Exploring Bamboo Forest Aboveground Biomass Estimation Using Sentinel-2 Data
Abstract
1. Introduction
2. Materials and Methods
2.1. Study Area
2.2. Data Preparation
2.3. Analysis of Spectral Signature and Mapping of Bamboo Forest Distribution
2.4. Selection of Variables for Development of Biomass Estimation Models
3. Results
3.1. Spectral Analysis of On-Year and Off-Year Bamboo Forests and Mapping of Bamboo Distribution
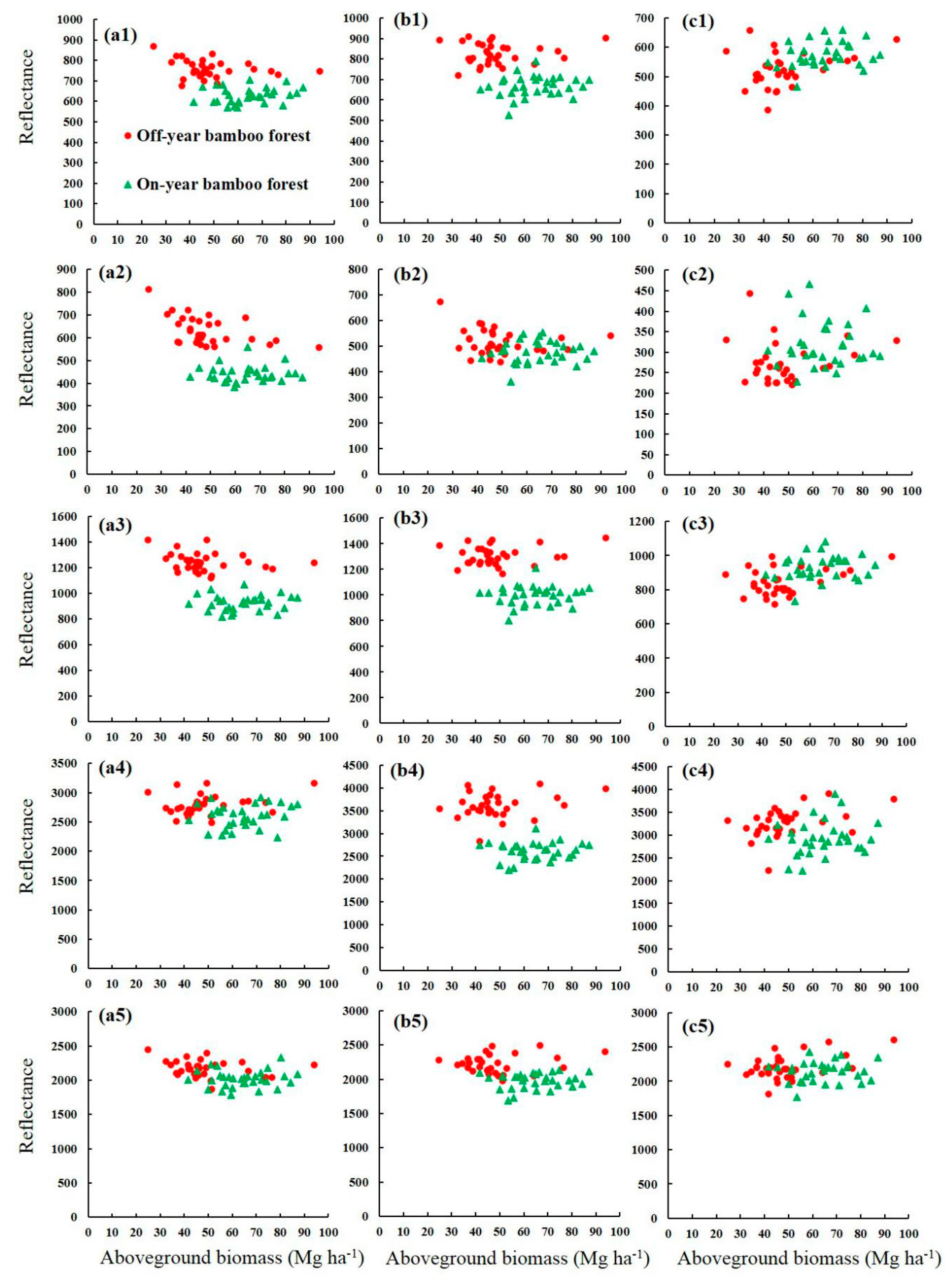
3.2. Correlation Analysis and Identification of Biomass Saturation in Sentinel-2 Data
3.3. Identification of Key Variables for Biomass Modeling
3.4. Analysis of Bamboo Forest Biomass Estimation Results
4. Discussion
4.1. Impacts of Phenological Features of Bamboo Forests on Biomass Estimation Performance
4.2. The Potential to Improve Biomass Estimation Performance
5. Conclusions
Author Contributions
Funding
Acknowledgments
Conflicts of Interest
References
- Zhou, G.; Meng, C.; Jiang, P.; Xu, Q. Review of carbon fixation in bamboo forests in China. Bot. Rev. 2011, 77, 262–270. [Google Scholar] [CrossRef]
- Du, H.; Zhou, G.; Ge, H.; Fan, W.; Xu, X.; Fan, W.; Shi, Y. Satellite-based carbon stock estimation for bamboo forest with a non-linear partial least square regression technique. Int. J. Remote Sens. 2012, 33, 1917–1933. [Google Scholar] [CrossRef]
- Yen, T. Culm height development, biomass accumulation and carbon storage in an initial growth stage for a fast-growing Moso bamboo (Phyllostachypubescens). Bot. Stud. 2016, 57, 10–19. [Google Scholar] [CrossRef] [PubMed]
- Chen, X.; Zhang, Y.; Zhang, X.; Kuo, Y. Carbon stock changes in bamboo stands in China over the last 50 years. Acta Ecol. Sin. 2008, 8, 5218–5227. [Google Scholar]
- Zhou, G.; Xu, X.; Du, H.; Ge, H.; Shi, Y.; Zhou, Y. Estimating aboveground carbon of Moso bamboo forests using the k nearest neighbor’s technique and satellite imagery. Photogramm. Eng. Remote Sens. 2011, 77, 1123–1131. [Google Scholar] [CrossRef]
- Song, X.; Zhou, G.; Jiang, H.; Yu, S.; Fu, J.; Li, W.; Wang, W.; Ma, Z.; Peng, C. Carbon sequestration by Chinese bamboo forests and their ecological benefits: Assessment of potential, problems, and future challenges. Environ. Rev. 2011, 19, 418–428. [Google Scholar] [CrossRef]
- Nath, A.; Lal, R.; Das, A. Managing woody bamboos for carbon farming and carbon trading. Glob. Ecol. Conserv. 2015, 3, 654–663. [Google Scholar] [CrossRef]
- Du, H.; Sun, X.; Han, N.; Mao, F. RS estimation of inventory parameters and carbon storage of Moso bamboo forest based on synergistic use of object-based image analysis and decision tree. J. Appl. Ecol. 2017, 8, 3163–3173. [Google Scholar] [CrossRef]
- Fang, W.; Gui, R.; Ma, L.; Jin, A.; Lin, X.; Yu, X.; Qian, J. Chinese Economic Bamboo, 1st ed.; Science Press: Beijing, China, 2015; pp. 104–109. ISBN 9787030454607. [Google Scholar]
- Zhao, P.; Lu, D.; Wang, G.; Wu, C.; Huang, Y.; Yu, S. Examining spectral reflectance saturation in Landsat imagery and corresponding solutions to improve forest aboveground biomass estimation. Remote Sens. 2016, 8, 469. [Google Scholar] [CrossRef]
- Zhao, P.; Lu, D.; Wang, G.; Wu, C.; Huang, Y.; Yu, S. Forest aboveground biomass estimation in Zhejiang Province using the integration of Landsat TM and ALOS PALSAR data. Int. J. Appl. Earth Obs. Geoinf. 2016, 53, 1–15. [Google Scholar] [CrossRef]
- Lu, D.; Chen, Q.; Wang, G.; Liu, L.; Li, G.; Moran, E. A survey of remote sensing–based aboveground biomass estimation methods in forest ecosystems. Int. J. Earth. 2016, 9, 63–105. [Google Scholar] [CrossRef]
- Gao, Y.; Lu, D.; Li, G.; Wang, G.; Chen, Q.; Liu, L.; LI, D. Comparative analysis of modeling algorithms for forest aboveground biomass estimation in a subtropical region. Remote Sens. 2018, 10, 627. [Google Scholar] [CrossRef]
- Xu, X.; Zhou, G.; Du, H.; Zhou, Y.; Hu, J.; Lu, G. Effect of sample plots stratification on estimation accuracy of aboveground carbon storage for Phyllostachysedulis forest. Sci. Silvae Sin. 2013, 49, 18–24. [Google Scholar] [CrossRef]
- Du, H.; Cui, R.; Zhou, G.; Shi, Y.; Xu, X.; Fan, W.; Lü, Y. The responses of Moso bamboo (Phyllostachys Pubescens) forest aboveground biomass to Landsat TM spectral reflectance and NDVI. Acta Ecol. Sin. 2010, 30, 257–263. [Google Scholar] [CrossRef]
- Cui, R.; Du, H.; Zhou, G.; Xu, X.; Dong, D.; Lü, Y. Remote sensing–based dynamic monitoring of Moso bamboo forest and its carbon stock change in Anji County. J. Zhejiang A F Univ. 2011, 28, 422–431. [Google Scholar]
- Lu, D. The potential challenge of remote sensing–based biomass estimation. Int. J. Remote Sens. 2006, 27, 1297–1328. [Google Scholar] [CrossRef]
- Lu, D.; Batistella, M. Exploring TM image texture and its relationships with biomass estimation in Rondônia, Brazilian Amazon. Acta Amazonica 2005, 35, 249–257. [Google Scholar] [CrossRef]
- Lu, D.; Batistella, M.; Moran, E. Satellite estimation of aboveground biomass and impacts of forest stand structure. Photogramm. Eng. Remote Sens. 2005, 71, 967–974. [Google Scholar] [CrossRef]
- Han, N.; Du, H.; Zhou, G.; Xu, X.; Cui, R.; Gu, C. Spatiotemporal heterogeneity of Moso bamboo aboveground carbon storage with Landsat Thematic Mapper images: A case study from Anji County, China. Int. J. Remote Sens. 2013, 34, 4917–4932. [Google Scholar] [CrossRef]
- Yu, Z.; Du, H.; Zhou, G.; Xu, X.; Gui, Z. Transferability of remote sensing–based models for estimating Moso bamboo forest aboveground biomass. J. Appl. Ecol. 2012, 23, 2422–2428. [Google Scholar] [CrossRef]
- Avitabile, V.; Baccini, A.; Friedl, M.A.; Schmullius, C. Capabilities and limitations of Landsat and land cover data for aboveground woody biomass estimation of Uganda. Remote Sens. Environ. 2012, 117, 366–380. [Google Scholar] [CrossRef]
- Baccini, A.; Laporte, N.; Goetz, S.J.; Sun, M.; Dong, H. A first map of tropical Africa’s aboveground biomass derived from satellite imagery. Environ. Res. Lett. 2008, 3, 045011. [Google Scholar] [CrossRef]
- Pflugmatcher, D.; Cohen, W.B.; Kennedy, R.E.; Yang, Z. Using Landsat-derived disturbance and recovery history and lidar to map forest biomass dynamics. Remote Sens. Environ. 2014, 151, 124–137. [Google Scholar] [CrossRef]
- Tanase, M.A.; Panciera, R.; Lowell, K.; Tian, S.; Hacker, J.M.; Walker, J.P. Airborne multi-temporal L-band polarimetric SAR data for biomass estimation in semi-arid forests. Remote Sens. Environ. 2014, 145, 93–104. [Google Scholar] [CrossRef]
- Breiman, L. Random Forests. Mach. Learn. 2001, 45, 5–32. [Google Scholar] [CrossRef]
- Ismail, R.; Mutanga, O.; Kumar, L. Modeling the potential distribution of pine forests susceptible to SirexNoctilio infestations in Mpumalanga, South Africa. Trans. GIS. 2010, 14, 709–726. [Google Scholar] [CrossRef]
- Vincenzi, S.; Zucchetta, M.; Franzoi, P.; Pellizzato, M.; Pranovi, F.; De Leo, G.A.; Torricelli, P. Application of a Random Forest algorithm to predict spatial distribution of the potential yield of Ruditapes Philippinarum in the Venice lagoon, Italy. Ecol. Model. 2011, 222, 1471–1478. [Google Scholar] [CrossRef]
- Lu, D. Aboveground biomass estimation using Landsat TM data in the Brazilian Amazon. Int. J. Remote Sens. 2005, 26, 2509–2525. [Google Scholar] [CrossRef]
- Lu, D.; Mausel, P.; Brondízio, E.; Moran, E. Relationships between forest stand parameters and Landsat Thematic Mapper spectral responses in the Brazilian Amazon Basin. For. Ecol. Manag. 2004, 198, 149–167. [Google Scholar] [CrossRef]
- Zhang, L. The Estimation of Gross Primary Production of Phyllostachys Pubescens Based on MODIS and Eddy Covariance Flux Data in Zhejiang Anji. Master’s Thesis, Zhejiang A&F University, Hangzhou, China, 2013. [Google Scholar]
- Cui, R. Satellite-Based Spatiotemporal Variation of Carbon Storage of Moso Bamboo Forest in Anji County. Master’s Thesis, Zhejiang A&F University, Hangzhou, China, 2011. [Google Scholar]
- Anji Forestry Bureau. Anji County Forestry Resources Survey Results Report; Anji Forestry Bureau: Anji, China, 2016.
- Zhou, G. Carbon Storage, Ixation and Distribution in Moso Bamboo (Phyllostachys pubescens) Stands Ecosystem. Ph.D. Thesis, Zhejiang University, Hangzhou, China, 2006. [Google Scholar]
- Muller-Wilm, U.; Louis, J.; Richter, R.; Gascon, F.; Niezette, M. Sentinel-2 Level 2A Prototype Processor: Architecture, Algorithms and First Results. ESA Spec. Publ. 2013, 722, 2–13. [Google Scholar]
- Sola, I.; González-Audícana, M.; Álvarez-Mozos, J. Multi-criteria evaluation of topographic correction methods. Remote Sens. Environ. 2011, 184, 247–262. [Google Scholar] [CrossRef]
- Foody, G. Status of land cover classification accuracy assessment. Remote Sens. Environ. 2002, 80, 185–201. [Google Scholar] [CrossRef]
- Foody, G. Assessing the Accuracy of Remotely Sensed Data: Principles and Practices. Photogramm. Rec. 2010, 25, 204–205. [Google Scholar] [CrossRef]
- Finley, A.O.; Munoz, J.D.; Gehl, R. Nonlinear hierarchical models for predicting cover crop biomass using Normalized Difference Vegetation Index. Remote Sens. Environ. 2010, 114, 2833–2840. [Google Scholar] [CrossRef]
- Zheng, Y.; Wu, B.; Zhang, M. Estimating the aboveground biomass of winter wheat using the Sentinel-2 data. J. Remote Sens. 2017, 21, 318–328. [Google Scholar] [CrossRef]
- Tucker, C. Red and photographic infrared linear combinations for monitoring vegetation. Remote Sens. Environ. 1979, 8, 127–150. [Google Scholar] [CrossRef]
- Liu, H.; Huete, R. A Feedback based modification of the NDVI to minimize canopy background and atmosphere noise. IEEE Trans. Geosci. Remote Sens. 1995, 33, 457–465. [Google Scholar] [CrossRef]
- Huete, R. A Soil-adjusted vegetation index (SAVI). Remote Sens. Environ. 1988, 25, 295–309. [Google Scholar] [CrossRef]
- Gitelson, A.; Vina, A.; Ciganda, V.; Rundquist, D.; Arkebauer, J. Remote estimation of canopy chlorophyll content in crops. Geophys. Res. Lett. 2005, 32, 93–114. [Google Scholar] [CrossRef]
- Xu, R.; Ma, Y.; He, C. Remote Sensing Biogeochemistry, 2nd ed.; Guangdong Science and Technology Press: Guangzhou, China, 2003; pp. 99–103. ISBN 9787535932143. [Google Scholar]
- Jordan, C. Derivation of leaf-area index from quality of light on the forest floor. Ecology 1969, 50, 663–666. [Google Scholar] [CrossRef]
- Sims, D.; Gamon, J. Relationships between leaf pigment content and spectral reflectance across a wide range of species, leaf structures and developmental stages. Remote Sens. Environ. 2002, 81, 337–354. [Google Scholar] [CrossRef]
- Dash, J.; Curran, P.J. The MERIS terrestrial chlorophyll index. Int. J. Remote Sens. 2004, 25, 5403–5413. [Google Scholar] [CrossRef]
- Lu, D.; Li, G.; Moran, E.; Dutra, L.; Batistella, M. The roles of textural images in improving land-cover classification in the Brazilian Amazon. Int. J. Remote Sens. 2014, 35, 8188–8207. [Google Scholar] [CrossRef]
- Pham, T.D.; Yoshino, K.; Bui, D.T. Biomass estimation of Sonneratia Caseolaris (I.) Engler at a coastal area of Hai Phong city (Vietnam) using ALOS-2 PALSAR imagery and GIS-based multi-layer perceptron neural networks. Gisci. Remote Sens. 2017, 54, 329–353. [Google Scholar] [CrossRef]
- Vafaei, S.; Soosani, J.; Adeli, K.; Fadaei, H.; Naghavi, H.; Pham, T.D.; Bui, D.T. Improving accuracy estimation of forest aboveground biomass based on incorporation of ALOS-2 PALSAR-2 and Sentinel-2A imagery and machine learning: A case study of the Hyrcanian Forest Area (Iran). Remote Sens. 2018, 10, 172. [Google Scholar] [CrossRef]
- Feng, Y.; Lu, D.; Chen, Q.; Keller, M.; Moran, E.; Dos-Santos, M.N.; Bolfe, E.L.; Batistella, M. Examining effective use of data sources and modeling algorithms for improving biomass estimation in a moist tropical forest of the Brazilian Amazon. Int. J. Digit. Earth 2017, 10, 996–1016. [Google Scholar] [CrossRef]









| Data | Description |
|---|---|
| Field survey | 1. A total of 517 sample plots covering different land-cover types were collected in 2016 to 2018. Of these sample plots, about 300 were bamboo forests, including on-year and off-year. 2. A total of 62 sample plots, including 31 on-year and 31 off-year, with plot size of 400 m2 each, were inventoried in May to August 2018. |
| Sentinel-2 | Sentinel-2 data cover 13 spectral bands: 1. Three visible bands (blue, green, red—490, 560, and 665 nm, respectively) and one NIR band (NIR1—842 nm) with 10 m spatial resolution. 2. Three red edge bands (RedEdge 1,2,3), one NIR (NIR2), and two SWIR (SWIR1,2) (705, 740, 783, 865, 1610, and 2190 nm, respectively) with 20 m spatial resolution. 3. Other spectral bands (443, 945, and 1375 nm) with 60 m spatial resolution. Due to coarse spatial resolutions, these three bands were not used. The Sentinel-2 L1C products were downloaded from https://scihub.copernicus.eu/s2/#/home. Sentinel-2 L1C images acquired on 13 February 2018, 19 April 2018, 4 May 2018, and 18 July 2018 were used in this research. |
| DEM | ALOS GDEM data with spatial resolution of 12.5 m were collected for the study area. The DEM data were downloaded from http://earthdata.nasa.gov/about/daacs/daac-asf. |
| Number of Samples | AGB Range (Mgha−1) | Mean (Mgha−1) | Standard Deviation (Mgha−1) | |
|---|---|---|---|---|
| Number of total samples | 62 | 24.82–93.95 | 56.50 | 15.05 |
| Number of on-year samples | 31 | 41.74–87.10 | 64.39 | 11.56 |
| Number of off-year samples | 31 | 24.82–93.95 | 48.60 | 14.08 |
| Data Identification | Product Level | Cloud Coverage | Acquisition Date |
|---|---|---|---|
| S2B_MSIL1C_20180419T023549_N0206_R089_T50RQU_20180419T051329 | L1C | 0% | 19 April 2018 |
| S2A_MSIL1C_20180504T023551_N0206_R089_T50RQU_20180504T042739 | L1C | 7% | 4 May 2018 |
| S2B_MSIL1C_20180718T023549_N0206_R089_T50RQU_20180718T070956 | L1C | 1% | 18 July 2018 |
| Variables | Equations | References |
|---|---|---|
| Normalized Different Vegetation index (NDVI) | NDVI = (NIR1 − RED)/(NIR1 + RED) | [41] |
| Enhance Vegetation index (EVI) | EVI = 2.5(NIR1 − R)/(NIR1 + 6R − 7.5B + 1) | [42] |
| Soil Adjusted Vegetation Index (SAVI) | SAVI = (NIR1 − R)(1 + L)/(NIR1 + R + L), L = 0.5 | [43] |
| Green Chlorophyll Index (CIgreen) | CIgreen = (NIR1/G) − 1 | [44] |
| Canopy Vegetation Index (CVI) | CVI = (NIR1 − SWIR1)/(NIR1 + SWIR1) | [45] |
| Simple Ratio (SR) | SR = NIR1/R | [46] |
| RedEdge Chlorophyll Index (CIre) | CIre = (NIR1/RedEdge1) − 1 | [44] |
| RedEdge Simple Ratio (SRre) | SRre = NIR1/RedEdge1 | [47] |
| RedEdge Normalized Different Vegetation index (NDVIre) | NDVIre = (NIR1 − RedEdge1)/(NIR + RedEdge1) | [47] |
| MERIS Terrestrial Chlorophyll Index (MTCI) | MTCI = (NIR1 − RedEdge1)/(RedEdge1 − R) | [48] |
| Reference Data | Producer’s Accuracy | User’s Accuracy | Overall Accuracy | ||||
|---|---|---|---|---|---|---|---|
| On-Year Bamboo | Off-Year Bamboo | Others | |||||
| Classified data | On-year bamboo | 140 | 3 | 7 | 93.3 | 93.3 | OCA: 92.6 OKC: 0.88 |
| Off-year bamboo | 1 | 137 | 12 | 90.1 | 91.3 | ||
| Others | 9 | 12 | 279 | 92.9 | 93.0 | ||
| Bands | Total Samples (62) | On-Year Samples (31) | Off-Year Samples (31) | ||||||
|---|---|---|---|---|---|---|---|---|---|
| April | May | July | April | May | July | April | May | July | |
| Blue | −0.502 ** | −0.155 | 0.229 | 0.131 | 0.163 | 0.04 | −0.353 | −0.065 | 0.131 |
| Green | −0.474 ** | −0.389 ** | 0.456 ** | 0.213 | 0.166 | 0.24 | 0.252 | −0.091 | 0.299 |
| Red | −0.594 ** | −0.273 * | 0.242 | −0.05 | 0.105 | −0.027 | −0.502 ** | −0.215 | 0.097 |
| RedEdge1 | −0.523 ** | −0.424 ** | 0.488 ** | 0.083 | 0.092 | 0.194 | −0.237 | 0.187 | 0.376 * |
| RedEdge2 | −0.216 | −0.412 ** | 0.064 | 0.165 | 0.149 | 0.202 | 0.222 | 0.253 | 0.483 ** |
| RedEdge3 | −0.028 | −0.398 ** | −0.053 | 0.181 | 0.127 | 0.157 | 0.324 | 0.278 | 0.442 * |
| NIR1 | −0.096 | −0.413 ** | −0.01 | 0.176 | 0.103 | 0.171 | 0.239 | 0.238 | 0.423 * |
| NIR2 | −0.105 | −0.401 ** | −0.038 | 0.168 | 0.121 | 0.156 | 0.271 | 0.263 | 0.438 * |
| SWIR1 | −0.346 ** | −0.295 * | 0.152 | 0.083 | 0.115 | 0.111 | −0.243 | 0.156 | 0.448 * |
| SWIR2 | −0.538 ** | −0.304 * | 0.13 | 0.095 | 0.136 | 0.069 | −0.503 ** | −0.04 | 0.219 |
| Dates | Variables | Non-Stratification | Variables | On-Year Bamboo | Variables | Off-Year Bamboo | ||||||
|---|---|---|---|---|---|---|---|---|---|---|---|---|
| R2 | MAE | RMSE | R2 | MAE | RMSE | R2 | MAE | RMSE | ||||
| Comb. seasons | EVIS4, SRS4, RedEdge1S7 | 0.86 | 5.37 | 6.59 | BlueS5, SWIR2S7, SWIR2S5 | 0.84 | 4.51 | 5.60 | SWIR2S4, EVIS4, SWIR1S7 | 0.85 | 5.32 | 7.04 |
| April | EVIS4, TW9SECS4, SWIR2S4, TW9VAS4 | 0.90 | 4.90 | 5.94 | SRS4, NDVIreS4, REDS4 | 0.75 | 5.73 | 7.20 | RedS4, SWIR2S4, SRreS4, EVIS4 | 0.85 | 5.73 | 7.25 |
| May | RedS5, BlueS5, TW9MES5 | 0.86 | 5.62 | 7.13 | BlueS5, RedS5, SWIR2S5, EVIS5 | 0.89 | 4.40 | 5.30 | SWIR1S5, CIgreenS5, TW9MES5 | 0.78 | 6.69 | 8.77 |
| July | RedEdge1S7, CIgreenS7, MTCIS7 | 0.89 | 5.41 | 7.03 | SWIR2S7, SRreS7, CVIS7 | 0.84 | 5.61 | 6.75 | NIR2S7, SWIR1S7, TW9ENS7 | 0.84 | 6.08 | 7.67 |
| Data | Evaluation of Estimation Using Non-Stratified Models | Evaluation of Estimation Using Stratified Models | ||||||||||
|---|---|---|---|---|---|---|---|---|---|---|---|---|
| R2 | RMSE | RMSEr | MAE | AIC | BIC | R2 | RMSE | RMSEr | MAE | AIC | BIC | |
| Comb. seasons | 0.24 | 12.97 | 23.17% | 9.91 | 54.96 | 52.99 | 0.34 | 12.00 | 21.45% | 9.35 | 53.49 | 51.52 |
| April | 0.43 | 11.44 | 20.45% | 9.43 | 54.28 | 51.95 | 0.25 | 12.72 | 22.72% | 10.84 | 55.59 | 53.29 |
| May | 0.15 | 13.44 | 24.02% | 10.81 | 55.65 | 53.68 | 0.29 | 12.35 | 22.07% | 9.93 | 55.03 | 52.73 |
| July | 0.13 | 14.12 | 25.23% | 10.77 | 56.59 | 54.62 | 0.46 | 10.68 | 19.09% | 8.56 | 51.26 | 49.29 |
| Evaluation of Estimation Results Based on Non-Stratification Models | ||||||||
| Data | Evaluation Using On-Year Samples | Evaluation Using Off-Year Samples | ||||||
| R2 | RMSE | RMSEr | MAE | R2 | RMSE | RMSEr | MAE | |
| Comb | 0.24 | 15.12 | 22.05% | 11.52 | 0.01 | 10.37 | 23.92% | 8.31 |
| April | 0.05 | 12.71 | 18.53% | 10.54 | 0.03 | 10.02 | 23.11% | 8.31 |
| May | 0.06 | 14.51 | 21.16% | 11.00 | 0.16 | 12.27 | 28.33% | 10.63 |
| July | 0.01 | 13.62 | 19.86% | 11.17 | 0.02 | 14.60 | 33.69% | 10.37 |
| Evaluation of Estimation Results Based on Stratified Models | ||||||||
| Data | Evaluation Using On-Year Samples | Evaluation Using Off-Year Samples | ||||||
| R2 | RMSE | RMSEr | MAE | R2 | RMSE | RMSEr | MAE | |
| Comb | 0.05 | 13.17 | 19.20% | 9.68 | 0.04 | 10.71 | 24.71% | 9.00 |
| April | 0.42 | 13.71 | 20.00% | 11.06 | 0.13 | 11.64 | 26.85% | 10.63 |
| May | 0.12 | 14.12 | 20.59% | 10.93 | 0.06 | 10.28 | 23.72% | 8.92 |
| July | 0.16 | 12.97 | 18.91% | 10.89 | 0.20 | 7.75 | 17.88% | 6.24 |
| On-Year | Off-Year | |
|---|---|---|
| Non-stratification model in April | −9.61 | +6.32 |
| Stratification model in July | −4.20 | +5.37 |
© 2018 by the authors. Licensee MDPI, Basel, Switzerland. This article is an open access article distributed under the terms and conditions of the Creative Commons Attribution (CC BY) license (http://creativecommons.org/licenses/by/4.0/).
Share and Cite
Chen, Y.; Li, L.; Lu, D.; Li, D. Exploring Bamboo Forest Aboveground Biomass Estimation Using Sentinel-2 Data. Remote Sens. 2019, 11, 7. https://doi.org/10.3390/rs11010007
Chen Y, Li L, Lu D, Li D. Exploring Bamboo Forest Aboveground Biomass Estimation Using Sentinel-2 Data. Remote Sensing. 2019; 11(1):7. https://doi.org/10.3390/rs11010007
Chicago/Turabian StyleChen, Yuyun, Longwei Li, Dengsheng Lu, and Dengqiu Li. 2019. "Exploring Bamboo Forest Aboveground Biomass Estimation Using Sentinel-2 Data" Remote Sensing 11, no. 1: 7. https://doi.org/10.3390/rs11010007
APA StyleChen, Y., Li, L., Lu, D., & Li, D. (2019). Exploring Bamboo Forest Aboveground Biomass Estimation Using Sentinel-2 Data. Remote Sensing, 11(1), 7. https://doi.org/10.3390/rs11010007
