Reducing Uncertainties in Applying Remotely Sensed Land Use and Land Cover Maps in Land-Atmosphere Interaction: Identifying Change in Space and Time
Abstract
:1. Introduction
2. Materials and Methods
2.1. Materials
2.2. Methods
2.2.1. Spatial Scaling Methods
2.2.2. Exploring the Relationship between LULC Data and Latent Heat Flux at Different Spatial Resolutions
2.2.3. Linear Regression Trend Analysis
2.2.4. Spatial Pattern Correlation Analysis
3. Results and Discussion
3.1. Categorical and Factional LULC Maps at Different Spatial Resolutions in the North China Plain and the Sichuan Basin
3.2. Relationships of Categorical and Fractional LULC Data with Latent Heat Flux at Different Spatial Resolutions in the North China Plain and the Sichuan Basin
3.3. Fractional Maps of Croplands, Forests, and Grasslands
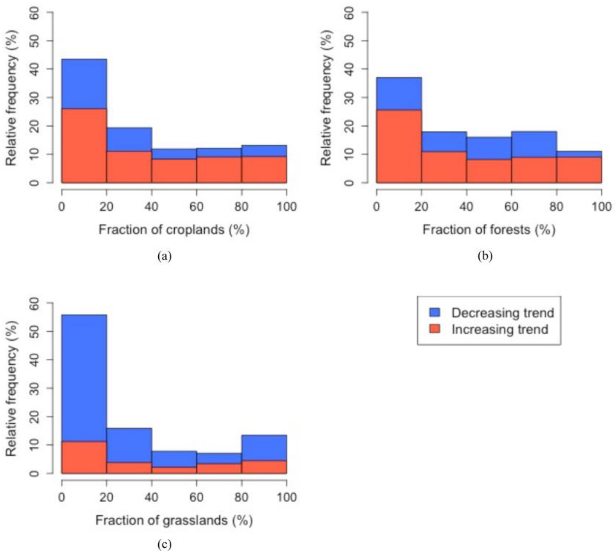
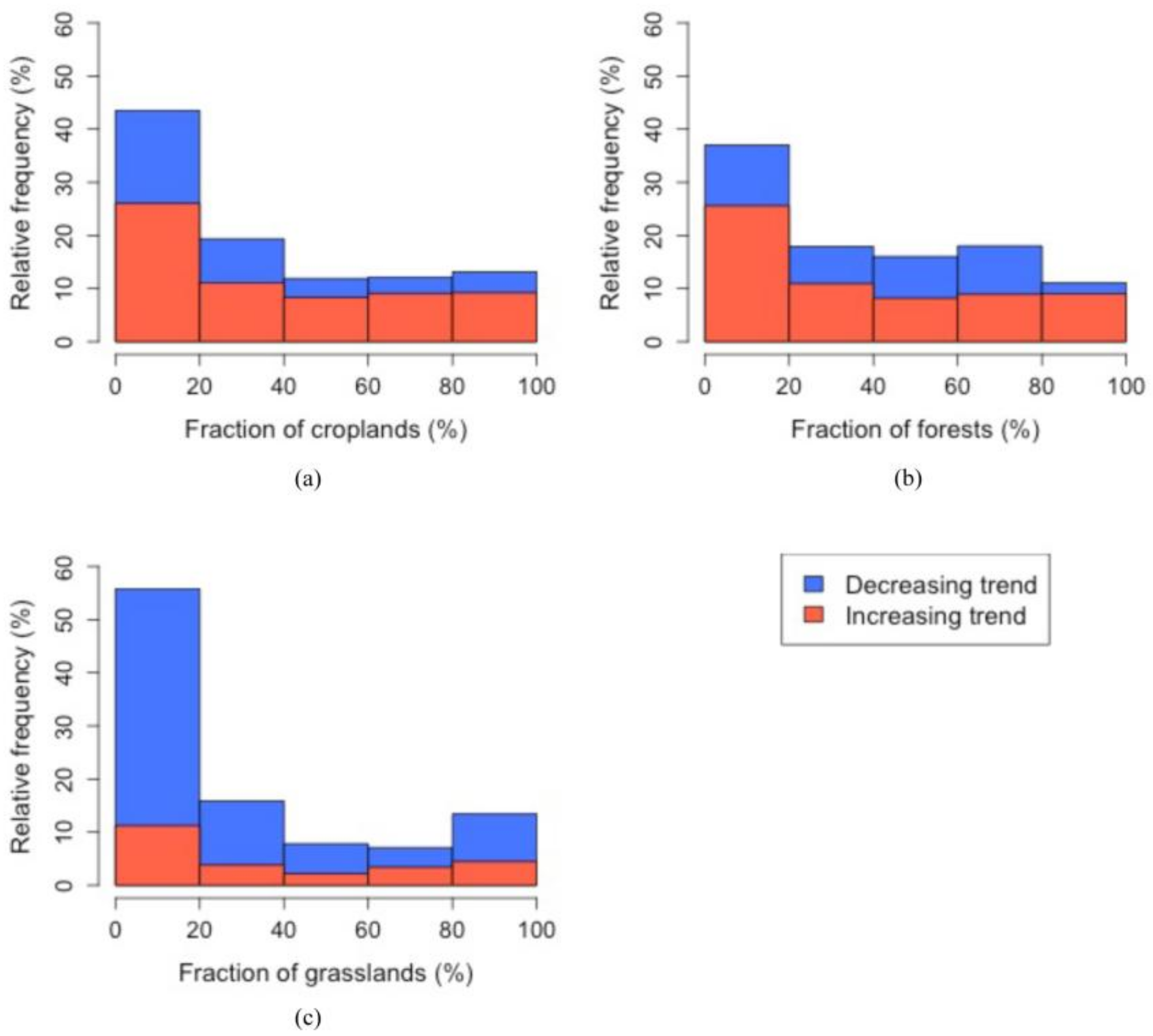
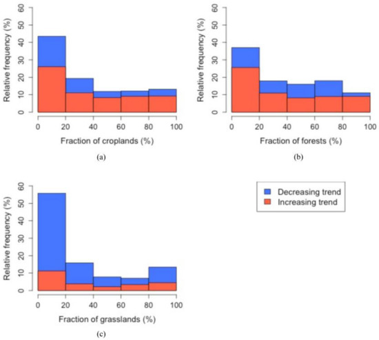
3.4. Spatiotemporal Changes of Croplands, Forests, and Grasslands during the Last Three Decades
3.5. Transitions between Croplands, Forests, and Grasslands
4. Conclusions
Acknowledgments
Author Contributions
Conflicts of Interest
References
- Foley, J.A.; DeFries, R.; Asner, G.P.; Barford, C.; Bonan, G.; Carpenter, S.R.; Chapin, F.S.; Coe, M.T.; Daily, G.C.; Gibbs, H.K. Global consequences of land use. Science 2005, 309, 570–574. [Google Scholar] [CrossRef] [PubMed]
- McPherson, R.A. A review of vegetation—Atmosphere interactions and their influences on mesoscale phenomena. Prog. Phys. Geogr. 2007, 31, 261–285. [Google Scholar] [CrossRef]
- Pielke, R.A. Land use and climate change. Science 2005, 310, 1625–1626. [Google Scholar] [CrossRef] [PubMed]
- Foley, J.A.; Costa, M.H.; Delire, C.; Ramankutty, N.; Snyder, P. Green surprise? How terrestrial ecosystems could affect earth’s climate. Front. Ecol. Environ. 2003, 1, 38–44. [Google Scholar]
- Lee, E.; He, Y.; Zhou, M.; Liang, J. Potential feedback of recent vegetation changes on summer rainfall in the Sahel. Phys. Geogr. 2015, 36, 449–470. [Google Scholar] [CrossRef]
- Mahmood, R.; Pielke, R.A.; Hubbard, K.G.; Niyogi, D.; Dirmeyer, P.A.; McAlpine, C.; Carleton, A.M.; Hale, R.; Gameda, S.; Beltrán-Przekurat, A. Land cover changes and their biogeophysical effects on climate. Int. J. Climatol. 2014, 34, 929–953. [Google Scholar] [CrossRef]
- Bonan, G.B.; Pollard, D.; Thompson, S.L. Effects of boreal forest vegetation on global climate. Nature 1992, 359, 716–718. [Google Scholar] [CrossRef]
- He, Y.; Lee, E. Empirical Relationships of Sea Surface Temperature and Vegetation Activity with Summer Rainfall Variability over the Sahel. Earth Interact. 2016, 20, 1–18. [Google Scholar] [CrossRef]
- IPCC. Climate Change: Impacts, Adaptation, and Vulnerability; Cambridge University Press: Cambridge, UK; New York, NY, USA, 2014. [Google Scholar]
- Liu, M.; Tian, H. China’s land cover and land use change from 1700 to 2005: Estimations from high-resolution satellite data and historical archives. Glob. Biogeochem. Cycles 2010, 24, GB3003. [Google Scholar] [CrossRef]
- Ramankutty, N.; Foley, J.A. Estimating historical changes in global land cover: Croplands from 1700 to 1992. Glob. Biogeochem. Cycles 1999, 13, 997–1027. [Google Scholar] [CrossRef]
- Liu, J.; Liu, M.; Zhuang, D.; Zhang, Z.; Deng, X. Study on spatial pattern of land-use change in China during 1995–2000. Sci. China Ser. D Earth Sci. 2003, 46, 373–384. [Google Scholar]
- Liu, J. Macro-Scale Survey and Dynamic Study of Natural Resources and Environment of China by Remote Sensing; China Science and Technology Press: Beijing, China, 1996; pp. 113–124. [Google Scholar]
- Liu, J.; Zhuang, D.; Ling, Y.; Awaya, Y. Vegetation Integrated Classification and Mapping Using Remote Sensingand GIS Techniques in Northeast China. J. Remote Sens. 1998, 2, 285–291. [Google Scholar]
- Schneider, A.; Mertes, C. Expansion and growth in Chinese cities, 1978–2010. Environ. Res. Lett. 2014, 9, 024008. [Google Scholar] [CrossRef]
- Townshend, J.; Justice, C.; Li, W.; Gurney, C.; McManus, J. Global land cover classification by remote sensing: Present capabilities and future possibilities. Remote Sens. Environ. 1991, 35, 243–255. [Google Scholar] [CrossRef]
- Running, S.W.; Loveland, T.R.; Pierce, L.L. A vegetation classification logic based on remote sensing for use in global biogeochemical models. Ambio 1994, 23, 77–81. [Google Scholar]
- Woodcock, C.E.; Strahler, A.H. The factor of scale in remote sensing. Remote Sens. Environ. 1987, 21, 311–332. [Google Scholar] [CrossRef]
- Woodcock, C.E.; Strahler, A.H.; Jupp, D.L. The use of variograms in remote sensing: I. Scene models and simulated images. Remote Sens. Environ. 1988, 25, 323–348. [Google Scholar] [CrossRef]
- Cao, C.; Lam, N.S.-N. Understanding the scale and resolution effects in remote sensing and GIS. In Scale in Remote Sensing and GIS; Quattrochi, D.A., Goodchild, M.F., Eds.; CRC Press: Boca Raton, FL, USA, 1997; pp. 57–72. [Google Scholar]
- Peng, J.; Loew, A.; Merlin, O.; Verhoest, N.E. A review of spatial downscaling of satellite remotely sensed soil moisture. Rev. Geophys. 2017, 55, 341–366. [Google Scholar] [CrossRef]
- Lawrence, P.J.; Chase, T.N. Representing a new MODIS consistent land surface in the Community Land Model (CLM 3.0). J. Geophys. Res. Biogeosci. 2007, 112, G01023. [Google Scholar] [CrossRef]
- Friedl, M.A.; McIver, D.K.; Hodges, J.C.; Zhang, X.; Muchoney, D.; Strahler, A.H.; Woodcock, C.E.; Gopal, S.; Schneider, A.; Cooper, A. Global land cover mapping from MODIS: Algorithms and early results. Remote Sens. Environ. 2002, 83, 287–302. [Google Scholar] [CrossRef]
- Cao, Q.; Yu, D.; Georgescu, M.; Han, Z.; Wu, J. Impacts of land use and land cover change on regional climate: A case study in the agro-pastoral transitional zone of China. Environ. Res. Lett. 2015, 10, 124025. [Google Scholar] [CrossRef]
- Friedl, M.A.; Sulla-Menashe, D.; Tan, B.; Schneider, A.; Ramankutty, N.; Sibley, A.; Huang, X. MODIS Collection 5 global land cover: Algorithm refinements and characterization of new datasets. Remote Sens. Environ. 2010, 114, 168–182. [Google Scholar] [CrossRef]
- ESA. Land Cover CCI Product User Guide Version 2.0. http://maps.elie.ucl.ac.be/CCI/viewer/download/ESACCI-LC-Ph2-PUGv2_2.0.pdf (accessed on 15 March 2018).
- Rawat, J.; Kumar, M. Monitoring land use/cover change using remote sensing and GIS techniques: A case study of Hawalbagh block, district Almora, Uttarakhand, India. Egypt. J. Remote Sens. Space Sci. 2015, 18, 77–84. [Google Scholar] [CrossRef]
- Liu, J.; Liu, M.; Tian, H.; Zhuang, D.; Zhang, Z.; Zhang, W.; Tang, X.; Deng, X. Spatial and temporal patterns of China’s cropland during 1990–2000: An analysis based on Landsat TM data. Remote Sens. Environ. 2005, 98, 442–456. [Google Scholar] [CrossRef]
- Qiao, H.; Wu, M.; Shakir, M.; Wang, L.; Kang, J.; Niu, Z. Classification of Small-Scale Eucalyptus Plantations Based on NDVI Time Series Obtained from Multiple High-Resolution Datasets. Remote Sens. 2016, 8, 117. [Google Scholar] [CrossRef]
- Lee, E.; Sacks, W.J.; Chase, T.N.; Foley, J.A. Simulated impacts of irrigation on the atmospheric circulation over Asia. J. Geophys. Res. Atmos. 2011, 116, D08114. [Google Scholar] [CrossRef]
- Xue, Y. The impact of desertification in the Mongolian and the Inner Mongolian grassland on the regional climate. J. Clim. 1996, 9, 2173–2189. [Google Scholar] [CrossRef]
- Fu, C. Potential impacts of human-induced land cover change on East Asia monsoon. Glob. Planet. Chang. 2003, 37, 219–229. [Google Scholar] [CrossRef]
- Jones, P.; Lister, D.; Li, Q. Urbanization effects in large-scale temperature records, with an emphasis on China. J. Geophys. Res. Atmos. 2008, 113, D16122. [Google Scholar] [CrossRef]
- Han, S.; Yang, Z. Cooling effect of agricultural irrigation over Xinjiang, Northwest China from 1959 to 2006. Environ. Res. Lett. 2013, 8, 024039. [Google Scholar] [CrossRef]
- Chen, L.; Dirmeyer, P.A. Adapting observationally based metrics of biogeophysical feedbacks from land cover/land use change to climate modeling. Environ. Res. Lett. 2016, 11, 034002. [Google Scholar] [CrossRef]
- He, Y.; Lee, E.; Warner, T.A. Continuous annual land use and land cover mapping using AVHRR GIMMS NDVI3g and MODIS MCD12Q1 datasets over China from 1982 to 2012. In Proceedings of the IEEE International Geoscience and Remote Sensing Symposium (IGARSS), Beijing, China, 10–15 July 2016; pp. 5470–5472. [Google Scholar]
- He, Y.; Lee, E.; Warner, T.A. A time series of annual land use and land cover maps of China from 1982 to 2012 generated using AVHRR GIMMS NDVI3g data. Remote Sens. Environ. 2017, 199, 201–217. [Google Scholar] [CrossRef]
- Jung, M.; Reichstein, M.; Margolis, H.A.; Cescatti, A.; Richardson, A.D.; Arain, M.A.; Arneth, A.; Bernhofer, C.; Bonal, D.; Chen, J. Global patterns of land-atmosphere fluxes of carbon dioxide, latent heat, and sensible heat derived from eddy covariance, satellite, and meteorological observations. J. Geophys. Res. Biogeosci. 2011, 116, G00J07. [Google Scholar] [CrossRef]
- Jung, M.; Reichstein, M.; Bondeau, A. Towards global empirical upscaling of FLUXNET eddy covariance observations: Validation of a model tree ensemble approach using a biosphere model. Biogeosciences 2009, 6, 2001–2013. [Google Scholar]
- Oki, T.; Kanae, S. Global hydrological cycles and world water resources. Science 2006, 313, 1068–1072. [Google Scholar] [CrossRef] [PubMed]
- Trenberth, K.E.; Fasullo, J.T.; Kiehl, J. Earth’s global energy budget. Bull. Am. Meteorol. Soc. 2009, 90, 311–323. [Google Scholar] [CrossRef]
- Dirmeyer, P.A.; Gao, X.; Zhao, M.; Guo, Z.; Oki, T.; Hanasaki, N. The Second Global Soil Wetness Project (GSWP-2): Multi-model analysis and implications for our perception of the land surface. Bull. Am. Meteorol. Soc. 2006, 87, 1381–1397. [Google Scholar] [CrossRef]
- Jung, M.; Reichstein, M.; Ciais, P.; Seneviratne, S.I.; Sheffield, J.; Goulden, M.L.; Bonan, G.; Cescatti, A.; Chen, J.; De Jeu, R. Recent decline in the global land evapotranspiration trend due to limited moisture supply. Nature 2010, 467, 951. [Google Scholar] [CrossRef] [PubMed]
- Bonan, G.B.; Lawrence, P.J.; Oleson, K.W.; Levis, S.; Jung, M.; Reichstein, M.; Lawrence, D.M.; Swenson, S.C. Improving canopy processes in the Community Land Model version 4 (CLM4) using global flux fields empirically inferred from FLUXNET data. J. Geophys. Res. Biogeosci. 2011, 116, G02014. [Google Scholar] [CrossRef]
- Liu, M.; Tian, H.; Yang, Q.; Yang, J.; Song, X.; Lohrenz, S.E.; Cai, W.J. Long-term trends in evapotranspiration and runoff over the drainage basins of the Gulf of Mexico during 1901–2008. Water Resour. Res. 2013, 49, 1988–2012. [Google Scholar] [CrossRef]
- Koster, R.D.; Mahanama, S.P. Land surface controls on hydroclimatic means and variability. J. Hydrometeorol. 2012, 13, 1604–1620. [Google Scholar] [CrossRef]
- Pan, S.; Tian, H.; Dangal, S.R.; Yang, Q.; Yang, J.; Lu, C.; Tao, B.; Ren, W.; Ouyang, Z. Responses of global terrestrial evapotranspiration to climate change and increasing atmospheric CO2 in the 21st century. Earths Future 2015, 3, 15–35. [Google Scholar] [CrossRef]
- Burba, G.G.; Verma, S.B. Seasonal and interannual variability in evapotranspiration of native tallgrass prairie and cultivated wheat ecosystems. Agric. For. Meteorol. 2005, 135, 190–201. [Google Scholar] [CrossRef]
- Yang, Z.L.; Dai, Y.; Dickinson, R.; Shuttleworth, W. Sensitivity of ground heat flux to vegetation cover fraction and leaf area index. J. Geophys. Res. Atmos. 1999, 104, 19505–19514. [Google Scholar] [CrossRef]
- Biraud, S.C.; Riley, W.J.; Fischer, M.L.; Torn, M.S.; Berry, J.A. Spatially Distributed CO2, Sensible, and Latent Heat Fluxes over the Southern Great Plains; Lawrence Berkeley National Laboratory: Berkeley, CA, USA, 2005. [Google Scholar]
- Williams, I.N.; Torn, M.S. Vegetation controls on surface heat flux partitioning, and land-atmosphere coupling. Geophys. Res. Lett. 2015, 42, 9416–9424. [Google Scholar] [CrossRef]
- Baboo, S.S.; Devi, M.R. An analysis of different resampling methods in Coimbatore, District. Glob. J. Comput. Sci. Technol. 2010, 10, 61–66. [Google Scholar]
- Han, P.; Li, Z.; Gong, J. Effects of aggregation methods on image classification. In Geospatial Technology for Earth Observation; Springer: Berlin, Germany, 2010; pp. 271–288. [Google Scholar]
- Pearson, K. Note on regression and inheritance in the case of two parents. Proc. R. Soc. Lond. 1895, 58, 240–242. [Google Scholar] [CrossRef]
- Hogg, R.V.; Tanis, E.; Zimmerman, D. Probability and Statistical Inference; Pearson Higher Ed: London, UK, 2014. [Google Scholar]
- Freund, R.J.; Wilson, W.J.; Sa, P. Regression Analysis; Academic Press: Cambridge, MA, USA, 2006. [Google Scholar]
- Walpole, R.E.; Myers, R.H.; Myers, S.L.; Ye, K. Probability and Statistics for Engineers and Scientists; Macmillan: New York, NY, USA, 1993. [Google Scholar]
- Clifford, P.; Richardson, S.; Hémon, D. Assessing the significance of the correlation between two spatial processes. Biometrics 1989, 45, 123–134. [Google Scholar] [CrossRef] [PubMed]
- Deng, J.; Chuangjun, W.; Zhikang, X. General View of Agriculture Geography of China; Science Press: Beijing, China, 1983; p. 334. [Google Scholar]
- Korontzi, S.; McCarty, J.; Loboda, T.; Kumar, S.; Justice, C. Global distribution of agricultural fires in croplands from 3 years of Moderate Resolution Imaging Spectroradiometer (MODIS) data. Glob. Biogeochem. Cycles 2006, 20, GB2021. [Google Scholar] [CrossRef]
- Liu, J.; Zhang, Z.; Xu, X.; Kuang, W.; Zhou, W.; Zhang, S.; Li, R.; Yan, C.; Yu, D.; Wu, S. Spatial patterns and driving forces of land use change in China during the early 21st century. J. Geogr. Sci. 2010, 20, 483–494. [Google Scholar] [CrossRef]
- Yin, G.; Zhang, Y.; Sun, Y.; Wang, T.; Zeng, Z.; Piao, S. MODIS Based Estimation of Forest Aboveground Biomass in China. PLoS ONE 2015, 10, e0130143. [Google Scholar] [CrossRef] [PubMed]
- Fenning, T. Challenges and Opportunities for the World’s Forests in the 21st Century; Springer: Dordrecht, The Netherlands, 2014. [Google Scholar]
- Kang, L.; Han, X.; Zhang, Z.; Sun, O.J. Grassland ecosystems in China: Review of current knowledge and research advancement. Philos. Trans. R. Soc. Lond. B Biol. Sci. 2007, 362, 997–1008. [Google Scholar] [CrossRef] [PubMed]
- Liu, J.; Kuang, W.; Zhang, Z.; Xu, X.; Qin, Y.; Ning, J.; Zhou, W.; Zhang, S.; Li, R.; Yan, C. Spatiotemporal characteristics, patterns, and causes of land-use changes in China since the late 1980s. J. Geogr. Sci. 2014, 24, 195–210. [Google Scholar] [CrossRef]
- Man, W.; Wang, Z.; Liu, M.; Lu, C.; Jia, M.; Mao, D.; Ren, C. Spatio-temporal dynamics analysis of cropland in Northeast China during 1990–2013 based on remote sensing. Trans. Chin. Soc. Agric. Eng. 2016, 32, 1–10. [Google Scholar]
- Yin, X. Analysis on the change of land use by remote sensing technology in Manas county. J. Shihezi Univ. 2008, 26, 402–406. [Google Scholar]
- Tong, X.; Brandt, M.; Yue, Y.; Horion, S.; Wang, K.; De Keersmaecker, W.; Tian, F.; Schurgers, G.; Xiao, X.; Luo, Y. Increased vegetation growth and carbon stock in China karst via ecological engineering. Nat. Sustain. 2018, 1, 44. [Google Scholar] [CrossRef]
- Waldron, S.; Brown, C.; Longworth, J. An assessment of China’s approach to grassland degradation and livelihood problems in the pastoral region. In Proceedings of the 5th Annual Conference of the Consortium for Western China Development Studies, Xi’an, China, 22–24 July 2008. [Google Scholar]
- Fan, F.; Weng, Q.; Wang, Y. Land use and land cover change in Guangzhou, China, from 1998 to 2003, based on Landsat TM/ETM+ imagery. Sensors 2007, 7, 1323–1342. [Google Scholar] [CrossRef]
- Li, Y.; Zhao, M.; Motesharrei, S.; Mu, Q.; Kalnay, E.; Li, S. Local cooling and warming effects of forests based on satellite observations. Nat. Commun. 2015, 6, 6603. [Google Scholar] [CrossRef] [PubMed]
- Betts, R.A. Climate science: Afforestation cools more or less. Nat. Geosci. 2011, 4, 504–505. [Google Scholar] [CrossRef]
- Ma, E.; Liu, A.; Li, X.; Wu, F.; Zhan, J. Impacts of vegetation change on the regional surface climate: A scenario-based analysis of afforestation in Jiangxi Province, China. Adv. Meteorol. 2013, 2013, 148–152. [Google Scholar] [CrossRef]






| Year | Correlation Coefficient, r | |||||
|---|---|---|---|---|---|---|
| 0.5° Spatial Resolution | 1.0° Spatial Resolution | 2.5° Spatial Resolution | ||||
| North China Plain | Sichuan Basin | North China Plain | Sichuan Basin | North China Plain | Sichuan Basin | |
| 1982 | 0.50 * | 0.44 * | 0.59 * | 0.47 * | 0.53 * | 0.55 * |
| 1988 | 0.62 * | 0.49 * | 0.69 * | 0.56 * | 0.64 * | 0.59 * |
| 1994 | 0.53 * | 0.63 * | 0.62 * | 0.65 * | 0.58 * | 0.64 * |
| 2000 | 0.55 * | 0.44 * | 0.60 * | 0.51 * | 0.59 * | 0.54 * |
| 2006 | 0.65 * | 0.35 * | 0.70 * | 0.45 * | 0.70 * | 0.48 * |
| 2011 | 0.63 * | 0.51 * | 0.71 * | 0.57 * | 0.70 * | 0.57 * |
| Mean | 0.58 | 0.48 | 0.65 | 0.53 | 0.62 | 0.56 |
| Year | p-Value of Wilcoxon Rank Sum Test | |||||
|---|---|---|---|---|---|---|
| 0.5° Spatial Resolution | 1.0° Spatial Resolution | 2.5° Spatial Resolution | ||||
| Nearest Neighbor | Majority Aggregation | Nearest Neighbor | Majority Aggregation | Nearest Neighbor | Majority Aggregation | |
| 1982 | p < 0.01 | p < 0.01 | p < 0.01 | p < 0.01 | p = 0.51 | p = 0.22 |
| 1988 | p < 0.01 | p < 0.01 | p < 0.01 | p < 0.01 | p = 0.09 | p = 0.09 |
| 1994 | p < 0.01 | p < 0.01 | p < 0.01 | p < 0.01 | p = 0.01 | p = 0.03 |
| 2000 | p < 0.01 | p < 0.01 | p < 0.01 | p < 0.01 | p = 0.02 | p = 0.07 |
| 2006 | p < 0.01 | p < 0.01 | p < 0.01 | p < 0.01 | p < 0.01 | p < 0.01 |
| 2011 | p < 0.01 | p < 0.01 | p < 0.01 | p < 0.01 | p < 0.01 | p < 0.01 |
| Year | p-Value of Wilcoxon Rank Sum Test | |||||
|---|---|---|---|---|---|---|
| 0.5° Spatial Resolution | 1.0° Spatial Resolution | 2.5° Spatial Resolution | ||||
| Nearest Neighbor | Majority Aggregation | Nearest Neighbor | Majority Aggregation | Nearest Neighbor | Majority Aggregation | |
| 1982 | p < 0.01 | p < 0.01 | p < 0.01 | p < 0.01 | p = 0.44 | p = 0.41 |
| 1988 | p < 0.01 | p < 0.01 | p < 0.01 | p < 0.01 | p = 0.07 | p = 0.12 |
| 1994 | p < 0.01 | p < 0.01 | p < 0.01 | p < 0.01 | p = 0.02 | p = 0.06 |
| 2000 | p < 0.01 | p < 0.01 | p < 0.01 | p < 0.01 | p = 0.11 | p = 0.09 |
| 2006 | p < 0.01 | p < 0.01 | p < 0.01 | p < 0.01 | p = 0.07 | p = 0.08 |
| 2011 | p < 0.01 | p < 0.01 | p < 0.01 | p < 0.01 | p = 0.17 | p = 0.03 |
© 2018 by the authors. Licensee MDPI, Basel, Switzerland. This article is an open access article distributed under the terms and conditions of the Creative Commons Attribution (CC BY) license (http://creativecommons.org/licenses/by/4.0/).
Share and Cite
He, Y.; Warner, T.A.; McNeil, B.E.; Lee, E. Reducing Uncertainties in Applying Remotely Sensed Land Use and Land Cover Maps in Land-Atmosphere Interaction: Identifying Change in Space and Time. Remote Sens. 2018, 10, 506. https://doi.org/10.3390/rs10040506
He Y, Warner TA, McNeil BE, Lee E. Reducing Uncertainties in Applying Remotely Sensed Land Use and Land Cover Maps in Land-Atmosphere Interaction: Identifying Change in Space and Time. Remote Sensing. 2018; 10(4):506. https://doi.org/10.3390/rs10040506
Chicago/Turabian StyleHe, Yaqian, Timothy A. Warner, Brenden E. McNeil, and Eungul Lee. 2018. "Reducing Uncertainties in Applying Remotely Sensed Land Use and Land Cover Maps in Land-Atmosphere Interaction: Identifying Change in Space and Time" Remote Sensing 10, no. 4: 506. https://doi.org/10.3390/rs10040506
APA StyleHe, Y., Warner, T. A., McNeil, B. E., & Lee, E. (2018). Reducing Uncertainties in Applying Remotely Sensed Land Use and Land Cover Maps in Land-Atmosphere Interaction: Identifying Change in Space and Time. Remote Sensing, 10(4), 506. https://doi.org/10.3390/rs10040506

