The Collective Strategies of Major Stakeholders in Land Expropriation: A Tripartite Game Analysis of Central Government, Local Governments, and Land-Lost Farmers
Abstract
:1. Introduction
2. Tripartite Evolutionary Game Model in Land Expropriation
2.1. The Tripartite Game Relationships
2.2. Symbol Descriptions
2.3. The Replicated Dynamic Equations of the Tripartite Game
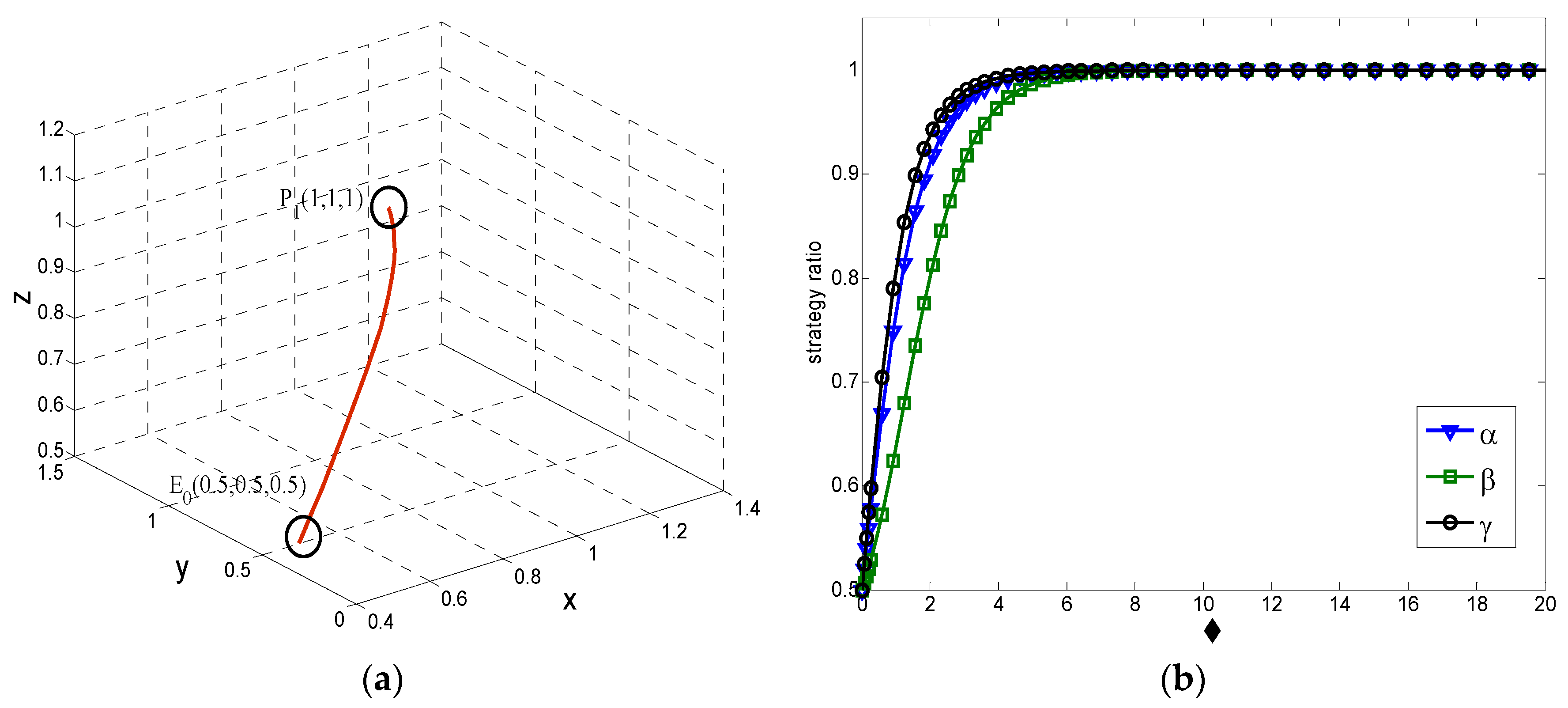
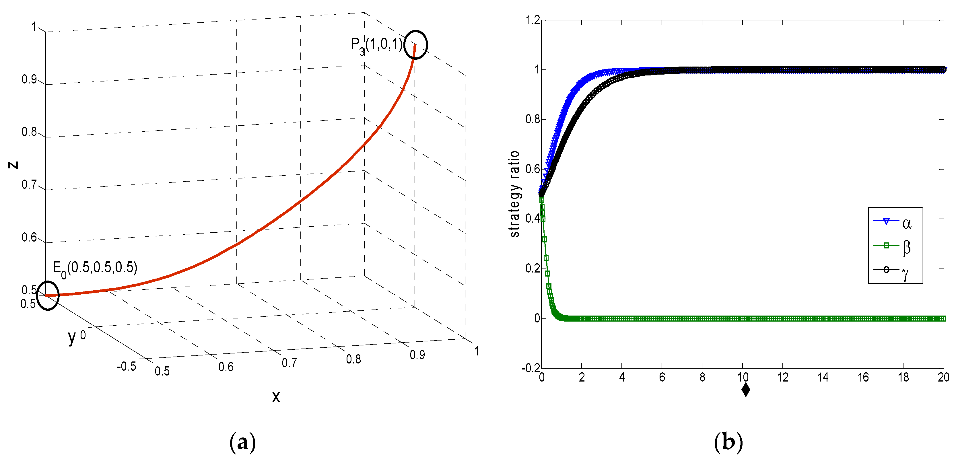
2.4. Tripartite Evolutionary Game Equilibrium Analyses
3. Analysis of Influencing Factors
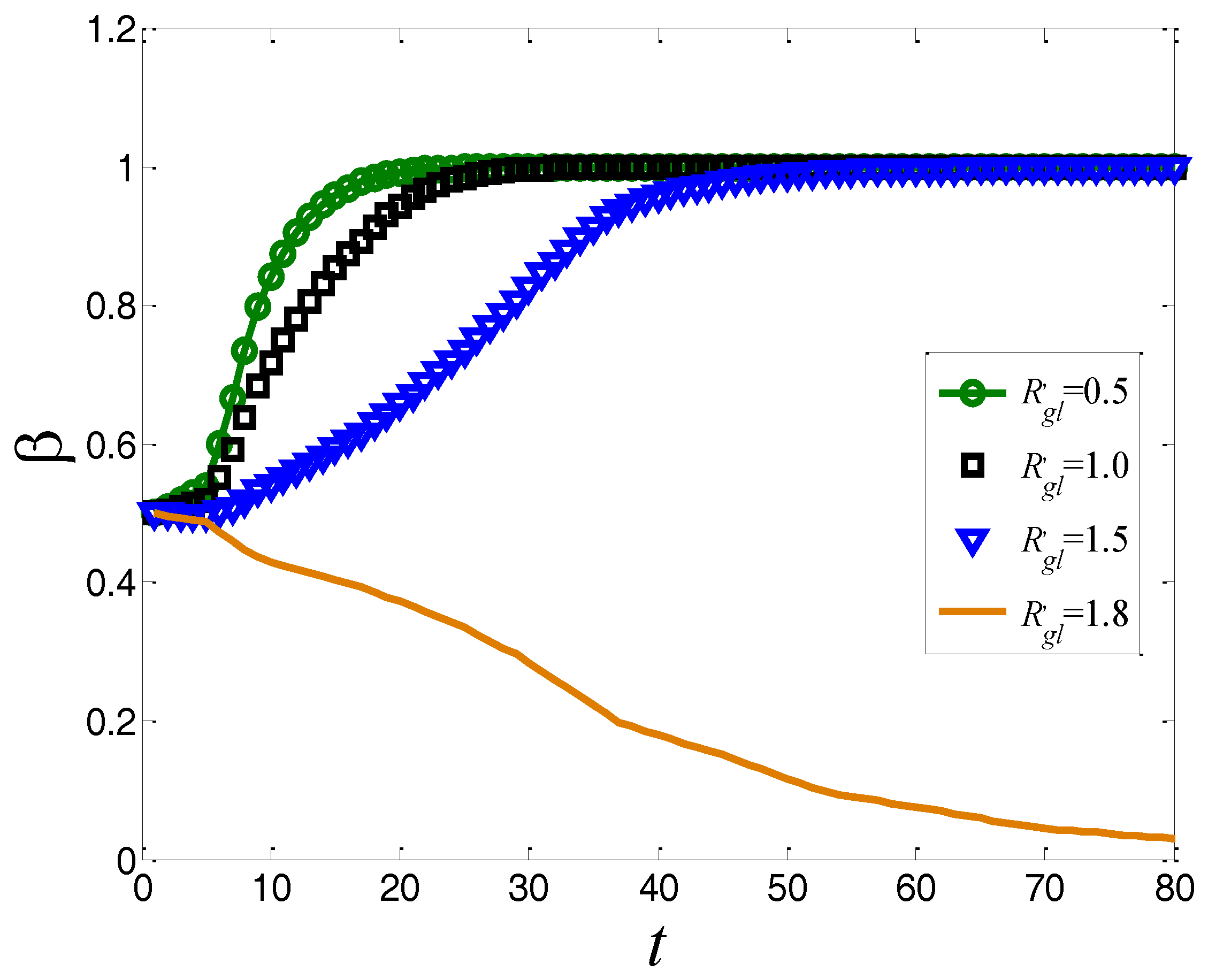
3.1. The Supervised Costs of the Central Government
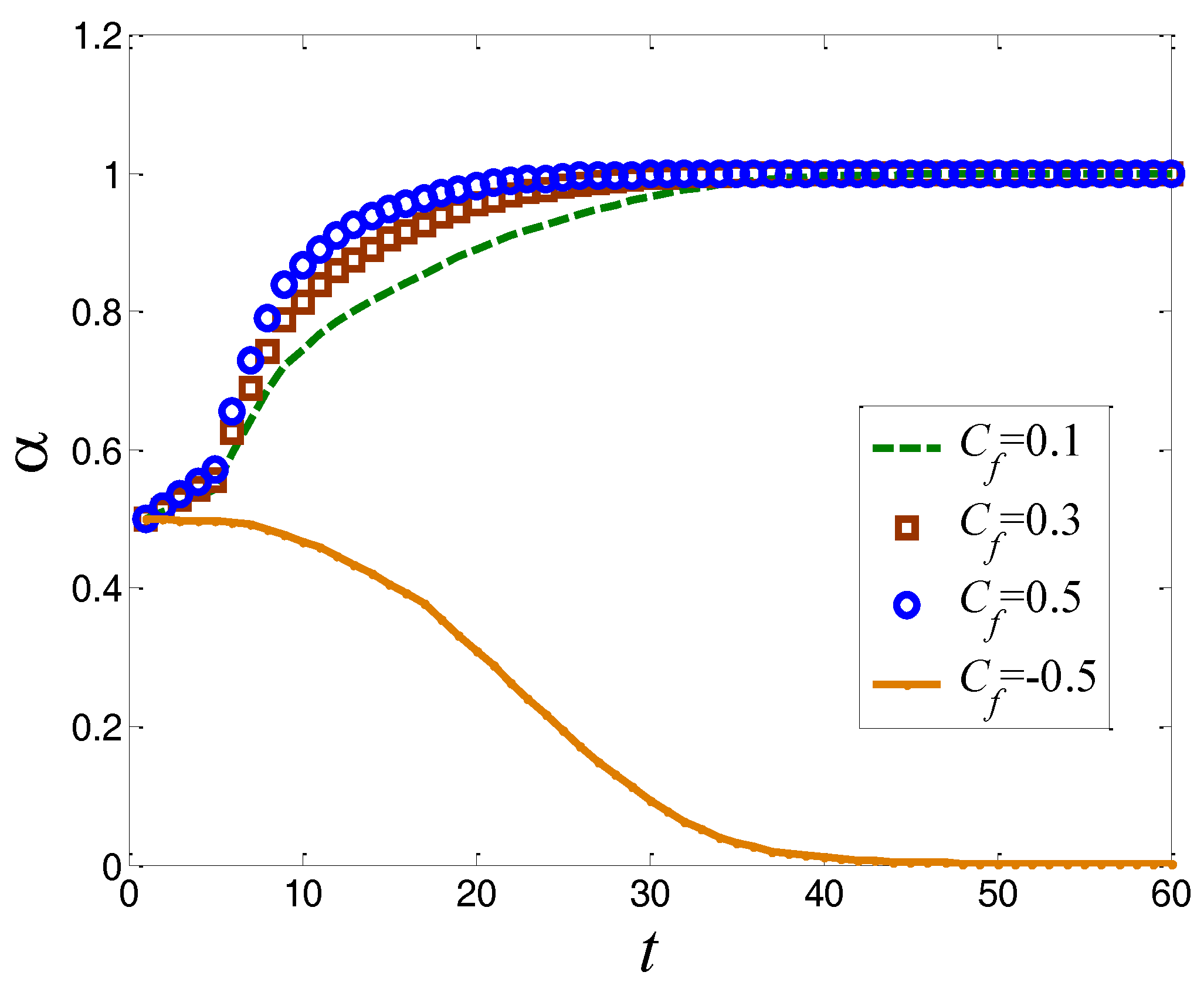
3.2. The Punishment for the Illegal Strategy of the Local Government P
3.3. The Benefits from Illegal Expropriation of the Local Government
3.4. The Costs of Farmers in Safeguarding their Rights
4. Conclusions and Suggestions
Acknowledgments
Author Contributions
Conflicts of Interest
References
- Peng, Y. A comparison of two approaches to develop concentrated rural settlements after the 5.12 Sichuan Earthquake in China. Habitat Int. 2015, 49, 230–242. [Google Scholar] [CrossRef]
- Bao, H.J.; Peng, Y. Effect of land expropriation on land-lost farmers’ entrepreneurial action—A case study of Zhejiang Province. Habitat Int. 2016, 53, 342–349. [Google Scholar] [CrossRef]
- Ding, C.R. Policy and praxis of land acquisition in China. Land Use Policy 2007, 24, 1–13. [Google Scholar] [CrossRef]
- Tan, S.K. Exploring the causes of the frequent land conflicts in China. China Land Sci. 2009, 23, 44–50. [Google Scholar]
- Tan, S.K.; Shan, T.U. The game theory analysis on the stakeholders involved in farmland-acquisition conflicts: Taking the local government and land-lost peasants as an example. China Land Sci. 2009, 23, 27–32. [Google Scholar]
- Xu, Y.; Tang, B.S.; Chan, E.H.W. State-led land requisition and transformation of rural villages in transitional China. Habitat Int. 2011, 35, 57–65. [Google Scholar] [CrossRef]
- Li, H.B.; Li, B.L.; Li, S.M. Governance mechanism on land-expropriation conflicts in the minorities areas of western China. China Land Sci. 2013, 3, 17–23. [Google Scholar]
- Bao, H.J.; Ye, Q.Y.; Xu, S.M. Conflicts and governance of rural collective-ownership land expropriation: An interdisplinary literature comment. China Land Sci. 2014, 28, 82–88. [Google Scholar]
- Song, Y.; Wang, M.Y.; Lei, X. Following the money: Corruption, conflict, and the winners and losers of suburban land acquisition in China. Geogr. Res. 2015, 54, 86–102. [Google Scholar] [CrossRef]
- Feng, Y.Y. Review of the cause, strategy and theoretical orientation of rural land conflict research review. Res. Soc. Dev. 2016, 1, 219–232. [Google Scholar]
- Lin, G.C.S.; Ho, S.P.S. The state, land system, and land development processes in contemporary China. Ann. Assoc. Am. Geogr. 2005, 95, 411–436. [Google Scholar] [CrossRef]
- Lynette, H.O. State-led urbanization in China: Skyscrapers, land revenue and “concentrated villages”. China Q. 2014, 217, 162–179. [Google Scholar]
- Cao, G.; Feng, C.; Tao, R. Local “land finance” in China’s urban expansion: Challenges and solutions. China World Econ. 2008, 16, 19–30. [Google Scholar] [CrossRef]
- Guo, X.L. Land expropriation and rural conflicts in China. China Q. 2001, 166, 422–439. [Google Scholar] [CrossRef]
- Ho, S.P.S.; Lin, G.C.S. Emerging land markets in rural and urban China: Policies and practices. China Q. 2003, 175, 681–707. [Google Scholar] [CrossRef]
- Zou, X.Q.; Zhong, X.Y.; Xiao, Z.G.; Song, X. Dynamic game analysis among local government, central government, and peasants in the conflicts of farmland acquisition. China Land Sci. 2012, 26, 54–60. (In Chinese) [Google Scholar]
- Sargeson, S. Violence as development: Land expropriation and China’s urbanization. J. Peasant. Stud. 2013, 40, 1063–1085. [Google Scholar] [CrossRef]
- Alvin, Y.S. Peasant conflict and the local predatory state in the Chinese countryside. J. Peasant. Stud. 2007, 34, 560–581. [Google Scholar]
- Bao, H.J.; Zhu, X.T.; Cen, Y.Y.; Peng, Y.; Xue, J.B. Effects of social network on human capital of land-lost farmers: A study in Zhejiang Province. Soc. Indic. Res. 2017. [Google Scholar] [CrossRef]
- Peng, Y.; Shen, Q.P.; Shen, L.Y.; Lu, C.; Yuan, Z. A generic decision model for developing concentrated rural settlement in post-disaster reconstruction: A China study. Nat. Hazards 2014, 71, 611–637. [Google Scholar] [CrossRef]
- Samsura, D.A.A.; Krabben, E.V.D.; Deemen, A.M.A.V. A game theory approach to the analysis of land and property development processes. Land Use Policy 2009, 27, 564–578. [Google Scholar] [CrossRef]
- Bao, H.J.; Peng, Y.; Ablanedo-Rosas, J.H.; Gao, H.M. An alternative incomplete information bargaining model for identifying the reasonable concession period of a BOT project. Int. J. Proj. Manag. 2015, 33, 1151–1159. [Google Scholar] [CrossRef]
- Weibull, J. Evolutionary Game Theory; MIT Press: Cambridge, MA, USA, 1995; Volume 38, pp. 847–858. [Google Scholar]
- Peng, Y.; Shen, L.Y.; Zhang, X.L.; Ochoa, J.J. The feasibility of concentrated rural settlement in a context of post-disaster reconstruction: A study of China. Disasters 2014, 38, 108–124. [Google Scholar] [CrossRef] [PubMed]
- Liang, X.; Peng, Y.; Shen, G.Q. A game theory based analysis of decision making for green retrofit under different occupancy types. J. Clean. Prod. 2016, 137, 1300–1312. [Google Scholar] [CrossRef]
- Tan, S.K.; Qi, R. Analyzing land expropriation conflicts in China: Based on a newly-built game model. China Land Sci. 2010, 24, 25–41. [Google Scholar]
- Peng, X.B.; Tan, R.; Hu, Y. A study on the game of the dispute of the urban house demolition and countermeasures. J. Chongqing Univ. 2005, 11, 19–23. [Google Scholar]
- Hui, E.C.M.; Bao, H.J. The logic behind conflicts in land acquisitions in contemporary China: A framework based upon game theory. Land Use Policy 2013, 30, 373–380. [Google Scholar] [CrossRef]
- Cheng, Y.L.; Liu, R.Y. Game analysis about conflict of interest between farmers and local government in farmland acquisition. Resour. Dev. Mark. 2016, 32, 196–202. [Google Scholar]
- Yuan, F.C.; Yan, X.C. Trilateral game analysis on collective construction land transfer in view of local governments, rural collectives and land using enterprises. China Land Sci. 2009, 23, 58–63. [Google Scholar]
- Xie, Z.Y. Economic Game Theory; Fu Dan University Press: Shanghai, China, 2004. (In Chinese) [Google Scholar]
- Sun, Q.W.; Liu, L.U.; Yan, G.L.; Che, H.A. Asymptotic Stability of Evolutionary Equilibrium under Imperfect Knowledge. Syst. Eng. Theory Pract. 2003, 7, 11–16. [Google Scholar]
- Ma, Z.E.; Zhou, Y.C. Qualitative and Stability Method of Ordinary Differential Equation Qualitative and Stability Method; Science Press: Beijing, China, 2001. (In Chinese) [Google Scholar]
- Polkinghorne, J.C.; David, A. Ordinary Differential Equations Using MATLAB; Prentice Hall: New Jersey, NJ, USA, 1999. [Google Scholar]
- Anyigor, C.; Afiukwa, J. Application of matlab ordinary differential equation function solver (ode45) in modelling and simulation of batch reaction kinetics. Am. J. Sci. Ind. Res. 2013, 4, 285–287. [Google Scholar] [CrossRef]
- Liu, Y.; Yue, W.; Fan, P.; Peng, Y.; Zhang, Z. Financing China’s suburbanization: Capital accumulation through suburban land development in Hangzhou. Int. J. Urban Reg. Res. 2017, in press. [Google Scholar]
- Peng, Y.; Lai, Y.N.; Li, X.W.; Zhang, X.L. An alternative model for measuring the sustainability of urban regeneration: The way forward. J. Clean. Prod. 2015, 109, 76–83. [Google Scholar] [CrossRef]









| Symbols | Stakeholders | Descriptions |
|---|---|---|
| Central government | The promotion of credibility when adopts the supervised strategy | |
| The supervision costs | ||
| The loss of credibility when adopts the unsupervised strategy | ||
| Local government | The benefits when adopts the legal expropriation strategy | |
| The benefits when adopts the illegal expropriation strategy | ||
| The punishment from central government when adopt illegal strategy | ||
| The extra compensation they pay to peasants when the illegal behavior is investigated by central government | ||
| Land-lost peasants | The compensation when local government adopt legal strategy | |
| The compensation when local government adopt illegal strategy | ||
| The costs in safeguarding their rights | ||
| The extra benefits when they resist local government’s illegal strategy |
| Land-Lost Peasants | Central Government | ||
|---|---|---|---|
| Local Government | Supervised () | Unsupervised () | |
| Legal () | Accept () | ||
| Resist () | ) | ) | |
| Illegal () | Accept () | ( | |
| Resist () | |||
© 2017 by the authors. Licensee MDPI, Basel, Switzerland. This article is an open access article distributed under the terms and conditions of the Creative Commons Attribution (CC BY) license (http://creativecommons.org/licenses/by/4.0/).
Share and Cite
Li, Q.; Bao, H.; Peng, Y.; Wang, H.; Zhang, X. The Collective Strategies of Major Stakeholders in Land Expropriation: A Tripartite Game Analysis of Central Government, Local Governments, and Land-Lost Farmers. Sustainability 2017, 9, 648. https://doi.org/10.3390/su9040648
Li Q, Bao H, Peng Y, Wang H, Zhang X. The Collective Strategies of Major Stakeholders in Land Expropriation: A Tripartite Game Analysis of Central Government, Local Governments, and Land-Lost Farmers. Sustainability. 2017; 9(4):648. https://doi.org/10.3390/su9040648
Chicago/Turabian StyleLi, Qiuxiang, Haijun Bao, Yi Peng, Haowen Wang, and Xiaoling Zhang. 2017. "The Collective Strategies of Major Stakeholders in Land Expropriation: A Tripartite Game Analysis of Central Government, Local Governments, and Land-Lost Farmers" Sustainability 9, no. 4: 648. https://doi.org/10.3390/su9040648
APA StyleLi, Q., Bao, H., Peng, Y., Wang, H., & Zhang, X. (2017). The Collective Strategies of Major Stakeholders in Land Expropriation: A Tripartite Game Analysis of Central Government, Local Governments, and Land-Lost Farmers. Sustainability, 9(4), 648. https://doi.org/10.3390/su9040648
