Evaluation of MWHS-2 Using a Co-located Ground-Based Radar Network for Improved Model Assimilation
Abstract
1. Introduction
2. Data and Methodology
2.1. MWHS-2 Channel Characteristics
2.2. The Weather Radar Network
2.3. The Community Radiative Transfer Model (CRTM)
2.4. Combined Satellite and Radar Dataset
3. Results
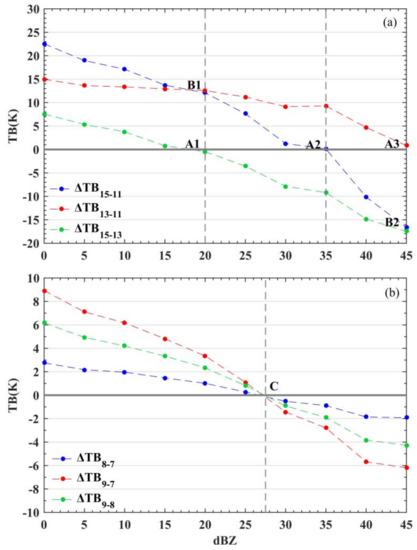
3.1. Sensitivity of Brightness Temperature to Radar Reflectivity
3.2. Evaluations of MWHS-2
3.2.1. Quality Control
3.2.2. O−B Biases Characterization of MWHS-2 under Different Intensities of Precipitation
4. Discussion
5. Conclusions
Author Contributions
Funding
Acknowledgments
Conflicts of Interest
References
- Singh, R.; Pal, P.K.; Joshi, P.C. Assimilation of Kalpana very high resolution radiometer water vapor channel radiances into a mesoscale model. J. Geophys. Res. 2010, 115. [Google Scholar] [CrossRef]
- Liang, X.; Ignatov, A.; Kramar, M.; Yu, F. Preliminary Inter-Comparison between AHI, VIIRS and MODIS Clear-Sky Ocean Radiances for Accurate SST Retrievals. Remote Sens. 2016, 8, 203. [Google Scholar] [CrossRef]
- Xie, Y.; Shi, J.; Lei, Y.; Li, Y. Modeling Microwave Emission from Short Vegetation-Covered Surfaces. Remote Sens. 2015, 7, 14099–14118. [Google Scholar] [CrossRef]
- English, S.J.; Renshaw, R.J.; Dibben, P.C.; Smith, A.J.; Rayer, P.J.; Poulsen, C.; Saunders, F.W.; Eyre, J.R. A comparison of the impact of TOVS and ATOVS satellite sounding data on the accuracy of numerical weather forecasts. Q. J. R. Meteorol. Soc. 2000, 126, 2911–2931. [Google Scholar]
- Mahfouf, J.F.; Bauer, P.; Marécal, V. The assimilation of SSM/I and TMI rainfall rates in the ECMWF 4D-Var system. Q. J. R. Meteorol. Soc. 2005, 131, 437–458. [Google Scholar] [CrossRef]
- Kelly, G.A.; Bauer, P.; Geer, A.J.; Lopez, P.; Thepaut, J. Impact of SSM/I observations related to moisture, clouds, and precipitation on global NWP forecast skill. Mon. Weather Rev. 2008, 136, 2713–2726. [Google Scholar] [CrossRef]
- Geer, A.J. All-Sky Assimilation: Better Snow-Scattering Radiative Transfer and Addition of SSMIS Humidity Sounding Channels; ECMWF Technical Memoranda; European Centre for Medium-Range Weather Forecasts: Reading, UK, 2013; Volume 706. [Google Scholar]
- Bormann, N.; Fouilloux, A.; Bell, W. Evaluation and assimilation of ATMS data in the ECMWF system. J. Geophys. Res. Atmos. 2013, 118, 12970–129890. [Google Scholar] [CrossRef]
- Otkin, J.A. Clear and cloudy sky infrared brightness temperature assimilation using an ensemble Kalman filter. J. Geophys. Res. 2010, 115. [Google Scholar] [CrossRef]
- Otkin, J.A.; Potthast, R.; Lawless, A.S. Nonlinear bias correction for satellite data assimilation using Taylor series polynomials. Mon. Weather Rev. 2018, 146, 263–285. [Google Scholar] [CrossRef]
- Weng, F. Advances in radiative transfer modeling in support of satellite data assimilation. J. Atmos. Sci. 2007, 64, 3799–3807. [Google Scholar] [CrossRef]
- Weng, F.; Zou, X.; Wang, X.; Yang, S.; Goldberg, M.D. Introduction to Suomi national polar-orbiting partnership advanced technology microwave sounder for numerical weather prediction and tropical cyclone applications. J. Geophys. Res. Atmos. 2012, 117. [Google Scholar] [CrossRef]
- Eyre, J.R. Observation bias correction schemes in data assimilation systems: A theoretical study of some of their properties. Q. J. R. Meteorol. Soc. 2016, 142, 2284–2291. [Google Scholar] [CrossRef]
- Zhao, L.; Weng, F. Retrieval of ice cloud parameters using the Advanced Microwave Sounding Unit. J. Appl. Meteorol. 2002, 41, 384–395. [Google Scholar] [CrossRef]
- Grody, N.; Zhao, J.; Ferraro, R.; Weng, F.; Boers, R. Determination of precipitable water and cloud liquid water over oceans from the NOAA-15 Advanced Microwave Sounding Unit. J. Geophys. Res. 2001, 106, 2943–2953. [Google Scholar] [CrossRef]
- Bennartz, R.; Thoss, A.; Dybbroe, A.; Michelson, D.B. Precipitation analysis using Advanced Microwave Sounding Unit in support of nowcasting applications. Meteorol. Appl. 2002, 9, 177–189. [Google Scholar] [CrossRef]
- Zhu, Y.; Liu, E.; Mahajan, R.; Thomas, C.; Grofe, D.; Van Delst, P.; Collard, A.; Kleist, D.; Treadon, R.; Derber, J.C. All-sky microwave radiance assimilation in NCEP’s GSI analysis system. Mon. Weather Rev. 2016, 144, 4709–4735. [Google Scholar] [CrossRef]
- Bauer, P.; Geer, A.J.; Lopez, P.; Salmond, D. Direct 4D-Var assimilation of all-sky radiances, Part I: Implementation. Q. J. R. Meteorol. Soc. 2010, 136, 1868–1885. [Google Scholar] [CrossRef]
- Geer, A.J.; Bauer, P. Observation errors in all-sky data assimilation. Q. J. R. Meteorol. Soc. 2011, 137, 2024–2037. [Google Scholar] [CrossRef]
- Han, H.; Li, J.; Goldberg, M.; Wang, P.; Li, J.; Li, Z.; Sohn, B.J.; Li, J. Microwave sounder cloud detection using a collocated high resolution imager and its impact on radiance assimilation in tropical cyclone forecasts. Mon. Weather Rev. 2016, 144, 3937–3959. [Google Scholar] [CrossRef]
- Chen, Y.; Weng, F.; Han, Y.; Liu, Q. Validation of the Community Radiative Transfer Model (CRTM) by using CloudSat data. J. Geophys. Res. 2008, 113, 2156–2202. [Google Scholar] [CrossRef]
- Eyre, J.R. The information content of data from operational satellite sounding systems: A simulation study. Q. J. R. Meteorol. Soc. 1990, 116, 401–434. [Google Scholar] [CrossRef]
- Ferraro, R.R.; Weng, F.; Grody, N.; Zhao, L.; Meng, H.; Kongoli, C.; Pellegrino, P.; Qiu, S.; Dean, C. NOAA operational hydrological products derived from the AMSU. IEEE Trans. Geosci. Remote Sens. 2005, 43, 1036–1049. [Google Scholar] [CrossRef]
- Tomaso, D.E.; Romano, F.; Cuomo, V. Rainfall estimation from satellite passive microwave observations in the range 89 GHz to 190 GHz. J. Geophys. Res. 2009, 114. [Google Scholar] [CrossRef]
- Bauer, P.; Moreau, E.; Michele, S.D. Hydrometeor retrieval accuracy using microwave window and sounding channel observations. J. Clim. Appl. Meteorol. 2005, 44, 1016–1032. [Google Scholar] [CrossRef]
- Lu, Q.; Lawrence, H.; Bormann, N.; English, S.; Lean, K.; Atkinson, N.; Bell, W.; Carminati, F. An Evaluation of FY-3C Satellite Data Quality at ECMWF and the Met Office; ECMWF Technical Memoranda; European Centre for Medium-Range Weather Forecasts: Reading, UK, 2015; Volume 767. [Google Scholar]
- Han, Y.; Weng, F.; Liu, Q.; Delst, V.P. A fast radiative transfer model for SSMIS upper atmosphere sounding channels. J. Geophys. Res. Atmos. 2007, 112. [Google Scholar] [CrossRef]
- Pagowski, M.; Liu, Z.; Grell, G.A.; Hu, M.; Lin, H.C.; Schwartz, C.S. Implementation of aerosol assimilation in Gridpoint Statistical Interpolation (v. 3.2) and WRF-Chem (v. 3.4.1). Geosci. Model Dev. 2014, 7, 1621–1627. [Google Scholar] [CrossRef]
- Wang, J.; Bhattacharjee, P.S.; Tallapragada, V.; Lu, C.-H.; Kondragunta, S.; Silva, A.; Zhang, X.; Chen, S.-P.; Wei, S.-W.; Darmenov, A.S.; et al. The implementation of NEMS GFS Aerosol Component (NGAC) Version 2.0 for global multispecies forecasting at NOAA/NCEP. Part 1: Model descriptions. Geosci. Model Dev. 2018, 11, 2315–2332. [Google Scholar] [CrossRef]
- Han, J.; Chu, Z.; Wang, Z.; Xu, D.; Li, N.; Kou, L.; Xu, F.; Zhu, Y. The establishment of optimal ground-based radar datasets by comparison and correlation analyses with space-borne radar data. Meteorol. Appl. 2018, 25, 161–170. [Google Scholar] [CrossRef]
- Chu, Z.; Ma, Y.; Zhang, G.; Wang, Z.; Han, J.; Kou, L.; Li, N. Mitigating Spatial Discontinuity of Multi-Radar QPE Based on GPM/KuPR. Hydrology 2018, 5, 48. [Google Scholar] [CrossRef]
- Wu, T.; Wan, Y.; Wo, W.; Leng, L. Design and application of radar reflectivity quality control algorithm in SWAN. Meteorol. Sci. Technol. 2013, 41, 809–817, (In Chinese with an English abstract). [Google Scholar]
- Bauer, P.; Mugnai, A. Precipitation profile retrievals using temperature-sounding microwave observations. J. Geophys. Res. 2003, 108, 4730. [Google Scholar] [CrossRef]
- Buehler, S.A.; Kuvatov, M.; Sreerekha, T.R.; John, V.O.; Rydberg, B.; Eriksson, P.; Notholt, J. A cloud filtering method for microwave upper tropospheric humidity measurements. Atmos. Chem. Phys. 2007, 7, 5531–5542. [Google Scholar] [CrossRef]
- Hong, G.; Heygster, G.; Miao, J.G.; Kunzi, K. Detention of tropical deep convective clouds from AMSU-B water vapor channels measurements. J. Geophys. Res. 2005, 110. [Google Scholar] [CrossRef]
- Burns, B.A.; Wu, X.; Diak, G.R. Effects of precipitation and cloud ice on brightness temperatures in AMSU moisture channels. IEEE Trans. Geosci. Remote Sens. 1997, 35, 1429–1437. [Google Scholar] [CrossRef]
- Lawrence, H.; Bormann, N.; Geer, A.J.; Lu, Q.; English, S.J. Evaluation and Assimilation of the Microwave Sounder MWHS-2 Onboard FY-3C in the ECMWF Numerical Weather Prediction System. IEEE Trans. Geosci. Remote Sens. 2018, 56, 3333–3349. [Google Scholar] [CrossRef]
- Kiladis, G.N.; Straub, K.H.; Reid, G.C.; Gage, K.S. Aspects of interannual and intraseasonal variability of the tropopause and lower stratosphere. Q. J. R. Meteorol. Soc. 2001, 127, 1961–1983. [Google Scholar] [CrossRef]
- Lin, P.; Paynter, D.; Ming, Y.; Ramaswamy, V. Changes of the Tropical Tropopause Layer under Global Warming. J. Clim. 2017, 30, 1245–1258. [Google Scholar] [CrossRef]
- Kulie, M.S.; Bennartz, R.; Greenwald, T.J.; Chen, Y.; Weng, F. Uncertainties in microwave properties of frozen precipitation: Implication for remote sensing and data assimilation. J. Atmos. Sci. 2010, 67, 3471–3487. [Google Scholar] [CrossRef]













| Channel | Center Frequency (GHz) | Beam Width (deg) | Peak Weighting Function (hPa) |
|---|---|---|---|
| 1 | 89.0 | 2.0 | surface |
| 2 | 118.75 0.08 | 2.0 | 20 |
| 3 | 118.75 0.2 | 2.0 | 60 |
| 4 | 118.75 0.3 | 2.0 | 100 |
| 5 | 118.75 0.8 | 2.0 | 250 |
| 6 | 118.75 1.1 | 2.0 | 300 |
| 7 | 118.75 2.5 | 2.0 | 700 |
| 8 | 118.75 3.0 | 2.0 | surface |
| 9 | 118.75 5.0 | 2.0 | surface |
| 10 | 150.0 | 1.1 | surface |
| 11 | 183.31 1 | 1.1 | 450 |
| 12 | 183.31 1.8 | 1.1 | 500 |
| 13 | 183.31 3 | 1.1 | 600 |
| 14 | 183.31 4.5 | 1.1 | 700 |
| 15 | 183.31 7 | 1.1 | 800 |
| Class | Radar Reflectivity | Type of Precipitation | Nobs |
|---|---|---|---|
| 1 | 0–5 dBZ | No precipitation | 6536 |
| 2 | 5–20 dBZ | Light precipitation | 2491 |
| 3 | 20–35 dBZ | Moderate precipitation | 1758 |
| 4 | >35 dBZ | Intense precipitation | 468 |
© 2019 by the authors. Licensee MDPI, Basel, Switzerland. This article is an open access article distributed under the terms and conditions of the Creative Commons Attribution (CC BY) license (http://creativecommons.org/licenses/by/4.0/).
Share and Cite
Liu, S.; Chu, Z.; Yin, Y.; Liu, R. Evaluation of MWHS-2 Using a Co-located Ground-Based Radar Network for Improved Model Assimilation. Remote Sens. 2019, 11, 2338. https://doi.org/10.3390/rs11202338
Liu S, Chu Z, Yin Y, Liu R. Evaluation of MWHS-2 Using a Co-located Ground-Based Radar Network for Improved Model Assimilation. Remote Sensing. 2019; 11(20):2338. https://doi.org/10.3390/rs11202338
Chicago/Turabian StyleLiu, Shuxian, Zhigang Chu, Yan Yin, and Ruixia Liu. 2019. "Evaluation of MWHS-2 Using a Co-located Ground-Based Radar Network for Improved Model Assimilation" Remote Sensing 11, no. 20: 2338. https://doi.org/10.3390/rs11202338
APA StyleLiu, S., Chu, Z., Yin, Y., & Liu, R. (2019). Evaluation of MWHS-2 Using a Co-located Ground-Based Radar Network for Improved Model Assimilation. Remote Sensing, 11(20), 2338. https://doi.org/10.3390/rs11202338

