Next Article in Journal
Integrating Ecosystem Services and Eco-Security to Assess Sustainable Development in Liuqiu Island
Next Article in Special Issue
Sustainable Governance of Organic Food Production When Market Forecast Is Imprecise
Previous Article in Journal
The Normative Dimension in Transdisciplinarity, Transition Management, and Transformation Sciences: New Roles of Science and Universities in Sustainable Transitioning
Previous Article in Special Issue
Exploring the Dynamics of Responses to Food Production Shocks
 
 
Font Type:
Arial Georgia Verdana
Font Size:
Aa Aa Aa
Line Spacing:
Column Width:
Background:
Article

Sustainable Traceability in the Food Supply Chain: The Impact of Consumer Willingness to Pay

1
School of Economics and Management, Southeast University, Sipailou 2, Nanjing 210096, China
2
College of Economics and Management, Nanjing Agricultural University, Weigang 1, Nanjing 210095, China
*
Author to whom correspondence should be addressed.
Sustainability 2017, 9(6), 999; https://doi.org/10.3390/su9060999
Submission received: 19 March 2017 / Revised: 26 May 2017 / Accepted: 5 June 2017 / Published: 9 June 2017
(This article belongs to the Special Issue Sustainability in Food Supply Chain and Food Industry)

Abstract

:
This article addresses the sustainable traceability issue in the food supply chain from the sourcing perspective in which consumer willingness to pay for traceability is considered. There are two supplier types: traceable suppliers, which are costly but can carry a precise recall in food safety events, and non-traceable suppliers, which are less expensive but may suffer a higher cost in food safety events. A portion of consumers display traceability consciousness, and are willing to pay a premium for traceable food products. Four possible strategies in a transparent food supply chain and three sourcing strategies in a nontransparent food supply chain are identified and we determine when each strategy is optimal. We show that efforts to improve traceability that focus on consumers, by increasing their willingness to pay for traceability or expanding the portion of traceability consciousness consumers, may lead to an unintended consequence, such as a decrease in the provision of traceable food products. However, efforts that focus on revealing and penalizing the buyer always lead to a higher provision of traceable food products. We further find that efforts focusing on eliminating the information asymmetry may not be helpful for sustainable traceability in the food supply chain.

1. Introduction

In the food industry, many aspects of social sustainability, such as consumer health and safety, have gained considerable attention due to frequent food safety events [1]. The infant milk powder contaminated by melamine in China led to six deaths and 294,000 cases of illness in 2008 [2]. The salmonella outbreak in the Peanut Corporation of America in 2008 resulted in nine deaths and 637 cases of illness, and is one of the largest food product recall events in U.S. history [3]. Most tragically, the E. coli contamination of bean sprouts in Germany incurred 37 deaths and more than 3000 cases of illness, and the European Union provided 210 million euros in emergency aid for vegetable farmers affected by the crisis in 2011 [4]. The European horse meat scandal in 2013 resulted in numerous supermarkets withdrawing processed beef from their shelves [5].
Once tainted products are discovered, firms should remove them from circulation, and this process is formally known as product recall [6]. This recalled food usually tends to be scrapped. In other words, food safety events may incur food losses throughout the food supply chain. The Food Safety and Inspection Service (FSIS) of the United States Department of Agriculture (USDA) reported 122 food recalls in 2016, and 58,140,787 pounds of food was removed from the circulation [7].
To realize food product recall, the traceability system has gained considerable importance [8], which is recognized as creating the ability to retrieve the history [9] and enable more targeted recalls by identifying the product’s origin more specifically [10]. Unlike traditional food safety control approaches, such as Pathogen Reduction (PR) and Hazard Analysis and Critical Control Point (HACCP) systems, traceability does not directly impact production systems to improve food safety. Instead, it accumulates information about food product attributes and processes, facilitates contractual arrangements between firms, and locates the tainted product for recall when necessary. Moreover, traceability can also be regarded as a tool to build a reputation for supplying high quality products [11] or differentiate food products [12]. In the last decades, governments have begun to require mandatory traceability. The fundamental rules regarding food traceability in the U.S. have been introduced by the Bioterrorism Act [13], which came into effect after the event of 11 September 2001, and since December 2006, the Food and Drug Administration (FDA) in the U.S. has required food facilities (e.g., retailers, distributors, manufacturers, processors) to record the sources and recipients of food products [14]. EU No. 178/2002 [15], which came into effect in January 2005, requires food facilities to trace food, feed, and ingredients through all stages of production, from the farm to the table. Additionally, Japan, Canada, Australia, and China have enacted related regulations that actively promote raising the mandatory food traceability system to guarantee food safety.
Besides meeting legal requirements, there are a variety of reasons for firms to adopt traceability, such as identifying better sources of raw materials, complying with international trade standards, and certifying credence attributes, and so on [16]. Three distinct functions of the traceability system may benefit food facilities, which are referred to as the externality cost reduction function, liability function, and ex ante quality verification [17]. In this article, we focus on the first function, which reduces the private and public sector costs of food safety events by tracing food back to the source of the contamination problem and tracing other potentially tainted ones forward through the supply chain. Public costs are reduced by the ability to limit the population exposed to potentially unsafe food and to maintain the public confidence by rapidly recalling affected products. Private costs are reduced by precisely localizing and recalling the affected product [18]. Intuitively, while this function helps the firm to reduce the recall quantity of safe food products, traceability is beneficial to prevent food losses.
Although there are potential benefits of traceability, ensuring traceability is still a difficult task that extends the boundary of a single firm [14]. The food sector is continuously exposed to risks and dangers due to the incapacity to assure the correct link between the flow of products and the flow of information [19], even if it is one of the few industries which adopts the traceability system [20]. Food safety events caused by the supplier can be enormously costly to firms. For example, the customers (e.g., McDonald, KFC, and Pizza Hut) of Huxi Food were forced to respond to the Meat scandal in 2014 [21]. In addition, consumers may switch to competitors or even boycott a firm’s products under the negative pressure. Due to the potential costs, sustainable traceability has gained increasing attention, which aims to realize full traceability along the food supply chain. In this article, we address how firms choose suppliers with different traceability levels when they potentially cause food safety events.
Given the serious negative consequences of food safety events caused by a supplier’s failure, a crucial point is why firms choose a supplier with low-level traceability. The obvious answer is that these suppliers are cheaper than those with high-level traceability, who can recall tainted food precisely and quickly. Consequently, when a food safety event occurs, the buyer sourced from the supplier with low-level traceability should recall more food products and suffer more cost. Thus, there exists a trade-off: firms may choose a low-level traceability supplier that may need to recall more, or select an expensive one that has high-level traceability and may recall tainted food precisely and quickly.
In this article, we seek to understand the souring behavior in the food supply chain by considering traceability. From practice, we can observe two key features of the sustainable food traceability problem: (i) Food safety events may increase costs. Intuitively, increased costs may come from product recall, a penalty, and so on; (ii) Consumers may be willing to pay for traceability. A couple of studies have shown that consumers are improving their awareness of traceability [22,23], and subsequently, their willingness to pay (WTP) for traceable food products [24,25,26]. A segment of the population (e.g., with a higher family income, better education), which we refer to as traceability consciousness consumers, are willing to pay a premium for a traceable product. Therefore, the sourcing strategy of the buyer can be associated with its marketing strategy [27], as selecting a traceable supplier can reduce its costs, whilst allowing the firm to extract additional profit from the traceability consciousness segment. Within this context, this article intends to provide a thorough investigation of three key questions. First, considering food traceability, what sourcing strategies are feasible, and what are the optimal conditions for each strategy? Second, what roles do the two factors described above play in the buyer’s optimal sourcing decision and sustainable traceability? And third, how does information asymmetry impact a firm’s choice and the provision of traceable food products in the market?
The remainder of the paper is organized as follows. Section 2 reviews the related literature. The preliminaries are described in Section 3. Section 4 presents a detailed analysis of different sourcing strategies under traceability information transparency, and then we analyze the drivers of sourcing in Section 5. Section 6 investigates the sourcing decision under information asymmetry. Finally, we conclude with the findings and directions for future research in Section 7.

2. Related Research

There is growing literature on food traceability. Smith et al. [28] and Schwägele [29] provide excellent reviews from US and European perspectives, respectively. Recent works by Ringsberg [30] and Badia-Melis et al. [31] provide an extensive survey of the literature. Most of the work investigates the technology and system for food traceability, and the effect of the system. A small part focuses on inducing incumbent suppliers to provide traceable food products, such as contracts, monitoring, or inspection policies, or regulations. For example, Starbird and Amanor-Boadu [32], and Pouliot and Sumner [33] investigated the traceability and inspection policies on food safety, and analyzed the impact on the provision of safe food. Resende-Filho and Hurley [14] improved the seminal work on probability and fines [34] by explicitly modelling the conflict between producers and food processors with traceability, analyzing the mechanisms to encourage the supplier to set up or improve the traceability system. Our article differs in that we study the effect of traceability on a buyer’s sourcing decision by comprehensively analyzing the tradeoff between the profit gained from the consumer WTP and the cost associated with the traceability system and food safety events.
As aforementioned, a segment of the consumer population might pay a premium for traceability. Consequently, the firm must choose whether to source some or all products from a traceable supplier and determine the price. This is reminiscent of the literature on heterogeneous traceability consciousness. Most papers in this body of literature focus on assessing the consumer awareness of food traceability and the WTP. Laboratory market experiments carried out in Canada by Hobbs et al. show that bundling traceability with quality assurance has the potential to deliver more value [35]. Rijswijk et al. designed and made cross-national comparison experiments in four European countries and found that consumers’ benefits associated with traceability are related to health, quality, and safety, of which the latter is associated with trust and confidence [36]. Comparable experimental auctions in the U.S., Canada, the U.K., and Japan illustrate that consumers are willing to pay for a non-trivial premium for a traceable meat product [37]. Wang et al. conducted a cross-sectional study in Beijing, and showed that consumers are willing to pay a 6% premium for safe, traceable fish products over non-traceable products [38]. None of these papers consider the sourcing issue or the impact of consumer behavior on a firm’s incentives to select a traceable supplier, which is the focus of our article. In our model, the firm’s marketing strategy must be associated with its sourcing strategy in a way that accounts for multiple factors impacting the profit.

3. Preliminaries

Consider a food supply chain consisting of one downstream firm (the buyer) and one or more upstream firms (the supplier). The buyer provides the food product to a market with a fixed total size which is normalized to 1, and before the selling seasons, the buyer must select those suppliers. The buyer in our model may, for instance, be a food processor sourcing one type of raw material from a supplier that will later be processed into a finished food product, or a supermarket (e.g., Walmart, Suguo, Carrefour) with no manufacturing capability.
The buyer can source from a diverse set of suppliers, each with different costs and traceability characteristics. In this article, we assume that these suppliers are exogenously fixed to two types, in order to focus our analysis: a supplier with high-level traceability (the traceable supplier, denoted T ) who has a traceability level at t T , and a supplier with low-level traceability (the non-traceable supplier, denoted N ). Normally, firms who only adopt traceability to meet legal requirements hold a low-level traceability system, while the traceability level of firms who adopt traceability on a voluntary basis is high [39]. Without the loss of generality, we assume that the traceability level of the type N supplier is t N = 0 . Assuming that this is a simplification made for the ease of exposition, the results continue to hold, as the traceability levels of the two supplier types are nonzero. The marginal production cost of the type T supplier is c T , and the type N supplier is less expensive, charging a marginal production cost c N , and c N < c T . This cost difference between the two supplier types occurs, since establishing a traceability system is costly. Let Δ = c T c N be the marginal cost of the traceability system, and let q T and q N be the sourcing quantities from the traceable and non-traceable suppliers, respectively.
We assume that the two suppliers are equivalent in all other operational dimensions (quality, lead time). With this assumption, we can focus the model on the sourcing decision, but not complicate the buyer’s problem with other well-known sourcing drivers (e.g., supplier uncertainty, incumbent supplier) [40]. According to the equivalence assumption, consumers are considered to have a homogeneous WTP for the product equal to v . As in [41], a portion θ [ 0 , 1 ] of consumers is assumed to exhibit traceability consciousness and would like to pay a premium r for traceable food products. All remaining consumers, a portion 1 θ of the total population, are not concerned about traceability. Table 1 summarizes the consumer types. In addition, we assume that the buyer faces no competing in the market, that is, there is no alternative for the consumer and he only makes the buying decision upon WTP.
The probability that a food safety event occurs is φ [ 0 , 1 ] , and the event is exogenous. If a food safety event occurs, the buyer can recall the tainted food with the aid of the traceability system, and the recall quantity is a function f ( t ) of the traceability level t . Therefore, the recall quantity of the food sourced from the type T supplier is f ( t T ) , and from the type N supplier is f ( t N ) . Intuitively, f ( t ) strictly decreases as t increases. For simplicity, we assume f ( t N ) = 1 . In other words, while the food safety event happens, the buyer should recall all of the food products sourced from the type N supplier, since there is no traceability system to help distinguish the safe food from that which is tainted. Moreover, the recall costs are v + r c T and v c N for the products sourced from the type T and type N suppliers, respectively. In addition, the buyer should suffer an additional monetary penalty c P when food safety events occur. In practice, recalling the tainted food products in time will help to prevent the loss of the consumer, and the government will impose a light penalty. Otherwise, the buyer will suffer a serious loss of consumers and a penalty. In this article, we denote c P as the additional monetary penalty of the buyer selling non-traceable food products over the traceable one while food safety event occurs.
The sequence of the event is as follows. At the first stage, the buyer selects a supplier(s) and determines its sourcing quantity. Then, the supplier produces food products according to the buyer’s order and delivers the product to the buyer in the second stage. At the third stage, the buyer determines the price and sells it to the market. If a food safety event occurs, the buyer requests a recall.

4. Sourcing Strategies

In this section, we investigate the sourcing strategies of the buyer under information transparency. Given the supply chain and preliminaries above, the buyer could adopt four possible sourcing strategies. In the following, we present these strategies and derive the expected profit and sourcing quantity associated with each.
(1) Non-Traceability Sourcing (NT) strategy. With the NT strategy, the buyer only sources from the type N supplier, and sells the food products to the consumer population. Hence, the sourcing quantities from the type T and N suppliers are q T = 0 and q N = 1 , respectively. As aforementioned, all consumers have WTP v for the food. Hence, the expected profit of the buyer in the NT strategy is:
N T = ( v c N ) φ f ( t N ) ( v c N ) φ c P
The first term in Equation (1) represents the sales profit, and the second and third terms represent the recall cost and the additional monetary penalty resulting from the food safety events with probability φ , respectively.
(2) Dual Sourcing (DS) strategy. Rather than adopting the NT strategy, the buyer could source from both supplier types simultaneously. With this strategy, the buyer can provide the traceable food products to the traceability consciousness segment of the population, and provide the non-traceable product to another segment. This implies that the optimal sourcing quantities from the two types of suppliers are q T = θ and q N = 1 θ . In reality, this is common for the retailer to provide vertical differential products to gain more profit from different market segments. Furthermore, this strategy implies that the traceability consciousness consumer prefers and chooses the traceable food products. Therefore, the buyer charges v and v + r for the product sourced from the type N and T supplier, respectively. Consequently, the expected profit of the buyer under the DS strategy is:
D S = θ ( v + r c T ) ( 1 φ f ( t T ) ) + ( 1 θ ) ( v c N ) ( 1 φ f ( t N ) ) φ c P
The first term in Equation (2) is the profit of selling traceable products while the related recall cost has been deduced, the second term is the profit of selling non-traceable products with the related recall cost deduced, and the third term is the additional penalty.
(3) Traceability Niche Sourcing (TN) strategy. In the above two strategies, the buyer sells non-traceable food products to different extents, which potentially leads to an additional monetary penalty while food safety events occur. One way to mitigate the risk is to disregard the non-traceability consciousness segment, so that the buyer only sells traceable food products to the traceability consciousness consumer at the price v + r . The sourcing quantities under the TN strategy are q T = θ and q N = 0 . Or, to put in differently, the buyer positions itself as a “niche” firm with traceability, aiming to extract all surplus from the traceability consciousness segment. With the TN strategy, the buyer forgoes sourcing for and serving for non-traceability consciousness consumers, and therefore, the buyer’s profit is:
T N = θ ( v + r c T ) φ f ( t T ) θ ( v + r c T )
Note that it is identical to the first term of Equation (2), whereas the profit from the non-traceability consciousness segment has been lost.
(4) Traceability Mass Sourcing (TM) strategy. Another way to mitigate the risk of an additional monetary penalty is to sell traceable food products to the whole consumer population at the price v , and the sourcing quantities under the TM strategy are q T = 1 and q N = 0 . With this strategy, the buyer forgoes the opportunity to extract additional surplus from the segment that is concerned about traceability. In practice, firms that aim to broaden the consumer market and price competitiveness may adopt the TM strategy. The expected profit of the buyer in the TM strategy is:
T M = ( v c T ) φ f ( t T ) ( v c T )
The first term in Equation (4) is the sales profit, while the second one represents the recall cost after a food safety event occurs.
Comparing the profit function of the four different strategies, we may derive when each of these strategies is optimal. For patrimony, we define [ x ] = min ( x , 0 ) and ζ = [ Δ + φ f ( t T ) ( v c T ) φ f ( t N ) ( v c N ) ] / ( 1 φ f ( t T ) ) .
Proposition 1.
The optimal sourcing strategy of the buyer in a food supply chain with complete information is
(i) 
Non-traceability Sourcing, if r < ζ and φ f ( t N ) ( v c N ) + φ c P < Δ + φ f ( t T ) ( v c T ) + [ ( 1 φ f ( t T ) ) ( v c T θ ( v r c T ) ) ] ;
(ii) 
Dual Sourcing, if r > ζ and φ f ( t N ) ( v c N ) ( 1 θ ) + φ c P < ( 1 θ ) ( v c N ) + [ ( 1 φ f ( t T ) ) ( θ ( v + r c T ) ( v c T ) ) ] ;
(iii) 
Traceability Niche Sourcing, if r > ( 1 θ ) ( v c T ) / θ and neither Non-traceability Sourcing nor Dual Sourcing are optimal;
(iv) 
Traceability Mass Sourcing, if r < ( 1 θ ) ( v c T ) / θ and neither Non-traceability Sourcing nor Dual Sourcing are optimal.
All proofs are in the Appendix. While the consumer WTP for traceability is low ( r < ζ ), and the expected costs (including the recall cost and additional monetary penalty) incurred by a food safety event are small (part(i)), the NT strategy is optimal to the buyer. If the expected costs incurred by the food safety event are high, the buyer prefers the TN strategy if the consumer WTP for traceability is high (par(iii)); otherwise, the TM strategy is optimal (part(iv)). Intuitively, while the incremental cost is greater than the consumer WTP for traceability ( r < ζ ), the buyer never adopts the DS strategy, since with a low-cost sourcing strategy, a greater margin could be reaped from the traceability consciousness segment. When the consumer WTP for traceability is higher than the incremental cost ( r > ζ ), the sourcing behavior of the buyer is similar, except that the buyer prefers the DS strategy to the NT Strategy (part(ii)). This is because serving the traceability consciousness segment is profitable as long as r > ζ , even if there is no reduction in risk. In other words, if r > ζ , the buyer always seeks to at least partially source from the type T supplier, and not only sources from type N supplier.

5. Drivers Analysis of Sourcing

Many factors may impact the sourcing decision of the buyer in practice, such as consumer WTP, the additional monetary penalty imposed by the government, and so on. In this section, we focus on two categories of external stakeholders: consumers and governments. The impact of consumers is primarily expressed through the WTP, which includes two aspects: consumer WTP for traceability r and the traceability consciousness segment θ . Furthermore, the impact of governments is normally related to food safety events, including the additional monetary penalty ( c P ) and its supervision level (e.g., inspection and monitoring) [32], and the latter may partially influence the occurrence probability of food safety events ( φ ). In addition, the occurrence probability of food safety events is also subject to the intrinsic attribute of food products, the production process. In this section, we will analyze the impacts of these factors on a buyer’s sourcing decision.
We define q T * and q N * as the optimal quantities sourced from traceable and non-traceable suppliers, respectively. Table 2 summarizes the optimal sourcing quantities and the expected profit of the buyer under four sourcing strategies. Obviously, the optimal quantities sourced from the type T and N supplier are only relevant to the size of the traceability consciousness segment θ , and are independent of the WTP for traceability r , the additional monetary penalty c P , and the probability of food safety events φ . Moreover, within a given sourcing strategy, the sourcing quantity from the type T supplier is increasing, and the quantity from the type N supplier is decreasing in the size of the traceability consciousness segment.

5.1. Consumer WTP

In this subsection, we discuss the impact of consumer WTP on the sourcing decision. Firstly, consider the case when the consumer WTP for traceability is low ( r < ζ ), and the buyer’s optimal sourcing strategies are the NT strategy, TN strategy, and TM strategy, as illustrated in (i), (iii), and (iv) of Proposition 1, respectively. Noting the profit expressions in Table 2 for these three strategies, we can find that the expected profit of the buyer is independent of θ under both NT and TM strategies, and it is increasing in the segment size with the TN strategy. While θ = 0 , no consumer is concerned about traceability, and the TM strategy is preferred to the TN strategy; nevertheless, when θ = 1 , which means that all consumers have a premium WTP for traceability, the TN strategy is preferred to the TM strategy. Therefore, in the case r < ζ , three potential transition paths of optimal sourcing strategy as θ increases exist: (1) NT strategy is optimal for all θ ; (2) NT strategy → TN strategy; and (3) TM strategy → TN strategy. The underlying behavior in the first two paths is consistent with naive intuition: q N * decreases and q T * increases in θ . In the third path, the optimal sourcing strategy transits from the TM strategy to the TN strategy for a sufficiently high θ , and the quantity sourced from the traceable supplier decreases as θ increases. A similar effect occurs as a function of WTP for traceability r . Thus, we can summarize the above observations for the effect of θ and r as the following proposition.
Proposition 2.
If consumer WTP for traceability is low ( r < ζ ), and the optimal sourcing strategy progresses from the TM strategy to TN strategy as θ or r increases, the optimal quantity q T * sourced from the type T supplier strictly decreases as θ increases and crosses ( v c T ) / ( v + r c T ) and as r increases and crosses ( v c T ) ( 1 θ ) / θ .
Proposition 2 shows that, if consumer WTP for traceability is low, it is possible for the buyer to reduce the sourcing quantity of traceable food products, even as more consumers are concerned about traceability or as their WTP for traceability increases. The underlying cause is that if θ or r is small, the buyer may choose the TM strategy to mitigate the risk of food safety events. Moreover, if either θ or r increases, the TN strategy will be more attractive to the buyer, and the strategy transition excludes those non-traceability consciousness consumers.
Considering the second case, where the consumer WTP for traceability is high ( r > ζ ), the optimal strategies of the buyer are the DS strategy, TM strategy, and TN strategy. Intuitively, in this case, the DS strategy dominates the NT strategy. From Table 2, we can find that the expected profit of the TM strategy is independent of θ , and that of the TN strategy increases in θ . Moreover, the buyer’s expected profit under DS strategy may increase as θ increases (case r > ζ ), or decrease as θ increases (case r < ζ ). Thus, in the case r > ζ , three potential transition paths of the optimal strategy exist: (1) DS strategy → TN strategy; (2) TM strategy → DS strategy → TN strategy; and (3) TM strategy → TN strategy. The effect of θ and r on these transitions can be summarized as the following proposition.
Proposition 3.
If the consumer WTP to pay for traceability is high ( r > ζ ),
(i) 
If the optimal sourcing strategy transits from the TM strategy to TN strategy as θ or r increases, the optimal sourcing quantity q T * strictly decreases as θ crosses ( v c T ) / ( v + r c T ) from below and as r crosses ( v c T ) ( 1 θ ) / θ from below.
(ii) 
If the optimal sourcing strategy transits from the DS strategy to TN strategy as θ or r increases, the optimal sourcing quantity q T * strictly decreases and q N * strictly increases as θ increases and crosses.
( φ f ( t N ) ( v c N ) φ f ( t T ) ( v c T ) + φ c P Δ ) / ( ( 1 φ f ( t T ) ) r ( Δ + φ f ( t T ) ( v c T ) φ f ( t N ) ( v c N ) ) ) and r increases and crosses ( φ c P ( 1 θ ) ( Δ + φ f ( t T ) ( v c T ) φ f ( t N ) ( v c N ) ) ) / θ ( 1 φ f ( t T ) ) .
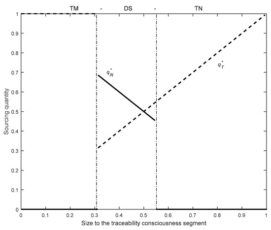
Part(i) of the proposition is similar to Proposition 2, and Part(ii) shows that while θ or r increases, the buyer will increase the sourcing quantity q N * and decrease the sourcing quantity q T * , which is counterintuitive. Figure 1 illustrates an instance of the buyer’s optimal sourcing quantities from different suppliers, where the second transition path in the case r > ζ occurs. As the figure shows, for low θ , the TM strategy is optimal, whereas for moderate θ , the DS strategy is optimal, and for high θ , the TN strategy is optimal. As θ increases above 0.314, the sourcing quantity from the type T supplier decreases from 1 to θ discontinuously, whereas that sourced from the type N supplier jumps from 0 to 1 θ . It is obvious that as the size of the traceability consciousness segment or consumer WTP for traceability increases, the buyer could gain more profits from the market in terms of these consumers (by adopting the DS or TN strategy). In other words, the buyer transits to a market segmentation strategy by selling traceable food products to traceability consciousness consumers at a higher price. If the size of the traceability consciousness segment or consumer WTP for traceability is sufficiently high, the buyer will dedicate their operation to serving traceability consciousness consumers, but exclude the non-traceability consciousness ones.
We use two numerical experiments to investigate the impact of consumer WTP for traceability r and the traceability consciousness segment θ on the sourcing decision of the buyer. We consider the parameters of the two experiments as c T = 7 , φ = 0.2 , c P = 14 , v = 10 , and f ( t T ) = 0.3 , and these two experiments differ in the parameter c N setting. Figure 2 illustrates the buyer’s optimal sourcing decision when c N = 2 , and Figure 3 shows that when c N = 4 . Additionally, the vertical lines in the two figures represent r = ζ . With the definition of ζ and Δ , we can find that ζ increases as c N decreases. Thus, the vertical line r = ζ in Figure 3 lies to the left of that in Figure 2.
The LHS of the vertical line r = ζ in Figure 2 shows two transition paths of the buyer’s sourcing strategy as θ increases: the NT strategy is optimal for all θ ; NT strategy → TN strategy. Moreover, the LHS of the vertical line in Figure 3 shows another transition path as θ increases in the case r < ζ : TM strategy → TN strategy. Similarly, we can find these transition paths from the RHS of the vertical line r = ζ in the two figures as θ increases in the case r > ζ : DS strategy → TN strategy (Figure 2); TM strategy → DS strategy → TN strategy and TM strategy → TN strategy (Figure 3).
Compared to Figure 2, Figure 3 has a higher c N , which means that the cost advantage of the non-traceable food products is reduced. As the figure shows, when θ and r are low, the buyer prefers the TM strategy to NT strategy, in order to minimize the cost of probable food safety events. As either θ or r increases, the buyer will pursue a segmentation strategy (DS strategy or TN strategy), resulting in a decrease of sourcing quantity from the type T supplier and an increase from the type N supplier. While θ is sufficiently high, the buyer will focus on serving the traceability consciousness segment, and abandon another segment of the population.
Taken in sum, we discuss two common ways to encourage sourcing traceable food products. The first way is to educate consumers to care about traceability, and another way is to encourage them to pay more for traceable products. For example, firms usually provide a query service to impress consumers with the traceability characteristic of food products. Moreover, firms enhance the credence attribute of food products with traceability, and sell them at a higher price. These results show that these two ways may produce unintended, and in some cases, detrimental results. The reason is that changing consumer population characteristics alters the profit of the buyer within different sourcing strategies, and in particular, might make strategies that source from non-traceable suppliers (e.g., DS strategy) more profitable. The fact that a seemingly sound strategy to encourage sourcing from a traceable supplier can produce precisely the opposite of the intended result is irritating and shows that the effort to encourage consumers to increase their WTP for traceable products may fail because they may lead the firm to focus more on segmenting the market, rather than upgrading the widespread traceability level of the food supply chain. This could be the reason that even consumers show their WTP for traceability, and that some food supply chains only adopt low-level traceability to meet the statutory requirements.

5.2. Food Safety Events

Within the above analysis, it is clear that increasing the consumer WTP for traceability r or the size of the traceability consciousness segment may not lead to an increase in the provision of traceable food products to the market. In this subsection, we will further analyze the potential impact of an additional monetary penalty c P and the occurrence probability of food safety events φ on the buyer’s sourcing decision.
When the consumer WTP for traceability is low ( r < ζ ), the buyer may adopt three potential strategies: NT strategy, TN strategy, and TM strategy. With Table 2, we can find that the expected profit under both the TN and TM strategy is independent of the additional monetary penalty c P , and it decreases as c P increases under both the NT and DS strategy. Consequently, while c P increases in the case r < ζ , the buyer will decrease the sourcing quantity from the type N supplier and increase that from the type T supplier. In the case r > ζ , the buyer may use the DS strategy, TN strategy, and TM strategy, and its expected profit under the DS strategy decreases as c P increases. Therefore, the same trends of q T * and q N * occur as a function of an additional monetary penalty c P .
Similarly, we investigate the effect of the occurrence probability of food safety events φ . Intuitively in Table 2, the expected profit of the buyer under each strategy decreases in φ , and the DS strategy has the largest decline rate, followed by the NT strategy, and the TN strategy declines most slowly. Therefore, in both the case r < ζ and r > ζ , the buyer will decrease q N * and increase q T * as the occurrence probability of food safety events φ increases. Taken in sum, the following proposition formalizes these effects of an additional monetary penalty c P and the occurrence probability of food safety events φ .
Proposition 4.
Under the optimal sourcing strategy, q N * decreases and q T * increases in terms of an additional monetary penalty c P and the occurrence probability of food safety events φ .
Combining Proposition 2, 3, and 4, we can observe that educating consumers about traceability and encouraging them to pay more for traceability (e.g., marketing campaigns by the buyer, the government or other groups) may produce unexpected results. In other words, it may not be helpful to encourage the buyer sourcing more from traceable suppliers to sell to the market. The reason for this is that these ways alter the profits of all sourcing strategies, and may improve the profit of strategies sourcing from the type N supplier (e.g., DS strategy). Conversely, imposing a punishment for food safety events via an additional monetary penalty and more strict inspection and monitoring mechanism, will be helpful to encourage the buyer to source more from traceable suppliers. Consequently, to encourage sustainable traceability, punishment policies might be more efficient than reward policies.
This is an intriguing observation as the government, particularly the local government in developing countries, is not willing to disclose the information of food safety events and impose heavy penalties on food facilities while food safety events occur. A key reason for this is the fear that actively disclosing information and imposing a significant punishment would lead these facilities to go out of business, putting workers out of their jobs, which is worse than food safety events. As a result, even though the government makes an effort to introduce a mandatory traceability system, without the assistance of strict supervision and punishment mechanisms, it is difficult to achieve traceability.
Finally, we investigate the impact of different parameters on the profit of the buyer, and achieve the following proposition.
Proposition 5.
Buyer’s profit under the optimal strategy
(i) 
decreases in the case of an additional monetary penalty c P and the occurrence probability of food safety events φ ;
(ii) 
increases in the consumer WTP for food products v and traceability r ;
(iii) 
is convex in the segment of traceability consciousness consumers ( θ ).
Proposition 5(i) and (ii) are intuitive from the expected profit of the buyer under different sourcing strategies, as listed in Table 2. Proposition 5(iii) illustrates that the buyer gains a higher profit while the size of the traceability consciousness segment is smaller or larger. When θ is sufficiently low, increasing θ may incur a decline in the sales volume (NT strategy) or the buyer selling traceable food products to the non-traceability consciousness segment (TM strategy), and thus, the buyer’s profit decreases. While θ is sufficiently high, the buyer’s profit increases as θ increases. Hence, the firm prefers to only sell to consumers with traceability consciousness (TN strategy).

6. Asymmetric Information about Traceability

So far, we have considered a transparent food supply chain, that is, consumers know whether a food product has been sourced from a traceable supplier or a non-traceable supplier. In practice, like the corporate social responsibility issues in the supply chain [27,41,42], the buyer could hide the true information of the food products to gain more profit via many ways, such as mislabeling (e.g., material [5], production date [21]); in other words, there exists information asymmetry. Therefore, even if consumers “vote with their wallets”, they may suffer food safety events.
In this section, we investigate the buyer’s sourcing decision in a food supply chain with information asymmetry. We assume that the consumer has no information about the sourcing decision of the buyer, and the buyer can mislabel its product without an additional penalty. Consequently, two other potential sourcing strategies could be adopted by the buyer.
(1) Non-Traceability Dual Labeled Sourcing (NDL) strategy. This includes only sourcing from the type N supplier, and selling these products with different traceability labels at different prices. Therefore, the expected profit of the buyer in this strategy is:
Π N D L = ( v + θ r c N ) ( 1 φ f ( t N ) ) φ c P
Such a strategy is preferred to the NT strategy in the transparent supply chain, as the buyer is also able to extract extra profit from the price premium to the traceability consciousness segment, even though the product is from a non-traceable supplier.
(2) Traceability Dual Labeled Sourcing (TDL) strategy. With this strategy, the buyer sources only from the type T supplier, and labels the product with two different traceability levels: traceable and non-traceable. The buyer sells these different labeled products to traceability consciousness consumers at a high price v + r , and to non-traceability consciousness consumers at a low price v , respectively. Hence, the expected profit of the buyer under this strategy is:
Π T D L = ( v + θ r c N ) ( 1 φ f ( t T ) )
Intuitively, the TDL strategy dominates the TN strategy and TM strategy in the transparent supply chain.
Consequently, while there exists information asymmetry in the food supply chain, the optimal sourcing strategy of the buyer is the DS strategy, TDL strategy, and NDL strategy. Comparing the expected profits of the buyer in different candidate strategies, we have the following result. For convenience, we define κ = [ Δ + φ f ( t T ) ( v c T ) φ f ( t T ) ( v c N ) ] / [ φ ( f ( t N ) f ( t T ) ] .
Proposition 6.
The buyer’s optimal sourcing strategy in a food supply chain associated with asymmetric information is:
(i) 
Dual Sourcing, if r > κ and φ f ( t N ) ( v c N ) ( 1 θ ) + φ f ( t T ) ( v + r c T ) θ < ( 1 θ ) ( v c N ) + θ ( v + r c T ) ( 1 φ f ( t T ) ) ( v + r θ c T ) ;
(ii) 
Non-Traceability Dual Labeled Sourcing, if r < κ and φ ( f ( t T ) f ( t N ) ) ( v + θ r ) ( c N c T ) + φ ( c N f ( t N ) c T f ( t T ) ) > φ c P ;
(iii) 
High Traceability Dual Labeled Sourcing, if neither Dual Sourcing nor Non-Traceability Dual Labeled Sourcing are optimal.
Intuitively, we can derive the sourcing quantities from different supplier types under the optimal sourcing strategy. Table 3 summarizes the optimal sourcing quantities and the expected profit of the buyer under three sourcing strategies. Unlike in the transparent food supply chain, the optimal quantities sourced from the type T and N supplier are independent of the size of the traceability consciousness segment θ in the food supply chain with asymmetric information.
Consider the case r < κ , in which the buyer’s optimal strategies are the NDL strategy and TDL strategy. Noting the profit expression in Table 3, we can find that both of these profits in the two strategies increase in r and θ , and that the TDL strategy exhibits a more rapid growth as r and θ increase. Therefore, there exists a potential transition path of the optimal sourcing strategy as the NDL strategy → TDL while r or θ increases. The reason for this is that a change in r or θ improves the profit of the strategy that sources from the type T supplier and sells the product at a higher price v + r . In the case r > κ , the buyer may adopt the DS strategy or TDL strategy. While r and θ increase, the profit in the TDL strategy increases faster than that in the DS strategy, and hence, a potential transition path of the optimal sourcing strategy exists: DS strategy → TDL strategy. Such a transition path indicates that while r or θ is sufficiently high, the buyer will mitigate the risk of food safety events (e.g., recall cost) via only sourcing from the type T supplier.
Furthermore, we use a numerical experiment to investigate the impact of r and θ on the sourcing decision of the buyer in a food supply chain under asymmetric information. We consider the parameters of the experiment to be c H = 7 , φ = 0.3 , c P = 4 , v = 10 , f ( t T ) = 0.2 , and c N = 4 . The vertical line in Figure 4 represents r = κ . With the LHS of r = κ in Figure 4 ( r < κ ), we can find that if r or θ is sufficiently small, the buyer will consistently adopt the NDL strategy; otherwise, the buyer will transit to the TDL strategy as r or θ increases. In the RHS ( r > κ ), it shows that if θ is sufficiently small, the buyer will use the DS strategy as r increases; otherwise, it will transit to the TDL strategy as θ increases.
Considering the impact of food safety events, we can observe from Table 3 that the profit of the buyer in each strategy decreases in the occurrence probability of food safety events φ while the DS strategy holds a larger decline rate than the others; and the profit in the DS strategy and NDL strategy decreases in terms of an additional monetary penalty c P , while that in the TDL strategy is independent of c P . That indicates that if the government imposes more strict inspections and monitoring mechanisms ( φ increases) or a heavier additional monetary penalty ( c P increases), the buyer will adopt the TDL strategy and sell these traceable food products to the market.
Up to this point, we assume that the firm may mislabel its product without cost. In practice, consumers, governments, and some NGO groups could examine the truth of the traceability label in different ways with the aid of information techniques. Thus, the firm may suffer an additional cost (e.g., loss of consumer) for its mislabeling. Note that the type of mislabeling in the NDL and TDL sourcing strategies is not the same. In NDL, the mislabel is immoral: the firm sells non-traceable food products as traceable ones; and in TDL, the mislabel is well-intentioned: the firm sells its traceable food products as non-traceable ones to segment the market. We assume that the buyer suffers an additional cost for its sinful mislabeling activity in the NDL strategy as ψ c M , where ψ represents the probability of being discovered, and c M is the incurred cost. Therefore, the expected profit of the buyer can be rewritten as Π M N D L = ( v + θ r c N ) ( 1 φ f ( t N ) ) φ c P ψ c M .
Based on the previous numerical experiment, we set ψ = 0.1 and c M = 1 to examine the impact of an additional cost for mislabeling. Figure 5 illustrates the optimal strategies of the buyer in this case. Compared to Figure 4, we can find that the size of the optimality regions of NDL decrease, while the regions of both the DS and TDL strategies increase. This suggests that imposing an additional cost for immoral mislabeling may produce an intended consequence of sourcing more from a traceable supplier, and thus contribute to sustainable traceability.
To examine the impact of information disclosure on the sourcing decision of the buyer, we carry out a numerical experiment in a transparent food supply chain with the same parameter initialization as Figure 4. The result is graphically depicted in Figure 6. The size of the optimality regions employing the type N supplier (NT strategy and DS strategy) is larger than the regions (NDL strategy and DS strategy) in a nontransparent supply chain (Figure 4). Note that, although the buyer can be more likely to source from a non-traceable supplier in a transparent supply chain, it does not indicate that the buyer would like to source a larger quantity from the type N supplier. For instance, while r is moderate and θ is small, the buyer in a transparent supply chain adopts the DS strategy with q N * = 1 θ and q T * = θ , and adopts the NDL strategy in a nontransparent supply chain with q N * = 1 and q T * = 0 . Although the type N supplier is selected in both cases, the sourcing quantity from the type N supplier is smaller in the transparent supply chain. Thus, transparency is helpful for improving sustainable traceability, when the non-traceable supplier is engaged in both types of food supply chain. However, the non-traceable supplier is more frequently adopted in the transparent supply chain. This indicates that the effort of information disclosure may fail to improve sustainable traceability.

7. Conclusions

Food safety is becoming an increasingly important aspect of food supply chain management for both firms and governments, and the traceability system is recognized as a feasible solution to ensure food safety and prevent food losses. As adopting the traceability system may increase costs, the firm who sells traceable food products may benefit from a higher WTP and lower recall cost, and an additional monetary penalty while food safety events occur. Therefore, a firm may associate its sourcing strategy with a marketing strategy, and determine its sourcing decision when suppliers are heterogeneous regarding traceability. In this article, we explored this issue and focused on understanding the drivers of sourcing from a traceable supplier in the food supply chain. We found that each of these possible sourcing strategies (NT, DS, TN, TM, NDL, and TDL) may be optimal under certain conditions. Additionally, we also investigated the impact of consumer WTP and food safety events on determining the optimal sourcing strategy and hence the sustainable provision of traceable food products in the market.
Our results will help firms to understand the tradeoffs underlying sourcing decisions considering food traceability and illustrate the optimal conditions of different sourcing strategies. When consumers hold a low WTP for traceability, it is optimal to either source all food products from the non-traceable supplier or from the traceable supplier; otherwise, it is optimal for the buyer to adopt the dual sourcing strategy. Moreover, since the firm’s profit is convex in the size of the traceability consciousness segment, firms may devote effort to increasing the consumer awareness of traceability issues by educating consumers on traceability. Given the increasing frequency and server consequence of food safety events, the value of an integrative approach to food supply chain management considering operations, marketing, and traceability will continue to grow.
In addition, our results provide viable suggestions for policymakers and consumers on how to encourage increasing sustainable traceability along the food supply chain. We have found that increasing either the segment of traceability consciousness population or consumer WTP for traceability may lead to a decrease in sourcing from a traceable supplier and an increase from a non-traceable supplier. These counterintuitive behaviors occur when the firm switches its sourcing strategies as the consumer population changes, potentially abandoning sourcing from a traceable supplier. Moreover, complete information along the food supply chain may decrease the supply of traceable food products. Our results suggest that efforts on detection or punishment are more likely to produce the intended consequence than influencing the consumer market characteristics. In other words, if the government strengthens supervision and fines while requiring mandatory traceability along the food supply chain, retailers are likely to source more from a traceable supplier, and the food supply chain is more likely to achieve sustainable traceability.
Sustainable traceability is a complicated topic along the food supply chain, and some issues need to be further studied. First, we model a monopolistic buyer in this paper, and thus, competition in the market faced by the firm has not been taken into consideration. Generalizing this study to the case with a competing market is an interesting extension. Second, we assume that there are two segments of the population, and that each segment holds the same WTP for products and traceability. In practice, consumer WTP differs in many factors (e.g., education, income [43]). Thus, further research may consider heterogeneous WTP and analyze the pricing strategy. Furthermore, in this article, we simply allocate the liability of food safety events between the supplier and the buyer, where the supplier bears the production cost, and the buyer affords the rest. However, in practice, the liability is usually allocated according to failure root cause analysis. Hence, an exploration considering failure root cause analysis associated with traceability may prove interesting.

Acknowledgments

The work was supported in part by the National Natural Science Foundation of China (No. 71401030; No. 71390333; No. 71601097; the National Sci-Tech Support Plan of China (No. 2013BAD19B05); the Key R&D Plans of Jiangsu Province, China (No. BE2016803); the Fundamental Research Funds for the Central Universities (No. KJQN201715, SKTS2016004); and a project funded by the Priority Academic Program Development of Jiangsu Higher Education Institutions (PAPD).

Author Contributions

Shengnan Sun and Xinping Wang proposed the research framework and drafted the paper. Shengnan Sun and Yan Zhang worked on the analysis, interpretation of results, and the discussion. Further revision was carried out by Shengnan Sun and Xinping Wang. All authors have read and approved the final manuscript.

Conflicts of Interest

The authors declare no conflict of interest.

Abbreviations

DSDual Sourcing
FDAFood and Drug Administration
FSISFood Safety and Inspection Service
HACCPHazard Analysis and Critical Control Point
NDLNon-Traceability Dual Labeled
NTNon-Traceability
PRPathogen Reduction
TDLTraceability Dual Labeled
TMTraceability Mass
TNTraceability Niche
USDAUnited States Department of Agriculture
WTPWillingness to Pay

Appendix A

Proof of Proposition 1.
The NT strategy is preferred to the DS strategy if the profit under the NT strategy is higher than that under the DS strategy. Let NT > D S , and we can derive r < ζ . Similarly, setting NT > T N , we derive φ f ( t N ) ( v c N ) + φ c P < Δ + φ f ( t T ) ( v c T ) ; and setting NT > T M , we get φ f ( t N ) ( v c N ) + φ c P < Δ + φ f ( t T ) ( v c T ) + [ ( 1 φ f ( t T ) ) ( v c T θ ( v r c T ) ) ] . If three conditions are satisfied, the NT strategy is optimal. Thus, if r < ζ and φ f ( t N ) ( v c N ) + φ c P < Δ + φ f ( t T ) ( v c T ) + [ ( 1 φ f ( t T ) ) ( v c T θ ( v r c T ) ) ] , the buyer’s optimal sourcing strategy is the NT strategy (Proposition 1(i)).
To deduce the conditions when the DS strategy is optimal, we let D S > N T , D S > T N and D S > T M . Then, we get r > ζ , φ f ( t N ) ( v c N ) ( 1 θ ) + φ c P < ( 1 θ ) ( v c N ) , and φ f ( t N ) ( v c N ) ( 1 θ ) + φ c P < ( 1 θ ) ( v c N ) + [ ( 1 φ f ( t T ) ) ( θ ( v + r c T ) ( v c T ) ) ] , respectively. Therefore, if r > ζ and φ f ( t N ) ( v c N ) ( 1 θ ) + φ c P < ( 1 θ ) ( v c N ) + [ ( 1 φ f ( t T ) ) ( θ ( v + r c T ) ( v c T ) ) ] , the DS strategy is optimal to the buyer (Proposition 1(ii)).
For the TN strategy, let T N > T M , and we derive r > ( 1 θ ) ( v c T ) / θ . Combining Proposition 1(i) and (ii), the TN strategy is optimal if r > ( 1 θ ) ( v c T ) / θ , and neither the NT strategy nor DS strategy are optimal (Proposition 1(iii)).
Then, the TM strategy is preferred if r < ( 1 θ ) ( v c T ) / θ , and neither the NT strategy nor DS strategy are optimal (Proposition 1(iv)). □
Proof of Proposition 2.
Follows Proposition 1, let T N = T M , and we can get the critical values of θ and r : ( v c T ) / ( v + r c T ) and ( v c T ) ( 1 θ ) / θ . □
Proof of Proposition 3.
The proof of part(i) is identical Proposition 2. Solving D S = T M , we can get the critical values of θ and r : ( φ f ( t N ) ( v c N ) φ f ( t T ) ( v c T ) + φ c P Δ ) / ( ( 1 φ f ( t T ) ) r ( Δ + φ f ( t T ) ( v c T ) φ f ( t N ) ( v c N ) ) ) and ( φ c P ( 1 θ ) ( Δ + φ f ( t T ) ( v c T ) φ f ( t N ) ( v c N ) ) ) / θ ( 1 φ f ( t T ) ) ; thus we get part(ii). □
Proof of Proposition 4.
For all r , the profit in the TN and TM strategies is independent of c P . If r < ζ , the only optimal strategies are the NT strategy, TN strategy, and TM strategy, and the profit in the NT strategy is decreasing in c P . Hence, an increase in c P only decreases the attractiveness of the NT strategy to the other two sourcing strategies, meaning that q N * can only decrease and q T * can only increase. If r > ζ , the only optimal strategies are the DS strategy, TN strategy, and TM strategy, and the profit in the DS strategy is decreasing in c P . Hence, an increase in c P can incur the same trend of q N * and q T * as above. Thus, for all r , an increase in c P , q N * can only decrease and q T * can only increase.
Considering φ , the profit in each strategy decreases in φ . If r < ζ , the NT strategy has the largest decline rate, followed by the TM strategy, and the TN strategy declines the most slowly. With these potential transition paths of an optimal sourcing strategy, we can deduce that an increase in φ will lead to increasing q N * and decreasing q T * values. If r > ζ , the DS strategy has the largest decline rate, followed by the TM strategy, and the TN strategy declines the most slowly. Hence, an increase in φ can incur the same trend of q N * and q T * . Thus, for all r , an increase in φ , q N * can only decrease and q T * can only increase.
Taken in sum, Proposition 4 follows. □
Proof of Proposition 5.
Part(i) and (ii) follow because the buyer’s profit is monotone in c P and φ under the optimal sourcing strategy. Part(iii) follows because the buyer’s profit is independent of θ in the NT and TM strategy, increasing in θ in the TN strategy, and decreasing or increasing in θ as r < ζ or r > ζ in the DS strategy. Given the optimal strategies in Proposition 1, it follows that profit in the optimal strategy is convex in θ . □
Proof of Proposition 6.
The DS strategy is preferred to the NDL strategy if the profit under the DS strategy is higher than that under the NDL strategy. Let D S > N D L , and we can derive r > κ . Similarly, setting D S > T D L , we derive φ f ( t N ) ( v c N ) ( 1 θ ) + φ f ( t T ) ( v + r c T ) θ + φ c P < ( 1 θ ) ( v c N ) + θ ( v + r c T ) ( 1 φ f ( t T ) ) ( v + r θ c T ) . If two conditions are satisfied, the DS strategy is optimal (Part(i)). For the NDL strategy, we set D S < N D L and N D L > T D L , then part(ii) follows as r < κ and φ ( f ( t T ) f ( t N ) ) ( v + θ r ) ( c N c T ) + φ ( c N f ( t N ) c T f ( t T ) ) > φ c P ; and setting D S < T D L and N D L < T D L for the TDL strategy, part(iii) follows. □

References

  1. Leat, P.; Revoredo-Giha, C.; Lamprinopoulou, C. Scotland’s food and drink policy discussion: Sustainability issues in the food supply chain. Sustainability 2011, 3, 605–631. [Google Scholar] [CrossRef]
  2. Spencer, R. Two Sentenced to Death over China Melamine Milk Scandal. The Telegraph. 22 January 2009. Available online: http://www.telegraph.co.uk/news/worldnews/asia/china/4315627/Two-sentenced-to-death-over-China-melamine-milk-scandal.html (accessed on 23 May 2015).
  3. Layton, L.; Miroff, N. The Rise and Fall of a Peanut Empire. The Washington Post. 15 February 2009. Available online: http://www.washingtonpost.com/wp-dyn/content/article/2009/02/14/AR2009021401758.html (accessed on 5 July 2015).
  4. Marucheck, A.; Greis, N.; Mena, C.; Cai, L. Product safety and security in the global supply chain: Issues, challenges and research opportunities. J. Oper. Manag. 2011, 29, 707–720. [Google Scholar] [CrossRef]
  5. Mason, R. Horsemeat Scandal: Supermarkets Have Failed to Check Meat Suppliers, MPs Told. The Telegraph. 24 February 2013. Available online: http://www.telegraph.co.uk/foodanddrink/foodanddrinknews/9891296/Horsemeat-scandal-supermarkets-have-failed-to-check-meat-suppliers-MPs-told.html (accessed on 23 June 2014).
  6. Roth, A.; Tsay, A.; Pullman, M.; Gray, J. Unraveling the food supply chain: Strategic insights from China and 2007 recalls. J. Supply Chain Manag. 2008, 44, 22–39. [Google Scholar] [CrossRef]
  7. FSIS. Summary of Recall Cases in Calendar Year 2016. Available online: https://www.fsis.usda.gov/wps/portal/fsis/topics/recalls-and-public-health-alerts/recall-summaries (accessed on 10 May 2017).
  8. Farooq, U.; Tao, W.; Alfian, G.; Kang, Y.-S.; Rhee, J. ePedigree traceability system for the agricultural food supply chain to ensure consumer health. Sustainability 2016, 8, 839. [Google Scholar] [CrossRef]
  9. International Organization for Standardization. Quality Management Systems: Fundamentals and Vocabulary; European Standard, Committee for Standardization, ISO 9000: 2005; ISO: Geneva, Switzerland, 2005. [Google Scholar]
  10. Pouliot, S.; Sumner, D. Traceability, recalls, industry reputation and product safety. Eur. Rev. Agric. Econ. 2013, 40, 121–142. [Google Scholar] [CrossRef]
  11. Saak, A. Traceability and reputation in supply chains. Int. J. Prod. Econ. 2016, 177, 149–162. [Google Scholar] [CrossRef]
  12. Banterle, A.; Stranieri, S. Sustainability standards and the reorganization of private label supply chain: A transaction cost perspective. Sustainability 2013, 5, 5272–5288. [Google Scholar] [CrossRef]
  13. United States. Bioterrorism Act of 2002. Available online: https://www.fda.gov/regulatoryinformation/lawsenforcedbyfda/ucm148797.htm (accessed on 12 July 2014).
  14. Resende-Filho, M.; Hurley, T. Information asymmetry and traceability incentives for food safety. Int. J. Prod. Econ. 2012, 139, 596–603. [Google Scholar] [CrossRef]
  15. European Union. Regulation (EC) No. 178/2002 of the European Parliament and of the Council of 28 January 2002. Off. J. Eur. Commun. 2002, L34, 1–24. [Google Scholar]
  16. Golan, E.; Krissoff, B.; Kuchler, F.; Calvin, L.; Nelson, K.; Price, G. Traceability in the U.S. Food Supply: Economic Theory and Industry Studies. U.S. Department of Agriculture, Agricultural Economic Report No. 830. Available online: http://ageconsearch.umn.edu/bitstream/33939/1/ae040830.pdf (accessed on 12 May 2015).
  17. Hobbs, J. Information asymmetry and the role of traceability systems. Agribusiness 2004, 20, 397–415. [Google Scholar] [CrossRef]
  18. Dupuy, C.; Botta-Genoulaz, V.; Guinet, A. Batch dispersion model to optimise traceability in food industry. J. Food Eng. 2005, 70, 333–339. [Google Scholar] [CrossRef]
  19. Pizzuti, T.; Mirabelli, G. The global track&trace system for food: General framework and functioning principles. J. Food Eng. 2015, 159, 16–35. [Google Scholar]
  20. Dai, H.; Ge, L.; Zhou, W. A design method for supply chain traceability systems with aligned interests. Int. J. Prod. Econ. 2015, 170, 14–24. [Google Scholar] [CrossRef]
  21. Huang, S. China’s weak regulation to blame for fast-food safety scandals. Chinadialogue. 30 July 2014. Available online: https://www.chinadialogue.org.cn/blog/7185-China-s-weak-regulation-to-blame-for-fast-food-safety-scandals/en (accessed on 5 October 2016).
  22. Beske, P.; Land, A.; Seuring, S. Sustainable supply chain management practices and dynamic capabilities in the food industry: A critical analysis of the literature. Int. J. Prod. Econ. 2014, 152, 131–143. [Google Scholar] [CrossRef]
  23. Ortega, D.; Wang, H.; Wu, L.; Olynk, N. Modeling heterogeneity in consumer preferences for select food safety attributes in China. Food Policy 2011, 36, 318–324. [Google Scholar] [CrossRef]
  24. Pouliot, S. Market evidence of packer willingness to pay for traceability. Am. J. Agric. Econ. 2011, 93, 735–751. [Google Scholar] [CrossRef]
  25. Wu, L.; Wang, H.; Zhu, D.; Hu, W.; Wang, S. Chinese consumers’ willingness to pay for pork traceability information-the case of Wuxi. Agric. Econ. 2016, 47, 71–79. [Google Scholar] [CrossRef]
  26. Zhang, C.; Bai, J.; Thomas, W. Consumers’ willingness to pay for traceable pork, milk, and cooking oil in Nanjing, China. Food Control 2012, 27, 21–28. [Google Scholar] [CrossRef]
  27. Guo, R.; Lee, H.; Swinney, R. Responsible sourcing in supply chains. Manag. Sci. 2016, 62, 2722–2744. [Google Scholar] [CrossRef]
  28. Smith, G.; Tatum, J.; Belk, K.; Scanga, J.; Grandin, T.; Sofos, J. Traceability from a US perspective. Meat Sci. 2005, 71, 174–193. [Google Scholar] [CrossRef] [PubMed]
  29. Schwägele, F. Traceability from a European perspective. Meat Sci. 2005, 71, 164–173. [Google Scholar] [CrossRef] [PubMed]
  30. Ringsberg, H. Perspectives on food traceability: A systematic literature review. Supply Chain Manag. 2014, 19, 558–576. [Google Scholar] [CrossRef]
  31. Badia-Melis, R.; Mishra, P.; Ruiz-Garcia, L. Food traceability: New trends and recent advances. A review. Food Control 2015, 57, 393–401. [Google Scholar] [CrossRef]
  32. Starbird, S.; Amanor-Boadu, V. Traceability, Inspection and Food Safety. American Agriculture Economics Association Annual Meeting, Denver, Colorado, 1–4 July 2004; Available online: http://ageconsearch.umn.edu/bitstream/20381/1/sp04st25.pdf (accessed on 5 January 2017).
  33. Pouliot, S.; Sumner, D. Traceability, liability, and incentives for food safety and quality? Am. J. Agric. Econ. 2008, 90, 15–27. [Google Scholar] [CrossRef]
  34. Polinsky, A.; Shavell, S. The optimal tradeoff between the probability and magnitude of fines. Am. Econ. Rev. 1979, 69, 880–891. [Google Scholar]
  35. Hobbs, J.; Bailey, D.; Dickinson, D.; Haghiri, M. Traceability in the Canadian red meat sector: Do consumers care? Can. J. Agric. Econ. 2005, 53, 47–65. [Google Scholar] [CrossRef]
  36. Rijswijk, W.; Frewer, L.; Menozzi, D.; Faioli, G. Consumer perceptions of traceability: A cross-national comparison of the associated benefits. Food Qual. Preference 2008, 19, 452–464. [Google Scholar] [CrossRef]
  37. Dickinson, D.; Bailey, D. Experimental evidence on willingness to pay for red meat traceability in the United States, Canada, the United Kingdom, and Japan. J. Agric. Appl. Econ. 2005, 37, 537–548. [Google Scholar] [CrossRef]
  38. Wang, F.; Zhang, J.; Mu, W.; Fu, Z.; Zhang, X. Consumers’ perception toward quality and safety of fishery products, Beijing, China. Food Control 2009, 20, 918–922. [Google Scholar] [CrossRef]
  39. Canavari, M.; Centonze, R.; Hingley, M.; Spadoni, R. Traceability as part of competitive strategy in the fruit supply chain. Br. Food J. 2010, 112, 171–186. [Google Scholar] [CrossRef]
  40. Li, C. Sourcing for supplier effort and competition: Design of the supply base and pricing mechanism. Manag. Sci. 2013, 59, 1389–1406. [Google Scholar] [CrossRef]
  41. Chen, J.; Slotnick, A. Supply chain disclosure and ethical sourcing. Int. J. Prod. Econ. 2015, 161, 17–30. [Google Scholar] [CrossRef]
  42. Hsueh, C. Improving corporate social responsibility in a supply chain through a new revenue sharing contract. Int. J. Prod. Econ. 2014, 151, 214–222. [Google Scholar] [CrossRef]
  43. De Castro, P. Mechanisation and Traceability of Agricultural Products: Challenge for the Future. Available online: http://www.cigrjournal.org/index.php/Ejounral/article/view/343/337 (accessed on 13 March 2016).
Figure 1. An instance of optimal sourcing quantities when r > ζ .
Figure 1. An instance of optimal sourcing quantities when r > ζ .
Sustainability 09 00999 g001
Figure 2. Sourcing decision when c N = 2 .
Figure 2. Sourcing decision when c N = 2 .
Sustainability 09 00999 g002
Figure 3. Sourcing decision when c N = 4 .
Figure 3. Sourcing decision when c N = 4 .
Sustainability 09 00999 g003
Figure 4. Sourcing decision under information asymmetry.
Figure 4. Sourcing decision under information asymmetry.
Sustainability 09 00999 g004
Figure 5. Mislabelling with an additional cost.
Figure 5. Mislabelling with an additional cost.
Sustainability 09 00999 g005
Figure 6. Sourcing decision under complete information.
Figure 6. Sourcing decision under complete information.
Sustainability 09 00999 g006
Table 1. Consumer types.
Table 1. Consumer types.
Consumer TypeWTP for the Food ProductsWTP for TraceabilityPortion of Population
Traceability consciousness v r θ
Non-traceability consciousness v 0 1 θ
Table 2. Sourcing strategies under complete information.
Table 2. Sourcing strategies under complete information.
Sourcing Strategy q T * q N * Buyer’s Expected Profit
NT strategy01 ( v c N ) φ f ( t N ) ( v c N ) φ c P
DS strategy θ 1 θ θ ( v + r c T ) ( 1 φ f ( t T ) ) + ( 1 θ ) ( v c N ) ( 1 φ f ( t N ) ) φ c P
TN strategy θ 0 θ ( v + r c T ) φ f ( t T ) θ ( v + r c T )
TM strategy10 ( v c T ) φ f ( t T ) ( v c T )
Table 3. Sourcing strategies under information asymmetry.
Table 3. Sourcing strategies under information asymmetry.
Sourcing Strategy q T * q N * Buyer’s Expected Profit
DS strategy θ 1 θ θ ( v + r c T ) ( 1 φ f ( t T ) ) + ( 1 θ ) ( v c N ) ( 1 φ f ( t N ) ) φ c P
NDL strategy01 ( v + r θ c N ) ( 1 φ f ( t N ) ) φ c P
TDL strategy10 ( v + r θ c T ) ( 1 φ f ( t T ) )

Share and Cite

MDPI and ACS Style

Sun, S.; Wang, X.; Zhang, Y. Sustainable Traceability in the Food Supply Chain: The Impact of Consumer Willingness to Pay. Sustainability 2017, 9, 999. https://doi.org/10.3390/su9060999

AMA Style

Sun S, Wang X, Zhang Y. Sustainable Traceability in the Food Supply Chain: The Impact of Consumer Willingness to Pay. Sustainability. 2017; 9(6):999. https://doi.org/10.3390/su9060999

Chicago/Turabian Style

Sun, Shengnan, Xinping Wang, and Yan Zhang. 2017. "Sustainable Traceability in the Food Supply Chain: The Impact of Consumer Willingness to Pay" Sustainability 9, no. 6: 999. https://doi.org/10.3390/su9060999

APA Style

Sun, S., Wang, X., & Zhang, Y. (2017). Sustainable Traceability in the Food Supply Chain: The Impact of Consumer Willingness to Pay. Sustainability, 9(6), 999. https://doi.org/10.3390/su9060999

Note that from the first issue of 2016, this journal uses article numbers instead of page numbers. See further details here.

Article Metrics

Back to TopTop