Observing Trip Chain Characteristics of Round-Trip Carsharing Users in China: A Case Study Based on GPS Data in Hangzhou City
Abstract
:1. Introduction
1.1. Carsharing System and Use Pattern Research Review
1.1.1. Studies in Europe and North America
1.1.2. Studies in China
1.2. GPS Data Preprocessing and Algorithm for Deriving Trip Information
2. Data and Methods
2.1. Introduction of the Chefenxiang Carsharing System
2.2. Data Overview
2.3. GPS Data Preprocessing
2.4. Concepts of Trip Chain Characteristics Index
2.5. Algorithm for Deriving Trip Information
- Short stay point. This type of stop point usually occurs because of meeting someone, transfers, goods transportation, refueling, or traffic factors such as queuing up and traffic control. In this research, the stop time of a short stay point is 180–720 s.
- Activity point. Usually, stop-time length of the stop points based on work, activities, leisure differ but are generally longer than a short stay point. In this research, the stop time of an activity point is longer than 720 s. Here, “activity” refers to a generalized stop, that is, if the vehicle is stationary for an entire night or a long time, it is also considered as an activity point.
2.6. Clustering Tool: CLARA Algorithm
3. Results and Analysis
3.1. Overview of the Trip Chain Model
3.2. Analysis of Nonactivity Chain Pattern
3.3. Cluster Analysis of Activity Chain Pattern
Cluster Observing
3.4. Analysis of Trip Chain Start and End Time
Observation and Analysis
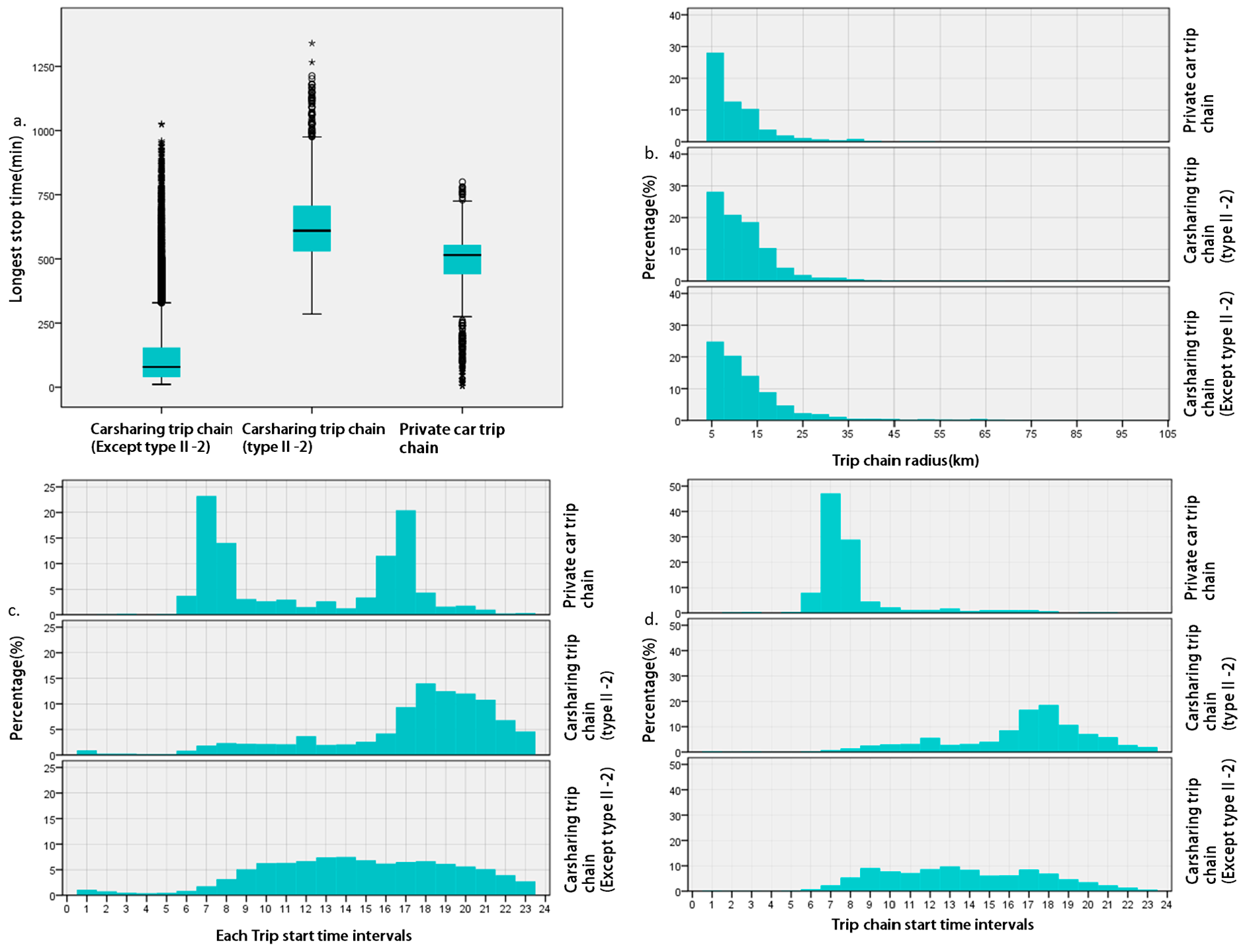
3.5. Comparative Analysis with Home-Based Private Car Trip Chain
3.6. Summary by Patterns
4. Discussion and Conclusions
- (1)
- According to the trip chain characteristics, a round-trip carsharing system set up in Hangzhou City currently presents a multipattern condition, indicating that its position in the Chinese urban transportation system is not distinct. In particular, in addition to the short-term usage pattern for the main purpose of daily or business trips, a high stop rate pattern, which is relevant to commuting trips, exists, although the proportion is not high.
- (2)
- To most daily motorized trips, especially of which purpose are long-stop activities, carsharing may be not a feasible substitute to private cars under the operation mode. In general, private car usage presents smaller trip chain radius and more frequent use in commuting trips. However, in some short-term trips, or continuous multi-activity trips, carsharing can be similarly used as a private car and it is more flexible and convenient than other traffic modes. Moreover, the Chinese private car ownership rate is lower than in European and American countries, but the traffic stress in many big cities is increasing. Under car-ownership restriction polices in some big cities, the cost of owning a private car is quite high. To deal with some urgent demands of car use, carsharing can be considered an important supplement of personal motorization level and remitting car ownership demand.
- (3)
- It must be noted that whether for an enterprise’s individual operation management or traffic administration’s scientific decision about carsharing, the demand patterns of users differ with their usage patterns. An enterprise can analyze a user’s demand in different patterns to manage strategies accordingly. The traffic administration can analyze users’ usage patterns to understand the functional orientation of carsharing. The results provided in this study can also support the improvement of management policies for traffic administration, and the analysis methods can be used in other cases or multi-case studies.
Acknowledgments
Author Contributions
Conflicts of Interest
References
- Shaheen, S.; Martin, E. Assessing Early Market Potential for Carsharing in China: A Case Study of Beijing; Working Paper; Institute of Transportation Studies: Berkeley, CA, USA, 2007. [Google Scholar]
- Martin, E.; Shaheen, S.A.; Lidicker, J. Impact of Carsharing on Household Vehicle Holdings. Transp. Res. Rec. J. Transp. Res. Board 2010, 2143, 150–158. [Google Scholar] [CrossRef]
- Kim, K. Can carsharing meet the mobility needs for the low-income neighbourhoods? Lessons from carsharing usage patterns in New York City. Transp. Res. Part A 2015, 77, 249–260. [Google Scholar]
- Morency, C.; Trepanier, M.; Agard, B.; Martin, B.; Quashie, J. Car Sharing System: What Transaction Datasets Reveal on Users’ Behaviors. In Proceedings of the IEEE Intelligent Transportation Systems Conference, Seattle, WA, USA, 30 September–3 October 2007; pp. 284–289. [Google Scholar]
- Febbraro, A.D.; Sacco, N.; Saeednia, M. One-Way Carsharing: Solving the Relocation Problem. Transp. Res. Rec. J. Transp. Res. Board 2012, 2319, 113–120. [Google Scholar] [CrossRef]
- De Luca, S.; Di Pace, R. Modelling the Propensity in Adhering to a Carsharing System: A Behavioral Approach. Transp. Res. Proc. 2014, 3, 866–875. [Google Scholar] [CrossRef]
- Robert, C.; Creedman, N.; Pohan, M.; Pai, M.; Tsai, Y. City Carshare: Assessment of Intermediate-Term Travel-Behavior Impacts; University of California at Berkeley: Berkeley, CA, USA, 2002. [Google Scholar]
- Robert, C.; Golub, A.; Nee, B. City Carshare: Longer-Term Travel Demand and Car Ownership Impacts. Transp. Res. Rec. 2007, 1992, 70–80. [Google Scholar]
- Habib, K.M.N.; Morency, C.; Islam, M.T.; Grasset, V. Modelling users’ behaviour of a carsharing program: Application of a joint hazard and zero inflated dynamic ordered probability model. Transp. Res. Part A Policy Pract. 2012, 46, 241–254. [Google Scholar] [CrossRef]
- Efthymiou, D.; Antoniou, C.; Waddell, P. Factors affecting the adoption of vehicle sharing systems by young drivers. Transp. Policy 2013, 29, 64–73. [Google Scholar] [CrossRef]
- Schaefers, T. Exploring carsharing usage motives: A hierarchical means-end chain analysis. Transp. Res. Part A 2013, 47, 69–77. [Google Scholar] [CrossRef]
- Hui, Y.; Wang, M. Consuming Demand Incentive of Potential Car Sharing Users and Its Developing Policy: Take Shanghai as a Case Study (EI). In Proceedings of the International Conference on Intelligent Computation Technology and Automation, Changsha, China, 11–12 May 2010; pp. 1031–1034. [Google Scholar]
- Wang, M.; Martin, E.; Shaheen, S. Car Sharing in Shanghai, China: Analysis of Behavior-Ral Response to a Local Survey and Potential Competition. Transp. Res. Rec. 2012, 2319, 86–95. [Google Scholar] [CrossRef]
- Duy, T.V. A Study on Tripers’ Behavior towards Carsharing System: Case of Dalian, China. Master’s Thesis, Dalian University of Technology, Dalian, China, 2016. [Google Scholar]
- Zhang, Y.; Guo, H.; Wang, H.; Wang, X. Modeling Acceptance of Electric Vehicle Sharing based on Theory of Planned Behavior. Road Traffic Secur. 2015, 4, 25–31. [Google Scholar]
- Zhao, S. Research on o2o shared economic business model—Example of car shared business. Master’s Thesis, Capital University of Economics and Business, Beijing, China, 2015. [Google Scholar]
- Ye, L.; Yang, D. The development and application research of car-sharing and motorized management. China Popul. Resour. Environ. 2010, 20, 243–247. [Google Scholar]
- Wenxiang, L. Siting of Carsharing Stations Based on Spatial Multi-Criteria Evaluation: A Case Study of Shanghai EVCARD. Sustainability 2017, 9, 152. [Google Scholar] [CrossRef]
- Zhang, Z. Deriving Trip Information from GPS Trajectories. Ph.D. Thesis, East China Normal University, Shanghai, China, 2010. [Google Scholar]
- Bohte, W.; Maat, K. Deriving and Validating Trip Destinations and Modes for Multiday GPS-Based Travel Surveys: Application in the Netherlands. Demog. Res. 2008, 31, 813–860. [Google Scholar]
- Vidalakis, L. Observing Travel Behaviour from GPS Data—A Tool Comparison Survey in the Torino Metropolitan Area. Ph.D. Thesis, Gps Travel Suryeys, Politecnico di TORINO, Turin, Italy, 2013. [Google Scholar]
- Wolf, J.L. Using GPS data loggers to replace travel diaries in the collection of travel data. Ph.D. Thesis, Georgia Institute of Technology, School of Civil and Environmental Engineering, Atlanta, GA, USA, 2000. [Google Scholar]
- Elliott, M.; Kennish, M. J. Using Global Positioning Systems and Personal Digital Assistants for Personal Travel Surveys in the United States. Trans. Res. Circ. 2000, 110, 1–15. [Google Scholar]
- Doherty, S.T.; Miller, E.J. A computerized household activity scheduling survey. Transportation 2000, 27, 75–97. [Google Scholar] [CrossRef]
- Wu, L. A GPS-based Research on the Driving Patterns of Private Passenger Vehicle in Beijing. Master’s Thesis, Tsinghua University, Beijing, China, 2013. [Google Scholar]
- Stopher, P.; Jiang, Q.; Fitzgerald, C. Processing GPS Data from Travel Surveys. 2005. Available online: http://atrf.info/papers/2005/2005_stopher_jiang_fitzgerald.pdf (accessed on 4 June 2017).
- Du, J.; Aultman-Hall, L. Increasing the accuracy of trip rate information from passive multi-day GPS travel datasets: Automatic trip end identification issues. Transp. Res. Part A Policy Pract. 2007, 41, 220–232. [Google Scholar] [CrossRef]
- Kaufman, L.; Rousseeuw, P. J. Finding Groups in Data: An Introduction to Cluster Analysis; John Wiley: New York, NY, USA, 1990. [Google Scholar]
- Castro, J.; Punzón, A.; Pierce, G.J.; Marín, M.; Abad, E. Identification of métiers of the Northern Spanish coastal bottom pair trawl fleet by using the partitioning method CLARA. Fish. Res. 2010, 102, 184–190. [Google Scholar] [CrossRef]
- Fang, K. A Study on Algorithm of Classification and Cluster Based on Data Mining and Realization by R Programe. Master’s Thesis, Jinan University, Guangzhou, China, 2007. [Google Scholar]








| Column | Data Type | Explanation |
|---|---|---|
| Orderid | CHAR | Identification of one rent process, unique |
| Carnumber | VARCHAR | License number of vehicle |
| Add_time | DATETIME | Return time of data |
| Rented | BOOLEANS | 1 = ’been rented’; 0 = ’for rent’ |
| Speed | INT | Instantaneous speed of return time |
| Longitude | FLOAT | Longitude of vehicle position |
| Latitude | FLOAT | Latitude of vehicle position |
| Cluster | 1 | 2 | 3 | 4 | |
|---|---|---|---|---|---|
| Cluster size (% of the 23,657 cases) | 5739 (24.3%) | 2894 (12.2%) | 13,993 (59.1%) | 1031 (4.4%) | |
| Cluster centers | Number of activity points | 5 | 2 | 2 | 3 |
| Trip chain radius (km) | 12 | 7 | 9 | 61 | |
| Stop-trip Time rate | 1.74 | 10.89 | 1.50 | 0.97 | |
| Cluster | 1 | 2 | 3 | 4 |
|---|---|---|---|---|
| Max dissimilarity | 7.22 | 66.81 | 3.41 | 23.73 |
| Average dissimilarity | 1.36 | 2.38 | 0.96 | 3.44 |
| Isolation | 3.6 | 21.4 | 1.7 | 4.0 |
| Groups | TypeI Nonactivity Chain | TypeII-1 Multi-Activity Point Pattern | TypeII-2 High Stop Rate Pattern | TypeII-3 Common Use Pattern | TypeII-4 Long-Distance Pattern |
|---|---|---|---|---|---|
| Proportion | 9.0% | 22.1% | 11.1% | 53.8% | 4.0% |
| Number of activity point | Non | almost >4 | almost <3 | all <3 | main in 1–7 |
| Trip chain radius | skew to small side | Common | Common | Common | Long (almost >25 km) |
| Stop time rate | Almost zero | Common | High | Common | Common |
| Longest stop time | Almost zero | Mostly within 3 h and a part of 8–10 h | More between 10 and 14 h and less between 1 and 3 h | Mostly short stop (<3 h) | Mostly within 3 h and quite smooth |
| Start and end time distribution | Disperse (main in daytime) | Conspicuous peak hours of Start time: 16–18 End time: 8–10 | Conspicuous peak hours of Start time: 16–18 End time: 8–10 | Disperse (main in daytime) | Inconspicuous peak hours Start usually at forenoon and end usually in evening |
| Probable trip purpose | Connection transportation etc. | Various trip purpose in a rent cycle | Containing Commuting | Daily trip or Business trip | Outing or visiting Usually in off day and holiday |
| Substitutability and inference of preference | Suit transit or taxi, depend on preference and actual demand | Multi-trip is more suitable to vehicle than taxi or transit | Prefer to choose car in trip, like a transition before owing private car | Suit transit or taxi, depend on preference and actual demand | Similar to traditional car rental service and private car |
© 2017 by the authors. Licensee MDPI, Basel, Switzerland. This article is an open access article distributed under the terms and conditions of the Creative Commons Attribution (CC BY) license (http://creativecommons.org/licenses/by/4.0/).
Share and Cite
Hui, Y.; Ding, M.; Zheng, K.; Lou, D. Observing Trip Chain Characteristics of Round-Trip Carsharing Users in China: A Case Study Based on GPS Data in Hangzhou City. Sustainability 2017, 9, 949. https://doi.org/10.3390/su9060949
Hui Y, Ding M, Zheng K, Lou D. Observing Trip Chain Characteristics of Round-Trip Carsharing Users in China: A Case Study Based on GPS Data in Hangzhou City. Sustainability. 2017; 9(6):949. https://doi.org/10.3390/su9060949
Chicago/Turabian StyleHui, Ying, Mengtao Ding, Kun Zheng, and Dong Lou. 2017. "Observing Trip Chain Characteristics of Round-Trip Carsharing Users in China: A Case Study Based on GPS Data in Hangzhou City" Sustainability 9, no. 6: 949. https://doi.org/10.3390/su9060949
APA StyleHui, Y., Ding, M., Zheng, K., & Lou, D. (2017). Observing Trip Chain Characteristics of Round-Trip Carsharing Users in China: A Case Study Based on GPS Data in Hangzhou City. Sustainability, 9(6), 949. https://doi.org/10.3390/su9060949
