Energy Storage System Sizing Based on a Reliability Assessment of Power Systems Integrated with Wind Power
Abstract
:1. Introduction
- (1)
- Introduction of the definition of the capacity value of energy storage (CVES) metrics, in terms of the available capacity; the renewable energy-oriented available capacity metrics are extended to access the energy storage system generator adequacy contribution. Moreover, new CVES metrics are defined to quantify the energy storage that can displace the generation capacity.
- (2)
- The adequacy-oriented models of the energy storage available capacity. In addition to the CVES metrics, an assessment model is proposed for the energy storage system, regarding the roles of the key parameters for the CVES analysis.
- (3)
- An algorithm based on a cooperative equivalent firm capacity to evaluate the CVES metrics in detail by applying this framework to the CVES. Two case studies provide general insights into the CVES concept with different influencing factors.
2. Capacity Value of Energy Storage
2.1. Definition of the Capacity Value of Energy Storage
2.2. EFC Method for Calculating the Capacity Value of Energy Storage
2.3. The Algorithm Flowchart for the Capacity Value Based on the EFC Method
- (1)
- Input the data of the original power system, such as the load level, the wind speed, the wind turbine model and related parameters, and the energy storage model and related parameters.
- (2)
- Calculate the load loss probability of the wind-integrated system at hour i, after the energy storage is added.
- (3)
- Calculate the HLOLE0 of the power system integrated with wind power within the time period using Equation (9). When the load demand is larger than the available capacity at hour i, the HLOLE0 is accumulated. In addition, when the load demand is smaller than the available capacity, the value of HLOLE0 remains the same.
- (4)
- Save the value of HLOLE0 of the wind-integrated power system with energy storage devices.
- (5)
- Replace the capacity of the energy storage system with the firm capacity.
- (6)
- Adjust the value of the firm capacity, CEFC.
- (7)
- Calculate the load loss probability of the wind-integrated system at hour i, after the firm capacity is added.
- (8)
- Calculate the value of the HLOLEf of the power system integrated with wind power within the time period using Equation (10).
- (9)
- Check whether Equation (11) is met.
- (10)
- If Equation (11) is not met, return to step (6) to adjust the value of the firm capacity; if Equation (11) is met, then the value of the HLOLE0 is equal to HLOLEf. In addition, the value of the firm capacity is equal to the capacity value of energy storage.
2.4. Communication System
3. System Models
3.1. Modeling Load
3.2. Modeling the Wind Power
3.3. Modeling the Energy Storage
3.3.1. Charging and Discharging
3.3.2. Energy Stored in the Energy Storage System
3.3.3. Available Power of Energy Storage
3.3.4. Charging Power Period of Energy Storage
4. Simulation Results
4.1. System Analysis
4.2. Sensitive Analysis
4.2.1. Impact of the Load
4.2.2. Impact of the Wind Power
4.2.3. Impact of the energy storage
5. Conclusions
- (1)
- Presenting the CVES to quantitatively weigh the contribution of EES to the generation adequacy.
- (2)
- The CVES provides a feasible solution to quantitatively weigh the contributions of energy storage. In addition, it is related to the system load demand, the output power of wind turbines and the characteristics of energy storage devices.
- (3)
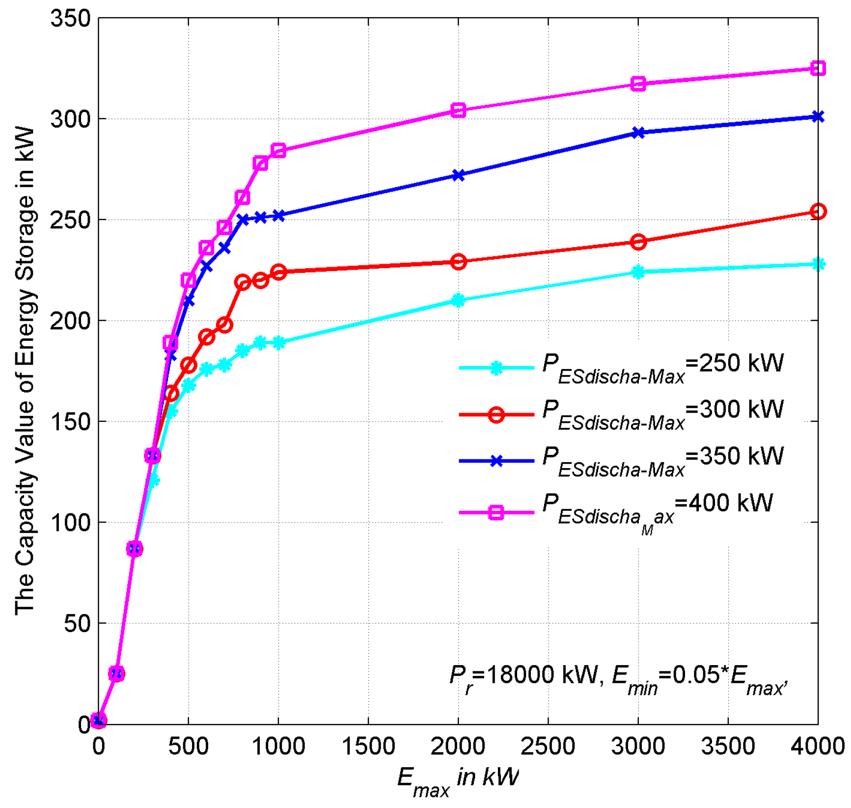
- The peak load and the rated power of the wind turbines are comprehensively considered for the energy storage capacity optimization allocation. If the supply power is adequate, energy storage system is not used to the fullest. Therefore, the CVES value is low. In addition, when the energy storage is sufficiently utilized, the CVES value reaches a maximum. There is no point in continuing to increase the energy storage capacity. Therefore, using the CVES, we can obtain a suitable energy storage capacity allocation scheme.
- (4)
- When the energy storage devices are integrated to the grid, the system reliability is effectively improved, and the CVES values rapidly increases during this stage. Then, with the increase in Emax, the CVES increases until reaching a stable value. In addition, the Emax increases as well, but the contribution of the energy storage to the grid reliability did not increase. Therefore, the CVES values remain constant.
- (5)
- The failure rate and repair rate of the energy storage and temperature affects the CVES. With the same parameters, if the energy storage system is not used fully, the influence of the temperature and failure rate of energy storage on the CVES is not apparent. However, if the energy storage system is more fully used, the CVES decreases if the ambient temperature and the failure rate and repair rate are considered.
Acknowledgments
Author Contributions
Conflicts of Interest
Nomenclature
| Capacity Value Estimate Parameters and Variables: | |
| Pwind_total | Total output power of the wind turbines (kW) |
| PES | Output power of the energy storage system (kW) |
| HLOLE | Hourly loss of load expectation |
| Gi | Available capacity at hour i (kW) |
| Li | Actual load level at hour i (kW) |
| PL | Load power (kW) |
| n | Total number of hours in a year |
| Wind Power Model Parameters: | |
| v | Wind speed (m/s) |
| Pr | Rated output power of wind turbines (kW) |
| Cin | Parameter related to the cut-in wind speed of wind turbines |
| Crate | Parameter related to the rated wind speed of wind turbines |
| Cout | Parameter related to the cut-out wind speed of wind turbines |
| C1, C2, C3 | Parameters related to the wind turbines |
| PWind | Output power of a wind turbine (kW) |
| Energy Storage Model Parameters: | |
| SOC | State of charge |
| PES_output | Power of the energy storage system (kW) |
| Pstatus_cha | Charging power of the energy storage system (kW) |
| Pstatus_discha | Discharging power of the energy storage system (kW) |
| Ebat | Energy stored in the energy storage system (kWh) |
| PAvailable(h) | Available power of the energy storage system at hour h (kW) |
| PEScha_Max | Maximum charging power of the energy storage system (kW) |
| PESdischa_Max | Maximum discharge power of the energy storage system (kW) |
| Eoutput(h) | Output energy of the energy storage system at hour h (kWh) |
| T | Sampling time period (h) |
| Emin | Lower limit energy stored in the energy storage system (kWh) |
| Emax | Upper limit energy stored in the energy storage system (kWh) |
References
- Marzband, M.; Ardeshiri, R.R.; Moafi, M.; Uppal, H. Distributed generation for economic benefit maximization through coalition formation-based game theory concept. Int. Trans. Electr. Energy Syst. 2017, 1–16. [Google Scholar] [CrossRef]
- Marzband, M.; Parhizi, N.; Savaghebi, M.; Guerrero, J.M. Distributed smart decision-making for a multimicrogrid system based on a hierarchical interactive architecture. IEEE Trans. Energy Convers. 2016, 31, 637–648. [Google Scholar] [CrossRef]
- Hu, P.; Karki, R.; Billinton, R. Reliability evaluation of generating systems containing wind power and energy storage. IET Gener. Transm. Distrib. 2009, 3, 783–791. [Google Scholar] [CrossRef]
- Wang, J.C.; Wang, X.R. A control strategy for smoothing active power fluctuation of wind farm with flywheel energy storage system based on improved wind power prediction algorithm. Energy Power Eng. 2013, 5, 387–392. [Google Scholar] [CrossRef]
- Sebastián, R. Smooth transition fromwind only to wind dieselmode in an autonomous wind diesel system with a battery-based energy storage system. Renew. Energy 2008, 33, 454–466. [Google Scholar] [CrossRef]
- Bahmani-Firouzi, B.; Azizipanah-Abarghooee, R. Optimal sizing of battery energy storage for micro-grid operation management using a new improved batalgorithm. Renew. Energy 2014, 56, 42–54. [Google Scholar]
- Francesco, M.; Guangya, Y.; Chresten, T.; Jacob, O.; Esben, L. A decentralized storage strategy for residential feeders with photovoltaics. IEEE Trans. Smart Grid 2014, 5, 974–981. [Google Scholar]
- Danny, P.; Marko, A.; Predrag, D.; Goran, S. Whole-systems assessment of the value of energy storage in low-carbon electricity systems. IEEE Trans. Smart Grid 2014, 5, 1098–1109. [Google Scholar]
- Sioshansi, R.; Madaeni, S.H.; Denholm, P. A dynamic programming approach to estimate the capacity value of energy storage. IEEE Trans. Power Syst. 2014, 29, 395–403. [Google Scholar] [CrossRef]
- Castro, R.; Ferreira, L. A comparison between chronological and probabilistic methods to estimate wind power capacity credit. IEEE Trans. Power Syst. 2001, 16, 904–909. [Google Scholar] [CrossRef]
- Amelin, M. Comparison of capacity credit calculation methods for conventional power plants and wind power. IEEE Trans. Power Syst. 2009, 24, 685–691. [Google Scholar] [CrossRef]
- Haslett, J.; Diesendorf, M. The capacity credit of wind power: A theoretical analysis. Sol. Energy 1981, 26, 391–401. [Google Scholar] [CrossRef]
- Zachary, S.; Dent, C.J.; Zachary, S. Probability theory of capacity value of additional generation. Proc. Inst. Mech. Eng. Part O J. Risk Reliab. 2012, 226, 33–43. [Google Scholar] [CrossRef]
- Usaola, J. Capacity credit of concentrating solar power. IET Renew. Power Gener. 2013, 7, 680–688. [Google Scholar] [CrossRef]
- Zhu, S.; Zhang, Y.; Chowdhury, A.A. Capacity credit of wind generation based on minimum resource adequacy procurement. IEEE Trans. Ind. Appl. 2012, 48, 730–735. [Google Scholar] [CrossRef]
- Garver, L.L. Effective load carrying capability of generating units. IEEE Trans. Power Appar. Syst. 1966, PAS-85, 910–919. [Google Scholar] [CrossRef]
- Gao, Z.X.; Mao, A.J.; Chen, D.Z.; Song, Y.T. A wind farm capacity credibility calculation method based on parabola. Appl. Mech. Mater. 2014, 472, 953–957. [Google Scholar] [CrossRef]
- Handschy, M.A.; Rose, S.; Apt, J. Is it always windy somewhere? Occurrence of low-wind-power events over large areas. Renew. Energy 2017, 101, 1124–1130. [Google Scholar] [CrossRef]
- Da Silva, A.M.L.L.; Sales, W.S.; Da Fonseca Manso, L.A.; Billinton, R. Long-term probabilistic evaluation of operating reserve requirements with renewable sources. IEEE Trans. Power Syst. 2010, 25, 106–116. [Google Scholar] [CrossRef]
- Perez, R.; Taylor, M.; Hoff, T.; Ross, J.P. Reaching consensus in the definition of photovoltaics capacity credit in the USA: A practical application of satellite-derived solar resource data. J. Abbr. 2008, 1, 28–33. [Google Scholar] [CrossRef]
- Zhang, N.; Kang, C.; Kirschen, D.S.; Xia, Q. Rigorous model for evaluating wind power capacity credit. IET Renew. Power Gener. 2013, 7, 504–513. [Google Scholar] [CrossRef]
- Marzband, M.; Javadi, M.; Domínguez-García, J.L.; Moghaddam, M.M. Non-cooperative game theory based energy management systems for energy district in the retail market considering DER uncertainties. IET Gener. Transm. Distrib. 2016, 10, 2999–3009. [Google Scholar] [CrossRef]
- Marzband, M.; Azarinejadian, F.; Savaghebi, M.; Guerrero, J.M. An optimal energy management system for islanded microgrids based on multiperiod artificial bee colony combined with markov chain. IEEE Syst. J. 2015. [Google Scholar] [CrossRef]
- Marzband, M.; Yousefnejad, E.; Sumper, A.; Domínguez-García, J.L. Real time experimental implementation of optimum energy management system in standalone Microgrid by using multi-layer ant colony optimization. Int. J. Electr. Power Energy Syst. 2016, 75, 265–274. [Google Scholar] [CrossRef]
- Marzband, M.; Majid, G.; Sumper, A.; Domínguez-García, J.L. Experimental validation of a real-time energy management system using multi-period gravitational search algorithm for microgrids in islanded mode. Appl. Energy 2014, 128, 164–174. [Google Scholar] [CrossRef]
- Marzband, M.; Sumper, A.; Ruiz-Álvarez, A.; Domínguez-García, J.L.; Tomoiagă, B. Experimental evaluation of a real time energy management system for stand-alone microgrids in day-ahead markets. Appl. Energy 2013, 106, 365–376. [Google Scholar] [CrossRef]
- Booth, R.R. Power system simulation model based on probability analysis. IEEE Trans. Power Appar. Syst. 1972, 91, 62–69. [Google Scholar] [CrossRef]
- Bagen; Billinton, R. Incorporating well-being considerations in generating systems using energy storage. IEEE Trans. Energy Convers. 2005, 20, 225–230. [Google Scholar] [CrossRef]
- Wang, M.Q.; Gooi, H.B. Spinning reserve estimation in microgrids. IEEE Trans. Power Syst. 2011, 26, 1164–1174. [Google Scholar] [CrossRef]
- Bhuiyan, F.A.; Yazdani, A. Reliability assessment of a wind-power system with integrated energy storage. IET Renew. Power Gener. 2010, 4, 211–220. [Google Scholar] [CrossRef]
- Bahramirad, S.; Reder, W.; Khodaei, A. Reliability-constrained optimal sizing of energy storage system in a microgrid. IEEE Trans. Smart Grid 2012, 3, 2056–2062. [Google Scholar] [CrossRef]
- Wangdee, W.; Billinton, R. Considering load-carrying capability and wind speed correlation of WECS in generation adequacy assessment. IEEE Trans. Energy Convers. 2006, 21, 734–741. [Google Scholar] [CrossRef]
- Caralis, G.; Zervos, A. Value of wind energy on the reliability of autonomous power systems. J. Abbr. 2010, 4, 186–197. [Google Scholar] [CrossRef]
- Marzband, M.; Sumper, A.; Domínguez-García, J.L.; Gumara-Ferret, R. Experimental validation of a real time energy management system for microgrids in islanded mode using a local day-ahead electricity market and MINLP. Energy Convers. Manag. 2013, 76, 314–322. [Google Scholar] [CrossRef]
- Marzband, M.; Ghazimirsaeid, S.S.; Uppal, H.; Fernando, T. A real-time evaluation of energy management systems for smart hybrid home Microgrids. Electr. Power Syst. Res. 2017, 143, 624–633. [Google Scholar] [CrossRef]
- Billinton, R.; Karki, B. Well-being analysis of wind integrated power systems. IEEE Trans. Power Syst. 2011, 26, 2101–2108. [Google Scholar] [CrossRef]
- Cheng, K.W.E.; Divakar, B.P.; Wu, H.; Ding, K. Battery-management system (BMS) and SOC development for electrical vehicles. IEEE Trans. Veh. Technol. 2011, 60, 76–88. [Google Scholar] [CrossRef]
- Vargas, L.S.; Bustos-Turu, G.; Larraín, F. Wind power curtailment and energy storage in transmission congestion management considering power plants ramp rates. IEEE Trans. Power Syst. 2015, 30, 2498–2506. [Google Scholar] [CrossRef]
- Wen, Y.; Guo, C.; Kirschen, D.S.; Dong, S. Enhanced security-constrained OPF with distributed battery energy storage. IEEE Trans. Power Syst. 2015, 30, 98–108. [Google Scholar] [CrossRef]
- Zhou, L.D. Discussion on sensitivity of value-regulated lead-acid battery on temperature. Commun. Power Technol. 1998, 4, 16–20. [Google Scholar]
- Subcommittee, P.M. IEEE reliability test system. IEEE Trans. Power Appar. Syst. 1979, PAS-98, 2047–2054. [Google Scholar] [CrossRef]
- Tripak, O.; Kongsiriwong, S. A reliability test system for educational purposes-basic data. IEEE Trans. Power Syst. 1989, 4, 1238–1244. [Google Scholar]
- Historical Climate Data. 2012. Available online: http://climate.weather.gc.ca (accessed on 28 February 2017).













| System Status | Load Loss Probability |
|---|---|
| The load demand is lower than the power supply | 0 |
| Other conditions | 1 |
| Pchmax | Pdchmax | CVES | Execution Time (s) |
|---|---|---|---|
| 250 | 200 | 199 | 13.109 |
| 300 | 250 | 245 | 13.890 |
| 350 | 300 | 293 | 14.500 |
| 400 | 350 | 332 | 15.454 |
| 450 | 400 | 380 | 15.672 |
| 500 | 450 | 424 | 16.719 |
| 550 | 500 | 460 | 17.156 |
| 600 | 550 | 489 | 17.438 |
| Wind Turbines Parameters | |
|---|---|
| Rated power (Pr) | 18,000 kW |
| Cut-in wind speed (Cin) | 3.75 m/s |
| Rated wind speed (Crate) | 12 m/s |
| Cut-out wind speed (Cout) | 23 m/s |
| C1 | 0.1203 |
| C2 | −0.08 |
| C3 | 0.0128 |
| Energy Storage System Parameters | |
| Maximum charging power (PEScha_Max) | 800 kW |
| Maximum discharge power (PESdischa_Max) | 250 kW |
| Sampling time period (T) | 1 h |
| Lower limit energy stored (Emin) | 500 kWh |
| Upper limit energy stored (Emax) | 10,000 kWh |
© 2017 by the authors. Licensee MDPI, Basel, Switzerland. This article is an open access article distributed under the terms and conditions of the Creative Commons Attribution (CC BY) license ( http://creativecommons.org/licenses/by/4.0/).
Share and Cite
Shi, N.; Luo, Y. Energy Storage System Sizing Based on a Reliability Assessment of Power Systems Integrated with Wind Power. Sustainability 2017, 9, 395. https://doi.org/10.3390/su9030395
Shi N, Luo Y. Energy Storage System Sizing Based on a Reliability Assessment of Power Systems Integrated with Wind Power. Sustainability. 2017; 9(3):395. https://doi.org/10.3390/su9030395
Chicago/Turabian StyleShi, Nian, and Yi Luo. 2017. "Energy Storage System Sizing Based on a Reliability Assessment of Power Systems Integrated with Wind Power" Sustainability 9, no. 3: 395. https://doi.org/10.3390/su9030395
APA StyleShi, N., & Luo, Y. (2017). Energy Storage System Sizing Based on a Reliability Assessment of Power Systems Integrated with Wind Power. Sustainability, 9(3), 395. https://doi.org/10.3390/su9030395
