Assessment of China’s Mitigation Targets in an Effort-Sharing Framework
Abstract
:1. Introduction
2. Methods
2.1. Effort-Sharing Framework
2.2. Scenario and Data
2.3. Parameterization
3. Results
3.1. Emissions Allowances in 2030
3.2. Peak Years of Emissions Allowances
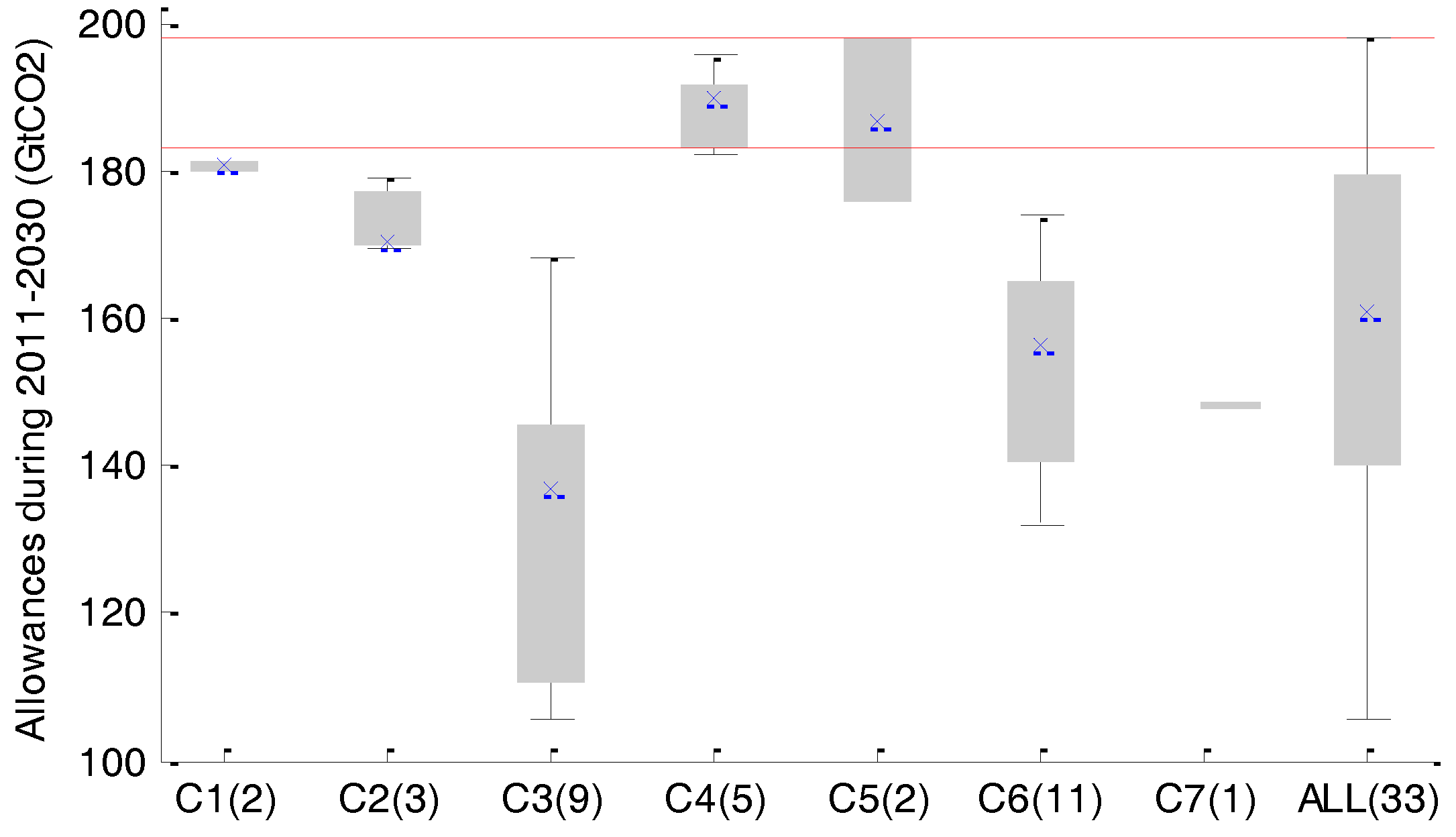
3.3. Cumulative Emissions Allowances
4. Uncertainty Analysis
4.1. GDP Growths
4.2. Baseline Scenarios
4.3. Global Emissions Pathways
4.4. Compared with Existed Studies
5. Implications on Mitigation Targets beyond 2030
6. Conclusions
Acknowledgments
Author Contributions
Conflicts of Interest
References
- Intergovernmental Panel on Climate Change (IPCC). Climate Change 2013: The Physical Science Basis. Contribution of Working Group I to the Fifth Assessment Report of the Intergovernmental Panel on Climate Change; Cambridge University Press: Cambridge, UK; New York, NY, USA, 2013. [Google Scholar]
- Allen, M.R.; Frame, D.J.; Huntingford, C.; Jones, C.D.; Low, J.A.; Meinshausen, M.; Meinshausen, N. Warming caused by cumulative carbon emissions towards the trillionth tonne. Nature 2009, 458, 1163–1166. [Google Scholar] [CrossRef] [PubMed]
- Matthews, H.D.; Gillett, N.P.; Stott, P.A.; Zickfeld, K. The proportionality of global warming to cumulative carbon emissions. Nature 2009, 459, 829–832. [Google Scholar] [CrossRef] [PubMed]
- Klinsky, S.; Winkler, H. Equity, sustainable development and climate policy. Clim. Policy 2014, 14, 1–7. [Google Scholar] [CrossRef]
- Baer, P.; Kartha, S.; Athanasiou, T.; Kempbenedict, E. The greenhouse development rights framework: Drawing attention to inequality within nations in the global climate policy debate. Dev. Chang. 2009, 40, 1121–1138. [Google Scholar] [CrossRef]
- Global Commons Institute (GCI). GCI Briefing: Contraction & Convergence; Global Commons Institute: London, UK, 2005. [Google Scholar]
- Pan, X.; Teng, F.; Wang, G. Sharing emission space at an equitable basis: Allocation scheme based on the equal cumulative emission per capita principle. Appl. Energy 2014, 113, 1810–1818. [Google Scholar] [CrossRef]
- United Nations Framework Convention on Climate Change (UNFCCC). Adoption of the Paris Agreement (1/CP.21); United Nations Framework Convention on Climate Change: Bonn, Germany, 2015. [Google Scholar]
- United Nations Framework Convention on Climate Change (UNFCCC). Lima Call for Climate Action; United Nations Framework Convention on Climate Change: Bonn, Germany, 2014. [Google Scholar]
- Höhne, N.; den Elzen, M.; Escalante, D. Regional GHG reduction targets based on effort sharing: A comparison of studies. Clim. Policy 2013, 14, 122–147. [Google Scholar] [CrossRef]
- Clarke, L.; Jiang, K.; Akimoto, K.; Babiker, M.; Blanford, G.; Fisher-Vanden, K.; Hourcade, J.C.; Krey, V.; Kriegler, E.; Löschel, A.; et al. Assessing transformation pathways. In Climate Change 2014: Mitigation of Climate Change. Contribution of Working Group III to the Fifth Assessment Report of the Intergovernmental Panel on Climate Change; Edenhofer, O., Pichs-Madruga, R., Sokona, Y., Farahani, E., Kadner, S., Seyboth, K., Adler, A., Baum, I., Brunner, S., Eickemeier, P., et al., Eds.; Cambridge University Press: Cambridge, UK; New York, NY, USA, 2014. [Google Scholar]
- Höhne, N.; Fekete, H.; den Elzen, M.; Hof, A.F.; Kuramochi, T. Assessing the ambition of post-2020 climate targets: A comprehensive framework. Clim. Policy 2017. [Google Scholar] [CrossRef]
- Robiou Du Pont, Y. The Paris Agreement Global Goals: What DOES a Fair Share for G20 Countries Look Like? Australian-German Climate and Energy College: Melbourne, Australia, 2017. [Google Scholar]
- BASIC Experts. Equitable Access to Sustainable Development: Contribution to the Body of Scientific Knowledge; BASIC Experts: Beijing, China; Brasilia, Brazil; Cape Town, South Africa; New Delhi, India, 2011. [Google Scholar]
- Pan, X.; Chen, W.; Clarke, L.; Wang, L.; Liu, G. China’s energy system transformation towards the goal: Implications of different effort-sharing principles. Energy Policy 2017, 103, 116–126. [Google Scholar]
- Van Ruijven, B.; Weitzel, M.; den Elzen, M.; Hof, A.F.; van Vuuren, D.P.; Peterson, S.; Narita, D. Emission allowances and mitigation costs of China and India resulting from different effort-sharing approaches. Energy Policy 2012, 46, 116–134. [Google Scholar] [CrossRef]
- Chakravarty, S.; Chikkatur, A.; de Coninck, H.; Pacala, S.; Socolow, R.; Tavoni, M. Sharing global CO2 emission reductions among one billion high emitters. Proc. Nat. Acad. Sci. USA 2009, 106, 11884–11888. [Google Scholar] [CrossRef] [PubMed]
- Höhne, N.; den Elzen, M.; Weiss, M. Common but differentiated convergence (CDC): A new conceptual approach to the long-term climate policy. Clim. Policy 2006, 6, 181–199. [Google Scholar] [CrossRef]
- Raupach, M.R.; Davis, S.J.; Peters, G.P.; Andrew, R.M.; Canadell, J.G.; Ciais, P.; Friedlingstein, P.; Jotzo, F.; van Vuuren, D.P.; Le Quéré, C. Sharing a quota on cumulative carbon emissions. Nat. Clim. Chang. 2014, 4, 873–879. [Google Scholar] [CrossRef]
- Ringius, L.; Torvanger, A.; Holtsmark, B. Can multi-criteria rules fairly distribute climate burdens? OECD results from three burden sharing rules. Energy Policy 1998, 26, 777–793. [Google Scholar] [CrossRef]
- Shukla, P.R. Aligning justice and efficiency in global climate change regime: A developing country perspective. Adv. Econ. Environ. Resour. 2005, 5, 121–144. [Google Scholar]
- Rose, A.; Stevens, B.; Edmonds, J. International equity and differentiation in global warming policy. Environ Resour. Econ. 1998, 12, 25–51. [Google Scholar] [CrossRef]
- Den Elzen, M.; Lucas, P. FAIR 2.0—A Decision-Support Tool to Assess the Environmental and ECONOMIC Consequences of Future Climate Regimes; National Institute of Public Health and the Environment: Bilthoven, The Netherlands, 2003. [Google Scholar]
- Höhne, N.; Harnisch, J.; Phylipsen, D.; Blok, K.; Galleguillos, C. Evolution of Commitments under the UNFCCC Involving Newly Industrialized Economies and Developing Countries; Ecofys: Cologne, Germany, 2002. [Google Scholar]
- Pan, X.; Teng, F.; Ha, Y.; Wang, G. Equitable access to sustainable development: Based on the comparative study of carbon emission rights allocation schemes. Appl. Energy 2014, 130, 632–640. [Google Scholar] [CrossRef]
- Gupta, S.; Tirpak, D.A.; Burger, N.; Gupta, J.; Höhne, N.; Boncheva, A.I.; Kanoan, G.M.; Kolstad, C.; Kruger, J.A.; Michaelowa, A.; et al. Policies, Instruments and Co-operative Arrangements. In Climate Change 2007: Mitigation of Climate Change. Contribution of WG III to the Fourth Assessment Report of the Intergovernmental Panel on Climate Change; Metz, B., Davidon, O.R., Bosch, P.R., Dave, P., Meyer, L.A., Eds.; Cambridge University Press: Cambridge, UK; New York, NY, USA, 2007. [Google Scholar]
- Beckerman, W.; Pasek, J. The equitable international allocation of tradable carbon emission permits. Glob. Environ. Chang. 1995, 5, 405–413. [Google Scholar] [CrossRef]
- Ringius, L.; Torvanger, A.; Underdal, A. Burden sharing and fairness principles in international climate policy. Int. Environ. Agreem. Politics Law Econ. 2002, 2, 1–22. [Google Scholar] [CrossRef]
- Böhringer, C.; Welsch, C. Burden sharing in a greenhouse: Egalitarianism and sovereignty reconciled. Appl. Econ. 2006, 39, 981–996. [Google Scholar] [CrossRef]
- Den Elzen, M.; Höhne, N. Reductions of greenhouse gas emissions in Annex and non-Annex I countries for meeting concentration stabilization targets. Clim. Chang. 2008, 91, 249–274. [Google Scholar] [CrossRef]
- Meinshausen, M.; Jeffery, M.L.; Guetschow, J.; Robiou du Pont, Y.; Rogelj, J.; Schaeffer, M.; Höhne, N.; den Elzen, M.; Oberthür, S.; Meinshausen, N. National post-2020 greenhouse gas targets and diversity-aware leadership. Nat. Clim. Chang. 2015, 5, 1098–1106. [Google Scholar] [CrossRef]
- Pan, X.; Teng, F.; Wang, G. A comparison of carbon allocation schemes: On the equity-efficiency tradeoff. Energy 2014, 74, 222–229. [Google Scholar] [CrossRef]
- Rive, N.; Torvanger, A.; Fuglestvedt, J.S. Climate agreements based on responsibility for global warming: Periodic updating, policy choices, and regional costs. Glob. Environ. Chang. 2006, 16, 182–194. [Google Scholar] [CrossRef]
- Filar, J.; Gaertner, P. A regional allocation of world CO2 world reductions. Math. Comput. Simulat. 1997, 43, 269–275. [Google Scholar] [CrossRef]
- Jacoby, H.; Schlamensee, R.; Wing, I.S. Toward a Useful Architecture for Climate Change Negotiations; Joint Program on the Science and Policy of Global Change Report No.49; MIT: Cambridge, MA, USA, 1999. [Google Scholar]
- Park, J.; Kim, C.; Isard, W. Permit allocation in emissions trading using the Boltzmann distribution. Physica A 2012, 391, 4883–4890. [Google Scholar] [CrossRef]
- Centre for Science and Environment (CSE). Definitions of Equal Entitlements, CSE-Dossier, Fact Sheet5; Centre for Science and Environment: Delhi, India, 1998. [Google Scholar]
- Robiou Du Pont, Y.; Jeffery, M.L.; Gütschow, J.; Christoff, P.; Meinshausen, M. National contributions for decarbonizing the world economy in line with the G7 agreement. Environ. Res. Lett. 2016, 11, 054005. [Google Scholar] [CrossRef]
- Zhang, Y.; Wang, D.; Da, Y. Regional allocation of carbon emission quotas in China: Evidence from the Shapley value method. Energy Policy 2014, 74, 454–464. [Google Scholar] [CrossRef]
- Winkler, H.; Letete, T.; Marquard, A. Equitable access to sustainable operationalizing key criteria. Clim. Policy 2013, 13, 411–432. [Google Scholar] [CrossRef]
- Lecocq, F.; Crassous, R. International Climate Regime beyond 2012: Are Quota Allocation Rules Robust to Uncertainty; World Bank: Washington, DC, USA, 2003. [Google Scholar]
- Den Elzen, M.; Berk, M.; Lucas, P.; Criqui, P.; Kitous, A. Multi-stage: A rule-based evolution of future commitments under the climate change convention. Int. Environ. Agreem. Politics. Law Econ. 2006, 6, 1–28. [Google Scholar] [CrossRef]
- Den Elzen, M.; Höhne, N.; Brouns, B. Differentiation of countries’ future commitments in a post-2012 climate regime: An assessment of the “South-North Dialogue” proposal. Environ. Sci. Policy 2007, 10, 185–203. [Google Scholar] [CrossRef]
- Pan, X.; den Elzen, M.; Höhne, N.; Teng, F.; Wang, L. Exploring fair and ambitious mitigation contributions under the Paris Agreement goals. Environ. Sci. Policy 2017, 74, 49–56. [Google Scholar] [CrossRef]
- Van Vurren, D.P.; Stehfest, E.; den Elzen, M.; Kram, T.; van Vliet, J.; Deetman, S.; Isaac, M.; Goldewijk, K.K.; Hof, A.; Beltran, A.M.; et al. RCP2.6: Exploring the possibility to keep global mean temperature increase below 2 °C. Clim. Chang. 2011, 109, 95–116. [Google Scholar] [CrossRef]
- Den Elzen, M.; Lucas, P.; van Vuuren, D.P. Regional abatement action and costs under allocation schemes for emission allowances for achieving low CO2-equivalent concentrations. Clim. Chang. 2008, 90, 243–268. [Google Scholar] [CrossRef]
- Calvin, K.; Clarke, L.; Kyle, P.; Wise, M.; Hartin, C.; Patel, P. Introduction to the Global Change Assessment Model (GCAM); Joint Global Change Research Institute: College Park, MA, USA, 2015. [Google Scholar]
- Ha, Y.; Teng, F. Midway toward the 2 degree target: Adequacy and fairness. Appl. Energy 2013, 112, 856–865. [Google Scholar] [CrossRef]
- Van Vuuren, D.P.; Lucas, P.; Hilderink, H. Downscaling drivers of global environmental change: Enabling use of global SRES scenarios at the national and grid levels. Glob. Environ. Chang. 2007, 17, 114–130. [Google Scholar] [CrossRef]
- Zhu, S. Comparison and analysis of CO2 emissions data for China. Adv. Clim. Chang. Res. 2014, 5, 17–27. [Google Scholar] [CrossRef]
- Pan, X.; Teng, F.; Tian, Y.; Wang, G. Countries’ emission allowances towards the low-carbon world: A consistent study. Appl. Energy 2015, 155, 218–228. [Google Scholar] [CrossRef]
- Den Elzen, M.; Lucas, P. The FAIR model: A tool to analyse environmental and costs implications of climate regimes. Environ. Model. Assess. 2005, 10, 115–134. [Google Scholar] [CrossRef]
- Peters, G.P.; Andrew, R.M.; Solomon, S.; Friedlingstein, P. Measuring a fair and ambitious climate agreement using cumulative emissions. Environ. Res. Lett. 2015, 10, 105004. [Google Scholar] [CrossRef]
- He, J. Analysis of CO2 emissions peak: China’s objective and strategy. China Popul. Resour. Environ. 2014, 12, 189–198. [Google Scholar] [CrossRef]
- The International Energy Agency (IEA). World Energy Outlook 2014; The International Energy Agency: Paris, France, 2014. [Google Scholar]
- United Nations Development Programme (UNDP). China Human Development Report 2009/10: China and a Sustainable Future: Towards a Low Carbon Economy and Society; China Translation and Publishing Corporation: Beijing, China, 2009. [Google Scholar]
- Zhou, N.; Fridley, D.; McNeil, M.; Khanna, N.; Ke, J.; Levine, M.D. China’s Energy and Carbon Emissions Outlook to 2050; Lawrence Berkeley National Laboratory: Berkeley, CA, USA, 2012.
- NCE. China and New Climate Economics; The New Climate Economics Program in Tsinghua University: Beijing, China, 2014. (In Chinese) [Google Scholar]
- Intergovernmental Panel on Climate Change (IPCC). Emissions Scenarios: A Special Report of IPCC Working Group III; Cambridge University Press: Cambridge, UK; New York, NY, USA, 2000. [Google Scholar]
- Kriegler, E.; Riahi, K.; Bauer, N.; Schwanitz, V.J.; Petermann, N.; Bosetti, V.; Marcucci, A.; Otto, S.; Paroussos, L.; Rao, S.; et al. Making or breaking climate targets: The AMPERE study on staged accession scenarios for climate policy. Technol. Forecast. Soc. Chang. 2014, 90, 24–44. [Google Scholar] [CrossRef]
- Luderer, G.; Bosetti, V.; Jakob, M.; Leimbach, M.; Steckel, J.C.; Waisman, H.; Edenhofer, O. The economics of decarbonizing the energy system-results and insights form the RECIPE model intercomparison. Clim. Chang. 2012, 114, 9–37. [Google Scholar] [CrossRef]
- United Nations Environment Programme (UNEP). The Emissions Gap Report 2016; United Nations Environment Programme: Nairobi, Kenya, 2016. [Google Scholar]
- Robiou Du Pont, Y.; Jeffery, M.L.; Gütschow, J.; Rogelj, J.; Christoff, P.; Meinshausen, M. Equitable mitigation to achieve the Paris Agreement goals. Nat. Clim. Chang. 2017, 7, 38–43. [Google Scholar] [CrossRef]
- Climate Action Tracker (CAT). China Page: Current Policy Projections; Climate Analytics: Berlin, Germany; Ecofys: Cologne, Germany; NewClimate Institute: Cologne, Germany; PIK: Potsdam, Germany, 2017. [Google Scholar]
- Kuramochi, T.; Asuka, J.; Fekete, H.; Tamura, K.; Höhne, N. Comparative assessment of Japan’s long-term carbon budget under different effort-sharing principles. Clim. Policy 2016, 16, 1029–1047. [Google Scholar] [CrossRef]
- Rogelj, J.; den Elzen, M.; Höhne, N.; Fransen, T.; Fekete, H.; Winkler, H.; Schaeffer, R.; Fu, S.; Riahi, K.; Meinshausen, M. Paris Agreement climate proposals need a boost to keep warming well below 2 °C. Nature 2016, 534, 631–639. [Google Scholar] [CrossRef] [PubMed]






| Category | Description | Effort-Sharing Schemes and Main Sources of Their Implementations in the Literature |
|---|---|---|
| Responsibility C1 | Reductions are shared among the participating parties in line with their historical responsibilities to global warming | Historical responsibility a [33], the Shapley value method [34] |
| Capability C2 | Emissions allowances are assigned in terms of the ability to pay | Ability to pay approach [35], equitable international allocation [27], emission intensity target approach [23] |
| Equality C3 | Allocations are provided in the view of immediate or converging per capita emissions | Boltzmann distribution [36], sharing emission among one billion high emitters [17], per capita emission convergence b [6], CSE convergence b [37], equal per capita emission c [38], the Indian Prime Minister proposal [23] |
| Responsibility–capability–need C4 | Burdens are shared by synthetically considering the metrics for responsibility, capacity, and need | The entropy-based method [39], the greenhouse development rights framework d [5], the South African approach e [40] |
| Equal cumulative per capita emissions C5 | Allocations provide an equal per capita cumulative emission to all parties | Equal per capita cumulative emissions c [7] |
| Staged approaches C6 | Different parties take differentiated commitments in various stages; the stage of a party could be determined by various indicators | Common but differentiate convergence f [18], the grandfathering rule [41], the multi-criteria convergence g [20], the multi-stage approach h [42], the preference score approach [23], the South–North dialogue approach [43], the Triptych approach [23] |
| Cost-effectiveness C7 | Allocations minimize abatement costs of the world | Equal marginal abatement cost i [32] |
| Parameter | Values |
|---|---|
| Starting year to cumulate emissions | 1850 [7,14] |
| Convergence year of per capita emissions | 2050 [6,52] |
| Discount rate of historical emissions | 0 [14,40] |
| Weights of responsibility and capability | (0.6, 0.4) [14,40] |
| Elasticity of per capita emissions with per capita GDP | 1 [5,17] |
| Per capita GDP threshold for participations | 30% of the average per capita GDP (in MER) of Annex-I countries in 1990 [25,32] |
| Study | Average Growth before 2020 (%) | Average Growth in 2020–2030 (%) | Emissions in 2030 (GtCO2) a | Emissions in 2011–2030 (GtCO2) b | |
|---|---|---|---|---|---|
| This study | 6.5 | 5.2 | 9.8–11.2 | 183–198 | |
| NCE [58] | high | 7.9 | 6.0 | 12.1–13.9 | 207–225 |
| median | 7.3 | 4.8 | 10.2–11.7 | 192–208 | |
| low | 6.1 | 3.3 | 7.9–9.1 | 170–183 | |
| IEA [55] | 6.9 | 5.3 | 10.3–11.8 | 189–205 | |
| UNDP [56] | 6.6 | 5.5 | 10.3–11.7 | 186–202 | |
| LBNL [57] | 7.8 | 5.9 | 11.8–13.5 | 205–222 |
| Changes in 2030 (%) a | 2030 (GtCO2) | 2011–2030 (GtCO2) |
|---|---|---|
| −40 to −30 | 10.0 to 10.2 | 189 to 196 |
| −30 to −20 | 10.2 to 10.5 | 190 to 208 |
| −20 to −10 | 10.5 to 10.7 | 193 to 207 |
| −10 to 0 | 10.8 to 10.9 | 198 to 212 |
| 0 to 10 | 11.0 to 11.2 | 204 to 222 |
| 10 to 20 | 11.2 to 11.5 | 210 to 222 |
| Steady-State Level | Category | Years Reaching Zero Emissions | CO2 Emissions Levels in 2050 (%, as Percentage of the 2010 Level) |
|---|---|---|---|
| Zero | C1 | 2055 | 26 |
| C4 | 2064–2076 | 53–74 | |
| C5 | 2052–2058 | 12–39 | |
| C1 | 2050 | 0 | |
| C4 | 2057–2068 | 37–70 | |
| C5 | 2047–2052 | 0–12 | |
| Negative | C1 | 2061 | 47 |
| C4 | 2068–2079 | 62–79 | |
| C5 | 2059–2064 | 39–54 | |
| C1 | 2055 | 30 | |
| C4 | 2062–2071 | 56–78 | |
| C5 | 2053–2058 | 18–41 |
© 2017 by the authors. Licensee MDPI, Basel, Switzerland. This article is an open access article distributed under the terms and conditions of the Creative Commons Attribution (CC BY) license (http://creativecommons.org/licenses/by/4.0/).
Share and Cite
Pan, X.; Teng, F. Assessment of China’s Mitigation Targets in an Effort-Sharing Framework. Sustainability 2017, 9, 1104. https://doi.org/10.3390/su9071104
Pan X, Teng F. Assessment of China’s Mitigation Targets in an Effort-Sharing Framework. Sustainability. 2017; 9(7):1104. https://doi.org/10.3390/su9071104
Chicago/Turabian StylePan, Xunzhang, and Fei Teng. 2017. "Assessment of China’s Mitigation Targets in an Effort-Sharing Framework" Sustainability 9, no. 7: 1104. https://doi.org/10.3390/su9071104
APA StylePan, X., & Teng, F. (2017). Assessment of China’s Mitigation Targets in an Effort-Sharing Framework. Sustainability, 9(7), 1104. https://doi.org/10.3390/su9071104
