Modulation of Tidal Channel Signatures on SAR Images Over Gyeonggi Bay in Relation to Environmental Factors
Abstract
1. Introduction
2. Data and Methods
3. Results
3.1. Bathymetric Features over the Tidal Channel on Synthetic Aperture Radar Imagery
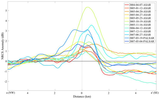
3.2. Modulation of Tidal Channel Signatures
3.3. Effects of Tidal Current and Wind on Normalized Radar Cross Section Variation
4. Conclusions
Acknowledgments
Author Contributions
Conflicts of Interest
References
- Alpers, W.; Hennings, I. A theory of the imaging mechanism of underwater bottom topography by real and synthetic aperture radar. J. Geophys. Res. 1984, 89, 1029–1054. [Google Scholar] [CrossRef]
- Shuchman, R.A.; Lyzenga, D.R.; Meadows, G.A. Synthetic aperture radar imaging of ocean-bottom topography via tidal-current interactions: Theory and observations. Int. J. Remote Sens. 1985, 6, 1179–1200. [Google Scholar] [CrossRef]
- Vogelzang, J.; Wensink, G.J.; de Loor, G.P.; Peters, H.C.; Pouwels, H. 1992: Sea bottom topography with X band SLAR: The relation between radar imagery and bathymetry. Int. J. Remote Sens. 1992, 13, 1943–1958. [Google Scholar] [CrossRef]
- Vogelzang, J.; Wensink, G.J.; Calkoen, C.J.; Van der Kooij, M.W.A. Mapping submarine sand waves with multiband imaging radar: Experimental results and model comparison. J. Geophys. Res. 1997, 102, 1183–1192. [Google Scholar] [CrossRef]
- Hennings, I. An historical overview of radar imagery of sea bottom topography. Int. J. Remote Sens. 1998, 19, 1447–1454. [Google Scholar] [CrossRef]
- Zheng, Q.; Li, L.; Guo, X.; Ge, Y.; Zhu, D.; Li, C. SAR imaging and hydrodynamic analysis of ocean bottom topographic waves. J. Geophys. Res. 2006, 111. [Google Scholar] [CrossRef]
- Li, X.; Li, C.; Xu, Q.; Pichel, W.G. Sea surface manifestation of along-tidal-channel underwater ridges imaged by SAR. IEEE Trans. Geosci. Remote Sens. 2009, 47, 2467–2477. [Google Scholar]
- Li, X.; Yang, X.; Zheng, Q.; Pietrafesa, L.J.; Pichel, W.G.; Li, Z.; Li, X. Deep-water bathymetric features imaged by spaceborne SAR in the Gulf Stream region. Geophys. Res. Lett. 2010, 37. [Google Scholar] [CrossRef]
- Shi, W.; Wang, M.; Li, X.; Pichel, W.G. Ocean sand ridge signatures in the Bohai Sea observed by satellite ocean color and synthetic aperture radar measurements. Remote Sens. Environ. 2011, 115, 1926–1934. [Google Scholar] [CrossRef]
- Zheng, Q.; Holt, B.; Li, X.; Liu, X.; Zhao, Q.; Yuan, Y.; Yang, X. Deep-water seamount wakes on SEASAT SAR image in the Gulf Stream region. Geophys. Res. Lett. 2012, 39. [Google Scholar] [CrossRef]
- Wang, X.; Zhang, H.; Li, X.; Fu, B.; Guan, W. SAR imaging of a topography-induced current front in a tidal channel. Int. J. Remote Sens. 2015, 14, 3563–3574. [Google Scholar] [CrossRef]
- Zhang, S.; Xu, Q.; Zheng, Q.; Li, X. Mechanisms of SAR imaging of shallow water topography of the Subei Bank. Remote Sens. 2017, 9, 1203. [Google Scholar] [CrossRef]
- Kim, T.; Park, J.-J.; Choi, B.-J. Study of the tidal channels appeared on SAR images. Korean J. Remote Sens. 2009, 25, 501–505. [Google Scholar]
- Vogelzang, J. The mapping of bottom topography with imaging radar: A comparison of the hydrodynamic modulation in some existing models. Int. J. Remote Sens. 1989, 10, 1503–1518. [Google Scholar] [CrossRef]
- Hennings, I. Radar imaging of submarine sandwaves in tidal channels. J. Geophys. Res. 1990, 95, 9713–9721. [Google Scholar] [CrossRef]
- Cooper, A.L.; Chubb, S.R.; Askari, F.; Valenzuela, G.R.; Bennett, J.R.; Keller, W.C. 1994, Radar surface signatures for the two-dimensional tidal circulation over Phelps Bank, Nantucket Shoals: A comparison between theory and experiment. J. Geophys. Res. 1994, 99, 7865–7883. [Google Scholar] [CrossRef]
- Van der Kooij, M.W.A.; Vogelzang, J.; Calkoen, C.J. A simple analytical model for brightness modulations caused by submarine sand waves in radar imagery. J. Geophys. Res. 1995, 100, 7069–7082. [Google Scholar] [CrossRef]
- Vogelzang, J. Mapping submarine sand waves with multiband imaging radar: 1. Model development and sensitivity analysis. J. Geophys. Res. 1997, 102, 1163–1181. [Google Scholar] [CrossRef]
- Romeiser, R.; Alpers, W. An improved composite surface model for the radar backscattering cross section of the ocean surface: 2. Model response to surface roughness variations and the radar imaging of underwater bottom topography. J. Geophys. Res. 1997, 102, 25251–25267. [Google Scholar] [CrossRef]
- Hennings, I.; Metzner, M.; Calkoen, C.J. Island connected sea bed signatures observed by multi-frequency synthetic aperture radar. Int. J. Remote Sens. 1998, 19, 1933–1951. [Google Scholar] [CrossRef]
- Vogelzang, J. A model comparison study to the imaging of submarine reefs with synthetic aperture radar. Int. J. Remote Sens. 2001, 22, 2509–2536. [Google Scholar] [CrossRef]
- Kim, T.; Park, J.; Lee, H. Spatial variation of coastal sand ridge features appeared on SAR images. J. Coast. Res. 2011, SI64, 1687–1691. [Google Scholar]
- Park, S.C.; Lee, S.D. Depositional patterns of sand ridges in tide-dominated shallow water environments: Yellow Sea coast and South Sea of Korea. Mar. Geol. 1994, 120, 89–103. [Google Scholar] [CrossRef]
- Choi, J.-Y.; Kwon, Y.K.; Chung, G.S. Late Quaternary stratigraphy and depositional environment of tidal sand ridge deposits in Gyeonggi Bay, west coast of Korea. J. Korean Earth Sci. Soc. 2012, 33, 1–10. [Google Scholar] [CrossRef]
- Topouzelis, K; Singha, S. Incidence angle normalization of wide swath SAR data for oceanographic applications. Open Geosci. 2016, 8, 450–464. [Google Scholar]
- Ulaby, F.T.; Moore, R.K.; Fung, A.K. Microwave Remote Sensing: Active and Passive Volume II: Radar Remote Sensing and Surface Scattering and Emission Theory; Artech House: Norwood, MA, USA, 1982. [Google Scholar]
- Mladenova, I.E.; Jackson, T.J.; Bindlish, R.; Hensley, S. Incidence angle normalization of radar backscatter data. IEEE Trans. Geosci. Remote Sens. 2013, 51, 1791–1804. [Google Scholar] [CrossRef]
- Solberg, A.H.S.; Storvik, G.; Solberg, R.; Volden, E. Automatic detection of oil spills in ERS SAR images. IEEE Trans. Geosci. Remote Sens. 1999, 37, 1916–1924. [Google Scholar] [CrossRef]
- Solberg, A.H.S.; Dokken, S.T.; Solberg, R. Automatic Detection of Oil Spills in Envisat, Radarsat and ERS SAR images. In Proceedings of the IEEE International Geoscience and Remote Sensing Symposium (IGARSS), Toulouse, France, 21–25 July 2003. [Google Scholar]
- Topouzelis, K.N. Oil spill detection by SAR images: Dark formation detection, feature extraction and classification algorithms. Sensors 2008, 8, 6642–6659. [Google Scholar] [CrossRef] [PubMed]
- Kim, T.-S.; Park, K.-A.; Li, X.; Lee, M.; Hong, S.; Lyu, S.J.; Nam, S. Detection of the Hebei Spirit oil spill on SAR imagery and its temporal evolution in a coastal region of the Yellow Sea. Adv. Space Res. 2015, 56, 1079–1093. [Google Scholar] [CrossRef]
- Öztürk, S.; Akdemir, B. Comparison of edge detection algorithms for texture analysis on glass production. Procedia Soc. Behav. Sci. 2015, 195, 2675–2682. [Google Scholar] [CrossRef]
- Canny, J. A computational approach to edge detection. IEEE Trans. Pattern Anal. Mach. Intell. 1986, 8, 679–714. [Google Scholar] [CrossRef] [PubMed]
- Lee, M.; Jung, J.-Y. Pollution risk assessment of oil spill accidents in Garorim Bay of Korea. Mar. Pollut. Bull. 2015, 100, 297–303. [Google Scholar] [CrossRef] [PubMed]
- Ryan, W.B.F.; Carbotte, S.M.; Coplan, J.O.; O’Hara, S.; Melkonian, A.; Arko, R.; Weissel, R.A.; Ferrini, V.; Goodwillie, A.; Nitsche, F.; et al. Global multi-resolution topography synthesis. Geochem. Geophys. Geosyst. 2009, 10, Q03014. [Google Scholar] [CrossRef]
- Choi, D.-L.; Kim, S.R.; Suk, B.-C.; Han, S.-H. Transport of sandy sediments in the Yellow Sea off Tae-An Peninsula, Korea. J. Oceanol. Soc. Korean 1992, 27, 66–77. [Google Scholar]
- Kum, B.-C.; Shin, D.-H. Dune Migration on an offshore sand ridge in the southern Gyeonggi Bay, Korea. Ocean Polar Res. 2013, 35, 51–61. [Google Scholar] [CrossRef]
- Lee, G.S.; Kim, D.C.; Seo, Y.K.; Yi, H.I.; Yoo, S. Sedimentary environment and sequence study using high resolution seismic survey in Gyunggi Bay, the Yellow Sea. Korean J. Fish. Aquart. Sci. 2009, 42, 683–694. [Google Scholar] [CrossRef][Green Version]
- Calkoen, C.J.; Hesselmans, G.H.F.M.; Wensink, G.J.; Vogelzang, J. The Bathymetry Assessment System: Efficient depth mapping in shallow seas using radar images. Int. J. Remote Sens. 2001, 22, 2973–2998. [Google Scholar] [CrossRef]
- Alpers, W.; Campbell, G.; Wensink, H.; Zhang, Q. Underwater topography. In Synthetic Aperture Radar Marine User’s Manual; Jackson, C.R., Apel, J.R., Eds.; US Department of Commerce, National Oceanic and Atmospheric Administration, National Environmental Satellite, Data, and Information Serve, Office of Research and Applications: Washington, DC, USA, 2004; pp. 245–262. [Google Scholar]










| No. | 1 | 2 | 3 | 4 | 5 | 6 | 7 | 8 | 9 | 10 | 11 | 12 | 13 |
|---|---|---|---|---|---|---|---|---|---|---|---|---|---|
| Satellite/Sensor | Envisat ASAR | Envisat ASAR | Envisat ASAR | Envisat ASAR | Envisat ASAR | Envisat ASAR | Envisat ASAR | Envisat ASAR | Envisat ASAR | Envisat ASAR | ALOS PALSAR | ALOS PALSAR | ALOS PALSAR |
| Acquisition time | 2004.04.07 01 h 48 m | 2005.01.12 01 h 48 m | 2005.04.20 13 h 23 m | 2005.04.27 01 h 49 m | 2005.05.25 13 h 23 m | 2005.10.19 01 h 49 m | 2005.11.16 13 h 23 m | 2006.04.1201 h 48 m | 2007.12.1101 h 40 m | 2007.08.2713 h 26 m | 2007.03.1902 h 16 m | 2007.05.0402 h 16 m | 2009.07.1102 h 20 m |
| Frequency (GHz) | 5.3 (C-band) | 5.3 (C-band) | 5.3 (C-band) | 5.3 (C-band) | 5.3 (C-band) | 5.3 (C-band) | 5.3 (C-band) | 5.3 (C-band) | 5.3 (C-band) | 5.3 (C-band) | 1.2 (L-band) | 1.2 (L-band) | 1.2 (L-band) |
| Polarization | VV | VV | VV | VV | VV | VV | VV | VV | VV | HH | HH | HH | HH |
| Central location | 124.61°E 37.58°N | 126.07°E 37.67°N | 125.78°E 37.30°N | 126.06°E 37.67°N | 125.79°E 37.30°N | 126.07°E 37.67°N | 125.79°E 37.30°N | 126.07°E 37.67°N | 127.09°E 36.87°N | 126.27°E 38.35°N | 125.25°E 37.99°N | 125.26°E 38.00°N | 124.73°E 37.99°N |
| Wind speed (m/s) | 4.0 | 8.5 | 6.0 | 9.3 | 5.1 | 3.1 | 4.6 | 3.4 | 4.7 | 4.1 | 4.6 | 5.6 | 2.4 |
| Wind direction (°) | 265 | 130 | 229 | 170 | 186 | 31 | 353 | 256 | 16 | 212 | 298 | 17 | 126 |
| Tidal current velocity (cm/s) | 89 | 99 | 72 | 94 | 38 | 75 | 105 | 44 | 76 | 70 | 58 | 64 | 103 |
| Tidal current phase (°) | 207 | 212 | 206 | 210 | 104 | 227 | 223 | 166 | 212 | 185 | 202 | 191 | 232 |
© 2018 by the authors. Licensee MDPI, Basel, Switzerland. This article is an open access article distributed under the terms and conditions of the Creative Commons Attribution (CC BY) license (http://creativecommons.org/licenses/by/4.0/).
Share and Cite
Kim, T.-S.; Park, K.-A.; Lee, M. Modulation of Tidal Channel Signatures on SAR Images Over Gyeonggi Bay in Relation to Environmental Factors. Remote Sens. 2018, 10, 566. https://doi.org/10.3390/rs10040566
Kim T-S, Park K-A, Lee M. Modulation of Tidal Channel Signatures on SAR Images Over Gyeonggi Bay in Relation to Environmental Factors. Remote Sensing. 2018; 10(4):566. https://doi.org/10.3390/rs10040566
Chicago/Turabian StyleKim, Tae-Sung, Kyung-Ae Park, and Moonjin Lee. 2018. "Modulation of Tidal Channel Signatures on SAR Images Over Gyeonggi Bay in Relation to Environmental Factors" Remote Sensing 10, no. 4: 566. https://doi.org/10.3390/rs10040566
APA StyleKim, T.-S., Park, K.-A., & Lee, M. (2018). Modulation of Tidal Channel Signatures on SAR Images Over Gyeonggi Bay in Relation to Environmental Factors. Remote Sensing, 10(4), 566. https://doi.org/10.3390/rs10040566

