Deriving Aerosol Absorption Properties from Solar Ultraviolet Radiation Spectral Measurements at Thessaloniki, Greece
Abstract
1. Introduction
2. Materials and Methods
- In order to investigate the spectral dependence of the SSA and AAOD over Thessaloniki (Section 4), close-in-time (within ± 15 min) SSA and AAOD measurements from Brewer#086 and CIMEL have been analyzed for the period 2005–2017. Only measurements at a narrow range of SZAs (45°–55°) were used, because measurements from CIMEL are available only for SZA larger than 45°, even for the enriched dataset, while the Brewer measurements at 310 nm can be highly uncertain at SZAs larger than 55°. Measurements for AOD below 0.3 were also excluded from the analysis to further reduce the uncertainties.
- All available measurements of Brewer#086 for SZAs smaller than 70° have been used to study the diurnal variability of the SSA and the AAOD (Section 5.2) in the UV. Measurements before 2003 have not been used in this part of the study, since data for the period 1998–2002 are reliable only for SZAs 50–70° as discussed above. Measurements at 310 nm have also not been used because they are highly uncertain. In order to study the diurnal variability hourly averages were calculated.
- For the study of the annual variability (Section 5.1), the hourly averages calculated for the study of the diurnal variability, but only for the period 2005–2017 and for hours 10–14 (LT) were used. The reason for not taking into account measurements for the years 2003 and 2004 is that continuous AERONET data, which were also used, are available only since 2005. The reason for using only measurements between 10 and 14 LT is that throughout the year the SZA cut-off limit of 70° corresponds to different times of the day (in the morning and the evening). Thus, using all measurements for SZAs smaller than 70° would introduce biases because SSA and AAOD change in the day as a function of the local time (see Section 5.2). Daily averages were calculated from the hourly averages, and then, monthly means were calculated when at least ten days of measurements were available. Monthly means were averaged over the whole period of study to get monthly climatological values.
- Only measurements for SZAs 50–70° have been used to study the long-term variability for the period 1998–2017 (Section 5.3) since data for the period 1998–2002 are reliable only for the particular range of SZAs. Again, measurements at 310 nm have been excluded from the analysis.
3. Uncertainties in the Retrieval of the SSA and the AAOD
3.1. Uncertainties in the DG Ratio
3.2. Uncertainties in AOD
3.3. Uncertainties Due to Default Ozone and Aerosol Profiles and Effect on Retrieved SSA
3.3.1. Extinction Coefficient Profiles
3.3.2. SSA Profiles
3.3.3. Tropospheric Ozone Profiles
3.4. Other Uncertainties in the Calculation of the SSA
3.4.1. Total Ozone
3.4.2. Surface Albedo
3.4.3. Absorbing Gases
3.4.4. Aerosol Asymmetry Parameter
- (1)
- There are no available measurements allowing to accurately quantify how the asymmetry parameter changes as a function of wavelength in the UV spectral region. Although for the calculation of the SSA in the UV we use a representative value for 440 nm, the corresponding asymmetry parameter for wavelengths 310–360 nm may differ significantly.
- (2)
- There are measurement uncertainties and biases (e.g., finite field of view of the CIMEL), as well as uncertainties due to the assumptions and the simplifications in the AERONET algorithm (e.g., assumption of spheroids, used refractive indexes and uncertainties in particle size distribution), which are introduced in the retrieval of the asymmetry parameter [98,99].
3.5. Overall Uncertainties in the Retrieval of the SSA and the AAOD
4. Wavelength Dependence
5. Short- and Long-Term Variability
5.1. Annual Variability
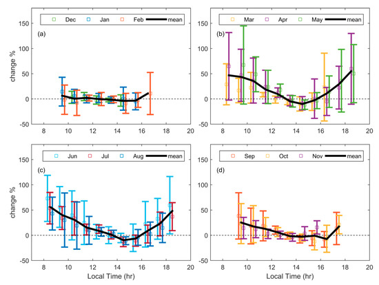
5.2. Diurnal Variability
5.3. Long-Term Variability
6. Conclusions
Author Contributions
Funding
Acknowledgments
Conflicts of Interest
Appendix A
References
- Abdel-Shafy, H.I.; Mansour, M.S.M. A review on polycyclic aromatic hydrocarbons: Source, environmental impact, effect on human health and remediation. Egypt. J. Pet. 2016, 25, 107–123. [Google Scholar] [CrossRef]
- Pavia, D.; Thomson, M.L.; Clarke, S.W.; Shannon, H.S. Effect of lung function and mode of inhalation on penetration of aerosol into the human lung. Thorax 1977, 32, 194. [Google Scholar] [CrossRef] [PubMed]
- Salma, I.; Balásházy, I.; Winkler-Heil, R.; Hofmann, W.; Záray, G. Effect of particle mass size distribution on the deposition of aerosols in the human respiratory system. J. Aerosol Sci. 2002, 33, 119–132. [Google Scholar] [CrossRef]
- Kazadzis, S.; Founda, D.; Psiloglou, B.E.; Kambezidis, H.; Mihalopoulos, N.; Sanchez-Lorenzo, A.; Meleti, C.; Raptis, P.I.; Pierros, F.; Nabat, P. Long-term series and trends in surface solar radiation in Athens, Greece. Atmos. Chem. Phys. 2018, 18, 2395–2411. [Google Scholar] [CrossRef]
- Manara, V.; Bassi, M.; Brunetti, M.; Cagnazzi, B.; Maugeri, M. 1990–2016 surface solar radiation variability and trend over the Piedmont region (Northwest Italy). Theor. Appl. Climatol. 2018, 136, 849–862. [Google Scholar] [CrossRef]
- Tang, W.; Yang, K.; Qin, J.; Niu, X.; Lin, C.; Jing, X. A revisit to decadal change of aerosol optical depth and its impact on global radiation over China. Atmos. Environ. 2017, 150, 106–115. [Google Scholar] [CrossRef]
- Turnock, S.T.; Spracklen, D.V.; Carslaw, K.S.; Mann, G.W.; Woodhouse, M.T.; Forster, P.M.; Haywood, J.; Johnson, C.E.; Dalvi, M.; Bellouin, N.; et al. Modelled and observed changes in aerosols and surface solar radiation over Europe between 1960 and 2009. Atmos. Chem. Phys. 2015, 15, 9477–9500. [Google Scholar] [CrossRef]
- Wild, M. Enlightening Global Dimming and Brightening. Bull. Am. Meteorol. Soc. 2012, 93, 27–37. [Google Scholar] [CrossRef]
- Zerefos, C.S.; Eleftheratos, K.; Meleti, C.; Kazadzis, S.; Romanou, A.; Ichocu, C.; Tselioudis, G.; Bais, A. Solar dimming and brightening over Thessaloniki, Greece, and Beijing, China. Tellus B 2009, 61, 657–665. [Google Scholar] [CrossRef]
- Charlson, R.J.; Schwartz, S.E.; Hales, J.M.; Cess, R.D.; Coakley, J.A.; Hansen, J.E.; Hofmann, D.J. Climate Forcing by Anthropogenic Aerosols. Science 1992, 255, 423. [Google Scholar] [CrossRef]
- Samset, B.H.; Sand, M.; Smith, C.J.; Bauer, S.E.; Forster, P.M.; Fuglestvedt, J.S.; Osprey, S.; Schleussner, C.-F. Climate Impacts from a Removal of Anthropogenic Aerosol Emissions. Geophys. Res. Lett. 2018, 45, 1020–1029. [Google Scholar] [CrossRef]
- Gustafsson, Ö.; Ramanathan, V. Convergence on climate warming by black carbon aerosols. Proc. Natl. Acad. Sci. USA 2016, 113, 4243. [Google Scholar] [CrossRef] [PubMed]
- Ma, P.-L.; Rasch, P.J.; Wang, M.; Wang, H.; Ghan, S.J.; Easter, R.C.; Gustafson, W.I., Jr.; Liu, X.; Zhang, Y.; Ma, H.-Y. How does increasing horizontal resolution in a global climate model improve the simulation of aerosol-cloud interactions? Geophys. Res. Lett. 2015, 42, 5058–5065. [Google Scholar] [CrossRef]
- Shrivastava, M.; Cappa, C.D.; Fan, J.; Goldstein, A.H.; Guenther, A.B.; Jimenez, J.L.; Kuang, C.; Laskin, A.; Martin, S.T.; Ng, N.L.; et al. Recent advances in understanding secondary organic aerosol: Implications for global climate forcing. Rev. Geophys. 2017, 55, 509–559. [Google Scholar] [CrossRef]
- IPCC. Climate Change 2013: The Physical Science Basis. Contribution of Working Group I to the Fifth Assessment Report of the Intergovernmental Panel on Climate Change; Cambridge University Press: Cambridge, UK; New York, NY, USA, 2013; p. 1535. [Google Scholar]
- Chubarova, N.; Nezval, Y.; Sviridenkov, I.; Smirnov, A.; Slutsker, I. Smoke aerosol and its radiative effects during extreme fire event over Central Russia in summer 2010. Atmos. Meas. Tech. 2012, 5, 557–568. [Google Scholar] [CrossRef]
- Hoffer, A.; Gelencsér, A.; Guyon, P.; Kiss, G.; Schmid, O.; Frank, G.P.; Artaxo, P.; Andreae, M.O. Optical properties of humic-like substances (HULIS) in biomass-burning aerosols. Atmos. Chem. Phys. 2006, 6, 3563–3570. [Google Scholar] [CrossRef]
- Feng, Y.; Ramanathan, V.; Kotamarthi, V.R. Brown carbon: A significant atmospheric absorber of solar radiation? Atmos. Chem. Phys. 2013, 13, 8607–8621. [Google Scholar] [CrossRef]
- Kirchstetter, T.W.; Thatcher, T.L. Contribution of organic carbon to wood smoke particulate matter absorption of solar radiation. Atmos. Chem. Phys. 2012, 12, 6067–6072. [Google Scholar] [CrossRef]
- Krotkov, N.A.; Bhartia, P.K.; Herman, J.R.; Slusser, J.R.; Scott, G.R.; Labow, G.J.; Vasilkov, A.P.; Eck, T.; Doubovik, O.; Holben, B.N. Aerosol ultraviolet absorption experiment (2002 to 2004), part 2: Absorption optical thickness, refractive index, and single scattering albedo. Opt. Eng. 2005, 44, 1–17. [Google Scholar]
- Bais, A.F.; McKenzie, R.L.; Bernhard, G.; Aucamp, P.J.; Ilyas, M.; Madronich, S.; Tourpali, K. Ozone depletion and climate change: Impacts on UV radiation. Photochem. Photobiol. Sci. 2015, 14, 19–52. [Google Scholar] [CrossRef]
- Palancar, G.G.; Lefer, B.L.; Hall, S.R.; Shaw, W.J.; Corr, C.A.; Herndon, S.C.; Slusser, J.R.; Madronich, S. Effect of aerosols and NO2 concentration on ultraviolet actinic flux near Mexico City during MILAGRO: Measurements and model calculations. Atmos. Chem. Phys. 2013, 13, 1011–1022. [Google Scholar] [CrossRef]
- Czerwińska, A.E.; Krzyścin, J.W.; Jarosławski, J.; Posyniak, M. Effects of urban agglomeration on surface-UV doses: A comparison of Brewer measurements in Warsaw and Belsk, Poland, for the period 2013–2015. Atmos. Chem. Phys. 2016, 16, 13641–13651. [Google Scholar] [CrossRef]
- Fountoulakis, I.; Bais, A.F.; Fragkos, K.; Meleti, C.; Tourpali, K.; Zempila, M.M. Short and long-term variability of spectral solar UV irradiance at Thessaloniki, Greece: Effects of changes in aerosols, total ozone and clouds. Atmos. Chem. Phys. 2016, 16, 2493–2505. [Google Scholar] [CrossRef]
- Fountoulakis, I.; Zerefos, C.S.; Bais, A.F.; Kapsomenakis, J.; Koukouli, M.-E.; Ohkawara, N.; Fioletov, V.; De Backer, H.; Lakkala, K.; Karppinen, T.; et al. Twenty-five years of spectral UV-B measurements over Canada, Europe and Japan: Trends and effects from changes in ozone, aerosols, clouds, and surface reflectivity. Comptes Rendus Geosci. 2018, 350, 393–402. [Google Scholar] [CrossRef]
- Kazadzis, S.; Kouremeti, N.; Bais, A.; Kazantzidis, A.; Meleti, C. Aerosol forcing efficiency in the UVA region from spectral solar irradiance measurements at an urban environment. Ann. Geophys. 2009, 27, 2515–2522. [Google Scholar] [CrossRef]
- Meleti, C.; Bais, A.F.; Kazadzis, S.; Kouremeti, N.; Garane, K.; Zerefos, C. Factors affecting solar ultraviolet irradiance measured since 1990 at Thessaloniki, Greece. Int. J. Remote Sens. 2009, 30, 4167–4179. [Google Scholar] [CrossRef]
- Holben, B.N.; Eck, T.F.; Slutsker, I.; Tanré, D.; Buis, J.P.; Setzer, A.; Vermote, E.; Reagan, J.A.; Kaufman, Y.J.; Nakajima, T.; et al. AERONET—A Federated Instrument Network and Data Archive for Aerosol Characterization. Remote Sens. Environ. 1998, 66, 1–16. [Google Scholar] [CrossRef]
- Nakajima, T.; Tonna, G.; Rao, R.; Boi, P.; Kaufman, Y.; Holben, B. Use of sky brightness measurements from ground for remote sensing of particulate polydispersions. Appl. Opt. 1996, 35, 2672–2686. [Google Scholar] [CrossRef]
- Chung, C.E.; Ramanathan, V.; Kim, D.; Podgorny, I.A. Global anthropogenic aerosol direct forcing derived from satellite and ground-based observations. J. Geophys. Res. Atmos. 2005, 110. [Google Scholar] [CrossRef]
- Kinne, S.; O’Donnel, D.; Stier, P.; Kloster, S.; Zhang, K.; Schmidt, H.; Rast, S.; Giorgetta, M.; Eck, T.F.; Stevens, B. MAC-v1: A new global aerosol climatology for climate studies. J. Adv. Modeling Earth Syst. 2013, 5, 704–740. [Google Scholar] [CrossRef]
- Bais, A.F.; Kazantzidis, A.; Kazadzis, S.; Balis, D.S.; Zerefos, C.S.; Meleti, C. Deriving an effective aerosol single scattering albedo from spectral surface UV irradiance measurements. Atmos. Environ. 2005, 39, 1093–1102. [Google Scholar] [CrossRef]
- Corr, C.A.; Krotkov, N.; Madronich, S.; Slusser, J.R.; Holben, B.; Gao, W.; Flynn, J.; Lefer, B.; Kreidenweis, S.M. Retrieval of aerosol single scattering albedo at ultraviolet wavelengths at the T1 site during MILAGRO. Atmos. Chem. Phys. 2009, 9, 5813–5827. [Google Scholar] [CrossRef]
- Eck, T.F.; Holben, B.N.; Slutsker, I.; Setzer, A. Measurements of irradiance attenuation and estimation of aerosol single scattering albedo for biomass burning aerosols in Amazonia. J. Geophys. Res. Atmos. 1998, 103, 31865–31878. [Google Scholar] [CrossRef]
- Ialongo, I.; Buchard, V.; Brogniez, C.; Casale, G.R.; Siani, A.M. Aerosol Single Scattering Albedo retrieval in the UV range: An application to OMI satellite validation. Atmos. Chem. Phys. 2010, 10, 331–340. [Google Scholar] [CrossRef]
- Kazadzis, S.; Raptis, P.; Kouremeti, N.; Amiridis, V.; Arola, A.; Gerasopoulos, E.; Schuster, G.L. Aerosol absorption retrieval at ultraviolet wavelengths in a complex environment. Atmos. Meas. Tech. 2016, 9, 5997–6011. [Google Scholar] [CrossRef]
- Krotkov, N.A.; Bhartia, P.K.; Herman, J.R.; Slusser, J.R.; Labow, G.J.; Scott, G.R.; Janson, G.T.; Eck, T.; Holben, B.N. Aerosol Ultraviolet Absorption Experiment (2002 to 2004), Part 1: Ultraviolet Multifilter Rotating Shadowband Radiometer Calibration and Intercomparison with CIMEL Sunphotometers; SPIE: Geneva, Switzerland, 2005; Volume 44, pp. 1–17. [Google Scholar]
- Mok, J.; Krotkov, N.A.; Torres, O.; Jethva, H.; Li, Z.; Kim, J.; Koo, J.H.; Go, S.; Irie, H.; Labow, G.; et al. Comparisons of spectral aerosol single scattering albedo in Seoul, South Korea. Atmos. Meas. Tech. 2018, 11, 2295–2311. [Google Scholar] [CrossRef]
- Nikitidou, E.; Kazantzidis, A.; De Bock, V.; De Backer, H. The aerosol forcing efficiency in the UV region and the estimation of single scattering albedo at a typical West European site. Atmos. Environ. 2013, 69, 313–320. [Google Scholar] [CrossRef]
- Sinyuk, A.; Torres, O.; Dubovik, O. Combined use of satellite and surface observations to infer the imaginary part of refractive index of Saharan dust. Geophys. Res. Lett. 2003, 30. [Google Scholar] [CrossRef]
- Bais, A.F.; Bernhard, G.; McKenzie, R.L.; Aucamp, P.J.; Young, P.J.; Ilyas, M.; Jöckel, P.; Deushi, M. Ozone–climate interactions and effects on solar ultraviolet radiation. Photochem. Photobiol. Sci. 2019, 18, 602–640. [Google Scholar] [CrossRef] [PubMed]
- Kazadzis, S.; Gröbner, J.; Arola, A.; Amiridis, V. The effect of the global UV irradiance measurement accuracy on the single scattering albedo retrieval. Atmos. Meas. Tech. 2010, 3, 1029–1037. [Google Scholar] [CrossRef]
- Torres, O.; Ahn, C.; Chen, Z. Improvements to the OMI near-UV aerosol algorithm using A-train CALIOP and AIRS observations. Atmos. Meas. Tech. 2013, 6, 3257–3270. [Google Scholar] [CrossRef]
- Torres, O.; Tanskanen, A.; Veihelmann, B.; Ahn, C.; Braak, R.; Bhartia, P.K.; Veefkind, P.; Levelt, P. Aerosols and surface UV products from Ozone Monitoring Instrument observations: An overview. J. Geophys. Res. Atmos. 2007, 112. [Google Scholar] [CrossRef]
- Jethva, H.; Torres, O.; Ahn, C. Global assessment of OMI aerosol single-scattering albedo using ground-based AERONET inversion. J. Geophys. Res. Atmos. 2014, 119, 9020–9040. [Google Scholar] [CrossRef]
- Khatri, P.; Takamura, T.; Nakajima, T.; Estellés, V.; Irie, H.; Kuze, H.; Campanelli, M.; Sinyuk, A.; Lee, S.-M.; Sohn, B.J.; et al. Factors for inconsistent aerosol single scattering albedo between SKYNET and AERONET. J. Geophys. Res. Atmos. 2016, 121, 1859–1877. [Google Scholar] [CrossRef]
- Koo, J.-H.; Kim, J.; Lee, J.; Eck, T.F.; Lee, Y.G.; Park, S.S.; Kim, M.; Jung, U.; Yoon, J.; Mok, J.; et al. Wavelength dependence of Ångström exponent and single scattering albedo observed by skyradiometer in Seoul, Korea. Atmos. Res. 2016, 181, 12–19. [Google Scholar] [CrossRef]
- Arola, A.; Kazadzis, S.; Lindfors, A.; Krotkov, N.; Kujanpää, J.; Tamminen, J.; Bais, A.; di Sarra, A.; Villaplana, J.M.; Brogniez, C.; et al. A new approach to correct for absorbing aerosols in OMI UV. Geophys. Res. Lett. 2009, 36. [Google Scholar] [CrossRef]
- Lindfors, A.V.; Kujanpää, J.; Kalakoski, N.; Heikkilä, A.; Lakkala, K.; Mielonen, T.; Sneep, M.; Krotkov, N.A.; Arola, A.; Tamminen, J. The TROPOMI surface UV algorithm. Atmos. Meas. Tech. 2018, 11, 997–1008. [Google Scholar] [CrossRef]
- Arola, A.; Kazadzis, S.; Krotkov, N.; Bais, A.; Gröbner, J.; Herman, J.R. Assessment of TOMS UV bias due to absorbing aerosols. J. Geophys. Res. Atmos. 2005, 110. [Google Scholar] [CrossRef]
- Zempila, M.M.; Fountoulakis, I.; Taylor, M.; Kazadzis, S.; Arola, A.; Koukouli, M.E.; Bais, A.; Meleti, C.; Balis, D. Validation of OMI erythemal doses with multi-sensor ground-based measurements in Thessaloniki, Greece. Atmos. Environ. 2018, 183, 106–121. [Google Scholar] [CrossRef]
- Levelt, P.F.; van den Oord, G.H.J.; Dobber, M.R.; Malkki, A.; Huib, V.; de Johan, V.; Stammes, P.; Lundell, J.O.V.; Saari, H. The ozone monitoring instrument. IEEE Trans. Geosci. Remote Sens. 2006, 44, 1093–1101. [Google Scholar] [CrossRef]
- Zempila, M.-M.; Koukouli, M.-E.; Bais, A.; Fountoulakis, I.; Arola, A.; Kouremeti, N.; Balis, D. OMI/Aura UV product validation using NILU-UV ground-based measurements in Thessaloniki, Greece. Atmos. Environ. 2016, 140, 283–297. [Google Scholar] [CrossRef]
- Raptis, I.-P.; Kazadzis, S.; Eleftheratos, K.; Amiridis, V.; Fountoulakis, I. Single Scattering Albedo’s Spectral Dependence Effect on UV Irradiance. Atmosphere 2018, 9, 364. [Google Scholar] [CrossRef]
- Bais, A.F.; Zerefos, C.S.; McElroy, C.T. Solar UVB measurements with the double-and single-monochromator Brewer ozone spectrophotometers. Geophys. Res. Lett. 1996, 23, 833–836. [Google Scholar] [CrossRef]
- Bais, A.F.; Kazadzis, S.; Balis, D.; Zerefos, C.S.; Blumthaler, M. Correcting global solar ultraviolet spectra recorded by a Brewer spectroradiometer for its angular response error. Appl. Opt. 1998, 37, 6339–6344. [Google Scholar] [CrossRef] [PubMed]
- Bais, A.F. Absolute spectral measurements of direct solar ultraviolet irradiance with a Brewer spectrophotometer. Appl. Opt. 1997, 36, 5199–5204. [Google Scholar] [CrossRef] [PubMed]
- Garane, K.; Bais, A.F.; Kazadzis, S.; Kazantzidis, A.; Meleti, C. Monitoring of UV spectral irradiance at Thessaloniki (1990? 2005): Data re-evaluation and quality control. Ann. Geophys. 2006, 24, 3215–3228. [Google Scholar] [CrossRef]
- Kazadzis, S.; Bais, A.; Kouremeti, N.; Gerasopoulos, E.; Garane, K.; Blumthaler, M.; Schallhart, B.; Cede, A. Direct spectral measurements with a Brewer spectroradiometer: Absolute calibration and aerosol optical depth retrieval. Appl. Opt. 2005, 44, 1681–1690. [Google Scholar] [CrossRef]
- Giles, D.M.; Sinyuk, A.; Sorokin, M.G.; Schafer, J.S.; Smirnov, A.; Slutsker, I.; Eck, T.F.; Holben, B.N.; Lewis, J.R.; Campbell, J.R.; et al. Advancements in the Aerosol Robotic Network (AERONET) Version 3 database—Automated near-real-time quality control algorithm with improved cloud screening for Sun photometer aerosol optical depth (AOD) measurements. Atmos. Meas. Tech. 2019, 12, 169–209. [Google Scholar] [CrossRef]
- Gröbner, J.; Meleti, C. Aerosol optical depth in the UVB and visible wavelength range from Brewer spectrophotometer direct irradiance measurements: 1991–2002. J. Geophys. Res. Atmos. 2004, 109. [Google Scholar] [CrossRef]
- Kazadzis, S.; Bais, A.; Amiridis, V.; Balis, D.; Meleti, C.; Kouremeti, N.; Zerefos, C.S.; Rapsomanikis, S.; Petrakakis, M.; Kelesis, A.; et al. Nine years of UV aerosol optical depth measurements at Thessaloniki, Greece. Atmos. Chem. Phys. 2007, 7, 2091–2101. [Google Scholar] [CrossRef]
- Fountoulakis, I.; Redondas, A.; Bais, A.F.; Rodriguez-Franco, J.J.; Fragkos, K.; Cede, A. Dead time effect on the Brewer measurements: Correction and estimated uncertainties. Atmos. Meas. Tech. 2016, 9, 1799–1816. [Google Scholar] [CrossRef]
- Gröbner, J.; Redondas, A.; Lakkala, K.; Serrano, A.; Vilaplana, J.M.; León-Luis, S.F.; Karppinen, T.; Fountoulakis, I.; Hülsen, G.; Egli, L.; et al. Spectral UV measurements within EUBREWNET. In Proceedings of the European Conference on Solar UV Monitoring UV Monitoring in the European Countries—Past, Present and Future, University of Veterinary Medicine, Vienna, Austria, 12–14 September 2018. [Google Scholar]
- Zempila, M.M.; van Geffen, J.H.G.M.; Taylor, M.; Fountoulakis, I.; Koukouli, M.E.; van Weele, M.; van der A, R.J.; Bais, A.; Meleti, C.; Balis, D. TEMIS UV product validation using NILU-UV ground-based measurements in Thessaloniki, Greece. Atmos. Chem. Phys. 2017, 17, 7157–7174. [Google Scholar] [CrossRef]
- Emde, C.; Buras-Schnell, R.; Kylling, A.; Mayer, B.; Gasteiger, J.; Hamann, U.; Kylling, J.; Richter, B.; Pause, C.; Dowling, T.; et al. The libRadtran software package for radiative transfer calculations (version 2.0.1). Geosci. Model Dev. 2016, 9, 1647–1672. [Google Scholar] [CrossRef]
- Anderson, G.P.; Clough, S.A.; Kneizys, F.X.; Chetwynd, J.H.; Shettle, E.P. AFGL Atmospheric Constituent Profiles (0–120 km); Technical Report No. AFGL-TR-86-0110; Optical Physics Division, Air Force Geophysics Laboratory: Hanscom afb Massachusetts 01731 1986. Available online: https://www.researchgate.net/publication/235054307_AFGL_Atmospheric_Constituent_Profiles_0120km (accessed on 18 September 2019).
- Buras, R.; Dowling, T.; Emde, C. New secondary-scattering correction in DISORT with increased efficiency for forward scattering. J. Quant. Spectrosc. Radiat. Transf. 2011, 112, 2028–2034. [Google Scholar] [CrossRef]
- Shettle, E.P. Models of aerosols, clouds and precipitation for atmospheric propagation studies, in Atmospheric Popagation in the UV, Visible, ir and mm-Region and Related System Aspects. Agard Conf. Proc. 1989. Available online: https://www.researchgate.net/publication/234312286_Models_of_aerosols_clouds_and_precipitation_for_atmospheric_propagation_studies (accessed on 18 September 2019).
- Vasaras, A.; Bais, A.F.; Feister, U.; Zerefos, C.S. Comparison of two methods for cloud flagging of spectral UV measurements. Atmos. Res. 2001, 57, 31–42. [Google Scholar] [CrossRef]
- Bond, T.C.; Doherty, S.J.; Fahey, D.W.; Forster, P.M.; Berntsen, T.; DeAngelo, B.J.; Flanner, M.G.; Ghan, S.; Kärcher, B.; Koch, D.; et al. Bounding the role of black carbon in the climate system: A scientific assessment. J. Geophys. Res. Atmos. 2013, 118, 5380–5552. [Google Scholar] [CrossRef]
- Fountoulakis, I.; Redondas, A.; Lakkala, K.; Berjon, A.; Bais, A.F.; Doppler, L.; Feister, U.; Heikkila, A.; Karppinen, T.; Karhu, J.M.; et al. Temperature dependence of the Brewer global UV measurements. Atmos. Meas. Tech. 2017, 10, 4491–4505. [Google Scholar] [CrossRef]
- Fountoulakis, I. Long Term Trends of the Spectral Solar UV Radiation. Ph.D. Thesis, Aristotle University of Thessaloniki, Thessaloniki, Greece, 2016. [Google Scholar]
- Berjón, A.; Redondas, A.; Sildoja, M.M.; Nevas, S.; Wilson, K.; León-Luis, S.F.; el Gawhary, O.; Fountoulakis, I. Sensitivity study of the instrumental temperature corrections on Brewer total ozone column measurements. Atmos. Meas. Tech. 2018, 11, 3323–3337. [Google Scholar] [CrossRef]
- Blanc, P.; Espinar, B.; Geuder, N.; Gueymard, C.; Meyer, R.; Pitz-Paal, R.; Reinhardt, B.; Renné, D.; Sengupta, M.; Wald, L.; et al. Direct normal irradiance related definitions and applications: The circumsolar issue. Sol. Energy 2014, 110, 561–577. [Google Scholar] [CrossRef]
- Gueymard, C.A. Parameterized transmittance model for direct beam and circumsolar spectral irradiance. Sol. Energy 2001, 71, 325–346. [Google Scholar] [CrossRef]
- Bernhard, G.; Seckmeyer, G. Uncertainty of measurements of spectral solar UV irradiance. J. Geophys. Res. Atmos. 1999, 104, 14321–14345. [Google Scholar] [CrossRef]
- Gröbner, J.; Blumthaler, M.; Kazadzis, S.; Bais, A.; Webb, A.; Schreder, J.; Seckmeyer, G.; Rembges, D. Quality assurance of spectral solar UV measurements: Results from 25 UV monitoring sites in Europe, 2002 to 2004. Metrologia 2006, 43, S66–S71. [Google Scholar] [CrossRef]
- Lakkala, K.; Arola, A.; Heikkilä, A.; Kaurola, J.; Koskela, T.; Kyrö, E.; Lindfors, A.; Meinander, O.; Tanskanen, A.; Gröbner, J.; et al. Quality assurance of the Brewer spectral UV measurements in Finland. Atmos. Chem. Phys. 2008, 8, 3369–3383. [Google Scholar] [CrossRef]
- Gröbner, J.; Wardle, D.I.; McElroy, C.T.; Kerr, J.B. Investigation of the wavelength accuracy of Brewer spectrophotometers. Appl. Opt. 1998, 37, 8352–8360. [Google Scholar] [CrossRef] [PubMed]
- Cede, A.; Kazadzis, S.; Kowalewski, M.; Bais, A.; Kouremeti, N.; Blumthaler, M.; Herman, J. Correction of direct irradiance measurements of Brewer spectrophotometers due to the effect of internal polarization. Geophys. Res. Lett. 2006, 33. [Google Scholar] [CrossRef]
- Savastiouk, V. Improvements to the Direct-Sun Ozone Observations Taken with the Brewer Spectrophotometer. Ph.D. Thesis, York University, Toronto, ON, Canada, 2005. [Google Scholar]
- Carlund, T.; Kouremeti, N.; Kazadzis, S.; Grobner, J. Aerosol optical depth determination in the UV using a four-channel precision filter radiometer. Atmos. Meas. Tech. 2017, 10, 905–923. [Google Scholar] [CrossRef]
- Amiridis, V.; Balis, D.S.; Kazadzis, S.; Bais, A.; Giannakaki, E.; Papayannis, A.; Zerefos, C. Four-year aerosol observations with a Raman lidar at Thessaloniki, Greece, in the framework of European Aerosol Research Lidar Network (EARLINET). J. Geophys. Res. Atmos. 2005, 110. [Google Scholar] [CrossRef]
- Balis, D.S.; Amiridis, V.; Zerefos, C.; Gerasopoulos, E.; Andreae, M.; Zanis, P.; Kazantzidis, A.; Kazadzis, S.; Papayannis, A. Raman lidar and sunphotometric measurements of aerosol optical properties over Thessaloniki, Greece during a biomass burning episode. Atmos. Environ. 2003, 37, 4529–4538. [Google Scholar] [CrossRef]
- Giannakaki, E.; Balis, D.S.; Amiridis, V.; Zerefos, C. Optical properties of different aerosol types: Seven years of combined Raman-elastic backscatter lidar measurements in Thessaloniki, Greece. Atmos. Meas. Tech. 2010, 3, 569–578. [Google Scholar] [CrossRef]
- Siomos, N.; Balis, D.S.; Voudouri, K.A.; Giannakaki, E.; Filioglou, M.; Amiridis, V.; Papayannis, A.; Fragkos, K. Are EARLINET and AERONET climatologies consistent? The case of Thessaloniki, Greece. Atmos. Chem. Phys. 2018, 18, 11885–11903. [Google Scholar] [CrossRef]
- Siomos, N.; Filioglou, M.; Poupkou, A.; Liora, N.; Dimopoulos, S.; Melas, D.; Chaikovsky, A.; Balis, D. Vertical separation of desert dust and biomass burning aerosol layers over Thessaloniki using the synergy of sunphotometer and lidar data. In Proceedings of Perspectives on Atmospheric Sciences; Springer: Cham, Switzerland, 2017; pp. 817–822. [Google Scholar]
- Voudouri, K.A.; Siomos, N.; Michailidis, K.; Papagiannopoulos, N.; Mona, L.; Cornacchia, C.; Nicolae, D.; Balis, D. Comparison of two automated aerosol typing methods and their application on an EARLINET station. Atmos. Chem. Phys. Discuss. 2018, 2018, 1–22. [Google Scholar] [CrossRef]
- Papagiannopoulos, N.; Mona, L.; Amodeo, A.; D’Amico, G.; Gumà Claramunt, P.; Pappalardo, G.; Alados-Arboledas, L.; Guerrero-Rascado, J.L.; Amiridis, V.; Kokkalis, P.; et al. An automatic observation-based aerosol typing method for EARLINET. Atmos. Chem. Phys. 2018, 18, 15879–15901. [Google Scholar] [CrossRef]
- Drosoglou, T.; Bais, A.F.; Zyrichidou, I.; Kouremeti, N.; Poupkou, A.; Liora, N.; Giannaros, C.; Koukouli, M.E.; Balis, D.; Melas, D. Comparisons of ground-based tropospheric NO2 MAX-DOAS measurements to satellite observations with the aid of an air quality model over the Thessaloniki area, Greece. Atmos. Chem. Phys. 2017, 17, 5829–5849. [Google Scholar] [CrossRef]
- Kouremeti, N.; Bais, A.F.; Balis, D.; Zyrichidou, I. Phaethon: A system for the validation of satellite derived atmospheric columns of trace gases. In Proceedings of Advances in Meteorology, Climatology and Atmospheric Physics; Springer: Berlin/Heidelberg, Germany, 2013; pp. 1081–1088. [Google Scholar]
- Wang, Y.; Puķīte, J.; Wagner, T.; Donner, S.; Beirle, S.; Hilboll, A.; Vrekoussis, M.; Richter, A.; Apituley, A.; Piters, A.; et al. Vertical Profiles of Tropospheric Ozone From MAX-DOAS Measurements During the CINDI-2 Campaign: Part 1—Development of a New Retrieval Algorithm. J. Geophys. Res. Atmos. 2018, 123, 637–610,670. [Google Scholar] [CrossRef]
- Fragkos, K.; Bais, A.F.; Balis, D.; Meleti, C.; Koukouli, M.E. The Effect of Three Different Absorption Cross-Sections and their Temperature Dependence on Total Ozone Measured by a Mid-Latitude Brewer Spectrophotometer. Atmos. Ocean 2015, 53, 19–28. [Google Scholar] [CrossRef]
- Feister, U.; Grewe, R. Spectral albedo measurements in the UV and visible region over different types of surfaces. Photochem. Photobiol. 1995, 62, 736–744. [Google Scholar] [CrossRef]
- Arola, A.; Koskela, T. On the sources of bias in aerosol optical depth retrieval in the UV range. J. Geophys. Res. Atmos. 2004, 109. [Google Scholar] [CrossRef]
- Kazadzis, S. Personal communication, 2019.
- Dubovik, O.; Smirnov, A.; Holben, B.N.; King, M.D.; Kaufman, Y.J.; Eck, T.F.; Slutsker, I. Accuracy assessments of aerosol optical properties retrieved from Aerosol Robotic Network (AERONET) Sun and sky radiance measurements. J. Geophys. Res. Atmos. 2000, 105, 9791–9806. [Google Scholar] [CrossRef]
- Torres, B.; Dubovik, O.; Toledano, C.; Berjon, A.; Cachorro, V.E.; Lapyonok, T.; Litvinov, P.; Goloub, P. Sensitivity of aerosol retrieval to geometrical configuration of ground-based sun/sky radiometer observations. Atmos. Chem. Phys. 2014, 14, 847–875. [Google Scholar] [CrossRef]
- Bergstrom, R.W.; Pilewskie, P.; Russell, P.B.; Redemann, J.; Bond, T.C.; Quinn, P.K.; Sierau, B. Spectral absorption properties of atmospheric aerosols. Atmos. Chem. Phys. 2007, 7, 5937–5943. [Google Scholar] [CrossRef]
- Hess, M.; Koepke, P.; Schult, I. Optical Properties of Aerosols and Clouds: The Software Package OPAC. Bull. Am. Meteorol. Soc. 1998, 79, 831–844. [Google Scholar] [CrossRef]
- Koepke, P.; Gasteiger, J.; Hess, M. Technical Note: Optical properties of desert aerosol with non-spherical mineral particles: Data incorporated to OPAC. Atmos. Chem. Phys. 2015, 15, 5947–5956. [Google Scholar] [CrossRef]
- Katragkou, E.; Kazadzis, S.; Amiridis, V.; Papaioannou, V.; Karathanasis, S.; Melas, D. PM10 regional transport pathways in Thessaloniki, Greece. Atmos. Environ. 2009, 43, 1079–1085. [Google Scholar] [CrossRef]
- Koukouli, M.E.; Balis, D.S.; Amiridis, V.; Kazadzis, S.; Bais, A.; Nickovic, S.; Torres, O. Aerosol variability over Thessaloniki using ground based remote sensing observations and the TOMS aerosol index. Atmos. Environ. 2006, 40, 5367–5378. [Google Scholar] [CrossRef]
- Diapouli, E.; Manousakas, M.; Vratolis, S.; Vasilatou, V.; Maggos, T.; Saraga, D.; Grigoratos, T.; Argyropoulos, G.; Voutsa, D.; Samara, C.; et al. Evolution of air pollution source contributions over one decade, derived by PM10 and PM2.5 source apportionment in two metropolitan urban areas in Greece. Atmos. Environ. 2017, 164, 416–430. [Google Scholar] [CrossRef]
- Vouitsis, I.; Amanatidis, S.; Ntziachristos, L.; Kelessis, A.; Petrakakis, M.; Stamos, I.; Mitsakis, E.; Samaras, Z. Daily and seasonal variation of traffic related aerosol pollution in Thessaloniki, Greece, during the financial crisis. Atmos. Environ. 2015, 122, 577–587. [Google Scholar] [CrossRef]
- Järvi, L.; Rannik, Ü.; Mammarella, I.; Sogachev, A.; Aalto, P.P.; Keronen, P.; Siivola, E.; Kulmala, M.; Vesala, T. Annual particle flux observations over a heterogeneous urban area. Atmos. Chem. Phys. 2009, 9, 7847–7856. [Google Scholar] [CrossRef]
- Saffari, A.; Daher, N.; Samara, C.; Voutsa, D.; Kouras, A.; Manoli, E.; Karagkiozidou, O.; Vlachokostas, C.; Moussiopoulos, N.; Shafer, M.M.; et al. Increased Biomass Burning Due to the Economic Crisis in Greece and Its Adverse Impact on Wintertime Air Quality in Thessaloniki. Environ. Sci. Technol. 2013, 47, 13313–13320. [Google Scholar] [CrossRef] [PubMed]
- Balis, D.S.; Amiridis, V.; Nickovic, S.; Papayannis, A.; Zerefos, C. Optical properties of Saharan dust layers as detected by a Raman lidar at Thessaloniki, Greece. Geophys. Res. Lett. 2004, 31. [Google Scholar] [CrossRef]
- Florou, K.; Papanastasiou, D.K.; Pikridas, M.; Kaltsonoudis, C.; Louvaris, E.; Gkatzelis, G.I.; Patoulias, D.; Mihalopoulos, N.; Pandis, S.N. The contribution of wood burning and other pollution sources to wintertime organic aerosol levels in two Greek cities. Atmos. Chem. Phys. 2017, 17, 3145–3163. [Google Scholar] [CrossRef]
- Zyrichidou, I.; Balis, D.; Koukouli, M.E.; Drosoglou, T.; Bais, A.; Gratsea, M.; Gerasopoulos, E.; Liora, N.; Poupkou, A.; Giannaros, C.; et al. Adverse results of the economic crisis: A study on the emergence of enhanced formaldehyde (HCHO) levels seen from satellites over Greek urban sites. Atmos. Res. 2019, 224, 42–51. [Google Scholar] [CrossRef]
- Fameli, K.-M.; Assimakopoulos, V.D. The new open Flexible Emission Inventory for Greece and the Greater Athens Area (FEI-GREGAA): Account of pollutant sources and their importance from 2006 to 2012. Atmos. Environ. 2016, 137, 17–37. [Google Scholar] [CrossRef]
- Paschalidou, A.K.; Kassomenos, P.A.; Kelessis, A. Tracking the association between metro-railway construction works and PM levels in an urban Mediterranean environment. Sci. Total Environ. 2016, 568, 1326–1332. [Google Scholar] [CrossRef] [PubMed]
- Sarigiannis, D.A.; Karakitsios, S.P.; Kermenidou, M.; Nikolaki, S.; Zikopoulos, D.; Semelidis, S.; Papagiannakis, A.; Tzimou, R. Total exposure to airborne particulate matter in cities: The effect of biomass combustion. Sci. Total Environ. 2014, 493, 795–805. [Google Scholar] [CrossRef] [PubMed]
- Dubovik, O.; King, M.D. A flexible inversion algorithm for retrieval of aerosol optical properties from Sun and sky radiance measurements. J. Geophys. Res. Atmos. 2000, 105, 20673–20696. [Google Scholar] [CrossRef]
- Rimmer, J.S.; Redondas, A.; Karppinen, T. EuBrewNet—A European Brewer network (COST Action ES1207), an overview. Atmos. Chem. Phys. 2018, 18, 10347–10353. [Google Scholar] [CrossRef]
- López-Solano, J.; Redondas, A.; Carlund, T.; Rodriguez-Franco, J.J.; Diémoz, H.; León-Luis, S.F.; Hernández-Cruz, B.; Guirado-Fuentes, C.; Kouremeti, N.; Gröbner, J.; et al. Aerosol optical depth in the European Brewer Network. Atmos. Chem. Phys. 2018, 18, 3885–3902. [Google Scholar] [CrossRef]






| 320–360 nm (SZA < 70°) | ||||
| Uncertainty factor | SSA (all) | SSA (AOD > 0.3) | AAOD (all) | AAOD (AOD > 0.3) |
| DG ratio | 0.15 | 0.03 | 0.03 | 0.03 |
| AOD | 0.25 | 0.10 | 0.04 | 0.04 |
| Asymmetry parameter | 0.04 | 0.04 | 0.03 | 0.03 |
| Default aerosol extinction profile | 0.02 | 0.02 | 0.01 | 0.01 |
| Default SSA profile | >0.02 | 0.01 | 0.01 | 0.01 |
| Surface albedo | 0.02 | 0.02 | 0.01 | 0.01 |
| Other parameters | <0.01 | <0.01 | <0.01 | <0.01 |
| Overall standard uncertainty (320–360 nm) | >0.30 | 0.12 | 0.06 | 0.06 |
| 310 nm (SZA < 55°) | ||||
| Uncertainty factor | SSA (all) | SSA (AOD > 0.3) | AAOD (all) | AAOD (AOD > 0.3) |
| DG ratio | 0.20 | 0.05 | 0.04 | 0.04 |
| AOD | 0.40 | 0.20 | 0.07 | 0.07 |
| Default aerosol extinction profile | 0.04 | 0.04 | 0.03 | 0.03 |
| Asymmetry parameter | 0.04 | 0.04 | 0.03 | 0.03 |
| Default SSA profile | >0.02 | 0.01 | 0.01 | 0.01 |
| Surface albedo | 0.02 | 0.02 | 0.01 | 0.01 |
| Other parameters | <0.01 | <0.01 | <0.01 | <0.01 |
| Overall standard uncertainty (310 nm) | >0.45 | 0.22 | 0.09 | 0.09 |
© 2019 by the authors. Licensee MDPI, Basel, Switzerland. This article is an open access article distributed under the terms and conditions of the Creative Commons Attribution (CC BY) license (http://creativecommons.org/licenses/by/4.0/).
Share and Cite
Fountoulakis, I.; Natsis, A.; Siomos, N.; Drosoglou, T.; Bais, A.F. Deriving Aerosol Absorption Properties from Solar Ultraviolet Radiation Spectral Measurements at Thessaloniki, Greece. Remote Sens. 2019, 11, 2179. https://doi.org/10.3390/rs11182179
Fountoulakis I, Natsis A, Siomos N, Drosoglou T, Bais AF. Deriving Aerosol Absorption Properties from Solar Ultraviolet Radiation Spectral Measurements at Thessaloniki, Greece. Remote Sensing. 2019; 11(18):2179. https://doi.org/10.3390/rs11182179
Chicago/Turabian StyleFountoulakis, Ilias, Athanasios Natsis, Nikolaos Siomos, Theano Drosoglou, and Alkiviadis F. Bais. 2019. "Deriving Aerosol Absorption Properties from Solar Ultraviolet Radiation Spectral Measurements at Thessaloniki, Greece" Remote Sensing 11, no. 18: 2179. https://doi.org/10.3390/rs11182179
APA StyleFountoulakis, I., Natsis, A., Siomos, N., Drosoglou, T., & Bais, A. F. (2019). Deriving Aerosol Absorption Properties from Solar Ultraviolet Radiation Spectral Measurements at Thessaloniki, Greece. Remote Sensing, 11(18), 2179. https://doi.org/10.3390/rs11182179

