Effects of Ambient Ozone on Soybean Biophysical Variables and Mineral Nutrient Accumulation
Abstract
1. Introduction
2. Materials
2.1. Experimental Design and Abiotic Conditions
2.2. Hyperspectral Reflectance and Leaf Area Index Measurements
2.3. Gas Exchange and Fluorescence Measurements
2.4. Foliar Nutrient Concentration and Yield Determination
2.5. Ozone Data
3. Methods
3.1. Statistical Analysis
3.2. Finding the Best Spectral Regions to Map Fluorescence Yield
3.3. Partial Least Squares Regression (PLSR) Modeling
4. Results and Discussion
4.1. Leaf Gas Exchange and Yield
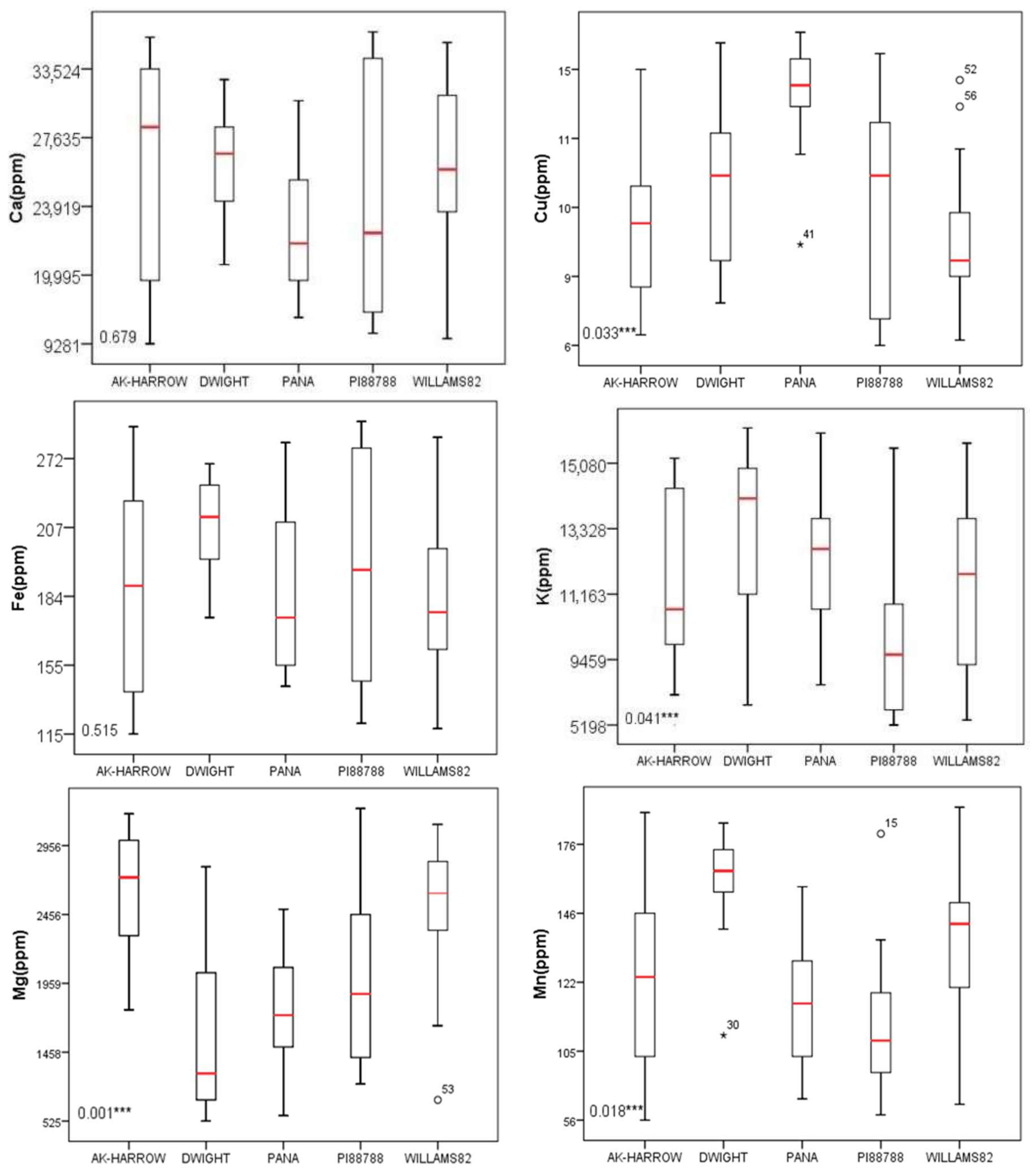
4.2. Mineral Nutrient Uptake Rate
4.3. Best Spectral Regions Correlated with Fluorescence Yield
4.4. Comparison with Existing Indices and Methods
4.5. Prediction of Mineral Nutrient Concentration
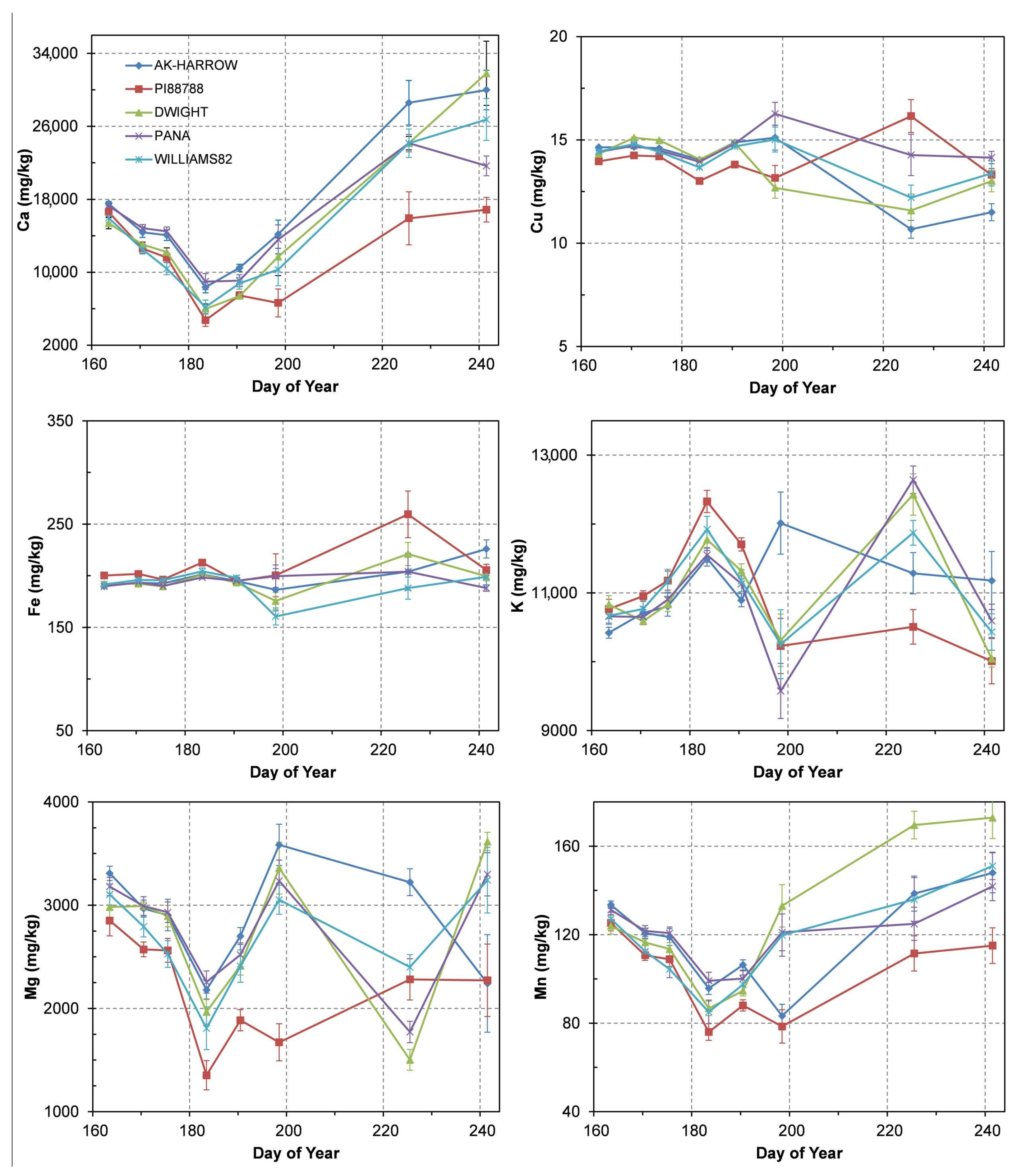
4.6. Temporal Variation in Mineral Nutrient Accumulation and Physiological Indices under Ambient Ozone Concentrations
5. Conclusions
- (1)
- Chlorophyll fluorescence, photochemical quenching, electron transport, and harvest index varied significantly among the genotypes. The lowest photochemical quenching, fluorescence yield, harvest index, and terminal yield were found with the most ozone sensitive genotype PI88788, which was followed by AK-HARROW, the second most ozone sensitive genotype tested. The opposite was true for the most ozone tolerant genotypes: DWIGHT, PANA, and WILLIAMS82.
- (2)
- Ambient ozone affects how plants regulate mineral nutrient uptake and tissue element composition. When plants were exposed to significant ozone damage, the foliar concentrations of K and Mn were lower and Fe and Mg concentrations were higher for ozone-sensitive genotypes—AK-HARROW and PI88788—than the rest of the genotypes.
- (3)
- The analysis between the spectral data and leaf biophysical variables collected from the top, middle and bottom of a plant canopy demonstrated that the upper and middle leaf measurements are the best for capturing plant physiology in response to ozone concentrations. This finding is important as most optical remote sensing sensors measure upper canopy.
- (4)
- Unlike water stress, which is strongly associated with changes in stomatal conductance, fluorescence yield was found to be the most correlated to ozone stress.
- (5)
- Among the 27 indices found in the literature, the two indices developed in this study, i.e., PRI519 [R531, R519] and NDSI [R419, R2371], showed the strongest correlations with fluorescence yield, electron transport, and photochemical quenching, followed by PRI512[R531, R512], Anthocyanin (Antgmn), Carotenoid Index (Cargtln), and Fluorescence Ratio Index1 (FRI1 = R690/R600).
Acknowledgments
Author Contributions
Conflicts of Interest
References
- Fishman, J.; Creilson, J.K.; Parker, P.A.; Ainsworth, E.A.; Vining, G.G.; Szarka, J.; Booker, F.L.; Xu, X.J. An investigation of widespread ozone damage to the soybean crop in the upper midwest determined from ground-based and satellite measurements. Atmos. Environ. 2010, 44, 2248–2256. [Google Scholar] [CrossRef]
- Tai, A.P.K.; Martin, M.V.; Heald, C.L. Threat to future global food security from climate change and ozone air pollution. Nat. Clim. Chang. 2014, 4, 817–821. [Google Scholar] [CrossRef]
- Alexandratos, N.; Bruinsma, J. World Agriculture towards 2030/2050: The 2012 Revision; Food and Agriculture Organization of the United Nations: Rome, Italy, 2012. [Google Scholar]
- Betzelberger, A.M.; Gillespie, K.M.; Mcgrath, J.M.; Koester, R.P.; Nelson, R.L.; Ainsworth, E.A. Effects of chronic elevated ozone concentration on antioxidant capacity, photosynthesis and seed yield of 10 soybean cultivars. Plant Cell Environ. 2010, 33, 1569–1581. [Google Scholar] [CrossRef] [PubMed]
- Betzelberger, A.M.; Yendrek, C.R.; Sun, J.D.; Leisner, C.P.; Nelson, R.L.; Ort, D.R.; Ainsworth, E.A. Ozone exposure response for U.S. Soybean cultivars: Linear reductions in photosynthetic potential, biomass, and yield. Plant Physiol. 2012, 160, 1827–1839. [Google Scholar] [CrossRef] [PubMed]
- MacDonald, J.M.; Korb, P.; Hoppe, R.A. Farm Size and the Organization of US Crop Farming; Createspace Independent Pub: North Charleston, SC, USA, 2013. [Google Scholar]
- Avnery, S.; Mauzerall, D.L.; Liu, J.F.; Horowitz, L.W. Global crop yield reductions due to surface ozone exposure: 1. Year 2000 crop production losses and economic damage. Atmos. Environ. 2011, 45, 2284–2296. [Google Scholar] [CrossRef]
- Avnery, S.; Mauzerall, D.L.; Liu, J.F.; Horowitz, L.W. Global crop yield reductions due to surface ozone exposure: 2. Year 2030 potential crop production losses and economic damage under two scenarios of O3 pollution. Atmos. Environ. 2011, 45, 2297–2309. [Google Scholar] [CrossRef]
- Gitelson, A.; Merzlyak, M.N. Quantitative estimation of chlorophyll-a using reflectance spectra—Experiments with autumn chestnut and maple leaves. J. Photochem. Photobiol. B 1994, 22, 247–252. [Google Scholar] [CrossRef]
- Gitelson, A.A.; Vina, A.; Arkebauer, T.J.; Rundquist, D.C.; Keydan, G.; Leavitt, B. Remote estimation of leaf area index and green leaf biomass in maize canopies. Geophys. Res. Lett. 2003, 30. [Google Scholar] [CrossRef]
- Penuelas, J.; Filella, I.; Gamon, J.A. Assessment of photosynthetic radiation-use efficiency with spectral reflectance. New Phytol. 1995, 131, 291–296. [Google Scholar] [CrossRef]
- Zarco-Tejada, P.J.; Pushnik, J.C.; Dobrowski, S.; Ustin, S.L. Steady-state chlorophyll a fluorescence detection from canopy derivative reflectance and double-peak red-edge effects. Remote Sens. Environ. 2003, 84, 283–294. [Google Scholar] [CrossRef]
- Ceccato, P.; Flasse, S.; Gregoire, J.M. Designing a spectral index to estimate vegetation water content from remote sensing data—Part 2. Validation and applications. Remote Sens. Environ. 2002, 82, 198–207. [Google Scholar] [CrossRef]
- Ghulam, A.; Li, Z.L.; Qin, Q.M.; Tong, Q.X.; Wang, J.H.; Kasimu, A.; Zhu, L. A method for canopy water content estimation for highly vegetated surfaces-shortwave infrared perpendicular water stress index. Sci. China Ser. D 2007, 50, 1359–1368. [Google Scholar] [CrossRef]
- Ghulam, A.; Li, Z.L.; Qin, Q.M.; Yimit, H.; Wang, J.H. Estimating crop water stress with ETM plus NIR and swir data. Agric. For. Meteorol. 2008, 148, 1679–1695. [Google Scholar] [CrossRef]
- Fumagalli, I.; Gimeno, B.S.; Velissariou, D.; De Temmerman, L.; Mills, G. Evidence of ozone-induced adverse effects on crops in the mediterranean region. Atmos. Environ. 2001, 35, 2583–2587. [Google Scholar] [CrossRef]
- Mills, G.; Hayes, F.; Simpson, D.; Emberson, L.; Norris, D.; Harmens, H.; Buker, P. Evidence of widespread effects of ozone on crops and (semi-)natural vegetation in Europe (1990–2006) in relation to AOT40-and flux-based risk maps. Glob. Chang. Biol. 2011, 17, 592–613. [Google Scholar] [CrossRef]
- Jackson, R.D.; Idso, S.B.; Reginato, R.J.; Pinter, P.J., Jr. Canopy temperature as a crop water stress indicator. Water Resour. Res. 1981, 17, 1133–1138. [Google Scholar] [CrossRef]
- Moran, M.S.; Clarke, T.R.; Inoue, Y.; Vidal, A. Estimating crop water-deficit using the relation between surface-air temperature and spectral vegetation index. Remote Sens. Environ. 1994, 49, 246–263. [Google Scholar] [CrossRef]
- Zarco-Tejada, P.J.; Gonzalez-Dugo, V.; Berni, J.A.J. Fluorescence, temperature and narrow-band indices acquired from a UAV platform for water stress detection using a micro-hyperspectral imager and a thermal camera. Remote Sens. Environ. 2012, 117, 322–337. [Google Scholar] [CrossRef]
- Sepulcre-Canto, G.; Zarco-Tejada, P.J.; Sobrino, J.A.; Berni, J.A.J.; Jimenez-Munoz, J.C.; Gastellu-Etchegorry, J.P. Discriminating irrigated and rainfed olive orchards with thermal ASTER imagery and DART 3D simulation. Agric. For. Meteorol. 2009, 149, 962–975. [Google Scholar] [CrossRef]
- Panigada, C.; Rossini, M.; Meroni, M.; Cilia, C.; Busettoa, L.; Amaducci, S.; Boschetti, M.; Cogliati, S.; Picchi, V.; Pinto, F.; et al. Fluorescence, PRI and canopy temperature for water stress detection in cereal crops. Int. J. Appl. Earth Obs. Geoinf. 2014, 30, 167–178. [Google Scholar] [CrossRef]
- Dobrowski, S.Z.; Pushnik, J.C.; Zarco-Tejada, P.J.; Ustin, S.L. Simple reflectance indices track heat and water stress-induced changes in steady-state chlorophyll fluorescence at the canopy scale. Remote Sens. Environ. 2005, 97, 403–414. [Google Scholar] [CrossRef]
- Joiner, J.; Yoshida, Y.; Vasilkov, A.P.; Yoshida, Y.; Corp, L.A.; Middleton, E.M. First observations of global and seasonal terrestrial chlorophyll fluorescence from space. Biogeosciences 2011, 8, 637–651. [Google Scholar] [CrossRef]
- Gamon, J.A.; Serrano, L.; Surfus, J.S. The photochemical reflectance index: An optical indicator of photosynthetic radiation use efficiency across species, functional types, and nutrient levels. Oecologia 1997, 112, 492–501. [Google Scholar] [CrossRef] [PubMed]
- Carter, G.A.; Miller, R.L. Early detection of plant stress by digital imaging within narrow stress-sensitive wavebands. Remote Sens. Environ. 1994, 50, 295–302. [Google Scholar] [CrossRef]
- Carter, G.A.; Cibula, W.G.; Miller, R.L. Narrow-band reflectance imagery compared with thermal imagery for early detection of plant stress. J. Plant Physiol. 1996, 148, 515–522. [Google Scholar] [CrossRef]
- Carter, G.A. Responses of leaf spectral reflectance to plant stress. Am. J. Bot. 1993, 80, 239–243. [Google Scholar] [CrossRef]
- Carter, G.A. Reflectance wavebands and indices for remote estimation of photosynthesis and stomatal conductance in pine canopies. Remote Sens. Environ. 1998, 63, 61–72. [Google Scholar] [CrossRef]
- Eitel, J.U.H.; Vierling, L.A.; Litvak, M.E.; Long, D.S.; Schulthess, U.; Ager, A.A.; Krofcheck, D.J.; Stoscheck, L. Broadband, red-edge information from satellites improves early stress detection in a New Mexico conifer woodland. Remote Sens. Environ. 2011, 115, 3640–3646. [Google Scholar] [CrossRef]
- Maxwell, K.; Johnson, G.N. Chlorophyll fluorescence—A practical guide. J. Exp. Bot. 2000, 51, 659–668. [Google Scholar] [CrossRef] [PubMed]
- Campbell, P.K.E.; Middleton, E.M.; McMurtrey, J.E.; Corp, L.A.; Chappelle, E.W. Assessment of vegetation stress using reflectance or fluorescence measurements. J. Environ. Qual. 2007, 36, 832–845. [Google Scholar] [CrossRef] [PubMed]
- Gray, S.B.; Dermody, O.; DeLucia, E.H. Spectral reflectance from a soybean canopy exposed to elevated CO2 and O3. J. Exp. Bot. 2010, 61, 4413–4422. [Google Scholar] [CrossRef] [PubMed]
- Ainsworth, E.A.; Serbin, S.P.; Skoneczka, J.A.; Townsend, P.A. Using leaf optical properties to detect ozone effects on foliar biochemistry. Photosynth. Res. 2014, 119, 65–76. [Google Scholar] [CrossRef] [PubMed]
- Hernandez-Clemente, R.; Navarro-Cerrillo, R.M.; Suarez, L.; Morales, F.; Zarco-Tejada, P.J. Assessing structural effects on PRI for stress detection in conifer forests. Remote Sens. Environ. 2011, 115, 2360–2375. [Google Scholar] [CrossRef]
- Tuncturk, M.; Tuncturk, R.; Yasar, F. Changes in micronutrients, dry weight and plant growth of soybean (Glycine max L. Merrill) cultivars under salt stress. Afr. J. Biotechnol. 2008, 7, 1650–1654. [Google Scholar]
- Hede, A.N.H.; Kashiwaya, K.; Koike, K.; Sakurai, S. A new vegetation index for detecting vegetation anomalies due to mineral deposits with application to a tropical forest area. Remote Sens. Environ. 2015, 171, 83–97. [Google Scholar] [CrossRef]
- Knight, H. Calcium signaling during abiotic stress in plants. Int. Rev. Cytol. 2000, 195, 269–324. [Google Scholar] [PubMed]
- Kreuzwieser, J.; Gessler, A. Global climate change and tree nutrition: Influence of water availability. Tree Physiol. 2010, 30, 1221–1234. [Google Scholar] [CrossRef] [PubMed]
- Utrillas, M.J.; Alegre, L.; Simon, E. Seasonal-changes in production and nutrient content of Cynodon-dactylon (L.) pers subjected to water deficits. Plant Soil 1995, 175, 153–157. [Google Scholar] [CrossRef]
- Ghulam, A.; Fishman, J.; Maimaitiyiming, M.; Wilkins, J.L.; Maimaitijiang, M.; Welsh, J.; Bira, B.; Grzovic, M. Characterizing crop responses to background ozone in open-air agricultural field by using reflectance spectroscopy. IEEE Geosci. Remote Sens. Lett. 2015, 12, 1307–1311. [Google Scholar] [CrossRef]
- Krupa, S.; McGrath, M.T.; Andersen, C.P.; Booker, F.L.; Burkey, K.O.; Chappelka, A.H.; Chevone, B.I.; Pell, E.J.; Zilinskas, B.A. Ambient ozone and plant health. Plant Dis. 2001, 85, 4–12. [Google Scholar] [CrossRef]
- Gara, T.W.; Darvishzadeh, R.; Skidmore, A.K.; Wang, T. Impact of vertical canopy position on leaf spectral properties and traits across multiple species. Remote Sens. 2018, 10, 346. [Google Scholar] [CrossRef]
- Li, H.; Zhao, C.; Huang, W.; Yang, G. Non-uniform vertical nitrogen distribution within plant canopy and its estimation by remote sensing: A review. Field Crop Res. 2013, 142, 75–84. [Google Scholar] [CrossRef]
- Genty, B.; Briantais, J.M.; Baker, N.R. The relationship between the quantum yield of photosynthetic electron transport and quenching of chlorophyll fluorescence. Biochim. Biophys. Acta 1989, 990, 87–92. [Google Scholar] [CrossRef]
- Munger, P.; Bleiholder, H.; Hack, H.; Hess, M.; Stauss, R.; Boom, T.; Weber, E. Phenological growth stages of the soybean plant (Glycine max L. Merr.): Codification and description according to the bbch scale. J. Agron. Crop Sci. 1997, 179, 209–217. [Google Scholar] [CrossRef]
- Veley, K.M.; Berry, J.C.; Fentress, S.J.; Schachtman, D.P.; Baxter, I.; Bart, R. High-throughput profiling and analysis of plant responses over time to abiotic stress. Plant Direct 2017, 1. [Google Scholar] [CrossRef]
- Clarkson, D.T.; Hanson, J.B. The mineral nutrition of higher plants. Annu. Rev. Plant Physiol. 1980, 31, 239–298. [Google Scholar] [CrossRef]
- Donald, C.M.; Hamblin, J. The biological yield and harvest index of cereals as agronomic and plant breeding criteria. In Advances in Agronomy; Brady, N.C., Ed.; Academic Press: Cambridge, MA, USA, 1976; Volume 28, pp. 361–405. [Google Scholar]
- Fishman, J.; Belina, K.M.; Encarnaciòn, C.H. The St. Louis ozone garden: Visualizing the impact of a changing atmosphere. Bull. Am. Meteorol. Soc. 2014, 95, 1171–1176. [Google Scholar] [CrossRef]
- Gamon, J.; Surfus, J. Assessing leaf pigment content and activity with a reflectometer. New Phytol. 1999, 143, 105–117. [Google Scholar] [CrossRef]
- Gitelson, A.A.; Merzlyak, M.N.; Chivkunova, O.B. Optical properties and nondestructive estimation of anthocyanin content in plant leaves. Photochem. Photobiol. 2001, 74, 38–45. [Google Scholar] [CrossRef]
- Gitelson, A.A.; Zur, Y.; Chivkunova, O.B.; Merzlyak, M.N. Assessing carotenoid content in plant leaves with reflectance spectroscopy. Photochem. Photobiol. 2002, 75, 272–281. [Google Scholar] [CrossRef]
- Chappelle, E.W.; Kim, M.S.; McMurtrey, J.E. Ratio analysis of reflectance spectra (RARS): An algorithm for the remote estimation of the concentrations of chlorophyll a, chlorophyll b, and carotenoids in soybean leaves. Remote Sens. Environ. 1992, 39, 239–247. [Google Scholar] [CrossRef]
- Blackburn, G.A. Quantifying chlorophylls and caroteniods at leaf and canopy scales: An evaluation of some hyperspectral approaches. Remote Sens. Environ. 1998, 66, 273–285. [Google Scholar] [CrossRef]
- Delalieux, S.; Zarco-Tejada, P.J.; Tits, L.; Jimenez Bello, M.A.; Intrigliolo, D.S.; Somers, B. Unmixing-based fusion of hyperspatial and hyperspectral airborne imagery for early detection of vegetation stress. IEEE J. Sel. Top. Appl. Earth Obs. Remote Sens. 2014, 7, 2571–2582. [Google Scholar] [CrossRef]
- Gitelson, A.; Merzlyak, M.N. Spectral reflectance changes associated with autumn senescence of Aesculus hippocastanum L. And Acer platanoides L. Leaves. Spectral features and relation to chlorophyll estimation. J. Plant Physiol. 1994, 143, 286–292. [Google Scholar] [CrossRef]
- Huete, A.; Didan, K.; Miura, T.; Rodriguez, E.P.; Gao, X.; Ferreira, L.G. Overview of the radiometric and biophysical performance of the MODIS vegetation indices. Remote Sens. Environ. 2002, 83, 195–213. [Google Scholar] [CrossRef]
- Sims, D.A.; Gamon, J.A. Relationships between leaf pigment content and spectral reflectance across a wide range of species, leaf structures and developmental stages. Remote Sens. Environ. 2002, 81, 337–354. [Google Scholar] [CrossRef]
- Rouse, J.W.; Haas, R.H.; Schell, J.A.; Deering, D.W. Monitoring Vegetation Systems in the Great Plains with ERTS; NASA: College Station, TX, USA, 1974; pp. 309–317.
- Gamon, J.A.; Peñuelas, J.; Field, C.B. A narrow-waveband spectral index that tracks diurnal changes in photosynthetic efficiency. Remote Sens. Environ. 1992, 41, 35–44. [Google Scholar] [CrossRef]
- Merzlyak, M.N.; Gitelson, A.A.; Chivkunova, O.B.; Rakitin, V.Y.U. Non-destructive optical detection of pigment changes during leaf senescence and fruit ripening. Physiol. Plant. 1999, 106, 135–141. [Google Scholar] [CrossRef]
- Zarco-Tejada, P.J.; Miller, J.R.; Noland, T.L.; Mohammed, G.H.; Sampson, P.H. Scaling-up and model inversion methods with narrowband optical indices for chlorophyll content estimation in closed forest canopies with hyperspectral data. IEEE Trans. Geosci. Remote Sens. 2001, 39, 1491–1507. [Google Scholar] [CrossRef]
- Guyot, G.; Baret, F. Utilisation de la haute resolution spectrale pour suivre l’etat des couverts vegetaux. Spectr. Signat. Objects Remote Sens. 1988, 287. [Google Scholar]
- Roujean, J.-L.; Breon, F.-M. Estimating par absorbed by vegetation from bidirectional reflectance measurements. Remote Sens. Environ. 1995, 51, 375–384. [Google Scholar] [CrossRef]
- Jordan, C.F. Derivation of leaf-area index from quality of light on the forest floor. Ecology 1969, 50, 663–666. [Google Scholar] [CrossRef]
- Penuelas, J.; Baret, F.; Filella, I. Semi-empirical indices to assess carotenoids/chlorophyll a ratio from leaf spectral reflectance. Photosynthetica 1995, 31, 221–230. [Google Scholar]
- Haboudane, D.; Miller, J.R.; Tremblay, N.; Zarco-Tejada, P.J.; Dextraze, L. Integrated narrow-band vegetation indices for prediction of crop chlorophyll content for application to precision agriculture. Remote Sens. Environ. 2002, 81, 416–426. [Google Scholar] [CrossRef]
- Broge, N.H.; Leblanc, E. Comparing prediction power and stability of broadband and hyperspectral vegetation indices for estimation of green leaf area index and canopy chlorophyll density. Remote Sens. Environ. 2001, 76, 156–172. [Google Scholar] [CrossRef]
- Vogelmann, J.E.; Rock, B.N.; Moss, D.M. Red edge spectral measurements from sugar maple leaves. Int. J. Remote Sens. 1993, 14, 1563–1575. [Google Scholar] [CrossRef]
- PeÑUelas, J.; Filella, I.; Biel, C.; Serrano, L.; SavÉ, R. The reflectance at the 950–970 nm region as an indicator of plant water status. Int. J. Remote Sens. 1993, 14, 1887–1905. [Google Scholar] [CrossRef]
- R Development Core Team. R: A Language and Environment for Statistical Computing [internet]; R Foundation for Statistical Computing: Vienna, Austria, 2011. [Google Scholar]
- Unkovich, M.; Baldock, J.; Forbes, M. Chapter 5—Variability in harvest index of grain crops and potential significance for carbon accounting: Examples from Australian agriculture. Adv. Agron. 2010, 105, 173–219. [Google Scholar]
- Bayuelo-Jimenez, J.S.; Debouck, D.G.; Lynch, J.P. Growth, gas exchange, water relations, and ion composition of Phaseolus species grown under saline conditions. Field Crops Res. 2003, 80, 207–222. [Google Scholar] [CrossRef]
- Koyro, H.W. Effect of high NaCl-salinity on plant growth, leaf morphology, and ion composition in leaf tissues of Beta vulgaris ssp. maritima. J. Appl. Bot.-Angew. Bot. 2000, 74, 67–73. [Google Scholar]
- Wang, M.; Zheng, Q.S.; Shen, Q.R.; Guo, S.W. The critical role of potassium in plant stress response. Int. J. Mol. Sci. 2013, 14, 7370–7390. [Google Scholar] [CrossRef] [PubMed]
- Marschner, H.; Marschner, P. Marschner’s Mineral Nutrition of Higher Plants, 3rd ed.; Elsevier/Academic Press: London, UK; Waltham, MA, USA, 2012; p. 651. [Google Scholar]
- Ramoliya, P.J.; Patel, H.M.; Pandey, A.N. Effect of salinisation of soil on growth and macro- and micro-nutrient accumulation in seedlings of Acacia catechu (Mimosaceae). Ann. Appl. Biol. 2004, 144, 321–332. [Google Scholar] [CrossRef]
- Tuncturk, M.; Tuncturk, R.; Yildirim, B.; Ciftci, V. Changes of micronutrients, dry weight and plant development in canola (Brassica Napus L.) cultivars under salt stress. Afr. J. Biotechnol. 2011, 10, 3726–3730. [Google Scholar]
- Venkatesalu, V.; Kumar, R.R.; Chellappan, K.P. Growth and mineral distribution of Sesuvium-portulacastrum L., a salt-marsh halophyte, under sodium-chloride stress. Commun. Soil Sci. Plant Anal. 1994, 25, 2797–2805. [Google Scholar] [CrossRef]
- McCree, K.J. The action spectrum, absorptance and quantum yield of photosynthesis in crop plants. Agric. Meteorol. 1971, 9, 191–216. [Google Scholar] [CrossRef]
- Strasser, R.; Schwarz, R.; Eggenberg, P. Fluorescence routine tests to describe the behaviour of a plant in its environment. In Applications of Chlorophyll Fluorescene in Photosynthesis Research, Stress Physiology, Hydrobiology and Remote Sensing; Springer: Berlin, Germany, 1988; pp. 181–187. [Google Scholar]
- Gitelson, A.A.; Kaufman, Y.J.; Merzlyak, M.N. Use of a green channel in remote sensing of global vegetation from EOS-MODIS. Remote Sens. Environ. 1996, 58, 289–298. [Google Scholar] [CrossRef]
- Zarco-Tejada, P.J.; González-Dugo, V.; Williams, L.E.; Suárez, L.; Berni, J.A.J.; Goldhamer, D.; Fereres, E. A pri-based water stress index combining structural and chlorophyll effects: Assessment using diurnal narrow-band airborne imagery and the CWSI thermal index. Remote Sens. Environ. 2013, 138, 38–50. [Google Scholar] [CrossRef]
- Shiraiwa, T.; Sinclair, T.R. Distribution of nitrogen among leaves in soybean canopies. Crop Sci. 1993, 33, 804–808. [Google Scholar] [CrossRef]
- Maimaitiyiming, M.; Ghulam, A.; Bozzolo, A.; Wilkins, J.L.; Kwasniewski, M.T. Early detection of plant physiological responses to different levels of water stress using reflectance spectroscopy. Remote Sens. 2017, 9, 745. [Google Scholar] [CrossRef]
- Vigneau, N.; Ecarnot, M.; Rabatel, G.; Roumet, P. Potential of field hyperspectral imaging as a non destructive method to assess leaf nitrogen content in Wheat. Field Crop Res. 2011, 122, 25–31. [Google Scholar] [CrossRef]
- Van Maarschalkerweerd, M.; Husted, S. Recent developments in fast spectroscopy for plant mineral analysis. Front. Plant Sci. 2015, 6, 169. [Google Scholar] [CrossRef] [PubMed]
- Ferwerda, J.G.; Skidmore, A.K. Can nutrient status of four woody plant species be predicted using field spectrometry? ISPRS J. Photogramm. Remote Sens. 2007, 62, 406–414. [Google Scholar] [CrossRef]
- Gökkaya, K.; Thomas, V.; Noland, T.L.; McCaughey, H.; Morrison, I.; Treitz, P. Prediction of macronutrients at the canopy level using spaceborne imaging spectroscopy and lidar data in a mixedwood boreal forest. Remote Sens. 2015, 7, 9045–9069. [Google Scholar] [CrossRef]
- Mutanga, O.; Skidmore, A.K.; Prins, H. Predicting in situ pasture quality in the Kruger National Park, South Africa, using continuum-removed absorption features. Remote Sens. Environ. 2004, 89, 393–408. [Google Scholar] [CrossRef]
- Elvidge, C.D. Visible and near infrared reflectance characteristics of dry plant materials. Remote Sens. 1990, 11, 1775–1795. [Google Scholar] [CrossRef]
- Cozzolino, D.; Moron, A. Exploring the use of near infrared reflectance spectroscopy (NIRS) to predict trace minerals in legumes. Anim. Feed Sci. Technol. 2004, 111, 161–173. [Google Scholar] [CrossRef]
- Ruano-Ramos, A.; García-Ciudad, A.; García-Criado, B. Near infrared spectroscopy prediction of mineral content in botanical fractions from semi-arid grasslands. Anim. Feed Sci. Technol. 1999, 77, 331–343. [Google Scholar] [CrossRef]
- Ward, A.; Nielsen, A.L.; Møller, H. Rapid assessment of mineral concentration in meadow grasses by near infrared reflectance spectroscopy. Sensors 2011, 11, 4830–4839. [Google Scholar] [CrossRef] [PubMed]
- Embleton, T.W.; Jones, W.W.; Labanauskas, C.K.; Reuther, W. Leaf analysis as a diagnostic tool and guide to fertilization. Citrus Ind. 1973, 3, 183–210. [Google Scholar]
- Menesatti, P.; Antonucci, F.; Pallottino, F.; Roccuzzo, G.; Allegra, M.; Stagno, F.; Intrigliolo, F. Estimation of plant nutritional status by Vis–NIR spectrophotometric analysis on orange leaves [Citrus sinensis (L.) osbeck cv tarocco]. Biosyst. Eng. 2010, 105, 448–454. [Google Scholar] [CrossRef]
- Van Maarschalkerweerd, M.; Bro, R.; Egebo, M.; Husted, S. Diagnosing latent copper deficiency in intact barley leaves (Hordeum vulgare, L.) using near infrared spectroscopy. J. Agric. Food Chem. 2013, 61, 10901–10910. [Google Scholar] [CrossRef] [PubMed]
- Hill, J.; Robson, A.; Loneragan, J. The effect of copper supply on the senescence and the retranslocation of nutrients of the oldest leaf of wheat. Ann. Bot. 1979, 44, 279–287. [Google Scholar] [CrossRef]
- Schimansky, C. The influence of certain experimental parameters on the flux characteristics of Mg-28 in the case of barley seedlings in hydroculture experiments. Landwirtsch. Forsch. 1981, 34, 154–163. [Google Scholar]
- Lecourieux, D.; Ranjeva, R.; Pugin, A. Calcium in plant defence-signalling pathways. New Phytol. 2006, 171, 249–269. [Google Scholar] [CrossRef] [PubMed]
- Chen, Z.; Watanabe, T.; Shinano, T.; Ezawa, T.; Wasaki, J.; Kimura, K.; Osaki, M.; Zhu, Y.G. Element interconnections in lotus japonicus: A systematic study of the effects of element additions on different natural variants. Soil Sci. Plant Nutr. 2009, 55, 91–101. [Google Scholar] [CrossRef]
- Wu, Z.; Liang, F.; Hong, B.; Young, J.C.; Sussman, M.R.; Harper, J.F.; Sze, H. An endoplasmic reticulum-bound Ca2+/Mn2+ pump, ECA1, supports plant growth and confers tolerance to Mn2+ stress. Plant Physiol. 2002, 130, 128–137. [Google Scholar] [CrossRef] [PubMed]
- Hirschi, K.D.; Korenkov, V.D.; Wilganowski, N.L.; Wagner, G.J. Expression of arabidopsis CAX2 in tobacco. Altered metal accumulation and increased manganese tolerance. Plant Physiol. 2000, 124, 125–134. [Google Scholar] [CrossRef] [PubMed]
- Jiménez, M.P.; Effrón, D.; de la Horra, A.M.; Defrieri, R. Foliar potassium, calcium, magnesium, zinc, and manganese content in soybean cultivars at different stages of development. J. Plant Nutr. 1996, 19, 807–816. [Google Scholar] [CrossRef]
- Drossopoulos, J.B.; Bouranis, D.L.; Bairaktari, B.D. Patterns of mineral nutrient fluctuations in soybean leaves in relation to their position. J. Plant Nutr. 1994, 17, 1017–1035. [Google Scholar] [CrossRef]
- Taiz, L.; Zeiger, E. Plant Physiology, 5th ed.; Sinauer Associates: Sunderland, MA, USA, 2010. [Google Scholar]
- Marsh, H., Jr.; Evans, H.; Matrone, G. Investigations of the role of iron in chlorophyll metabolism. II. Effect of iron deficiency on chlorophyll synthesis. Plant Physiol. 1963, 38, 638–642. [Google Scholar] [CrossRef] [PubMed]
- Hänsch, R.; Mendel, R.R. Physiological functions of mineral micronutrients (Cu, Zn, Mn, Fe, Ni, Mo, B, Cl). Curr. Opin. Plant Biol. 2009, 12, 259–266. [Google Scholar] [CrossRef] [PubMed]
- Van der Tol, C.; Verhoef, W.; Rosema, A. A model for chlorophyll fluorescence and photosynthesis at leaf scale. Agric For. Meteorol. 2009, 149, 96–105. [Google Scholar] [CrossRef]
- Meroni, M.; Rossini, M.; Guanter, L.; Alonso, L.; Rascher, U.; Colombo, R.; Moreno, J. Remote sensing of solar-induced chlorophyll fluorescence: Review of methods and applications. Remote Sens. Environ. 2009, 113, 2037–2051. [Google Scholar] [CrossRef]











| Leaf Physiology | Fs | ΔF/Fm’ | Gs | Pn | qP | NPQ | ETR | Tleaf | |
|---|---|---|---|---|---|---|---|---|---|
| Soybean Genotypes | |||||||||
| AK-HARROW (n = 6) | 912 ± 61 | 0.33 ± 0.09 | 0.20 ± 0.03 | 25.7 ± 1.7 | 0.6 ± 0.14 | 4.6 ± 0.9 | 154 ± 23.7 | 29.7 ± 1.1 | |
| PI88788 (n = 6) | 1017 ± 187 | 0.13 ± 0.02 | 0.17 ± 0.11 | 20.8 ± 5.6 | 0.29 ± 0.06 | 5.7 ± 1.1 | 97 ± 21.1 | 33.4 ± 1.0 | |
| DWIGHT (n = 6) | 897 ± 42 | 0.17 ± 0.1 | 0.14 ± 0.11 | 22.9 ± 5.1 | 0.40 ± 0.05 | 6.0 ± 0.3 | 124 ± 28.2 | 34.1 ± 0.9 | |
| PANA (n = 6) | 897 ± 64 | 0.17 ± 0.03 | 0.08 ± 0.11 | 16.5 ± 8.3 | 0.39 ± 0.6 | 6.1 ± 0.4 | 130 ± 26.5 | 36.4 ± 1.6 | |
| WILLIAMS82 (n = 6) | 838 ± 59 | 0.18 ± 0.04 | 0.13 ± 0.09 | 22.5 ± 7.8 | 0.42 ± 0.7 | 6.3 ± 0.7 | 141 ± 31.8 | 34.8 ± 1.3 | |
| Spectral Index | Acronym | Equation | References |
|---|---|---|---|
| Anthocyanin (Gamon) | AntGmn | R650/R550 | [51] |
| Anthocyanin (Gitelson) | AntGtln | (1/R550 − 1/R700) × R800 | [52] |
| Carotenoid Index (Gitelson) | CarGtln | 1/R510 − 1/R550 | [53] |
| Carotenoid Index (Chappelle) | CarChpp | R760/R500 | [54] |
| Carotenoid Index (Blackburn) | CarBb | (R800 − R470)/(R800 + R470) | [55] |
| Chlorophyll Index | ClDlx | (R540 − R590)/(R540 + R590) | [56] |
| Chlorophyll Index | CIGtln | (R750 − R705)/(R750 + R705) | [57] |
| Enhanced Vegetation Index | EVI | 2.5 × ((R782 − R675)/(R782 + 6 × R675 − 7.5 × R445 + 1) | [58] |
| Fluorescence Ratio Index1 | FRI1 | R690/R600 | [23] |
| Fluorescence Ratio Index2 | FRI2 | R740/R800 | [23] |
| Modified Simple Ratio | mSR705 | (R750 − R445)/(R705 − R445) | [59] |
| Normalized Difference Vegetation Index | NDVI | (R900 − R680)/(R900 + R680) | [60] |
| Photochemical Reflectance Index (570) | PRI570 | (R531 − R570)/(R531 + R570) | [61] |
| Photochemical Reflectance Index (512) | PRI512 | (R531− R512)/(R531 + R512) | [35] |
| Photochemical Reflectance Index (586) | PRI586 | (R531 − R586)/(R531 + R586) | [22] |
| Plant Senescence Reflectance Index | PSRI | (R680 − R500)/R750 | [62] |
| Red Edge Ratio Index | RERI | R700/R670 | Part of TCARI index |
| Red Edge | ZM | R750/R710 | [63] |
| Red Edge Position | REP | 700 + 40 × ([(R670 + R780)/2 − R700]/(R740 − R700)) | [64] |
| Renormalized Difference Vegetation Index | RDVI | (R800 − R670)/(R800 + R670)0.5 | [65] |
| Simple Ratio Index | SRI | R800/R680 | [66] |
| Structure Insensitive Pigment Index | SIPI | (R800 − R445)/(R800 − R680) | [67] |
| Transformed Chlorophyll Absorption in Reflectance Index | TCARI | TCARI = 3 × ((R700 − R670) − 0.2*(R700 − R550) × (R700/R670)) | [68] |
| Triangular Vegetation Index | TVI | TVI = 0.5 × (120 × (R750 − R550) – 200 × (R670 − R550)) | [69] |
| Vogelmann Red Edge Index 1 | VREI1 | R740/R720 | [70] |
| Vogelmann Red Edge Index 2 | VREI2 | (R734 − R747)/(R715 + R726) | [70] |
| Water Index | WI | WI = R900/R970 | [71] |
| Photochemical Reflectance Index (525) | PRI525(mid) | PRI = (R531 − R525)/(R531 + R525) | This study |
| Photochemical Reflectance Index (519) | PRI519(up/avg) | PRI = (R531 − R519)/(R531 + R519) | This study |
| Normalized Difference Spectral Index | NDSI(up) | NDSI = (R416 − R2371)/(R416 + R2371) | This study |
| Mineral Nutrient | Number of LVs | R2 | RMSE-CV (mg/kg) | RMSE% |
|---|---|---|---|---|
| Ca | 7 | 0.870 | 2023.450 | 9.68 |
| Cu | 6 | 0.671 | 2.096 | 15.60 |
| Fe | 5 | 0.542 | 19.846 | 9.95 |
| K | 8 | 0.769 | 1187.543 | 10.68 |
| Mg | 6 | 0.704 | 348.820 | 13.37 |
| Mn | 6 | 0.720 | 21.781 | 17.90 |
© 2018 by the authors. Licensee MDPI, Basel, Switzerland. This article is an open access article distributed under the terms and conditions of the Creative Commons Attribution (CC BY) license (http://creativecommons.org/licenses/by/4.0/).
Share and Cite
Sagan, V.; Maimaitiyiming, M.; Fishman, J. Effects of Ambient Ozone on Soybean Biophysical Variables and Mineral Nutrient Accumulation. Remote Sens. 2018, 10, 562. https://doi.org/10.3390/rs10040562
Sagan V, Maimaitiyiming M, Fishman J. Effects of Ambient Ozone on Soybean Biophysical Variables and Mineral Nutrient Accumulation. Remote Sensing. 2018; 10(4):562. https://doi.org/10.3390/rs10040562
Chicago/Turabian StyleSagan, Vasit, Matthew Maimaitiyiming, and Jack Fishman. 2018. "Effects of Ambient Ozone on Soybean Biophysical Variables and Mineral Nutrient Accumulation" Remote Sensing 10, no. 4: 562. https://doi.org/10.3390/rs10040562
APA StyleSagan, V., Maimaitiyiming, M., & Fishman, J. (2018). Effects of Ambient Ozone on Soybean Biophysical Variables and Mineral Nutrient Accumulation. Remote Sensing, 10(4), 562. https://doi.org/10.3390/rs10040562

