Diffuse Attenuation Coefficient Retrieval in CDOM Dominated Inland Water with High Chlorophyll-a Concentrations
Abstract
1. Introduction
2. Materials and Methods
2.1. Study Area and Sampling Planning
2.2. Water Quality and Optical Data
2.3. Kd(490) Models
2.4. OLI/Landsat-8 Data Processing and Acquisition
2.5. Statistical Analysis and Accuracy Assessment
3. Results and Discussion
3.1. Remote Sensing Reflectance Spectra
3.2. Optical Properties and Water Constituents
3.3. Assessment of the Vertical Attenuation Coefficient Models
3.4. Assessment of the OLI Atmospheric Correction Product
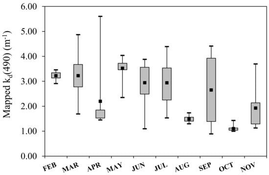
3.5. Application of kd(490) on OLI/Landsat-8 Images
4. Conclusions
Author Contributions
Funding
Acknowledgments
Conflicts of Interest
References
- Mobley, C.D. Light and Water: Radiative Transfer in Natural Waters; Academic Press: San Diego, CA, USA, 1994. [Google Scholar]
- Zheng, Z.; Ren, J.; Li, Y.; Huang, C.; Liu, G.; Du, C.; Lyu, H. Remote sensing of diffuse attenuation coefficient patterns from Landsat 8 OLI imagery of turbid inland waters: A case study of Dongting Lake. Sci. Total Environ. 2016, 573, 39–54. [Google Scholar] [CrossRef] [PubMed]
- Morel, A.; Huot, Y.; Gentili, B.; Werdell, P.J.; Hooker, S.B.; Franz, B.A. Examining the consistency of products derived from various ocean color sensors in open ocean (Case 1) waters in the perspective of a multi-sensor approach. Remote Sens. Environ. 2007, 111, 69–88. [Google Scholar] [CrossRef]
- Zhang, Y.; Liu, X.; Yin, Y.; Wang, M.; Qin, B. A simple optical model to estimate diffuse attenuation coefficient of photosynthetically active radiation in an extremely turbid lake from surface reflectance. Opt. Express 2012, 20, 482–493. [Google Scholar] [CrossRef] [PubMed]
- Mueller, J.L. SeaWiFS algorithm for the diffuse attenuation coefficient, Kd(490) using water-leaving radiance at 490 and 555 nm. SeaWiFS Post Launch Tech. Rep. Ser. 2000, 11, 24–27. [Google Scholar]
- Mueller, J.L. Revised SeaWiFS Prelaunch Algorithm for Diffuse Attenuation Coefficient K(490); Trees, C.C., Ed.; NASA Goddard Space Flight Center: Greenbelt, MD, USA, 1997. [Google Scholar]
- Chauhan, P.; Sahay, A.; Rajawat, A.S.; Nayak, S. Remote sensing of diffuse attenuation coefficient (K490) using IRS-P4 Ocean Colour Monitor (OCM) sensor. Indian J. Mar. Sci. 2003, 32, 279–284. [Google Scholar]
- Kratzer, S.; Brockmann, C.; Moore, G. Using MERIS full resolution data to monitor coastal waters—A case study from Himmerfjärden, a fjord-like bay in the northwertern Baltic Sea. Remote Sens. Environ. 2008, 112, 2284–2300. [Google Scholar] [CrossRef]
- Wang, M.; Son, S.; Harding, L.W., Jr. Retrieval of diffuse attenuation coefficient in the Chesapeake Bay and turbid ocean regions for satellite ocean color applications. J. Geophys. Res. 2009, 114, 1–15. [Google Scholar] [CrossRef]
- Lee, Z.P.; Hu, C.; Shang, S.; Du, K.; Lewis, M.; Arnone, R.; Brewin, R. Penetration of UV-visible solar radiation in the global oceans: Insights from ocean color remote sensing. J. Geophys. Res. Oceans 2013, 118, 4241–4255. [Google Scholar] [CrossRef]
- Lee, Z.P.; Carder, K.L.; Arnone, R.A. Deriving inherent optical properties from water color: A multiband quasi-analytical algorithm for optically deep waters. Appl. Opt. 2002, 41, 5755–5772. [Google Scholar] [CrossRef] [PubMed]
- Gallegos, C.L.; Correll, D.L.; Pierce, J.W. Modeling spectral diffuse attenuation, absorption, and scattering coefficients in a turbid estuary. Limnol. Oceanogr. 1990, 35, 1486–1502. [Google Scholar] [CrossRef]
- Tundisi, J.G.; Matsumura-Tundisi, T.; Pareschi, D.C.; Luzia, A.P.; Von Haeling, P.H.; Frollini, E.H. A bacia hidrográfica do Tietê/Jacaré: Estudo de caso em pesquisa e gerenciamento. Estud. Av. 2008, 22, 159–172. [Google Scholar] [CrossRef]
- Barbosa, F.A.R.; Padisák, J.; Espíndola, E.L.G.; Borics, G.; Rocha, O. The cascading reservoir continuum concept (CRCC) and its application to the river Tietê-basin, São Paulo State, Brazil. Theor. Reserv. Ecol. Its Appl. 1999, pp. 425–438. Available online: http://real.mtak.hu/3269/ (accessed on 20 June 2018).
- Golterman, H.L.; Clymo, R.S.; Ohnstad, M.A.M. Methods for Physical and Chemical Analysis of Fresh Water; Blackwell Scientific: Oxford, UK, 1978; p. 214. [Google Scholar]
- APHA. Standard Methods for the Examination of Water and Wastewater; American Public Health Association: Washington, DC, USA, 1998; p. 20. [Google Scholar]
- Bricaud, A.; Morel, A.; Prieur, L. Absorption by dissolved organic matter of the sea (yellow substance) in the UV and visible domains. Limnol. Oceanogr. 1981, 26, 43–53. [Google Scholar] [CrossRef]
- Tassan, S.; Ferrari, G.M. An alternative approach to absorption measurements of aquatic particles retained on filters. Limnol. Oceanogr. 1995, 40, 1358–1368. [Google Scholar] [CrossRef]
- Tassan, S.; Ferrari, G.M. Measurement of light absorption by aquatic particles retained on filters: Determination of the optical path length amplification by the ‘transmittance-reflectance’ method. J. Plankton Res. 1998, 20, 1699–1709. [Google Scholar] [CrossRef]
- Tassan, S.; Ferrari, G.M. A sensitivity analysis of the ‘Transmittance–Reflectance’ method for measuring light absorption by aquatic particles. J. Plankton Res. 2002, 24, 757–774. [Google Scholar] [CrossRef]
- Mobley, C.D. Estimation of the remote-sensing reflectance from above-surface measurements. Appl. Opt. 1999, 38, 7442–7455. [Google Scholar] [CrossRef] [PubMed]
- Lee, Z.P.; Ahn, Y.H.; Mobley, C.; Arnone, R. Removal of surface-reflected light for the measurement of remote-sensing reflectance from an above-surface platform. Opt. Express 2010, 18, 26313–26324. [Google Scholar] [CrossRef] [PubMed]
- Barsi, J.A.; Lee, K.; Kvaran, G.; Markham, B.L.; Pedelty, J.A. The spectral response of the Landsat-8 Operational Land Imager. Remote Sens. 2014, 6, 10232–10251. [Google Scholar] [CrossRef]
- Lee, Z.P.; Du, K.P.; Arnone, R. A model for the diffuse attenuation coefficient of downwelling irradiance. J. Geophys. Res. 2005, 110, 1–10. [Google Scholar] [CrossRef]
- Gege, P.; Pinnel, N. Sources of variance of downwelling irradiance in water. Appl. Opt. 2011, 50, 2192–2203. [Google Scholar] [CrossRef] [PubMed]
- Mishra, D.R.; Narumalani, S.; Rundquist, D.; Lawson, M. Characterizing the vertical diffuse attenuation coefficient for downwelling irradiance in coastal waters: Implications for water penetration by high resolution satellite data. Photogramm. Remote Sens. 2005, 60, 48–64. [Google Scholar] [CrossRef]
- Kirk, J.T.O. Light & Photosynthesis in Aquatic Ecosystems, 2nd ed.; Cambridge University Press: Melbourne, Australia, 1994. [Google Scholar]
- Zhao, J.; Barnes, B.; Melo, N.; English, D.; Lapointe, B.; Muller-Karger, F.; Schaeffer, B.; Hu, C. Assessment of satellite-derived diffuse attenuation coefficients and euphotic depths in south Florida coastal waters. Remote Sens. Environ. 2013, 131, 35–50. [Google Scholar] [CrossRef]
- Zhang, T.; Fell, F. An empirical algorithm for determining the diffuse attenuation coefficient kd in clear and turbid waters from spectral remote sensing reflectance. Limnol. Oceanogr. Methods 2007, 5, 457–462. [Google Scholar] [CrossRef]
- Lee, Z.P.; Lubac, B.; Werdell, J.; Arnone, R. An Update of the Quasi-analytical Algorithm (QAA_v5). In International Ocean Color Group Software Report; International Ocean-Colour Coordinating Group: Dartmouth, Nova Scotia, NS, Canada, 2009; pp. 1–9. [Google Scholar]
- Vermote, E.; Justice, C.; Claverie, M.; Franch, B. Preliminary analysis of the performance of the Landsat 8/OLI land surface reflectance product. Remote Sens. Environ. 2016, 185, 46–56. [Google Scholar] [CrossRef]
- Pahlevan, N.; Schott, J.R.; Franz, B.A.; Zibordi, G.; Markham, B.; Bailey, S.; Schaaf, C.B.; Ondrusek, M.; Greb, S.; Strait, C.M. Landsat 8 remote sensing reflectance (Rrs) products: Evaluations, intercomparisons, and enhancements. Remote Sens. Environ. 2017, 190, 289–301. [Google Scholar] [CrossRef]
- Bernardo, N.; Watanabe, F.; Rodrigues, T.; Alcântara, E. Atmospheric correction issues for retrieving total suspended matter concentrations in inland waters using OLI/Landsat-8 image. Adv. Space Res. 2017, 59, 2335–2348. [Google Scholar] [CrossRef]
- Moses, W.J.; Gitelson, A.A.; Perk, R.L.; Gurlin, D.; Rundquist, D.C.; Leavitt, B.C.; Barrow, T.M.; Brakhage, P. Estimation of chlorophyll-a in turbid productive waters using airborne hyperspectral data. Water Res. 2012, 46, 993–1004. [Google Scholar] [CrossRef] [PubMed]
- Brezonik, P.L.; Olmanson, L.G.; Finlay, J.C.; Bauer, M.E. Factor affecting the measurement of CDOM by remote sensing of optically complex inland waters. Remote Sens. Environ. 2015, 157, 199–215. [Google Scholar] [CrossRef]
- Binding, C.E.; Jerome, J.H.; Bukata, R.P.; Booty, W.G. Spectral absorption properties of dissolved and particulate matter in Lake Erie. Remote Sens. Environ. 2008, 112, 1702–1711. [Google Scholar] [CrossRef]
- Zhang, Y.; van Dijk, M.A.; Liu, M.; Zhu, G.; Qin, B. The contribution of phytoplankton degradation to chromophoric dissolved organic matter (CDOM) in eutrophic shallow lakes: Field and experimental evidence. Water Res. 2009, 43, 4685–4697. [Google Scholar] [CrossRef] [PubMed]
- Prado, R.B.; Novo, E.M.L.M.; Pereira, M.N. Evaluation of Land Use and Land Cover Dynamics in the Hydrographic Contribution Basin of Barra Bonita Reservoir-SP. Braz. J. Cartogr. 2007, 2, 127–135. [Google Scholar]
- Cairo, C.T.; Barbosa, C.C.F.; Novo, E.M.L.M.; Calijuri, M.C. Spatial and seasonal variation in diffuse attenuation coefficients of downward irradiance at Ibitinga Reservoir, São Paulo, Brazil. Hydrobiologia 2017, 784, 265–282. [Google Scholar] [CrossRef]
- Werdell, P.J. OceanColor K490 Algorithm Evaluation. Available online: https://oceancolor.gsfc.nasa.gov/reprocessing/r2005.1/seawifs/k490_update/ (accessed on 17 October 2017).
- Rodrigues, T.; Alcântara, E.; Watanabe, F.; Imai, N. Retrieval of Secchi disk depth from a reservoir using a semi-analytical scheme. Remote Sens. Environ. 2017, 198, 213–228. [Google Scholar] [CrossRef]
- Watanabe, F.; Mishra, D.R.; Astuti, I.; Rodrigues, T.; Alcântara, E.; Imai, N.N.; Barbosa, C. Parametrization and calibration of a quase-analytical algorithm for tropical eutrophic waters. ISPRS J. Photogramm. Remote Sens. 2016, 121, 28–47. [Google Scholar] [CrossRef]
- Li, S.; Song, K.; Mu, G.; Zhao, Y.; Ma, J.; Ren, J. Evaluation of the Quasi-Analytical Algorithm (QAA) for estimating total absorption coefficient of turbid inland Waters in Northeast China. IEEE J. Sel. Top. Appl. Earth Obs. Remote Sens. 2016, 9, 4022–4036. [Google Scholar] [CrossRef]








| Type | Model | Formula | Calibration Dataset |
|---|---|---|---|
| Empirical model with [Chl-a] | Morel et al. (2007) | Clear Ocean Waters | |
| s | Mueller (2000) | ||
| Mueller and Tress (1997) | Clear Ocean Waters | ||
| Chauhan et al. (2003) | |||
| Empirical model with nLw or Rr | Werdell (2005) | ||
| Kraztzer et al. (2008) | Coastal Waters | ||
| Zhang and Fell (2007)* | Turbid Ocean Waters | ||
| Wang et al. (2009) | Slightly Turbid Waters | ||
| Wang et al. (2009) | |||
| Semi-analytical model | Slightly Turbid Coastal Waters | ||
| Lee et al. (2013) | Global Ocean Waters |
| Field Campaigns | Parameters | Minimum | Maximum | Mean | S.D. | C.V. |
|---|---|---|---|---|---|---|
| BAR1 (N = 30) | ZSD (m) | 0.5 | 1.6 | 1.2 | 0.2 | 20.0% |
| Turbidity (NTU) | 7.8 | 80.9 | 16.6 | 7.6 | 45.8% | |
| pH | 6.1 | 9.9 | 7.9 | 0.8 | 10.5% | |
| Wind Speed (m s−1) | 0.0 | 8.0 | 3.5 | 1.8 | 51.7% | |
| Depth (m) | 5.6 | 19.6 | 11.4 | 4.3 | 37.8% | |
| kd(482) (m−1) | 1.9 | 4.0 | 2.8 | 0.3 | 10.7% | |
| [Chl-a] (μg L−1) | 25.7 | 709.9 | 119.8 | 96.4 | 80.5% | |
| [SPM] (mg L−1) | 3.6 | 40.3 | 8.4 | 4.6 | 55.2% | |
| [IPM] (mg L−1) | 0.9 | 4.0 | 2.3 | 0.5 | 21.9% | |
| [OPM] (mg L−1) | 1.4 | 36.3 | 6.1 | 4.6 | 75.4% | |
| aϕ(482) (m−1) | 0.2 | 4.2 | 0.4 | 0.3 | 68.0% | |
| aNAP(482) (m−1) | 0.2 | 0.5 | 0.4 | 0.1 | 27.0% | |
| aCDOM(482) (m−1) | 0.6 | 1.6 | 1.0 | 0.3 | 28.0% | |
| BAR2 (N = 18) | ZSD (m) | 1.6 | 2.5 | 2.1 | 0.2 | 9.3% |
| Turbidity (NTU) | 3.5 | 8.80 | 5.7 | 1.2 | 21.9% | |
| pH | 6.8 | 7.3 | 7.0 | 0.1 | 1.9% | |
| Wind Speed (m s−1) | 0.0 | 6.5 | 3.1 | 1.7 | 56.3% | |
| Depth (m) | 4.7 | 21.2 | 12.7 | 4.1 | 32.6% | |
| kd(482) (m−1) | 1.5 | 2.3 | 1.8 | 0.1 | 6.5% | |
| [Chl-a] (μg L−1) | 3.8 | 19.1 | 8.0 | 3.3 | 40.9% | |
| [SPM] (mg L−1) | 0.2 | 2.6 | 1.6 | 0.4 | 27.9% | |
| [IPM] (mg L−1) | 0.2 | 1.3 | 0.6 | 0.2 | 42.4% | |
| [OPM] (mg L−1) | 0.4 | 1.6 | 1.1 | 0.3 | 28.8% | |
| aϕ(482) (m−1) | 0.02 | 0.1 | 0.1 | 0.02 | 33.0% | |
| aNAP(482) (m−1) | 0.07 | 0.2 | 0.1 | 0.04 | 30.0% | |
| aCDOM(482) (m−1) | 0.2 | 1.9 | 1.0 | 0.5 | 51.0% | |
| Mixed Data (N = 48) | ZSD (m) | 0.5 | 2.5 | 1.5 | 0.4 | 29.03% |
| Turbidity (NTU) | 3.5 | 80.9 | 12.7 | 6.3 | 50.03% | |
| pH | 6.1 | 9.9 | 7.6 | 0.7 | 9.4% | |
| Wind Speed (m s−1) | 0.0 | 8.0 | 3.3 | 1.8 | 53.4% | |
| Depth (m) | 4.7 | 21.2 | 12.0 | 4.2 | 35.1% | |
| kd(482) (m−1) | 1.5 | 4.0 | 2.4 | 0.5 | 21.1% | |
| [Chl-a] (μg L−1) | 3.8 | 709.9 | 77.8 | 77.1 | 99.1% | |
| [SPM] (mg L−1) | 0.2 | 40.3 | 5.8 | 4.05 | 69.8% | |
| [IPM] (mg L−1) | 0.2 | 4.0 | 2.0 | 0.8 | 40.2% | |
| [OPM] (mg L−1) | 0.4 | 36.3 | 5.0 | 4.0 | 79.5% | |
| aϕ(482) (m−1) | 0.02 | 1.3 | 0.3 | 0.3 | 97.0% | |
| aNAP(482) (m−1) | 0.07 | 0.5 | 0.3 | 0.1 | 53.0% | |
| aCDOM(482) (m−1) | 0.2 | 1.9 | 1.0 | 0.4 | 37.0% |
| Type | Model | MAPE (%) | RMSE (m−1) | bias (m−1) |
|---|---|---|---|---|
| Empirical | Morel et al. (2007) I | 61.0 | 1.5 | −1.2 |
| Morel et al. (2007) II | 61.0 | 1.5 | −1.2 | |
| Mueller (2000) | 86.5 | 2.2 | −2.1 | |
| Mueller and Tress (1997) | 86.1 | 2.2 | −2.1 | |
| Chauhan et al. (2003) | 82.3 | 2.0 | −1.9 | |
| Werdell (2005) | 86.0 | 2.2 | −2.1 | |
| Kratzer et al. (2008) | 60.6 | 1.6 | −1.5 | |
| Zhang and Fell (2007) | 42.9 | 1.2 | −2.0 | |
| Wang et al. (2009) | 54.0 | 1.4 | −1.1 | |
| Semi-analytical | Wang et al. (2009) I | 46.3 | 1.3 | −1.2 |
| Wang et al. (2009) II | 63.7 | 1.7 | −1.6 | |
| Lee et al. (2013) | 41.0 | 2.0 | −0.9 |
© 2018 by the authors. Licensee MDPI, Basel, Switzerland. This article is an open access article distributed under the terms and conditions of the Creative Commons Attribution (CC BY) license (http://creativecommons.org/licenses/by/4.0/).
Share and Cite
Gomes, A.C.C.; Bernardo, N.; Carmo, A.C.d.; Rodrigues, T.; Alcântara, E. Diffuse Attenuation Coefficient Retrieval in CDOM Dominated Inland Water with High Chlorophyll-a Concentrations. Remote Sens. 2018, 10, 1063. https://doi.org/10.3390/rs10071063
Gomes ACC, Bernardo N, Carmo ACd, Rodrigues T, Alcântara E. Diffuse Attenuation Coefficient Retrieval in CDOM Dominated Inland Water with High Chlorophyll-a Concentrations. Remote Sensing. 2018; 10(7):1063. https://doi.org/10.3390/rs10071063
Chicago/Turabian StyleGomes, Ana Carolina Campos, Nariane Bernardo, Alisson Coelho do Carmo, Thanan Rodrigues, and Enner Alcântara. 2018. "Diffuse Attenuation Coefficient Retrieval in CDOM Dominated Inland Water with High Chlorophyll-a Concentrations" Remote Sensing 10, no. 7: 1063. https://doi.org/10.3390/rs10071063
APA StyleGomes, A. C. C., Bernardo, N., Carmo, A. C. d., Rodrigues, T., & Alcântara, E. (2018). Diffuse Attenuation Coefficient Retrieval in CDOM Dominated Inland Water with High Chlorophyll-a Concentrations. Remote Sensing, 10(7), 1063. https://doi.org/10.3390/rs10071063

