A Bayesian Hydrometeor Classification Algorithm for C-Band Polarimetric Radar
Abstract
:1. Introduction
2. Instruments and Data
3. The Bayesian Hydrometeor Classification Method
3.1. Bayesian Classification Concept
3.2. The Conditional Likelihood PDFs of Radar Variables
3.3. The Prior PDFs of Hydrometeor Types
4. Analyses and Results
4.1. Validation Concept
4.2. Squall Line
4.3. Isolated Deep Convection
4.4. Biological Scatterers and Ground Clutter on 24 July 2014
4.5. Agreement Analysis
5. Conclusions
Author Contributions
Funding
Acknowledgments
Conflicts of Interest
References
- Straka, J.M.; Zrnić, D.S.; Ryzhkov, A.V. Bulk hydrometeor classification and quantification using polarimetric radar data: synthesis of relations. J. Appl. Meteorol. 2000, 39, 1341–1372. [Google Scholar] [CrossRef]
- Ryzhkov, A.V.; Zrnic, D.S. Discriminaton between rain and snow with a polarimetric radar. J. Appl. Meteorol. 1998, 37, 1228–1240. [Google Scholar] [CrossRef]
- Zrnić, D.A.S.; Ryzhkov, A.; Straka, J.; Liu, Y.; Vivekanandan, J. Testing a procedure for automatic classification of hydrometeor types. J. Atmos. Ocean. Technol. 2001, 18, 892–913. [Google Scholar] [CrossRef]
- Kumjian, M.R.; Deierling, W. Analysis of thundersnow storms over Northern Colorado. Weather Forecast. 2015, 30, 1469–1490. [Google Scholar] [CrossRef]
- Wen, J.; Zhao, K.; Huang, H.; Zhou, B.; Yang, Z.; Chen, G.; Wang, M.; Wen, L.; Dai, H.; Xu, L.; et al. Evolution of microphysical structure of a subtropical squall line observed by a polarimetric radar and a disdrometer during OPACC in Eastern China. J. Geophys. Res. Atmos. 2017, 122, 8033–8050. [Google Scholar] [CrossRef]
- Ryzhkov, A.V.; Kumjian, M.R.; Ganson, S.M.; Zhang, P. Polarimetric Radar Characteristics of Melting Hail. Part II: Practical Implications. J. Appl. Meteorol. Climatol. 2013, 52, 2871–2886. [Google Scholar] [CrossRef]
- Wang, J.; Zhou, S.; Yang, B.; Meng, X.; Zhou, B. Nowcasting cloud-to-ground lightning over Nanjing area using S-band dual-polarization doppler radar. Atmos. Res. 2016, 178, 55–64. [Google Scholar] [CrossRef]
- Mahale, V.N.; Zhang, G.; Xue, M. Fuzzy Logic Classification of S-band polarimetric radar echoes to identify three-body scattering and improve data quality. J. Appl. Meteorol. Climatol. 2014, 53, 2017–2033. [Google Scholar] [CrossRef]
- Giangrande, S.E.; Ryzhkov, A.V. Estimation of rainfall based on the results of polarimetric echo classification. J. Appl. Meteorol. Climatol. 2008, 47, 2445–2462. [Google Scholar] [CrossRef]
- Dolan, B.; Rutledge, S.A. A Theory-based hydrometeor identification algorithm for X-band polarimetric radars. J. Atmos. Ocean. Technol. 2009, 26, 2071–2088. [Google Scholar] [CrossRef]
- Park, H.S.; Ryzhkov, A.V.; Zrnić, D.S.; Kim, K.-E. The hydrometeor classification algorithm for the polarimetric WSR-88D: Description and application to an MCS. Weather Forecast. 2009, 24, 730–748. [Google Scholar] [CrossRef]
- Dolan, B.; Rutledge, S.A.; Lim, S.; Chandrasekar, V.; Thurai, M. A Robust C-band hydrometeor identification algorithm and application to a long-term polarimetric radar dataset. J. Appl. Meteorol. Climatol. 2013, 52, 2162–2186. [Google Scholar] [CrossRef]
- Liu, H.; Chandrasekar, V. Classification of hydrometeors based on polarimetric radar measurements: development of fuzzy logic and neuro-fuzzy systems, and in situ verification. J. Atmos. Ocean. Technol. 2000, 17, 140–164. [Google Scholar] [CrossRef]
- Marzano, F.S.; Scaranari, D.; Vulpiani, G. Supervised fuzzy-logic classification of hydrometeors using C-band weather radars. IEEE Trans. Geosci. Remote Sens. 2007, 45, 3784–3799. [Google Scholar] [CrossRef]
- Snyder, J.C.; Ryzhkov, A.V. Automated detection of polarimetric tornadic debris signatures using a hydrometeor classification algorithm. J. Appl. Meteorol. Climatol. 2015, 54, 1861–1870. [Google Scholar] [CrossRef]
- Vivekanandan, J.; Zrnic, D.S.; Ellis, S.M.; Oye, R.; Ryzhkov, A.V.; Straka, J. Cloud microphysics retrieval using S-band dual-polarization radar measurements. Bull. Am. Meteorol. Soc. 1999, 80, 381–388. [Google Scholar] [CrossRef]
- Lim, S.; Chandrasekar, V.; Bringi, V.N. Hydrometeor classification system using dual-polarization radar measurements: Model improvements and in situ verification. IEEE Trans. Geosci. Remote Sens. 2005, 43, 792–801. [Google Scholar] [CrossRef]
- Wen, G.; Protat, A.; May, P.T.; Wang, X.; Moran, W. A cluster-based method for hydrometeor classification using polarimetric variables. Part I: interpretation and analysis. J. Atmos. Ocean. Technol. 2015, 32, 1320–1340. [Google Scholar] [CrossRef]
- Kouketsu, T.; Uyeda, H.; Ohigashi, T.; Oue, M.; Takeuchi, H.; Shinoda, T.; Tsuboki, K.; Kubo, M.; Muramoto, K.-I. A hydrometeor classification method for X-band polarimetric radar: Construction and validation focusing on solid hydrometeors under moist environments. J. Atmos. Ocean. Technol. 2015, 32, 2052–2074. [Google Scholar] [CrossRef]
- Wen, G.; Protat, A.; May, P.T.; Moran, W.; Dixon, M. A cluster-based method for hydrometeor classification using polarimetric variables. Part II: Classification. J. Atmos. Ocean. Technol. 2016, 33, 45–60. [Google Scholar] [CrossRef]
- Al-Sakka, H.; Boumahmoud, A.-A.; Fradon, B.; Frasier, S.J.; Tabary, P. A New fuzzy logic hydrometeor classification scheme applied to the french X-, C-, and S-band polarimetric radars. J. Appl. Meteorol. Climatol. 2013, 52, 2328–2344. [Google Scholar] [CrossRef]
- Bechini, R.; Chandrasekar, V. A Semisupervised robust hydrometeor classification method for dual-polarization radar applications. J. Atmos. Ocean. Technol. 2014, 32, 22–47. [Google Scholar] [CrossRef]
- Marzano, F.S.; Scaranari, D.; Montopoli, M.; Vulpiani, G.; Anagnostou, M.N.; Anagnostou, E.N. Bayesian classification of hydrometeors from polarimetric radars at S- and X- bands: algorithm design and experimental comparisons. In Proceedings of the 2007 IEEE International Geoscience and Remote Sensing Symposium, Barcelona, Spain, 23–28 July 2007; pp. 4156–4159. [Google Scholar]
- Marzano, F.S.; Scaranari, D.; Montopoli, M.; Vulpiani, G. Supervised classification and estimation of hydrometeors from C-band dual-polarized radars: A Bayesian approach. IEEE Trans. Geosci. Remote Sens. 2008, 46, 85–98. [Google Scholar] [CrossRef]
- Gourley, J.J.; Tabary, P.; Parent du Chatelet, J. A fuzzy logic algorithm for the separation of precipitating from nonprecipitating echoes using polarimetric radar observations. J. Atmos. Ocean. Technol. 2007, 24, 1439–1451. [Google Scholar] [CrossRef]
- Bukovčić, P.; Zrnić, D.; Zhang, G. Convective–stratiform separation using video disdrometer observations in central Oklahoma—The Bayesian approach. Atmos. Res. 2015, 155, 176–191. [Google Scholar] [CrossRef]
- Xue, M. Preface to the special issue on the “Observation, prediction and analysis of severe convection of China” (OPACC) national “973” Projec. Adv. Atmos. Sci. 2016, 33, 1099–1101. [Google Scholar] [CrossRef]
- Huang, H.; Zhang, G.; Zhao, K.; Giangrande, S. A Hybrid method to estimate specific differential phase and rainfall with linear programming and physics constraints. IEEE Trans. Geosci. Remote Sens. 2016, 55, 1–16. [Google Scholar] [CrossRef]
- Sampe, T.; Xie, S.-P. Large-scale dynamics of the Meiyu-Baiu rainband: Environmental forcing by the westerly jet. J. Clim. 2010, 23, 113–134. [Google Scholar] [CrossRef]
- Wang, Y.; Chandrasekar, V. Algorithm for estimation of the specific differential phase. J. Atmos. Ocean. Technol. 2009, 26, 2565–2578. [Google Scholar] [CrossRef]
- Bringi, V.N.; Chandrasekar, V.; Balakrishnan, N.; Zrnic, D.S. An examination of propagation effects in rainfall on radar measurements at microwave frequencies. J. Atmos. Ocean. Technol. 1990, 7, 829–840. [Google Scholar] [CrossRef]
- Berenguer, M.; Sempere-Torres, D.; Corral, C.; Sánchez-Diezma, R. A fuzzy logic technique for identifying nonprecipitating echoes in radar scans. J. Atmos. Ocean. Technol. 2006, 23, 1157–1180. [Google Scholar] [CrossRef]
- Cho, Y.-H.; Lee, G.W.; Kim, K.-E.; Zawadzki, I. Identification and removal of ground echoes and anomalous propagation using the characteristics of radar echoes. J. Atmos. Ocean. Technol. 2006, 23, 1206–1222. [Google Scholar] [CrossRef]
- Hubbert, J.C.; Dixon, M.; Ellis, S.M. Weather radar ground clutter. Part II: Real-time identification and filtering. J. Atmos. Ocean. Technol. 2009, 26, 1181–1197. [Google Scholar] [CrossRef]
- Elmore, K.L. The NSSL hydrometeor classification algorithm in winter surface precipitation: Evaluation and future development. Weather Forecast. 2011, 26, 756–765. [Google Scholar] [CrossRef]
- Thompson, E.J.; Rutledge, S.A.; Dolan, B.; Chandrasekar, V.; Cheong, B.L. A dual-polarization radar hydrometeor classification algorithm for winter precipitation. J. Atmos. Ocean. Technol. 2014, 31, 1457–1481. [Google Scholar] [CrossRef]
- Schuur, T.J.; Park, H.-S.; Ryzhkov, A.V.; Reeves, H.D. Classification of precipitation types during transitional winter weather using the RUC model and polarimetric radar retrievals. J. Appl. Meteorol. Climatol. 2012, 51, 763–779. [Google Scholar] [CrossRef]
- Snyder, J.C.; Bluestein, H.B.; Zhang, G.; Frasier, S.J. Attenuation correction and hydrometeor classification of high-resolution, X-band, dual-polarized mobile radar measurements in severe convective storms. J. Atmos. Ocean. Technol. 2010, 27, 1979–2001. [Google Scholar] [CrossRef]
- Meneghini, R.; Liang, L. Dielectric constants for melting hydrometeors as derived from a numerical method. In Proceedings of the IGARSS ’96. 1996 International Geoscience and Remote Sensing Symposium, Lincoln, NE, USA, 31 May 1996; pp. 16–18. [Google Scholar]
- Carey, L.D.; Rutledge, S.A. The relationship between precipitation and lightning in tropical island convection: A C-band polarimetric radar study. Mon. Weather Rev. 2000, 128, 2687–2710. [Google Scholar] [CrossRef]
- Rowe, A.K.; Houze, R.A., Jr. Microphysical characteristics of MJO convection over the Indian Ocean during DYNAMO. J. Geophys. Res. Atmos. 2014, 119, 2543–2554. [Google Scholar] [CrossRef]






| Variables | Classes | a | b | c | d | Equation Type |
|---|---|---|---|---|---|---|
| ZH | HA | 2.82 × 10−13 | 7.9284 | 17.327 | 5.1301 | 4 |
| RN | 0.0221 | 1.1047 | 127.29 | 1.2649 | 3 | |
| GR | 2578.2 | −0.303 | 17.135 | 3.9478 | 4 | |
| CR | 0.1546 | 0.6202 | 2.9539 | 1.8152 | 3 | |
| WS | 0.2814 | 0.3391 | 10.649 | 1.6386 | 3 | |
| DS | 0.0660 | 0.8216 | 2.51 × 10−6 | 4.0119 | 3 | |
| BS | 4427.0 | −0.780 | 0.9446 | 1.3140 | 4 | |
| GC | 0.6599 | 0.0033 | 2.4841 | 3.6438 | 4 | |
| ρhv | HA | 22.925 | 1.5322 | 146.26 | 4.1906 | 4 |
| RN | 1 | 1666.7 | 1 | - | 5 | |
| GR | 1997.4 | 24.519 | 63.508 | 345.21 | 4 | |
| CR | 1 | 2272.7 | 1 | - | 5 | |
| WS | 2.57 × 10−5 | 3.5618 | 0.0009 | 2.9922 | 3 | |
| DS | 1.3832 | −55.32 | 0.5360 | - | 5 | |
| BS | 150.40 | 0.4279 | 0.7031 | 1.9887 | 3 | |
| GC | 3.5356 | 0.3638 | 1.1735 | 2.3235 | 3 | |
| SD(ZH) | HA | 20.909 | 1.5322 | 146.26 | 4.1906 | 4 |
| RN | 8.9198 | −0.8192 | 0.9361 | 1.8218 | 4 | |
| GR | 0.8711 | −0.6537 | 1.0669 | 2.0824 | 4 | |
| CR | 7.4321 | −0.7811 | 0.9452 | 1.9085 | 4 | |
| WS | 7.4063 | −0.7553 | 0.9222 | 1.8085 | 4 | |
| DS | 7.4273 | −0.7605 | 0.9196 | 1.8863 | 4 | |
| BS | 4373.0 | −0.0008 | 0.0014 | 0.0026 | 3 | |
| GC | 24.942 | 0.0790 | 7.6961 | - | 5 | |
| SD(ΦDP) | HA | 21.816 | −0.6041 | 0.9501 | 1.5407 | 4 |
| RN | 3.7498 | −1.0723 | 1.1236 | 1.8026 | 4 | |
| GR | 75.554 | −0.7516 | 1.0656 | 1.8232 | 4 | |
| CR | 2.3996 | −0.6038 | 1.2830 | 1.5799 | 4 | |
| WS | 2.8006 | −0.7799 | 0.8447 | 1.8268 | 4 | |
| DS | 3.5388 | −0.9901 | 1.1997 | 1.7305 | 4 | |
| BS | 17587 | −1.4781 | 1.5339 | 1.9489 | 4 | |
| GC | 3.3987 | 0.0014 | 65.92 | - | 5 |
| Mean and Variance | Classes | ZH | ρhv | SD(ZH) | SD(ΦDP) |
|---|---|---|---|---|---|
| HA | 3.9700 | −0.1118 | −0.1665 | 0.5488 | |
| RN | 927.90 | - | 2.7593 | 1.2869 | |
| GR | 3.7197 | −0.0472 | −0.1257 | 0.2706 | |
| CR | 421.24 | - | 0.1993 | 0.2646 | |
| WS | 2079.1 | 8432.63 | 2.7739 | 1.6845 | |
| DS | 514.10 | - | 2.7037 | 1.3181 | |
| BS | 2.6037 | 0.2571 | 0.6383 | 3.5420 | |
| GC | 0.1808 | 0.4905 | - | - | |
| HA | 0.0010 | 0.0033 | 0.3662 | 0.2446 | |
| RN | 594.02 | - | 0.2058 | 0.1649 | |
| GR | 0.0141 | 0.0026 | 0.4443 | 0.2860 | |
| CR | 174.94 | - | 1.0108 | 1.0273 | |
| WS | 648.07 | 640.08 | 0.1857 | 0.1868 | |
| DS | 274.76 | - | 0.2023 | 0.1980 | |
| BS | 0.1285 | 0.1692 | 0.1900 | 0.4959 | |
| GC | 0.6668 | 0.1805 | - | - |
| Classes | |||||
|---|---|---|---|---|---|
| HA | 55.3953 | 5.2010 | −0.6632 | 0.6894 | 0 |
| RN | 32.3002 | 10.0542 | 2.0739 | 0.8770 | 0.1443 |
| GR | 41.6840 | 3.9131 | 0.2397 | 0.2555 | 0 |
| CR | 19.0370 | 3.4456 | 0.5944 | 0.3610 | 0.0303 |
| WS | 32.7988 | 4.5676 | 1.2486 | 0.4495 | 0.0308 |
| DS | 21.5010 | 3.1002 | 0.2014 | 0.3119 | 0.0751 |
| BS | 19.3775 | 4.0815 | 6.9877 | 1.8733 | 0.0847 |
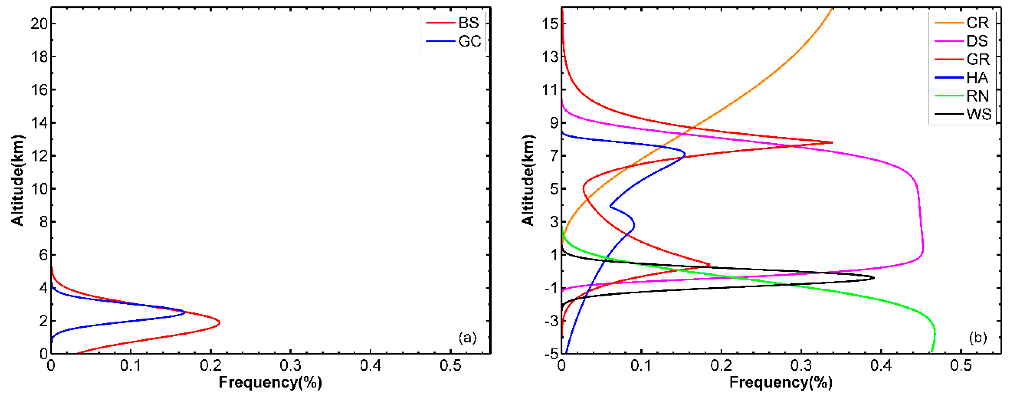
| a | Altitude (km) | GC | BS | Altitude (km) | WS | Altitude (km) | DS | |
| 0.5 | 7.63 × 10−2 | 1.02 × 10−4 | −3 | 1.43 × 10−6 | −2 | 0.0 | ||
| 1 | 0.140 | 0.003 | −2.5 | 1.11 × 10−4 | −1 | 0.010 | ||
| 1.5 | 0.196 | 0.026 | −2 | 0.003 | 0 | 0.353 | ||
| 2 | 0.210 | 0.106 | −1.5 | 0.042 | 1 | 0.451 | ||
| 2.5 | 0.172 | 1.68 × 10−1 | −1 | 0.201 | 2 | 0.452 | ||
| 3 | 0.108 | 1.06 × 10−1 | −0.5 | 0.385 | 3 | 0.450 | ||
| 3.5 | 0.052 | 2.63 × 10−2 | 0 | 0.293 | 4 | 0.448 | ||
| 4 | 0.019 | 2.60 × 10−3 | 0.5 | 8.75 × 10−2 | 5 | 0.445 | ||
| 4.5 | 0.005 | 1.02 × 10−4 | 1 | 1.04 × 10−2 | 6 | 0.432 | ||
| 5 | 1.18 × 10−3 | 1.58 × 10−6 | 1.5 | 4.90 × 10−4 | 7 | 0.368 | ||
| 5.5 | 1.95 × 10−4 | 9.69 × 10−9 | 2 | 9.14 × 10−6 | 8 | 0.212 | ||
| 6 | 2.47 × 10−5 | 2.36 × 10−11 | 2.5 | 6.75 × 10−8 | 9 | 4.87 × 10−2 | ||
| 6.5 | 0 | 0 | 3 | 0 | 10 | 1.95 × 10−3 | ||
| 7 | 0 | 0 | 3.5 | 0 | 11 | 4.11 × 10−6 | ||
| b | Altitude (km) | HA | Altitude (km) | RN | Altitude (km) | GR | Altitude (km) | CR |
| −5 | 0.006 | −4.5 | 0.465 | −3 | 0.002 | 0 | 0 | |
| −4 | 0.011 | −4 | 0.467 | −2 | 0.011 | 1 | 6.91 × 10−5 | |
| −3 | 0.018 | −3.5 | 0.467 | −1 | 0.045 | 2 | 0.002 | |
| −2 | 0.026 | −3 | 0.462 | 0 | 0.139 | 3 | 0.010 | |
| −1 | 0.036 | −2.5 | 0.448 | 1 | 0.144 | 4 | 0.025 | |
| 0 | 0.047 | −2 | 0.420 | 2 | 0.091 | 5 | 0.047 | |
| 1 | 0.060 | −1.5 | 0.375 | 3 | 0.058 | 6 | 0.075 | |
| 2 | 0.077 | −1 | 0.312 | 4 | 0.038 | 7 | 0.107 | |
| 3 | 0.090 | −0.5 | 0.235 | 5 | 0.027 | 8 | 0.141 | |
| 4 | 0.062 | 0 | 0.156 | 6 | 0.058 | 9 | 0.175 | |
| 5 | 0.085 | 0.5 | 0.089 | 7 | 0.169 | 10 | 0.208 | |
| 6 | 0.118 | 1 | 0.041 | 8 | 0.294 | 11 | 0.238 | |
| 7 | 0.154 | 1.5 | 0.015 | 9 | 0.125 | 12 | 0.265 | |
| 8 | 0.036 | 2 | 0.004 | 10 | 0.052 | 13 | 0.289 | |
| 9 | 0.023 | 2.5 | 0.001 | 11 | 0.022 | 14 | 0.309 | |
| 10 | 0.006 | 3 | 1.12 × 10−4 | 12 | 0.009 | 15 | 0.326 |
| a | BHCA | |||||||||
| Methods | Classes | HA | RN | GR | CR | WS | DS | BS | GC | |
| MBHC | HA | 31% | 33% | 21% | 0% | 2% | 11% | - | - | |
| RN | 0% | 92% | 0% | 0% | 3% | 3% | - | - | ||
| GR | 2% | 20% | 51% | 0% | 16% | 11% | - | - | ||
| CR | 0% | 0% | 4% | 13% | 0% | 83% | - | - | ||
| WS | 2% | 2% | 14% | 0% | 34% | 48% | - | - | ||
| DS | 0% | 0% | 6% | 1% | 0% | 92% | - | - | ||
| b | NFLC | HA | 57% | 37% | 6% | 0% | 0% | 0% | 0% | 0% |
| RN | 0% | 96% | 1% | 0% | 1% | 2% | 0% | 0% | ||
| GR | 6% | 12% | 73% | 0% | 1% | 2% | 0% | 0% | ||
| CR | 0% | 2% | 0% | 22% | 0% | 76% | 0% | 0% | ||
| WS | 0% | 16% | 9% | 0% | 69% | 6% | 0% | 0% | ||
| DS | 0% | 0% | 4% | 2% | 1% | 94% | 0% | 0% | ||
| BS | 0% | 4% | 0% | 0% | 0% | 0% | 93% | 3% | ||
| GC | 0% | 5% | 0% | 0% | 0% | 1% | 43% | 51% | ||
© 2019 by the authors. Licensee MDPI, Basel, Switzerland. This article is an open access article distributed under the terms and conditions of the Creative Commons Attribution (CC BY) license (http://creativecommons.org/licenses/by/4.0/).
Share and Cite
Yang, J.; Zhao, K.; Zhang, G.; Chen, G.; Huang, H.; Chen, H. A Bayesian Hydrometeor Classification Algorithm for C-Band Polarimetric Radar. Remote Sens. 2019, 11, 1884. https://doi.org/10.3390/rs11161884
Yang J, Zhao K, Zhang G, Chen G, Huang H, Chen H. A Bayesian Hydrometeor Classification Algorithm for C-Band Polarimetric Radar. Remote Sensing. 2019; 11(16):1884. https://doi.org/10.3390/rs11161884
Chicago/Turabian StyleYang, Ji, Kun Zhao, Guifu Zhang, Gang Chen, Hao Huang, and Haonan Chen. 2019. "A Bayesian Hydrometeor Classification Algorithm for C-Band Polarimetric Radar" Remote Sensing 11, no. 16: 1884. https://doi.org/10.3390/rs11161884
APA StyleYang, J., Zhao, K., Zhang, G., Chen, G., Huang, H., & Chen, H. (2019). A Bayesian Hydrometeor Classification Algorithm for C-Band Polarimetric Radar. Remote Sensing, 11(16), 1884. https://doi.org/10.3390/rs11161884

