The VIIRS Sea-Ice Albedo Product Generation and Preliminary Validation
Abstract
1. Introduction
2. Method and Dataset
2.1. VIIRS Albedo Product
2.2. The BRDF-Based Direct Regression LUT Generation
2.3. The Operational VSIA Algorithm
3. Validation of VSIA Using Ground Measurements
3.1. Ground Measurement Dataset
3.1.1. PROMICE Measurements
3.1.2. GC-NET Measurements
3.1.3. Field Measurements
3.2. Comparison between PROMICE and VSIA Match-Ups
3.3. Residuals Analysis
3.3.1. Temporal Continuity and Variability of Albedo
3.3.2. Influence of Heterogeneity
3.3.3. Influence of Solar Zenith Angle
3.4. Validation Using GC-NET Match-Ups
3.5. Evaluation of VSIA Using In Situ Sea-Ice Albedo
4. Discussion
4.1. Northern Hemisphere Albedo from VSIA
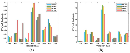
4.2. Analysis of VSIA LUT
4.3. Limitations in Current Algorithm and Validation
5. Conclusions
Author Contributions
Funding
Acknowledgments
Conflicts of Interest
References
- Kashiwase, H.; Ohshima, K.I.; Nihashi, S.; Eicken, H. Evidence for ice-ocean albedo feedback in the Arctic Ocean shifting to a seasonal ice zone. Sci. Rep. 2017, 7, 8170. [Google Scholar] [CrossRef] [PubMed]
- Cao, Y.; Liang, S.; Chen, X.; He, T. Assessment of sea ice albedo radiative forcing and feedback over the Northern Hemisphere from 1982 to 2009 using satellite and reanalysis data. J. Clim. 2015, 28, 1248–1259. [Google Scholar] [CrossRef]
- Comiso, J.C.; Parkinson, C.L.; Gersten, R.; Stock, L. Accelerated decline in the Arctic sea ice cover. Geophys. Res. Lett. 2008, 35, L1703. [Google Scholar] [CrossRef]
- Hall, A. The role of surface albedo feedback in climate. J. Clim. 2004, 17, 1550–1568. [Google Scholar] [CrossRef]
- Laine, V.; Manninen, T.; Riihelä, A.; Andersson, K. Shortwave broadband black-sky surface albedo estimation for Arctic sea ice using passive microwave radiometer data. J. Geophys. Res. Atmos. 2011, 116. [Google Scholar] [CrossRef][Green Version]
- Xiong, X.; Stamnes, K.; Lubin, D. Surface albedo over the Arctic Ocean derived from AVHRR and its validation with SHEBA data. J. appl. Meteorol. 2002, 41, 413–425. [Google Scholar] [CrossRef]
- Comiso, J.C. Satellite-observed variability and trend in sea-ice extent, surface temperature, albedo and clouds in the Arctic. Ann. Glaciol. 2001, 33, 457–473. [Google Scholar] [CrossRef]
- De Abreu, R.A.; Key, J.; Maslanik, J.A.; Serreze, M.C.; LeDrew, E.F. Comparison of in situ and AVHRR-derived broadband albedo over Arctic sea ice. Arctic 1994, 288–297. [Google Scholar] [CrossRef]
- Lindsay, R.W.; Rothrock, D.A. Arctic sea ice albedo from AVHRR. J. Clim. 1994, 7, 1737–1749. [Google Scholar] [CrossRef]
- Key, J.R.; Wang, X.; Stoeve, J.C.; Fowler, C. Estimating the cloudy-sky albedo of sea ice and snow from space. J. Geophys. Res. Atmos. 2001, 106, 12489–12497. [Google Scholar] [CrossRef]
- Key, J.; Wang, X.; Liu, Y.; Dworak, R.; Letterly, A. The AVHRR polar pathfinder climate data records. Remote Sens. 2016, 8, 167. [Google Scholar] [CrossRef]
- Wang, X.; Key, J.R. Arctic surface, cloud, and radiation properties based on the AVHRR Polar Pathfinder dataset. Part I: Spatial and temporal characteristics. J. Clim. 2005, 18, 2558–2574. [Google Scholar] [CrossRef]
- Riihelä, A.; Laine, V.; Manninen, T.; Palo, T.; Vihma, T. Validation of the Climate-SAF surface broadband albedo product: Comparisons with in situ observations over Greenland and the ice-covered Arctic Ocean. Remote Sens. Environ. 2010, 114, 2779–2790. [Google Scholar] [CrossRef]
- Stroeve, J.; Box, J.E.; Gao, F.; Liang, S.; Nolin, A.; Schaaf, C. Accuracy assessment of the MODIS 16-day albedo product for snow: comparisons with Greenland in situ measurements. Remote Sens. Environ. 2005, 94, 46–60. [Google Scholar] [CrossRef]
- Qu, Y.; Liu, Q.; Liang, S.; Wang, L.; Liu, N.; Liu, S. Direct-estimation algorithm for mapping daily land-surface broadband albedo from MODIS data. IEEE Trans. Geosci. Remote Sens. 2014, 52, 907–919. [Google Scholar] [CrossRef]
- Schaaf, C.B.; Gao, F.; Strahler, A.H.; Lucht, W.; Li, X.; Tsang, T.; Strugnell, N.C.; Zhang, X.; Jin, Y.; Muller, J. First operational BRDF, albedo nadir reflectance products from MODIS. Remote Sens. Environ. 2002, 83, 135–148. [Google Scholar] [CrossRef]
- Comiso, J.C. Large decadal decline of the Arctic multiyear ice cover. J. Clim. 2012, 25, 1176–1193. [Google Scholar] [CrossRef]
- Maslanik, J.; Stroeve, J.; Fowler, C.; Emery, W. Distribution and trends in Arctic sea ice age through spring 2011. Geophys. Res. Lett. 2011, 38. [Google Scholar] [CrossRef]
- Wen, J.; Dou, B.; You, D.; Tang, Y.; Xiao, Q.; Liu, Q.; Qinhuo, L. Forward a small-timescale BRDF/Albedo by multisensor combined brdf inversion model. IEEE Trans. Geosci. Remote Sens. 2017, 55, 683–697. [Google Scholar] [CrossRef]
- Riihelä, A.; Manninen, T.; Key, J.; Sun, Q.; Sütterlin, M.; Lattanzio, A.; Schaaf, C. A Multisensor Approach to Global Retrievals of Land Surface Albedo. Remote Sens. 2018, 10, 848. [Google Scholar] [CrossRef]
- Liang, S.; Stroeve, J.; Box, J.E. Mapping daily snow/ice shortwave broadband albedo from Moderate Resolution Imaging Spectroradiometer (MODIS): The improved direct retrieval algorithm and validation with Greenland in situ measurement. J. Geophys. Res. Atmos. 2005, 110. [Google Scholar] [CrossRef]
- Wang, D.; Liang, S.; He, T.; Yu, Y. Direct estimation of land surface albedo from VIIRS data: Algorithm improvement and preliminary validation. J. Geophys. Res. Atmos. 2013, 118, 12577–12586. [Google Scholar] [CrossRef]
- Qu, Y.; Liang, S.; Liu, Q.; Li, X.; Feng, Y.; Liu, S. Estimating Arctic sea-ice shortwave albedo from MODIS data. Remote. Sens. Environ. 2016, 186, 32–46. [Google Scholar] [CrossRef]
- Cao, C.; Xiong, X.; Wolfe, R.; De Luccia, F.; Liu, Q.; Blonski, S.; Lin, G.; Nishihama, M.; Pogorzala, D.; Oudrari, H. Visible Infrared Imaging Radiometer Suite (VIIRS) Sensor Data Record (SDR) User’s Guide; NOAA Technical Report; NESDIS: College Park, MD, USA, 2013. [Google Scholar]
- Hillger, D.; Kopp, T.; Lee, T.; Lindsey, D.; Seaman, C.; Miller, S.; Solbrig, J.; Kidder, S.; Bachmeier, S.; Jasmin, T. First-light imagery from Suomi NPP VIIRS. Bull. Am. Meteor. Soc. 2013, 94, 1019–1029. [Google Scholar] [CrossRef]
- Stamnes, K.; Hamre, B.; Stamnes, J.J.; Ryzhikov, G.; Biryulina, M.; Mahoney, R.; Hauss, B.; Sei, A. Modeling of radiation transport in coupled atmosphere-snow-ice-ocean systems. J. Quant. Spectrosc. Radiat. Transf. 2011, 112, 714–726. [Google Scholar] [CrossRef]
- Feng, Y.; Liu, Q.; Qu, Y.; Liang, S. Estimation of the ocean water albedo from remote sensing and meteorological reanalysis data. IEEE Trans. Geosci. Remote Sens. 2016, 54, 850–868. [Google Scholar] [CrossRef]
- Zege, E.; Malinka, A.; Katsev, I.; Prikhach, A.; Heygster, G.; Istomina, L.; Birnbaum, G.; Schwarz, P. Algorithm to retrieve the melt pond fraction and the spectral albedo of Arctic summer ice from satellite optical data. Remote Sens. Environ. 2015, 163, 153–164. [Google Scholar] [CrossRef]
- Morassutti, M.P.; LeDrew, E.F. Albedo and depth of melt ponds on sea-ice. Int. J. Climatol. J. Roy. Meteor. Soc. 1996, 16, 817–838. [Google Scholar] [CrossRef]
- Vermote, E.F.; Tanré, D.; Deuze, J.L.; Herman, M.; Morcette, J. Second simulation of the satellite signal in the solar spectrum, 6S: An overview. IEEE Trans. Geosci. Remote Sens. 1997, 35, 675–686. [Google Scholar] [CrossRef]
- Gardner, A.S.; Sharp, M.J. A review of snow and ice albedo and the development of a new physically based broadband albedo parameterization. J. Geophys. Res: Earth Surf. 2010, 115. [Google Scholar] [CrossRef]
- Key, J.R.; Mahoney, R.; Liu, Y.; Romanov, P.; Tschudi, M.; Appel, I.; Maslanik, J.; Baldwin, D.; Wang, X.; Meade, P. Snow and ice products from Suomi NPP VIIRS. J. Geophys. Res. Atmos. 2013, 118, 12–816. [Google Scholar] [CrossRef]
- Liu, N.F.; Liu, Q.; Wang, L.Z.; Liang, S.L.; Wen, J.G.; Qu, Y.; Liu, S.H. A statistics-based temporal filter algorithm to map spatiotemporally continuous shortwave albedo from MODIS data. Hydrol. Earth Syst. Sci. 2013, 17, 2121–2129. [Google Scholar] [CrossRef]
- Moustafa, S.E.; Rennermalm, A.K.; Román, M.O.; Wang, Z.; Schaaf, C.B.; Smith, L.C.; Koenig, L.S.; Erb, A. Evaluation of satellite remote sensing albedo retrievals over the ablation area of the southwestern Greenland ice sheet. Remote Sens. Environ. 2017, 198, 115–125. [Google Scholar] [CrossRef]
- Ahlstrøm, A.P.; Gravesen, P.; Andersen, S.B.; Van As, D.; Citterio, M.; Fausto, R.S.; Nielsen, S.; Jepsen, H.F.; Kristensen, S.S.; Christensen, E.L. PROMICE project team. 2008. A new programme for monitoring the mass loss of the Greenland ice sheet. Geol. Surv. Den. Greenl. Bull. 2007, 15, 61–64. [Google Scholar]
- Bøggild, C.E.; Brandt, R.E.; Brown, K.J.; Warren, S.G. The ablation zone in northeast Greenland: ice types, albedos and impurities. J. Glaciol. 2010, 56, 101–113. [Google Scholar] [CrossRef]
- Ryan, J.C.; Hubbard, A.; Irvine Fynn, T.D.; Doyle, S.H.; Cook, J.M.; Stibal, M.; Box, J.E. How robust are in situ observations for validating satellite-derived albedo over the dark zone of the Greenland Ice Sheet? Geophys. Res. Lett. 2017, 44, 6218–6225. [Google Scholar] [CrossRef]
- Steffen, K.; Box, J.E.; Abdalati, W. Greenland climate network: GC-Net. US Army Cold Reg. Reattach Eng. (CRREL), CRREL Spec. Rep. 1996, 98–103. [Google Scholar]
- Istomina, L.; Nicolaus, M.; Perovich, D.K. Surface spectral albedo complementary to ROV transmittance measurements at 6 ice stations during POLARSTERN cruise ARK-XXVII/3 (IceArc) in 2012, PANGAEA. 2016. [Google Scholar] [CrossRef]
- Dou, T.; Xiao, C.; Du, Z.; Schauer, J.J.; Ren, H.; Ge, B.; Xie, A.; Tan, J.; Fu, P.; Zhang, Y. Sources, evolution and impacts of EC and OC in snow on sea ice: a measurement study in Barrow, Alaska. Sci. Bull. 2017, 62, 1547–1554. [Google Scholar] [CrossRef]
- Hudson, S.R.; Granskog, M.A.; Karlsen, T.I.; Fossan, K. Horizontal profiles of longwave and shortwave radiation components over sea ice near Barrow, Alaska during the 2011 melt, PANGAEA. 2012. [Google Scholar] [CrossRef]
- Wientjes, I.; Van de Wal, R.; Reichart, G.; Sluijs, A.; Oerlemans, J. Dust from the dark region in the western ablation zone of the Greenland ice sheet. Cryosphere 2011, 5, 589–601. [Google Scholar] [CrossRef]
- Tedesco, M.; Fettweis, X.; Van den Broeke, M.R.; Van de Wal, R.; Smeets, C.; van de Berg, W.J.; Serreze, M.C.; Box, J.E. The role of albedo and accumulation in the 2010 melting record in Greenland. Environ Res. Lett. 2011, 6, 14005. [Google Scholar] [CrossRef]
- Mernild, S.H.; Malmros, J.K.; Yde, J.C.; Knudsen, N.T. Multi-decadal marine-and land-terminating glacier recession in the Ammassalik region, southeast Greenland. Cryosphere 2012, 6, 625–639. [Google Scholar] [CrossRef]
- Ryan, J.C.; Hubbard, A.; Stibal, M.; Irvine-Fynn, T.D.; Cook, J.; Smith, L.C.; Cameron, K.; Box, J. Dark zone of the Greenland Ice Sheet controlled by distributed biologically-active impurities. Nat. Commun. 2018, 9, 1065. [Google Scholar] [CrossRef] [PubMed]
- Grenfell, T.C.; Perovich, D.K. Seasonal and spatial evolution of albedo in a snow-ice-land-ocean environment. J. Geophys. Res. Atmos Oceans 2004, 109. [Google Scholar] [CrossRef]
- Dumont, M.; Arnaud, L.; Picard, G.; Libois, Q.; Lejeune, Y.; Nabat, P.; Voisin, D.; Morin, S. In situ continuous visible and near-infrared spectroscopy of an alpine snowpack. Cryosphere 2017, 11, 1091–1110. [Google Scholar] [CrossRef]
- Wang, W.; Cao, C.; Bai, Y.; Blonski, S.; Schull, M.A. Assessment of the NOAA S-NPP VIIRS Geolocation Reprocessing Improvements. Remote Sens. 2017, 9, 974. [Google Scholar] [CrossRef]
- Wang, X.; Zender, C.S. MODIS snow albedo bias at high solar zenith angles relative to theory and to in situ observations in Greenland. Remote Sens. Environ. 2010, 114, 563–575. [Google Scholar] [CrossRef]
- Natural Earth. Available online: https://www.naturalearthdata.com/downloads/50m-cross-blend-hypso/50m-cross-blended-hypso-with-shaded-relief/ URL (accessed on 16 November 2018).
- Singh, M.K.; Gautam, R.; Gatebe, C.K.; Poudyal, R. PolarBRDF: A general purpose Python package for visualization and quantitative analysis of multi-angular remote sensing measurements. Comput. Geosci. 2016, 96, 173–180. [Google Scholar] [CrossRef]
- Gardner, A.S.; Sharp, M.J. A review of snow and ice albedo and the development of a new physically based 770 broadband albedo parameterization. J. Geophys. Res: Earth Surf. 2010, 115, F1. [Google Scholar] [CrossRef]
- Perovich, D.K.; Grenfell, T.C.; Light, B.; Hobbs, P.V. Seasonal evolution of the albedo of multiyear 772 Arctic sea ice. J. Geophys. Res. Atmos Oceans 2002, 107, SHE-20. [Google Scholar]
- De Abreu, R.A.; Barber, D.G.; Misurak, K.; LeDrew, E.F. Spectral albedo of snow-covered first-year and multi-year sea ice during spring melt. Ann. Glaciol. 1995, 21, 337–342. [Google Scholar] [CrossRef]
- Wang, W.; Zender, C.S.; Van As, D.; Smeets, P.; van den Broeke, M.R. A Retrospective, Iterative, Geometry-776 Based (RIGB) tilt correction method for radiation observed by Automatic Weather Stations on snow-777 covered surfaces: application to Greenland. Cryosphere Discuss. 2015, 9. [Google Scholar] [CrossRef]
- Kipp, Z. CM3 Pyranometer instruction manual. Campbell Scientific Inc., 2002. Available online: https://s.campbellsci.com/documents/au/manuals/cm3.pdf. URL (accessed on 16 November 2018).
- Zege, E.P.; Katsev, I.L.; Malinka, A.V.; Prikhach, A.S.; Heygster, G.; Wiebe, H. Algorithm for retrieval of the effective snow grain size and pollution amount from satellite measurements. Remote Sens. Environ. 2011, 115, 2674–2685. [Google Scholar] [CrossRef]
- Zege, E.; Katsev, I.; Malinka, A.; Prikhach, A.; Polonsky, I. New algorithm to retrieve the effective snow grain size and pollution amount from satellite data. Ann. Glaciol. 2008, 49, 139–144. [Google Scholar] [CrossRef][Green Version]
- Peng, J.; Liu, Q.; Wen, J.; Liu, Q.; Tang, Y.; Wang, L.; Dou, B.; You, D.; Sun, C.; Zhao, X. Multi-scale validation strategy for satellite albedo products and its uncertainty analysis. Sci. China Earth Sci. 2014, 58, 573–588. [Google Scholar] [CrossRef]
- Malinka, A.; Zege, E.; Istomina, L.; Heygster, G.; Spreen, G.; Perovich, D.; Polashenski, C. Reflective properties of melt ponds on sea ice. Cryosphere 2018, 12, 1921–1937. [Google Scholar] [CrossRef]
- Perovich, D.K.; Roesler, C.S.; Pegau, W.S. Variability in Arctic sea ice optical properties. J. Geophys. Res. Atmos Oceans 1998, 103, 1193–1208. [Google Scholar] [CrossRef]



















| Site Name | Lat (N, deg) | Lon (W, deg) | Elevation (m) | Site Name | Lat (N, deg) | Lon (W, deg) | Elevation (m) |
|---|---|---|---|---|---|---|---|
| KPC_U | 79.8347 | 25.1662 | 870 | NUK_U | 64.5108 | 49.2692 | 1120 |
| SCO_L | 72.223 | 26.8182 | 460 | NUK_N | 64.9452 | 49.885 | 920 |
| SCO_U | 72.3933 | 27.2333 | 970 | KAN_L | 67.0955 | 49.9513 | 670 |
| TAS_L | 65.6402 | 38.8987 | 250 | KAN_M | 67.067 | 48.8355 | 1270 |
| TAS_U | 65.6978 | 38.8668 | 570 | KAN_U | 67.0003 | 47.0253 | 1840 |
| QAS_L | 61.0308 | 46.8493 | 280 | UPE_L | 72.8932 | 54.2955 | 220 |
| QAS_U | 61.1753 | 46.8195 | 900 | UPE_U | 72.8878 | 53.5783 | 940 |
| QAS_A | 61.243 | 46.7328 | 1000 | THU_L | 76.3998 | 68.2665 | 570 |
| NUK_L | 64.4822 | 49.5358 | 530 | THU_U | 76.4197 | 68.1463 | 760 |
| Site Name | Lat (N, deg) | Lon (W, deg) | Elevation (m) | Site Name | Lat (N, deg) | Lon (W, deg) | Elevation (m) |
|---|---|---|---|---|---|---|---|
| CrawfordPt1 | 69.8783 | −46.9967 | 1958 | Saddle | 65.9997 | −44.5017 | 2460 |
| GITS | 77.1378 | −61.04 | 1925 | SouthDome | 63.1489 | −44.8172 | 2850 |
| Humboldt | 78.5267 | −56.8306 | 1995 | NASA-E | 75.0006 | −29.9972 | 2631 |
| Summit | 72.5794 | −38.5053 | 3150 | NASA-SE | 66.475 | −42.4986 | 2400 |
| Tunu-N | 78.0164 | −33.9833 | 2113 | PetermanELA | 80.0831 | −58.0728 | 965 |
| DYE-2 | 66.4806 | −46.2831 | 2053 | NEEM | 77.5022 | −50.8744 | 2454 |
| JAR1 | 69.495 | −49.7039 | 962 |
© 2018 by the authors. Licensee MDPI, Basel, Switzerland. This article is an open access article distributed under the terms and conditions of the Creative Commons Attribution (CC BY) license (http://creativecommons.org/licenses/by/4.0/).
Share and Cite
Peng, J.; Yu, Y.; Yu, P.; Liang, S. The VIIRS Sea-Ice Albedo Product Generation and Preliminary Validation. Remote Sens. 2018, 10, 1826. https://doi.org/10.3390/rs10111826
Peng J, Yu Y, Yu P, Liang S. The VIIRS Sea-Ice Albedo Product Generation and Preliminary Validation. Remote Sensing. 2018; 10(11):1826. https://doi.org/10.3390/rs10111826
Chicago/Turabian StylePeng, Jingjing, Yunyue Yu, Peng Yu, and Shunlin Liang. 2018. "The VIIRS Sea-Ice Albedo Product Generation and Preliminary Validation" Remote Sensing 10, no. 11: 1826. https://doi.org/10.3390/rs10111826
APA StylePeng, J., Yu, Y., Yu, P., & Liang, S. (2018). The VIIRS Sea-Ice Albedo Product Generation and Preliminary Validation. Remote Sensing, 10(11), 1826. https://doi.org/10.3390/rs10111826

