete, T.; Moreno, M.A. Uncooled Thermal Camera Calibration and Optimization of the Photogrammetry Process for UAV Applications in Agriculture. Sensors 2017, 17, 2173. [Google Scholar] [CrossRef]
- Ni, G. Vegetation Index and Its Advances. Arid Meteorol. 2003, 21, 71–75. [Google Scholar]
- Rouse, J.W., Jr.; Haas, R.H.; Schell, J.A.; Deering, D.W. Monitoring Vegetation Systems in the Great Plains with Erts. Nasa Spec. Publ. 1973, 351, 309. [Google Scholar]
- Huete, A.R. A soil-adjusted vegetation index (SAVI). Remote Sens. Environ. 1988, 25, 295–309. [Google Scholar] [CrossRef]
- Driss, H.; John, R.M.; Nicolas, T.; Pablo, J.Z.-T.; Louise, D. Integrated narrow-band vegetation indices for prediction of crop chlorophyll content for application to precision agriculture. Remote Sens. Environ. 2002, 81, 416–426. [Google Scholar] [CrossRef]
- Lv, Y.; Li, B. Soil Science; China Agriculture Press: Beijing, China, 2006. [Google Scholar]
- Allen, R.G.; Pereira, L.S.; Raes, D.; Smith, M. Crop Evapotranspiration—Guidelines for Computing Crop Water Requirements—FAO Irrigation and Drainage Paper 56; FAO—Food and Agriculture Organization of the United Nations: Rome, Italy, 1998. [Google Scholar]
- Li, Y.; Yan, H.; Cai, D.; Gu, T.; Sui, R.; Chen, D. Evaluating the water application uniformity of center pivot irrigation systems in Northern China. Int. Agric. Eng. J. 2018. under review. [Google Scholar]
- Heermann, D.F.H.; Hein, P.R. Performance characteristics of self-propelled center-pivot sprinkler irrigation system. Trans. ASAE 1968, 11, 11–15. [Google Scholar]
- Yang, G.; Li, C.; Yu, H.; Xu, B.; Feng, H.; Gao, L.; Zhu, D. UAV based multi-load remote sensing technologies for wheat breeding information acquirement. Nongye Gongcheng Xuebao/Trans. Chin. Soc. Agric. Eng. 2015, 31, 184–190. [Google Scholar] [CrossRef]
- Walter, I.A.; Allen, R.G.; Elliott, R.; Jensen, M.E.; Itenfisu, D.; Mecham, B.; Howell, T.A.; Snyder, R.; Brown, P.; Echings, S. ASCE’s standardized reference evapotranspiration equation. In Proceedings of the Watershed Management and Operations Management 2000, Fort Collins, CO, USA, 20–24 June 2000; pp. 1–11. [Google Scholar]
- Taghvaeian, S.; Chávez, J.L.; Bausch, W.C.; DeJonge, K.C.; Trout, T.J. Minimizing instrumentation requirement for estimating crop water stress index and transpiration of maize. Irrig. Sci. 2014, 32, 53–65. [Google Scholar] [CrossRef]
- Nielsen, D.C. Non water-stressed baselines for sunflowers. Agric. Water Manag. 1994, 26, 265–276. [Google Scholar] [CrossRef]
- Idso, S.B. Non-water-stressed baselines: A key to measuring and interpreting plant water stress. Agric. Meteorol. 1982, 27, 59–70. [Google Scholar] [CrossRef]
- Xiao, C.; Xu, L.; Yuan, G.; Wang, W.; Yi, L. Crop water stress index model for monitoring summer maize water stress based on canopy surface temperature. Trans. Chin. Soc. Agric. Eng. 2005, 21, 22–24. [Google Scholar] [CrossRef]
- Bausch, W.C. Soil background effects on reflectance-based crop coefficients for corn. Remote Sens. Environ. 1993, 46, 213–222. [Google Scholar] [CrossRef]
- Yazar, A.; Howell, T.A.; Dusek, D.A.; Copeland, K.S. Evaluation of crop water stress index for LEPA irrigated corn. Irrig. Sci. 1999, 18, 171–180. [Google Scholar] [CrossRef]
- Gardner, B.R.; Nielsen, D.C.; Shock, C.C. Infrared thermometry and the crop water stress index. II. Sampling procedures and interpretation. J. Prod. Agric. 1993, 5, 466–475. [Google Scholar] [CrossRef]
- Payero, J.O.; Irmak, S. Variable upper and lower crop water stress index baselines for corn and soybean. Irrig. Sci. 2006, 25, 21–32. [Google Scholar] [CrossRef]
- Payero, J.O.; Neale, C.M.U.; Wright, J.L. Non-water-stressed baselines for calculating Crop Water Stress Index (CWSI) for alfalfa and tall fescue grass. Trans. ASAE 2005, 48, 653–661. [Google Scholar] [CrossRef]
- Zolnier, S.; Gates, R.S.; Anderson, R.G.; Nokes, S.E.; Duncan, G.A. Non-water-stressed baseline as a tool for dynamic control of a misting system for propagation of poinsettias. Trans. ASAE 2001, 44, 137–147. [Google Scholar] [CrossRef]
- Idso, S.B.; Reginato, R.J.; Clawson, K.L.; Anderson, M.G. On the stability of non-water-stressed baselines. Agric. For. Meteorol. 1984, 32, 177–182. [Google Scholar] [CrossRef]
- Ben-Gal, A.; Agam, N.; Alchanatis, V.; Cohen, Y.; Yermiyahu, U.; Zipori, I.; Presnov, E.; Sprintsin, M.; Dag, A. Evaluating water stress in irrigated olives: Correlation of soil water status, tree water status, and thermal imagery. Irrig. Sci. 2009, 27, 367–376. [Google Scholar] [CrossRef]
- Santesteban, L.G.; Di Gennaro, S.F.; Herrero-Langreo, A.; Miranda, C.; Royo, J.B.; Matese, A. High-resolution UAV-based thermal imaging to estimate the instantaneous and seasonal variability of plant water status within a vineyard. Agric. Water Manag. 2017, 183, 49–59. [Google Scholar] [CrossRef]
- Espinoza, C.Z.; Khot, L.R.; Sankaran, S.; Jacoby, P.W. High Resolution Multispectral and Thermal Remote Sensing-Based Water Stress Assessment in Subsurface Irrigated Grapevines. Remote Sens. 2017, 9, 961. [Google Scholar] [CrossRef]
- Baluja, J.; Diago, M.P.; Balda, P.; Zorer, R.; Meggio, F.; Morales, F.; Tardaguila, J. Assessment of vineyard water status variability by thermal and multispectral imagery using an unmanned aerial vehicle (UAV). Irrig. Sci. 2012, 30, 511–522. [Google Scholar] [CrossRef]
- Li, H.; Luo, Y.; Zhao, C.; Yang, G. Estimating crop coefficients of winter wheat based on canopy spectral vegetation indices. Nongye Gongcheng Xuebao/Trans. Chin. Soc. Agric. Eng. 2013, 29, 118–127. [Google Scholar] [CrossRef]
- Zulini, L.; Rubinigg, M.; Zorer, R.; Bertamini, M. Effects of drought stress on chlorophyll fluorescence and photosynthetic pigments in grapevine leaves (Vitis vinifera cv. ‘White Riesling’). Acta Horticulturae 2007, 754, 289–294. [Google Scholar] [CrossRef]
- Zarco-Tejada, P.J.; Gonzalez-Dugo, V.; Berni, J.A.J. Fluorescence, temperature and narrow-band indices acquired from a UAV platform for water stress detection using a micro-hyperspectral imager and a thermal camera. Remote Sens. Environ. 2012, 117, 322–337. [Google Scholar] [CrossRef]
- Gago, J.; Douthe, C.; Coopman, R.E.; Gallego, P.P.; Ribas-Carbo, M.; Flexas, J.; Escalona, J.; Medrano, H. UAVs challenge to assess water stress for sustainable agriculture. Agric. Water Manag. 2015, 153, 9–19. [Google Scholar] [CrossRef]
- Zarco-Tejada, P.J.; Guillen-Climent, M.L.; Hernandez-Clemente, R.; Catalina, A.; Gonzalez, M.R.; Martin, P. Estimating leaf carotenoid content in vineyards using high resolution hyperspectral imagery acquired from an unmanned aerial vehicle (UAV). Agric. For. Meteorol. 2013, 171, 281–294. [Google Scholar] [CrossRef]
- Sagan, V.; Maimaitiyiming, M.; Fishman, J. Effects of Ambient Ozone on Soybean Biophysical Variables and Mineral Nutrient Accumulation. Remote Sens. 2018, 10, 562. [Google Scholar] [CrossRef]
- Urban, J.; Ingwers, M.W.; McGuire, M.A.; Teskey, R.O. Increase in leaf temperature opens stomata and decouples net photosynthesis from stomatal conductance in Pinus taeda and Populus deltoides x nigra. J. Exp. Bot. 2017, 68, 1757–1767. [Google Scholar] [CrossRef] [PubMed]
- Zhang, J.; Cheng, D.; Li, Y.; Chen, H. Effect of Light and Water Stress on Photochemical Efficiency and Pigment Composition of Sabina vulgaris Seedlings. Chin. Bull. Bot. 2017, 53, 278–289. [Google Scholar] [CrossRef]









| Treatment | Applied Water Depth/mm | |||
|---|---|---|---|---|
| Late Vegetative (07.04–07.28) | Reproductive (07.29–08.20) | Maturation (08.21–09.07) | Total | |
| TRT 1 | 188 (100%) | 132 (100%) | 82 (100%) | 402 |
| TRT 2 | 158 (84%) | 128 (97%) | 43 (52%) | 329 |
| TRT 3 | 158 (84%) | 125 (95%) | 43 (52%) | 326 |
| TRT 4 | 158 (84%) | 91 (69%) | 23 (28%) | 272 |
| TRT 5 | 158 (84%) | 124 (94%) | 82 (100%) | 365 |
| Parameter | Reproductive (07.29–08.20) | Maturation (08.21–29) |
|---|---|---|
| Mean air temp./°C | 22.11 | 17.21 |
| Max. air temp./°C | 31.31 | 25.46 |
| Min. air temp./°C | 13.61 | 9.24 |
| Min. relative humidity/% | 29.78 | 33.23 |
| Mean net solar radiation/MJ·m−2·day−1 | 10.98 | 3.00 |
| Mean wind speed/m·s−1 | 0.47 | 0.28 |
| Parameter | Value | |
|---|---|---|
| UAV | Wheelbase | 900 mm |
| Takeoff weight | 6 kg | |
| Payload | 2 kg | |
| Flight time | 18 min | |
| Communication radius | 3 km | |
| Speed | 5 m/s | |
| RedEdge | Camera | MicaSense RedEdge |
| Imager resolution | 1280 × 960 pixels | |
| Imager size | 4.8 mm × 3.6 mm | |
| Spectral bands | Blue (475 nm), Green (560 nm), Red (668 nm), Near infrared (IR) (840 nm), Red-edge (717 nm) | |
| Lens focal length | 5.5 mm fixed lens | |
| Lens field of view | 47.2° horizontal field of view (HFOV) | |
| Weight | 150 g | |
| Dimension | 121 mm × 66 mm × 46 mm | |
| Treatment | Reproductive (08.06–08.20) | Maturation (08.21–08.29) |
|---|---|---|
| TRT 1 | 0.07 | 0.03 |
| TRT 2 | 0.12 | 0.14 |
| TRT 3 | 0.09 | 0.12 |
| TRT 4 | 0.27 | 0.32 |
| TRT 5 | 0.05 | 0.03 |
| Vegetation Index | Three Corresponding Data | Four Corresponding Data | ||
|---|---|---|---|---|
| R2 (n = 15) | RMSE | R2 (n = 20) | RMSE | |
| Structural | ||||
| NDVI | 0.72 *** | 0.046 | 0.34 ** | 0.063 |
| RDVI | 0.81 *** | 0.038 | 0.29 * | 0.065 |
| SAVI | 0.81 *** | 0.037 | 0.27 * | 0.066 |
| OSAVI | 0.74 *** | 0.044 | 0.29 * | 0.065 |
| Chlorophyll | ||||
| TCARI | 0.55 ** | 0.058 | 0.35 ** | 0.062 |
| TCARI/NDVI | 0.69 *** | 0.048 | 0.42 ** | 0.059 |
| TCARI/RDVI | 0.81 *** | 0.037 | 0.47 *** | 0.056 |
| TCARI/SAVI | 0.80 *** | 0.039 | 0.50 *** | 0.055 |
| TCARI/OSAVI | 0.77 *** | 0.041 | 0.46 ** | 0.057 |
| Treatment | Reproductive (DOY 231) | Maturation (DOY 240) | ||||
|---|---|---|---|---|---|---|
| CWSI | CWSI-1 | CWSI-2 | CWSI | CWSI-1 | CWSI-2 | |
| TRT 1 | 0.06 | 0.09 | 0.09 | 0.02 | 0.11 | 0.11 |
| TRT 2 | 0.04 | 0.08 | 0.08 | 0.20 | 0.18 | 0.18 |
| TRT 3 | 0.05 | 0.09 | 0.09 | 0.14 | 0.23 | 0.22 |
| TRT 4 | 0.19 | 0.19 | 0.18 | 0.26 | 0.40 | 0.39 |
| TRT 5 | 0.04 | 0.08 | 0.08 | 0.10 | 0.13 | 0.12 |
© 2019 by the authors. Licensee MDPI, Basel, Switzerland. This article is an open access article distributed under the terms and conditions of the Creative Commons Attribution (CC BY) license (http://creativecommons.org/licenses/by/4.0/).
Share and Cite
Zhang, L.; Zhang, H.; Niu, Y.; Han, W. Mapping Maize Water Stress Based on UAV Multispectral Remote Sensing. Remote Sens. 2019, 11, 605. https://doi.org/10.3390/rs11060605
Zhang L, Zhang H, Niu Y, Han W. Mapping Maize Water Stress Based on UAV Multispectral Remote Sensing. Remote Sensing. 2019; 11(6):605. https://doi.org/10.3390/rs11060605
Chicago/Turabian StyleZhang, Liyuan, Huihui Zhang, Yaxiao Niu, and Wenting Han. 2019. "Mapping Maize Water Stress Based on UAV Multispectral Remote Sensing" Remote Sensing 11, no. 6: 605. https://doi.org/10.3390/rs11060605
APA StyleZhang, L., Zhang, H., Niu, Y., & Han, W. (2019). Mapping Maize Water Stress Based on UAV Multispectral Remote Sensing. Remote Sensing, 11(6), 605. https://doi.org/10.3390/rs11060605

