Upscaling Gross Primary Production in Corn-Soybean Rotation Systems in the Midwest
Abstract
1. Introduction
2. Material and Methods
2.1. Study Sites
2.2. Eddy Covariance Datasets
2.3. Outlier Detection and Interpolation
2.4. NDVI Ground-Based Measurements
2.5. MODIS fPAR Products, and Land Use Maps
2.6. GPP Upscaling and Radiation Use Efficiency
2.7. Data Preparation, and Statistical Analysis
3. Results
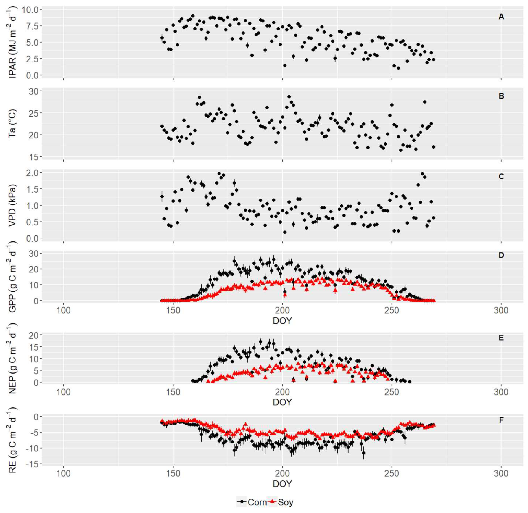
3.1. Eddy-Flux Station Data
3.2. MODIS fPAR vs NDVI
3.3. Upscaling GPP to County Level
4. Discussion
5. Conclusions
Supplementary Materials
Author Contributions
Funding
Acknowledgments
Conflicts of Interest
Abbreviations
| ACPF | Agricultural Conservation Planning Framework |
| AQY | apparent quantum yield |
| CI | confidence intervals |
| DOY | day of the year |
| ea | actual vapor pressure |
| es | saturated vapor pressure |
| EC | eddy covariance |
| fPAR | fraction of absorbed photosynthetic active radiation |
| Fc | carbon dioxide flux |
| GPP | gross primary production |
| IPAR | incoming photosynthetic active radiation |
| HI | Harvest index |
| IQR | interquartile range |
| M | % moisture content |
| MODIS | Moderate resolution Imaging Spectroradiometer |
| NDVI | Normalized Difference Vegetation Index |
| NEP | net ecosystem production |
| OC | % grain carbon content |
| Pg max | maximum gross photosynthesis rate |
| Rd | daytime respiration |
| RE | ecosystem respiration |
| rH | relative humidity |
| RS | root-shoot ratio |
| RUEmax | maximum radiation use efficiency |
| Ta | air temperature |
| Tlimmin/max | lower and upper boundary of daily minimum air temperature |
| Tmins | temperature scalar |
| VPD | daytime vapor pressure deficit |
| VPDmin/max | lower and upper boundary of daily daytime vapor pressure deficit |
| VPDs | vapor pressure deficit scalar |
| YieldGPP | grain yield calculated from GPP |
Appendix A. Flux Footprints

Appendix B. MODIS GPP Product vs. Field-Measured GPP


References
- National Agricultural Statistics Service (NASS). Available online: https://www.nass.usda.gov/Publications/Ag_Statistics/index.php (accessed on 4 April 2019).
- FAOSTAT. Food and Agriculture Organization of the United Nations, Statistics Division. Forestry Production and Trade. Available online: http://www.fao.org/faostat/en/#data/FO (accessed on 4 April 2019).
- Guanter, L.; Zhang, Y.; Jung, M.; Joiner, J.; Voigt, M.; Berry, J.A.; Frankenberg, C.; Huete, A.R.; Zarco-Tejada, P.J.; Lee, J.E.; et al. Global and time-resolved monitoring of crop photosynthesis with chlorophyll fluorescence. Proc. Natl. Acad. Sci. USA 2014, 111, E1327–E1333. [Google Scholar] [CrossRef] [PubMed]
- Dold, C.; Hatfield, J.L.; Prueger, J.H.; Sauer, T.J.; Moorman, T.B.; Wacha, K.M. Impact of Management Practices on Carbon and Water Fluxes in Corn–Soybean Rotations. AGE 2019, 2, 1–8. [Google Scholar] [CrossRef]
- USDA-NASS. 2017 Census of Agriculture. Available online: https://www.nass.usda.gov/Publications/AgCensus/2017/Full_Report/Volume_1,_Chapter_1_State_Level/Iowa/ (accessed on 9 July 2019).
- Running, S.W.; Zhao, M. Daily GPP and Annual NPP (MOD17A2/A3) Products NASA Earth Observing System MODIS Land Algorithm. Version 3.0; 2015; p. 28. Available online: https://landweb.modaps.eosdis.nasa.gov/QA_WWW/forPage/user_guide/MOD17UsersGuide2015v3.pdf (accessed on 19 March 2019).
- Reeves, M.C.; Zhao, M.; Running, S.W. Usefulness and limits of MODIS GPP for estimating wheat yield. Int. J. Remote Sens. 2005, 26, 1403–1421. [Google Scholar] [CrossRef]
- Ryu, Y.; Baldocchi, D.D.; Kobayashi, H.; Van Ingen, C.; Li, J.; Black, T.A.; Beringer, J.; Van Gorsel, E.; Knohl, A.; Law, B.E.; et al. Integration of MODIS land and atmosphere products with a coupled-process model to estimate gross primary productivity and evapotranspiration from 1 km to global scales. Glob. Biogeochem. Cycles 2011, 25, 25. [Google Scholar] [CrossRef]
- Jiang, C.; Ryu, Y. Multi-scale evaluation of global gross primary productivity and evapotranspiration products derived from Breathing Earth System Simulator (BESS). Remote Sens. Environ. 2016, 186, 528–547. [Google Scholar] [CrossRef]
- Coops, N.; Black, T.; Jassal, R.; Trofymow, J.; Morgenstern, K. Comparison of MODIS, eddy covariance determined and physiologically modelled gross primary production (GPP) in a Douglas-fir forest stand. Remote Sens. Environ. 2007, 107, 385–401. [Google Scholar] [CrossRef]
- Wu, C.; Munger, J.W.; Niu, Z.; Kuang, D. Comparison of multiple models for estimating gross primary production using MODIS and eddy covariance data in Harvard Forest. Remote Sens. Environ. 2010, 114, 2925–2939. [Google Scholar] [CrossRef]
- Xin, Q.; Broich, M.; Suyker, A.E.; Yu, L.; Gong, P. Multi-scale evaluation of light use efficiency in MODIS gross primary productivity for croplands in the Midwestern United States. Agric. For. Meteorol. 2015, 201, 111–119. [Google Scholar] [CrossRef]
- Xin, Q.; Gong, P.; Yu, C.; Yu, L.; Broich, M.; Suyker, A.E.; Myneni, R.B. A Production Efficiency Model-Based Method for Satellite Estimates of Corn and Soybean Yields in the Midwestern US. Remote Sens. 2013, 5, 5926–5943. [Google Scholar] [CrossRef]
- Zhang, Q.; Cheng, Y.-B.; Lyapustin, A.I.; Wang, Y.; Gao, F.; Suyker, A.; Verma, S.; Middleton, E.M. Estimation of crop gross primary production (GPP): fAPARchl versus MOD15A2 FPAR. Remote Sens. Environ. 2014, 153, 1–6. [Google Scholar] [CrossRef]
- Zhang, Q.; Cheng, Y.B.; Lyapustin, A.I.; Wang, Y.; Zhang, X.; Suyker, A.; Verma, S.; Shuai, Y.; Middleton, E.M. Estimation of crop gross primary production (GPP): II. Do scaled MODIS vegetation indices improve performance? Agric. For. Meteorol. 2015, 200, 1–8. [Google Scholar] [CrossRef]
- Sjöström, M.; Zhao, M.; Archibald, S.; Arneth, A.; Cappelaere, B.; Falk, U.; De Grandcourt, A.; Hanan, N.; Kergoat, L.; Kutsch, W.; et al. Evaluation of MODIS gross primary productivity for Africa using eddy covariance data. Remote Sens. Environ. 2013, 131, 275–286. [Google Scholar] [CrossRef]
- Turner, D.P.; Ritts, W.D.; Cohen, W.B.; Gower, S.T.; Running, S.W.; Zhao, M.; Costa, M.H.; Kirschbaum, A.A.; Ham, J.M.; Saleska, S.R.; et al. Evaluation of MODIS NPP and GPP products across multiple biomes. Remote Sens. Environ. 2006, 102, 282–292. [Google Scholar] [CrossRef]
- Tomer, M.D.E.; James, D.; Sandoval-Green, C.M.J. Agricultural Conservation Planning Framework: 3. Land Use and Field Boundary Database Development and Structure. J. Environ. Qual. 2017, 46, 676–686. [Google Scholar] [CrossRef] [PubMed]
- Cosh, M.H.; White, W.A.; Colliander, A.; Jackson, T.J.; Prueger, J.H.; Hornbuckle, B.K.; Hunt, E.R.; McNairn, H.; Powers, J.; Walker, V.A.; et al. Estimating vegetation water content during the Soil Moisture Active Passive Validation Experiment 2016. J. Appl. Remote Sens. 2019, 13, 014516. [Google Scholar] [CrossRef]
- Colliander, A.; Cosh, M.H.; Misra, S.; Jackson, T.J.; Crow, W.T.; Powers, J.; McNairn, H.; Bullock, P.; Berg, A.; Magagi, R.; et al. Comparison of high-resolution airborne soil moisture retrievals to SMAP soil moisture during the SMAP validation experiment 2016 (SMAPVEX16). Remote Sens. Environ. 2019, 227, 137–150. [Google Scholar] [CrossRef]
- USDA-NRCS. Soil Survey Geographic (SSURGO) Database for Hardin, Franklin, Hamilton & Story County, Iowa; Soil Survey Staff, Natural Resources Conservation Service, United States Department of Agriculture: Washington, DC, USA, 2018.
- IEM. Iowa Environmental Mesonet—Climate Data. Available online: https://mesonet.agron.iastate.edu/ (accessed on 10 October 2018).
- Burba, G. Eddy Covariance Method for Scientific, Industrial, Agricultural and Regulatory Applications: A Field Book on Measuring Ecosystem Gas. Exchange and Areal Emission Rates; LI-COR Biosciences: Lincoln, NE, USA, 2013; p. 331. [Google Scholar]
- Kljun, N.; Calanca, P.; Rotach, M.W.; Schmid, H.P. A simple two-dimensional parameterisation for Flux Footprint Prediction (FFP). Geosci. Model. Dev. 2015, 8, 3695–3713. [Google Scholar] [CrossRef]
- Tanner, C.B.; Thurtell, G.W. Anemoclinometer Measurements of Reynolds Stress and Heat Transport in the Atmospheric Surface Layer; Department of Soil Science Wisconsin University: Madison, WI, USA, 1969; pp. 1–10. [Google Scholar]
- Webb, E.; Pearman, G.; Leuning, R. Correction of flux measurements for density effects due to heat and water vapour transfer. Q. J. R. Meteorol. Soc. 1980, 106, 85–100. [Google Scholar] [CrossRef]
- Dold, C.; Büyükcangaz, H.; Rondinelli, W.; Prueger, J.; Sauer, T.; Hatfield, J. Long-term carbon uptake of agro-ecosystems in the Midwest. Agric. For. Meteorol. 2017, 232, 128–140. [Google Scholar] [CrossRef]
- Hernandez-Ramirez, G.; Hatfield, J.L.; Parkin, T.B.; Sauer, T.J.; Prueger, J.H. Carbon dioxide fluxes in corn–soybean rotation in the midwestern U.S.: Inter- and intra-annual variations, and biophysical controls. Agric. For. Meteorol. 2011, 151, 1831–1842. [Google Scholar] [CrossRef]
- Baker, J.; Griffis, T. Examining strategies to improve the carbon balance of corn/soybean agriculture using eddy covariance and mass balance techniques. Agric. For. Meteorol. 2005, 128, 163–177. [Google Scholar] [CrossRef]
- Hernandez-Ramirez, G.; Hatfield, J.L.; Prueger, J.H.; Sauer, T.J. Energy balance and turbulent flux partitioning in a corn–soybean rotation in the Midwestern US. Theor. Appl. Climatol. 2010, 100, 79–92. [Google Scholar] [CrossRef]
- Reichstein, M.; Falge, E.; Baldocchi, D.; Papale, D.; Aubinet, M.; Berbigier, P.; Bernhofer, C.; Buchmann, N.; Gilmanov, T.; Granier, A.; et al. On the separation of net ecosystem exchange into assimilation and ecosystem respiration: Review and improved algorithm. Glob. Chang. Boil. 2005, 11, 1424–1439. [Google Scholar] [CrossRef]
- Gilmanov, T.; Soussana, J.-F.; Aires, L.M.I.; Allard, V.; Ammann, C.; Balzarolo, M.; Barcza, Z.; Bernhofer, C.; Campbell, C.; Cernusca, A.; et al. Partitioning European grassland net ecosystem CO2 exchange into gross primary productivity and ecosystem respiration using light response function analysis. Agric. Ecosyst. Environ. 2007, 121, 93–120. [Google Scholar] [CrossRef]
- Campbell, G.S.; Norman, J.M. An Introduction to Environmental Biophysics; Springer Science and Business Media LLC: New York, NY, USA, 1998; p. 286. [Google Scholar]
- Hatfield, J.L. Radiation Use Efficiency: Evaluation of Cropping and Management Systems. Agron. J. 2014, 106, 1820. [Google Scholar] [CrossRef]
- Hatfield, J.L.; Prueger, J.H. Value of Using Different Vegetative Indices to Quantify Agricultural Crop Characteristics at Different Growth Stages under Varying Management Practices. Remote Sens. 2010, 2, 562–578. [Google Scholar] [CrossRef]
- Abendroth, L.J.; Elmore, R.W.; Boyer, M.J.; Marlay, S.K. Corn Growth and Development; PMR: Ames, IA, USA, Iowa State University Extension; 2011. [Google Scholar]
- Pedersen, P. Soybean Growth and Development; Iowa State University: Ames, IA, USA, 2004. [Google Scholar]
- USGS. US Geological Survey, MODIS Products Courtesy of the U.S. Geological Survey. Available online: https://lpdaacsvc.cr.usgs.gov/appeears/ (accessed on 21 March 2019).
- Myneni, R.; Knyazikhin, Y.; Park, T. MOD15A2H MODIS/Terra Leaf Area Index/FPAR 8-Day L4 Global 500 m SIN Grid V006 [Dataset]. Available online: http://doi.org/10.5067/MODIS/MOD15A2H.006 (accessed on 10 October 2018).
- Lowe, P.R. An Approximating Polynomial for the Computation of Saturation Vapor Pressure. J. Appl. Meteorol. 1977, 16, 100–103. [Google Scholar] [CrossRef]
- R Core Team. The R Foundation for Statistical Computing; The R Foundation: Vienna, Austria, 2014. [Google Scholar]
- Friedl, M.; Sulla-Menashe, D. MCD12Q1 MODIS/Terra+ Aqua Land Cover Type Yearly L3 Global 500m SIN Grid V006 [Dataset]. Available online: http://doi.org/10.5067/MODIS/MCD12C1.006 (accessed on 10 October 2018).
- Pedersen, P.; Lauer, J.G. Response of Soybean Yield Components to Management System and Planting Date. Agron. J. 2004, 96, 1372. [Google Scholar] [CrossRef]
- Karlen, D.L.; Kovar, J.L.; Birrell, S.J. Corn Stover Nutrient Removal Estimates for Central Iowa, USA. Sustainability 2015, 7, 8621–8634. [Google Scholar] [CrossRef]
- Prince, S.D.; Haskett, J.; Steininger, M.; Strand, H.; Wright, R. Net primary production of US Midwest croplands from agricultural harvest yield data. Ecol. Appl. 2001, 11, 1194–1205. [Google Scholar] [CrossRef]
- Bernacchi, C.J.; Hollinger, S.E.; Meyers, T. The conversion of the corn/soybean ecosystem to no-till agriculture may result in a carbon sink. Glob. Chang. Boil. 2005, 11, 1867–1872. [Google Scholar] [CrossRef]
- Hatfield, J.L.; Prueger, J.H.; Kustas, W.P. Spatial and Temporal Variation of Energy and Carbon Fluxes in Central Iowa. Agron. J. 2007, 99, 285. [Google Scholar] [CrossRef]
- Sainju, U.M.; Jabro, J.D.; Stevens, W.B. Soil Carbon Dioxide Emission and Carbon Content as Affected by Irrigation, Tillage, Cropping System, and Nitrogen Fertilization. J. Environ. Qual. 2008, 37, 98. [Google Scholar] [CrossRef] [PubMed]
- Kanamitsu, M.; Ebisuzaki, W.; Woollen, J.; Yang, S.-K.; Hnilo, J.J.; Fiorino, M.; Potter, G.L. NCEP–DOE AMIP-II Reanalysis (R-2). Bull. Am. Meteorol. Soc. 2002, 83, 1631–1644. [Google Scholar] [CrossRef]






| County | Story | Franklin | Hamilton | Hardin | ||||
|---|---|---|---|---|---|---|---|---|
| Ameriflux code | US-Br1 | US-Br3 | --- | --- | --- | --- | --- | --- |
| Crop | Corn | Soybean | Corn | Soybean | Corn | Soybean | Corn | Soybean |
| Latitude, Longitude (dec. °) | 41.975,−93.694 | 41.975,−93.691 | 42.603,−93.313 | 42.637,−93.343 | 42.482,−93.524 | 42.488,−93.523 | 42.390,−93.392 | 42.387,−93.377 |
| Field size (ha) | 31.5 | 25.8 | 119.2 | 94.1 | 47.5 | 60.8 | 28.8 | 44.0 |
| Soil type and texture 1 | Canisteo, Harps, Okoboji, loam–clay loam | Harps, Okoboji, Zenor, Storden, Salida, Coland, Lawler sandy loam–clay loam | Harps, Okoboji loam–clay loam | Storden, Okoboji, Harps, Coland loam–clay loam | ||||
| Soil management | Spring tillage; fall tillage | Spring tillage | Spring tillage; fall tillage | Spring tillage | Spring tillage | NA | No data | No data |
| N-rate (kg N ha−1 year−1) | Anhydrous-N: 168 | NA | No data | No data | NH3/UAN: 157 | NA | No data | No data |
| Density (plants ha−1) | 80,000 | 379,000 | 83,200 | 309,000 | 78,600 | 323,000 | 92,900 | No data |
| Planting–Harvest DOY | 111–271 | 128–292 | 140–271 | 144–270 | 128–273 | 115–282 | 138–298 | 144–275 |
| IRGA model | LI-7500 2 | EC150 3 | IRGASON 3 | LI-7500 2 | ||||
| 3-D Sonic anemometer model | CSAT-3 3 | EC150 3 | IRGASON 3 | CSAT-3 3 | ||||
| zm (cm) | 240–500 | 225 | 200–500 | 200 | 200–500 | 200–240 | 200–500 | 218–240 |
| Frequency (Hz) | 20 | |||||||
| Azimuth from North | 270° | |||||||
| Radiation sensor model | CNR-1 4 | CNR-4 4 | NR-01 5 | CNR-1 4 | ||||
| Crop | Variable | NEP (g C m−2) | RE (g C m−2) | GPP (g C m−2) | YieldGPP (Mg ha−1) | Yield (NASS) (Mg ha−1) |
|---|---|---|---|---|---|---|
| Corn | Mean ± SE | 678 ± 63 | −805 ± 40 | 1483 ± 100 | 12.82 ± 0.65 | 13.09 ± 0.09 |
| 95% CI | [547,769] | [−897,−779] | [1334,1655] | --- | --- | |
| Soybean | Mean ± SE | 263 ± 40 | −548 ± 14 | 811 ± 53 | 6.73 ± 0.27 | 4.03 ± 0.04 |
| 95% CI | [170,318] | [−602,−531] | [728,913] | --- | --- |
© 2019 by the authors. Licensee MDPI, Basel, Switzerland. This article is an open access article distributed under the terms and conditions of the Creative Commons Attribution (CC BY) license (http://creativecommons.org/licenses/by/4.0/).
Share and Cite
Dold, C.; Hatfield, J.L.; Prueger, J.H.; Moorman, T.B.; Sauer, T.J.; Cosh, M.H.; Drewry, D.T.; Wacha, K.M. Upscaling Gross Primary Production in Corn-Soybean Rotation Systems in the Midwest. Remote Sens. 2019, 11, 1688. https://doi.org/10.3390/rs11141688
Dold C, Hatfield JL, Prueger JH, Moorman TB, Sauer TJ, Cosh MH, Drewry DT, Wacha KM. Upscaling Gross Primary Production in Corn-Soybean Rotation Systems in the Midwest. Remote Sensing. 2019; 11(14):1688. https://doi.org/10.3390/rs11141688
Chicago/Turabian StyleDold, Christian, Jerry L. Hatfield, John H. Prueger, Tom B. Moorman, Tom J. Sauer, Michael H. Cosh, Darren T. Drewry, and Ken M. Wacha. 2019. "Upscaling Gross Primary Production in Corn-Soybean Rotation Systems in the Midwest" Remote Sensing 11, no. 14: 1688. https://doi.org/10.3390/rs11141688
APA StyleDold, C., Hatfield, J. L., Prueger, J. H., Moorman, T. B., Sauer, T. J., Cosh, M. H., Drewry, D. T., & Wacha, K. M. (2019). Upscaling Gross Primary Production in Corn-Soybean Rotation Systems in the Midwest. Remote Sensing, 11(14), 1688. https://doi.org/10.3390/rs11141688

