Validation of the SARAH-E Satellite-Based Surface Solar Radiation Estimates over India
Abstract
1. Introduction
- What is the accuracy of the SARAH-E dataset against quality controlled in situ SSR measurements from sites all across India? Is the SSR estimation accuracy stable over time? Are there regional differences in SSR estimation bias?
- Are the source datasets in general robust and long-term enough for reliable trend determination? If yes, what can we say about trends in SSR over India over the past 15 years? Do the satellite-based estimates agree with in situ measurements over the magnitude and direction of the trends?
2. Materials and Methods
2.1. SARAH-E
2.2. In Situ SSR Measurements
2.3. Quality Assurance of SSR Measurements
2.4. Validation Metrics and Methods
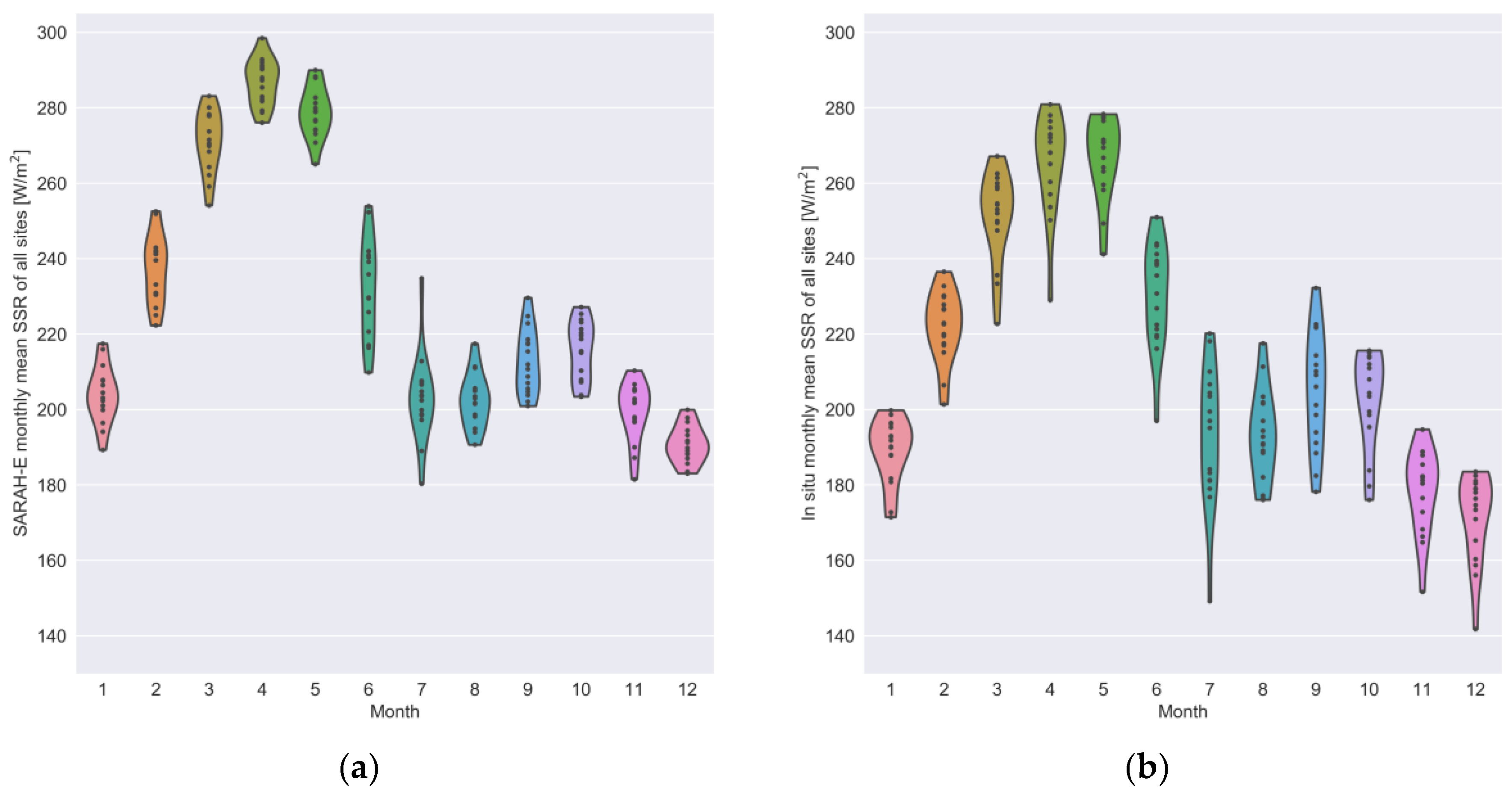
3. Results and Discussion
4. Conclusions
- Between 1999 and 2009, SARAH-E consistently overestimates in situ measured SSR over India by 10–30 W/m2 (~10–20% in relative terms).
- Between 1999 and 2009, both SARAH-E and the in situ measurements indicate an overall decreasing trend in SSR with a magnitude of ~−0.6 W/m2/year. The trends are statistically significant at the 95% confidence interval.
- Post-2009, in situ measured SSR begins to decline sharply whereas SARAH-E retrievals remain stable, leading to a sharply increasing estimation bias.
- A modeling test of the clear-sky SSR over Pune with AERONET-measured aerosol and water vapor data as input indicates that the relationship between AERONET-based SSR estimate and measured SSR (in clear-sky conditions) is different pre- and post-2009. However, it should also be noted that the SARAH-E aerosol background is based on a 2003–2010 climatology, which may not fully capture recent changes in ambient atmospheric conditions over India.
Supplementary Materials
Acknowledgments
Author Contributions
Conflicts of Interest
References
- Bhattacharya, M.; Paramati, S.R.; Ozturk, I.; Bhattacharya, S. The effect of renewable energy consumption on economic growth: Evidence from top 38 countries. Appl. Energy 2016, 162, 733–741. [Google Scholar] [CrossRef]
- Sharma, N.K.; Tiwari, P.K.; Sood, Y.R. Solar energy in India: Strategies, policies, perspectives and future potential. Renew. Sustain. Energy Rev. 2012, 16, 933–941. [Google Scholar] [CrossRef]
- Kar, S.K.; Sharma, A.; Roy, B. Solar energy market developments in India. Renew. Sustain. Energy Rev. 2016, 62, 121–133. [Google Scholar] [CrossRef]
- Amillo, A.G.; Huld, T.; Müller, R. A new database of global and direct solar radiation using the eastern meteosat satellite, models and validation. Remote Sens. 2014, 6, 8165–8189. [Google Scholar] [CrossRef]
- Huld, T.; Müller, R.; Gracia-Amillo, A.; Pfeifroth, U.; Trentmann, J. Surface Solar Radiation Data Set—Heliosat, Meteosat-East (SARAH-E), 1st ed.; Satellite Application Facility on Climate Monitoring: Offenbach, Germany, 2016; Available online: https://doi.org/10.5676/DWD/JECD/SARAH_E/V001 (accessed on 15 December 2017).
- Rigollier, C.; Lefèvre, M.; Wald, L. The method Heliosat-2 for deriving shortwave solar radiation from satellite images. Sol. Energy 2004, 77, 159–169. [Google Scholar] [CrossRef]
- Huld, T.; Müller, R.; Gambardella, A. A new solar radiation database for estimating PV performance in Europe and Africa. Sol. Energy 2012, 86, 1803–1815. [Google Scholar] [CrossRef]
- Pinker, R.T.; Laszlo, I. Modeling surface solar irradiance for satellite applications on a global scale. J. Appl. Meteorol. 1992, 31, 194–211. [Google Scholar] [CrossRef]
- Lohmann, S.; Schillings, C.; Mayer, B.; Meyer, R. Long-term variability of solar direct and global radiation derived from ISCCP data and comparison with reanalysis data. Sol. Energy 2006, 80, 1390–1401. [Google Scholar] [CrossRef]
- Karlsson, K.G.; Anttila, K.; Trentmann, J.; Stengel, M.; Meirink, J.F.; Devasthale, A.; Benas, N. CLARA-A2: The second edition of the CM SAF cloud and radiation data record from 34 years of global AVHRR data. Atmos. Chem. Phys. 2017, 17, 5809. [Google Scholar] [CrossRef]
- Riihelä, A.; Carlund, T.; Trentmann, J.; Müller, R.; Lindfors, A.V. Validation of CM SAF surface solar radiation datasets over Finland and Sweden. Remote Sens. 2015, 7, 6663–6682. [Google Scholar] [CrossRef]
- Pfenninger, S.; Staffell, I. Long-term patterns of European PV output using 30 years of validated hourly reanalysis and satellite data. Energy 2016, 114, 1251–1265. [Google Scholar] [CrossRef]
- Urraca, R.; Gracia-Amillo, A.M.; Koubli, E.; Huld, T.; Trentmann, J.; Riihelä, A.; Antonanzas-Torres, F. Extensive validation of CM SAF surface radiation products over Europe. Remote Sens. Environ. 2017, 199, 171–186. [Google Scholar] [CrossRef] [PubMed]
- Cano, D.; Monget, J.M.; Albuisson, M.; Guillard, H.; Regas, N.; Wald, L. A method for the determination of the global solar radiation from meteorological satellite data. Sol. Energy 1986, 37, 31–39. [Google Scholar] [CrossRef]
- Beyer, H.G.; Costanzo, C.; Heinemann, D. Modifications of the Heliosat procedure for irradiance estimates from satellite images. Sol. Energy 1996, 56, 207–212. [Google Scholar] [CrossRef]
- Hammer, A.; Heinemann, D.; Hoyer, C.; Kuhlemann, R.; Lorenz, E.; Müller, R.; Beyer, H.G. Solar energy assessment using remote sensing technologies. Remote Sens. Environ. 2003, 86, 423–432. [Google Scholar] [CrossRef]
- Dee, D.P.; Uppala, S.M.; Simmons, A.J.; Berrisford, P.; Poli, P.; Kobayashi, S.; Bechtold, P. The ERA-Interim reanalysis: Configuration and performance of the data assimilation system. Q. J. R. Meteorol. Soc. 2011, 137, 553–597. [Google Scholar] [CrossRef]
- Morcrette, J.J.; Boucher, O.; Jones, L.; Salmond, D.; Bechtold, P.; Beljaars, A.; Schulz, M. Aerosol analysis and forecast in the European Centre for medium-range weather forecasts integrated forecast system: Forward modeling. J. Geophys. Res. Atmos. 2009, 114, 605–617. [Google Scholar] [CrossRef]
- Müller, R.; Pfeifroth, U.; Träger-Chatterjee, C.; Trentmann, J.; Cremer, R. Digging the METEOSAT treasure—3 decades of solar surface radiation. Remote Sens. 2015, 7, 8067–8101. [Google Scholar] [CrossRef]
- Krämer, M.; Müller, R.; Bovensmann, H.; Burrows, J.; Brinkmann, J.; Röth, E.P.; Günther, G. Intercomparison of stratospheric chemistry models under polar vortex conditions. J. Atmos. Chem. 2003, 45, 51–77. [Google Scholar] [CrossRef]
- Soni, V.K.; Pandithurai, G.; Pai, D.S. Evaluation of long-term changes of solar radiation in India. Int. J. Climatol. 2012, 32, 540–551. [Google Scholar] [CrossRef]
- Kumar, V.; Jain, S.K.; Singh, Y. Analysis of long-term rainfall trends in India. Hydrol. Sci. J. 2010, 55, 484–496. [Google Scholar] [CrossRef]
- Tiwari, S.; Dumka, U.C.; Gautam, A.S.; Kaskaoutis, D.G.; Srivastava, A.K.; Bisht, D.S.; Chakrabarty, R.K.; Sumlin, B.J.; Solmon, F. Assessment of PM 2.5 and PM 10 over Guwahati in Brahmaputra River Valley: Temporal evolution, source apportionment and meteorological dependence. Atmos. Pollut. Res. 2016, 8, 13–28. [Google Scholar] [CrossRef]
- Yerramsetti, V.S.; Gauravarapu Navlur, N.; Rapolu, V.; Dhulipala, N.S.K.; Sinha, P.R.; Srinavasan, S.; Anupoju, G.R. Role of nitrogen oxides, black carbon, and meteorological parameters on the variation of surface ozone levels at a tropical urban site–Hyderabad, India. Clean Soil Air Water 2013, 41, 215–225. [Google Scholar] [CrossRef]
- Sreekanth, V. Satellite derived aerosol optical depth climatology over Bangalore, India. Adv. Space Res. 2013, 51, 2297–2308. [Google Scholar] [CrossRef]
- Pani, S.K.; Verma, S. Variability of winter and summertime aerosols over eastern India urban environment. Atmos. Res. 2014, 137, 112–124. [Google Scholar] [CrossRef]
- Bhaskar, V.V.; Safai, P.D.; Raju, M.P. Long term characterization of aerosol optical properties: Implications for radiative forcing over the desert region of Jodhpur, India. Atmos. Environ. 2015, 114, 66–74. [Google Scholar] [CrossRef]
- Biswas, J.; Pathak, B.; Patadia, F.; Bhuyan, P.K.; Gogoi, M.M.; Babu, S.S. Satellite-retrieved direct radiative forcing of aerosols over North-East India and adjoining areas: Climatology and impact assessment. Int. J. Climatol. 2017, 37, 4756. [Google Scholar] [CrossRef]
- Moradi, I. Quality control of global solar radiation using sunshine duration hours. Energy 2009, 34, 1–6. [Google Scholar] [CrossRef]
- Tang, W.; Yang, K.; He, J.; Qin, J. Quality control and estimation of global solar radiation in China. Sol. Energy 2010, 84, 466–475. [Google Scholar] [CrossRef]
- Shi, G.Y.; Hayasaka, T.; Ohmura, A.; Chen, Z.H.; Wang, B.; Zhao, J.Q.; Xu, L. Data quality assessment and the long-term trend of ground solar radiation in China. J. Appl. Meteorol. Climatol. 2008, 47, 1006–1016. [Google Scholar] [CrossRef]
- Long, C.N.; Dutton, E.G. BSRN Global Network Recommended QC Tests, V2. 2010. Available online: https://epic.awi.de/30083/1/BSRN_recommended_QC_tests_V2.pdf (accessed on 15 December 2017).
- Holmgren, W.F.; Andrews, R.W.; Lorenzo, A.T.; Stein, J.S. Pvlib python 2015. In Proceedings of the IEEE 42nd Photovoltaic Specialist Conference (PVSC), New Orleans, LA, USA, 14–19 June 2015; pp. 1–5. [Google Scholar]
- Holben, B.N.; Eck, T.F.; Slutsker, I.; Tanre, D.; Buis, J.P.; Setzer, A.; Lavenu, F. AERONET—A federated instrument network and data archive for aerosol characterization. Remote Sens. Environ. 1998, 66, 1–16. [Google Scholar] [CrossRef]
- Ineichen, P. A broadband simplified version of the Solis clear sky model. Sol. Energy 2008, 82, 758–762. [Google Scholar] [CrossRef]
- Sanchez-Lorenzo, A.; Wild, M.; Trentmann, J. Validation and stability assessment of the monthly mean CM SAF surface solar radiation dataset over Europe against a homogenized surface dataset (1983–2005). Remote Sens. Environ. 2013, 134, 355–366. [Google Scholar] [CrossRef]
- Hakuba, M.Z.; Folini, D.; Sanchez-Lorenzo, A.; Wild, M. Spatial representativeness of ground-based solar radiation measurements. J. Geophys. Res. Atmos. 2013, 118, 8585–8597. [Google Scholar] [CrossRef]
- Sanchez Lorenzo, A. Stability Assessment and Trends of CM SAF Surface Solar Radiation Data Sets (RadTrend); CM SAF Visiting Scientist Report; Satellite Application Facility on Climate Monitoring: Offenbach, Germany, 2017. [Google Scholar]
- Gurjar, B.R.; Khaiwal, R.; Nagpure, A.S. Air pollution trends over Indian megacities and their local-to-global implications. Atmos. Environ. 2016, 142, 475–495. [Google Scholar] [CrossRef]
- Dey, S.; Di Girolamo, L. A climatology of aerosol optical and microphysical properties over the Indian subcontinent from 9 years (2000–2008) of Multiangle Imaging Spectroradiometer (MISR) data. J. Geophys. Res. Atmos. 2010, 115. [Google Scholar] [CrossRef]









| Site | Latitude (°N) | Longitude (°E) | Data Coverage | Comments and Climate Regime |
|---|---|---|---|---|
| Bangalore | 12.9716 | 77.5946 | 1999–2009 | Urban, tropical |
| Jodhpur | 26.2389 | 73.0243 | 1999–2014 | Desert, arid |
| Bhopal | 23.2599 | 77.4126 | 1999–2009 | Humid, subtropical |
| Pune | 18.5204 | 73.8567 | 1999–2014 | Suburban |
| Sri Nagar | 34.0837 | 74.7973 | 1999–2009 | Valley, mountainous |
| Jaipur | 26.9124 | 75.7873 | 1999–2009 | Semi-arid, dry |
| Ranchi | 23.3441 | 85.3096 | 1999–2010 | Urban, hilly |
| Visakhapatnam | 17.6868 | 83.2185 | 1999–2014 | Coastal, urban |
| Chennai | 13.0827 | 80.2707 | 1999–2014 | Coastal, urban |
| Trivandrum | 8.5241 | 76.9366 | 1999–2014 | Coastal, tropical |
| Nagpur | 21.1458 | 79.0882 | 1999–2010, 2013–2014 | Urban, dry apart from monsoon |
| Shillong | 25.5788 | 91.8933 | 1999–2014 | Subtropical highland, low AOD |
| Ahmedabad | 23.0225 | 72.5714 | 1999–2009, 2013–2014 | Dry, semi-arid |
| Hyderabad | 17.385 | 78.4867 | 1999–2014 | Semi-arid |
| Kolkata | 22.5726 | 88.3639 | 1999–2012 | Sparse data, urban subtropical |
| Mumbai | 19.076 | 72.8777 | 1999–2010, 2013–2014 | Coastal, urban |
| Patna | 25.5941 | 85.1376 | 1999–2009 | Urban |
| Site | MBD (W/m2) | MABD (W/m2) | RMSD (W/m2) | MBD (W/m2) 1999–2009 | MBD (W/m2) 2010–2014 |
|---|---|---|---|---|---|
| Bangalore | 9.12 | 18.84 | 24.39 | 9.12 | N/A |
| Jodhpur | 24.60 | 26.64 | 31.42 | 21.18 | 37.71 |
| Bhopal | 10.45 | 18.57 | 24.09 | 10.45 | N/A |
| Pune | 20.92 | 25.60 | 31.46 | 14.69 | 42.84 |
| Sri Nagar | 17.04 | 26.71 | 35.12 | 17.04 | N/A |
| Jaipur | 5.30 | 13.83 | 18.04 | 5.30 | N/A |
| Ranchi | 20.92 | 23.92 | 29.60 | 20.26 | 32.67 |
| Visakhapatnam | 31.83 | 34.34 | 39.65 | 27.55 | 47.10 |
| Chennai | 26.33 | 30.19 | 37.44 | 20.43 | 47.12 |
| Trivandrum | 38.35 | 38.77 | 42.35 | 36.45 | 46.99 |
| Nagpur | 30.52 | 31.90 | 37.98 | 25.54 | 52.70 |
| Shillong | 7.85 | 30.15 | 37.61 | -5.05 | 40.75 |
| Ahmedabad | 29.55 | 30.84 | 36.58 | 25.18 | 51.77 |
| Hyderabad | 14.62 | 22.16 | 28.22 | 12.35 | 41.65 |
| Kolkata | 27.89 | 35.35 | 43.07 | 38.22 | 37.34 |
| Mumbai | 27.85 | 31.25 | 36.29 | 25.99 | 53.35 |
| Patna | 28.93 | 32.98 | 38.92 | 28.93 | N/A |
| All (mean) | 21.89 | 27.77 | 33.66 | 19.62 | 44.33 |
© 2018 by the authors. Licensee MDPI, Basel, Switzerland. This article is an open access article distributed under the terms and conditions of the Creative Commons Attribution (CC BY) license (http://creativecommons.org/licenses/by/4.0/).
Share and Cite
Riihelä, A.; Kallio, V.; Devraj, S.; Sharma, A.; Lindfors, A.V. Validation of the SARAH-E Satellite-Based Surface Solar Radiation Estimates over India. Remote Sens. 2018, 10, 392. https://doi.org/10.3390/rs10030392
Riihelä A, Kallio V, Devraj S, Sharma A, Lindfors AV. Validation of the SARAH-E Satellite-Based Surface Solar Radiation Estimates over India. Remote Sensing. 2018; 10(3):392. https://doi.org/10.3390/rs10030392
Chicago/Turabian StyleRiihelä, Aku, Viivi Kallio, Sarvesh Devraj, Anu Sharma, and Anders V. Lindfors. 2018. "Validation of the SARAH-E Satellite-Based Surface Solar Radiation Estimates over India" Remote Sensing 10, no. 3: 392. https://doi.org/10.3390/rs10030392
APA StyleRiihelä, A., Kallio, V., Devraj, S., Sharma, A., & Lindfors, A. V. (2018). Validation of the SARAH-E Satellite-Based Surface Solar Radiation Estimates over India. Remote Sensing, 10(3), 392. https://doi.org/10.3390/rs10030392

