Novel Technological and Management Options for Accelerating Transformational Changes in Rice and Livestock Systems †
Abstract
:1. Introduction
2. Methodology
2.1. Rice Systems
2.1.1. Gender Dynamics
2.1.2. Monitoring CH4 and N2O Fluxes in Rice Fields under AWD and Continuous Flooding
2.2. Cattle Systems
2.2.1. Gender Dynamics
2.2.2. In Vitro Experiment on Cattle Diets with Cassava Supplements
2.3. Soil Information for Better Targeting and Resource Use Efficiency
2.4. Climate-Smart Village Approach in Colombia
3. Data Analyses
4. Results and Discussion
4.1. Socio-Economic and Gender Aspects
4.1.1. Rice Systems
4.1.2. Cattle Systems
4.2. Potential of CSA Options to Reduce GHG Emissions
4.2.1. Monitoring GHG Emissions in Irrigated Rice Systems
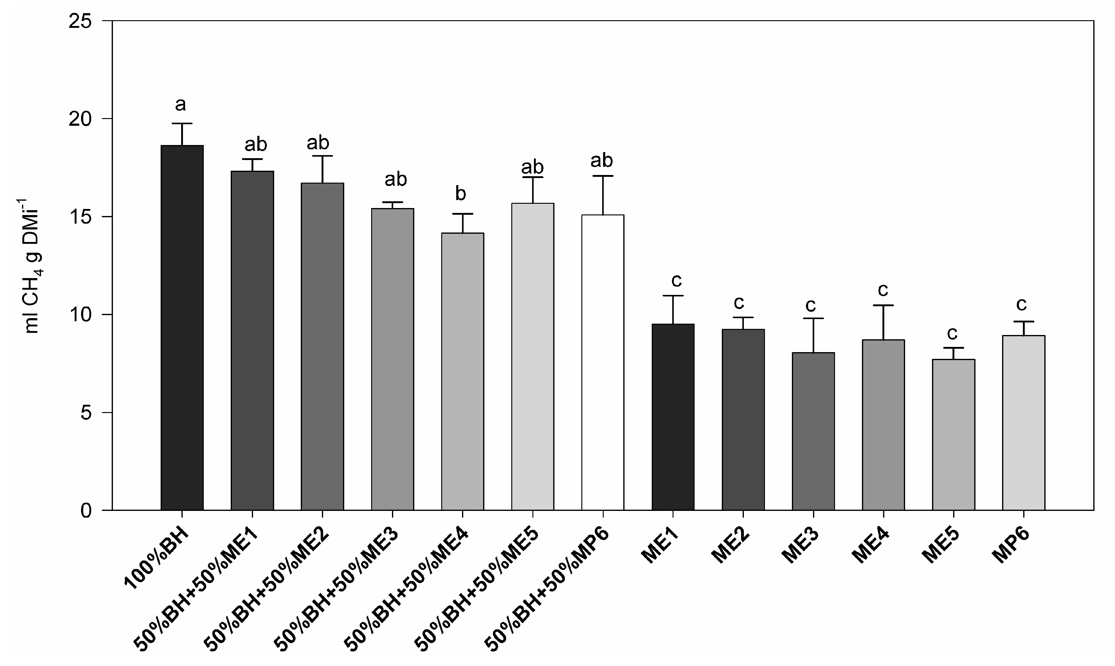
4.2.2. In Vitro Experiment on Cattle Diets with Cassava Supplements
4.3. Soil Information for Better Targeting and Improving Resource Use Efficiency
4.4. Implementing CSA Practices in CSV of Cauca-Colombia
4.5. Perspectives
Acknowledgments
Author Contributions
Conflicts of Interest
References
- FAO. Climate-Smart Agriculture Sourcebook Executive Summary; FAO: Rome, Italy, 2013. Available online: http://www.fao.org/3/ai3325e.pdf (accessed on 20 April 2017).
- Lipper, L.; Thornton, P.; Campbell, B.M.; Baedeker, T.; Braimoh, A.; Bwalya, M.; Caron, P.; Cattaneo, A.; Garrity, D.; Henry, K.; et al. Climate-Smart Agriculture for Food Security. Nat. Clim. Chang. 2014, 4, 1068–1072. [Google Scholar] [CrossRef]
- Huyer, S.; Twyman, J.; Koningstein, M.; Ashby, J. Supporting Women Farmers in a Changing Climate: Five Policy Brief Lessons; Policy Brief No. 10. CCAFS; Research Program on Climate Change, Agriculture and Food Security (CCAFS): Frederiksberg, Denmark, 2015.
- Bernard, M.A.; Urbina, M.A.; Corrales, R.; Der Hoek, R.; Ojango, J.M. The silent cattle breeders in central Nicaragua. In A Different Kettle of Fish? Gender Integration in Livestock and Fish Research; Pyburn, R., van Eerdewijk, A., Eds.; LM Publishers: Volendam, The Netherlands, 2016. [Google Scholar]
- World Bank Group. World Bank Group Gender Strategy (FY16-23): Gender Equality, Poverty Reduction and Inclusive Growth; License: CC BY 3.0 IGO; World Bank: Washington, DC, USA, 2015; Available online: https://openknowledge.worldbank.org/handle/10986/23425 (accessed on 21 April 2017).
- Rao, I.; Peters, M.; Castro, A.; Schultze, R.; White, D.; Fisher, M.; Miles, J.; Lascano, C.; Blummel, M.; Bungenstab, D.; et al. LivestockPlus—The sustainable intensification of forage - based agricultural systems to improve livelihoods and ecosystem services in the tropics. Trop. Grassl. Forrajes Tropicales 2015, 3, 59–82. [Google Scholar] [CrossRef]
- Lascano, C.E. Managing the grazing resource for animal production in savannas of tropical America. Trop. Grassl. 1991, 25, 66–72. [Google Scholar]
- Fisher, M.J.; Rao, I.M.; Ayarza, M.A.; Lascano, C.E.; Sanz, J.I.; Thomas, R.J.; Vera, R.R. Carbon storage by introduced deep-rooted grasses in the South American savannas. Nature 1994, 371, 236–238. [Google Scholar] [CrossRef]
- Byrnes, R.C.; Núñez, J.; Arenas, L.; Rao, I.; Trujillo, C.; Alvarez, C.; Arango, J.; Rasche, F.; Chirinda, N. Biological nitrification inhibition by Brachiaria grass mitigates soil nitrous oxide emission from bovine urine patches. Soil Biol. Biochem. 2017, 107, 156–163. [Google Scholar] [CrossRef]
- Subbarao, G.V.; Nakahara, K.; Hurtado, M.D.P.; Ono, H.; Moreta, D.E.; Salcedo, A.F.; Yoshihashi, A.T.; Ishikawa, T.; Ishitani, M.; Ohnishi-Kameyama, M.; et al. Evidence for biological nitrification inhibition in Brachiaria pastures. Proc. Natl. Acad. Sci. USA 2009, 106, 17302–17307. [Google Scholar] [CrossRef] [PubMed]
- Kamke, J.; Kittelmann, S.; Soni, P.; Li, Y.; Tavendale, M.; Ganesh, S.; Attwood, G.T. Rumen metagenome and metatranscriptome analyses of low methane yield sheep reveals a Sharpea-enriched microbiome characterised by lactic acid formation and utilisation. Microbiome 2016, 4, 56. [Google Scholar] [CrossRef] [PubMed]
- FEDEARROZ. The rice sector in Colombia. In Proceedings of the 3rd Meeting of the Americas Sub-Group of Paddy Rice Research (PRRG) of Global Research Alliance (GRA), Stuttgart, AR, USA, 13–15 July 2016. [Google Scholar]
- Adhya, T.K.; Linquist, B.; Searchinger, T.; Wassmann, R.; Yan, X. Wetting and drying: Reducing greenhouse emissions and saving water from rice production. In Working Paper, Installment 8 of Creating a Sustainable Food Future; World Resources Institute: Washington, DC, USA, 2014. [Google Scholar]
- Da Silva, M.; Naves, M.L.; Owens, P.R.; Curi, N.; Oliveira, A.; Moreira, B. Predicting Runoff Risks by Digital Soil Mapping. Rev. Bras. Ciênc. Solo 2016, 40, 1–11. [Google Scholar] [CrossRef]
- CCAFS. Climate-Smart Villages. In An AR4D Approach to Scale up Climate-Smart Agriculture; CGIAR Research Program on Climate Change, Agriculture and Food Security (CCAFS): Copenhagen, Denmark, 2016; Available online: www.ccafs.cgiar.org (accessed on 10 April 2017).
- Arora, D.; Arango, J.; Burkart, S.; Chirinda, N.; Twyman, J. Gender [Im]balance in Productive and Reproductive Labor among Livestock Producers in Colombia: Implications for Climate Change Responses; CCAFS Info Note; CGIAR Research Program on Climate Change, Agriculture and Food Security (CCAFS): Copenhagen, Denmark, 2017.
- Van Soest, P.J.; Robertson, J.B.; Lewis, B.A. Methods for Dietary Fiber, Neutral Detergent Fiber, and Nonstarch Polysaccharides in Relation to Animal Nutrition. J. Dairy Sci. 1991, 74, 3583–3597. [Google Scholar] [CrossRef]
- Association of Official Analytical Chemists (AOAC). Official Analytical Chemists (AOAC). Official Method 942.05. Determination of Ash in Animal Feed. In Official Methods of Analysis of AOAC International, 18th ed.; Association of Official Analytical Chemists (AOAC): Gaithersburg, MD, USA, 2005; p. 8. [Google Scholar]
- Theodorou, M.K.; Williams, B.A.; Dhanoa, M.S.; McAllan, A.B.; France, J. A simple gas production method using a pressure transducer to determine the fermentation kinetics of ruminant feeds. Anim. Feed Sci. Technol. 1994, 48, 185–197. [Google Scholar] [CrossRef]
- IGAC. Sistema de Información Geográfico Para La Planeación y el Ordenamiento Territorial. Available online: http://sigotn.igac.gov.co/sigotn/frames_pagina.aspx (accessed on 20 April 2017).
- Jasiewicz, J.; Stepinski, T.F. Geomorphons—A pattern recognition approach to classification and mapping of landforms. Geomorphology 2013, 182, 147–156. [Google Scholar] [CrossRef]
- Zhu, A.X.; Hudson, B.; Burt, J.; Lubich, K.; Simonson, D. Soil Mapping Using GIS, Expert Knowledge, and Fuzzy Logic. Soil Sci. Soc. Am. J. 2001, 65, 1463–1472. [Google Scholar] [CrossRef]
- R Core Team. R: A language and environment for statistical computing. In R Foundation for Statistical Computing; Vienna, Austria, 2012; ISBN 3-900051-07-0. Available online: http://www.R-project.org/ (accessed on 15 March 2017).
- Di Rienzo, J.A.; Casanoves, F.; Balzarini, M.G.; Gonzalez, L.; Tablada, M.; Robledo, C.W. InfoStat Versión 2012 Software; Grupo InfoStat, FCA, Universidad Nacional de Córdoba: Córdoba, Argentina, 2012. [Google Scholar]
- Ambler, K.; Doss, C.; Kieran, C.; Passarelli, S. He Says, She Says: Exploring Patterns of Spousal Agreement in Bangladesh, 01616; International Food Policy Research Institute: Washington, DC, USA, 2017. [Google Scholar]
- Beauchemin, K.A.; McAllister, T.A.; McGinn, S.M. Dietary mitigation of enteric methane from cattle. CAB Rev. Perspect. Agric. Vet. Sci. Nutr. Nat. Resour. 2009, 4, 1–18. [Google Scholar] [CrossRef]
- Figueiredo, P.; Perkins, P.E. Women and water management in times of climate change: Participatory and inclusive process. J. Clean. Prod. 2013, 60, 188–194. [Google Scholar]
- Garcia, M.A.; Katto, M.C.; Twyman, J.; LaHue, G.; Chirinda, N. How might the gender roles affect the implementation of a new water-saving technique for Colombian rice production? In Descriptive Report of Gender Dimensions in Colombian Rice Production; CIAT: Cali, Colombia, 2016. [Google Scholar]
- Linquist, B.A.; Anders, M.M.; Adviento-Borbe, M.A.A.; Chaney, R.; Nalley, L.L.; da Rosa, E.F.F.; van Kessel, C. Reducing greenhouse gas emissions, water use, and grain arsenic levels in rice systems. Glob. Chang. Biol. 2015, 21, 407–417. [Google Scholar] [CrossRef] [PubMed]
- Linquist, B.A.; van Groenigen, K.J.; Adviento-Borbe, M.A.; Pittelkow, C.M.; van Kessel, C. An agronomic assessment of greenhouse gas emissions from major cereal crops. Glob. Chang. Biol. 2012, 18, 194–209. [Google Scholar] [CrossRef]
- Cicerone, R.J.; Delwiche, C.C.; Tyler, S.C.; Zimmerman, P.R. Methane emissions from California rice paddies with varied treatments. Glob. Biogeochem. Cycles 1992, 6, 233–248. [Google Scholar] [CrossRef]
- Mitra, A.P. Greenhouse Gas Emission in India; Scientific Report No. 20; Methane Campaign Council of Scientific and Industrial Research, and Ministry of Environment and Forest: New Delhi, India, 1992.
- Wang, Z.P.; Lindau, C.W.; Delaune, R.D.; Patrick, W.H. Methane emission and entrapment in flooded rice soils as affected by soil properties. Biol. Fertility Soils 1993, 16, 163–168. [Google Scholar] [CrossRef]
- Thawda, K.W.; Ryoko, N.; Aye Thida, W.; Yu, S.; Kok, T.; Takashi, M. Effects of water saving irrigation and rice variety on greenhouse gas emissions and water use efficiency in a paddy field fertilized with anaerobically digested pig slurry. Paddy Water Environ. 2015, 13, 51–60. [Google Scholar]
- Katayanagi, K.; Furukawa, Y.; Fumoto, T.; Hosen, Y. Validation of the DNDC-rice model by using CH4 and N2O flux data from rice cultivated in pots under alternate wetting and drying irrigation management. Soil Sci. Plant Nutr. 2012, 58, 360–372. [Google Scholar] [CrossRef]
- IPCC. Climate Change 2013. In The Physical Science Basis Working Group I Contribution to the Fifth Assessment Report of the Intergovernmental Panel on Climate Change; Stocker, T.F., Qin, D., Plattner, G.K., Eds.; Cambridge University Press: Cambridge, UK; New York, NY, USA, 2013. [Google Scholar]
- Hess, H.D.; Tiemann, T.T.; Noto, F.; Carulla, J.E.; Kreuzer, M. Strategic Use of Tannins as Means to Limit Methane Emission from Ruminant Livestock. In Proceedings of the 2nd International Conference on Greenhouse Gases and Animal Agriculture, Zurich, Switzerland, 20–24 September 2006; Volume 1293, pp. 164–167. [Google Scholar]
- Tan, H.Y.; Sieo, C.C.; Abdullah, N.; Liang, J.B.; Huang, X.D.; Ho, Y.W. Effects of condensed tannins from Leucaena on methane production, rumen fermentation and populations of methanogens and protozoa in vitro. Anim. Feed Sci. Technol. 2011, 169, 185–193. [Google Scholar] [CrossRef]
- Tiemann, T.T.; Lascano, C.E.; Wettstein, H.R.; Mayer, A.C.; Kreuzer, M.; Hess, H.D. Effect of the tropical tannin-rich shrub legumes Calliandra calothyrsus and Flemingia macrophylla on methane emission and nitrogen and energy balance in growing lambs. Animal 2008, 2, 790–799. [Google Scholar] [CrossRef] [PubMed]
- Kume, S. Establishment of Profitable Dairy Farming System on Control of Methane Production in Hokkaido Region. In Greenhouse Gases and Animal Agriculture; Takahashi, J., Young, B.A., Eds.; Elsevier: Obihiro, Japan, 2002; pp. 87–94. [Google Scholar]
- Elghandoura, M.M.; Vázqueza, J.C.; Salema, A.Z.; Kholifb, A.E.; Ciprianoc, M.M.; Camachoc, L.M.; Márquezd, O. In vitro gas and methane production of two mixed rations influenced by three different cultures of Saccharomyces cerevisiae. J. Appl. Anim. Res. 2017, 45, 389–395. [Google Scholar] [CrossRef]
- Jayanegara, A.; Togtokhbayar, N.; Makkar, H.P.S.; Becker, K. Tannins determined by various methods as predictors of methane production reduction potential of plants by an in vitro rumen fermentation system. Anim. Feed Sci. Technol. 2009, 150, 230–237. [Google Scholar] [CrossRef]
- Wanapat, M. Manipulation of Cassava Cultivation and Utilization to Improve Protein to Energy Biomass for Livestock Feeding in the Tropics. Asian-Australasian. J. Anim. Sci. 2003, 16, 463–472. [Google Scholar]
- Reed, J.D.; McDowell, R.E.; Van Soest, P.J.; Horvath, P.J. Condensed tannins: A factor limiting the use of cassava forage. J. Sci. Food Agric. 1982, 33, 213–220. [Google Scholar] [CrossRef]
- Henderson, L. Cassava: An economically viable animal feed: Feeds & grazing. Stockfarm 2015, 5, 32–33. [Google Scholar]
- Lukuyu, B.; Okike, I.; Duncan, A.J.; Beveridge, M.; Blummel, M. Use of Cassava in Livestock and Aquaculture Feeding Programs; International Livestock Research Institute (ILRI): Nairobi, Kenya, 2014; Volume 25. [Google Scholar]
- Federación Nacional de Arroceros (FEDEARROZ). Manejo y Conservación de Suelos Para la Producción de Arroz en Colombia; FEDEARROZ: Bogotá, Colombia, 2000; p. 78. [Google Scholar]
- Yang, J.; Zhou, Q.; Zhang, J. Moderate wetting and drying increases rice yield and reduces water use, grain arsenic level, and methane emission. Crop J. 2016, 5, 151–158. [Google Scholar] [CrossRef]
- Mushtaq, S.; Khan, S.; Hafeez, N.; Hanjra, M.A. Does reliability of water re-sources matter in the adoption of water-saving irrigation practices? A case study in the Zhanghe irrigation system, China. Water Policy 2009, 11, 661–679. [Google Scholar] [CrossRef]
- Nelson, A.; Wassmann, R.; Sander, B.O.; Palao, L.K. Climate—Determined Suitability of the Water Saving Technology ‘Alternate Wetting and Drying’ in Rice Systems: A Scalable Methodology demonstrated for a Province in the Philippines. PLoS ONE 2015, 10, e0145268. [Google Scholar] [CrossRef] [PubMed]
- LaHue, G.T.; Chaney, R.L.; Adviento-Borbe, M.A.; Linquist, B.A. Alternate wetting and drying in high yielding direct-seeded rice systems accomplishes environmental and agronomic objectives. Agric. Ecosyst. Environ. 2016, 229, 30–39. [Google Scholar] [CrossRef]
- Wenham, J.E. Post-Harvest Deterioration of Cassava. A Biotechnology Perspective; Food and Agriculture Organization (FAO): Rome, Italy, 1995; p. 116. [Google Scholar]




| GHG Emissions and GWP | 2015 | 2016 | ||
|---|---|---|---|---|
| CF | AWD | CF | AWD | |
| Methane (kg CH4 ha−1) | 7.54 a | 2.28 b | 19.5 A | 5.28 B |
| Nitrous oxide (kg N2O ha−1) | 0.56 a | 1.53 a | 0.23 A | 0.13 A |
| GWP (kg CO2 equivalents ha−1) | 355 a | 513 a | 556 A | 171 B |
| Treatment | DM (%) | OM (%) | A (%) | NDF (%) | ADF (%) | DIVDM (%) | Total Tannins (%) | Total Phenol (%) |
|---|---|---|---|---|---|---|---|---|
| 100% BH | 96.8 | 91.4 | 8.6 | 71.2 | 37.2 | 60.8 | 0.87 | 1.35 |
| 50% BH + 50% ME1 | 96.2 | 89.0 | 11.0 | 57.3 | 30.4 | 63.5 | - | - |
| 50% BH + 50% ME2 | 96.6 | 89.7 | 10.3 | 58.6 | 33.4 | 61.3 | - | - |
| 50% BH + 50% ME3 | 96.3 | 89.8 | 10.2 | 57.7 | 32.1 | 62.7 | - | - |
| 50% BH + 50% ME4 | 96.3 | 87.9 | 12.1 | 58.1 | 31.4 | 62.0 | - | - |
| 50% BH + 50% ME5 | 95.8 | 89.6 | 10.4 | 60.8 | 32.2 | 61.2 | - | - |
| 50% BH + 50% MP6 | 96,1 | 89.7 | 10.3 | 57.8 | 30.8 | 62.6 | - | - |
| ME1 | 95.5 | 90.6 | 9.4 | 44.2 | 25.0 | 65.3 | 2.28 | 2.93 |
| ME2 | 96.1 | 89.1 | 10.9 | 47.8 | 31.4 | 65.0 | 1.63 | 2.15 |
| ME3 | 95.5 | 89.8 | 10.2 | 45.9 | 27.3 | 67.6 | 1.93 | 2.48 |
| ME4 | 95.5 | 90.1 | 9.9 | 49.4 | 26.4 | 65.5 | 2.24 | 2.80 |
| ME5 | 94.7 | 90.9 | 9.1 | 48.8 | 27.6 | 62.4 | 2.01 | 2.54 |
| Property | Observed | Predicted | RMSEn % | ||||
|---|---|---|---|---|---|---|---|
| Average | Maximum | Minimum | Average | Maximum | Minimum | ||
| pH (H2O) | 6.47 | 7.96 | 5.35 | 6.60 | 7.30 | 6.20 | 19 |
| OM (g/kg) | 20.9 | 66.6 | 5.1 | 17.4 | 23.8 | 14 | 5 |
| Clay (%) | 22 | 85 | 10 | 27 | 50 | 15 | 17 |
| Sand (%) | 40 | 68 | 2 | 40 | 58 | 10 | 22 |
© 2017 by the authors. Licensee MDPI, Basel, Switzerland. This article is an open access article distributed under the terms and conditions of the Creative Commons Attribution (CC BY) license (http://creativecommons.org/licenses/by/4.0/).
Share and Cite
Chirinda, N.; Arenas, L.; Loaiza, S.; Trujillo, C.; Katto, M.; Chaparro, P.; Nuñez, J.; Arango, J.; Martinez-Baron, D.; Loboguerrero, A.M.; et al. Novel Technological and Management Options for Accelerating Transformational Changes in Rice and Livestock Systems. Sustainability 2017, 9, 1891. https://doi.org/10.3390/su9111891
Chirinda N, Arenas L, Loaiza S, Trujillo C, Katto M, Chaparro P, Nuñez J, Arango J, Martinez-Baron D, Loboguerrero AM, et al. Novel Technological and Management Options for Accelerating Transformational Changes in Rice and Livestock Systems. Sustainability. 2017; 9(11):1891. https://doi.org/10.3390/su9111891
Chicago/Turabian StyleChirinda, Ngonidzashe, Laura Arenas, Sandra Loaiza, Catalina Trujillo, Maria Katto, Paula Chaparro, Jonathan Nuñez, Jacobo Arango, Deissy Martinez-Baron, Ana María Loboguerrero, and et al. 2017. "Novel Technological and Management Options for Accelerating Transformational Changes in Rice and Livestock Systems" Sustainability 9, no. 11: 1891. https://doi.org/10.3390/su9111891
APA StyleChirinda, N., Arenas, L., Loaiza, S., Trujillo, C., Katto, M., Chaparro, P., Nuñez, J., Arango, J., Martinez-Baron, D., Loboguerrero, A. M., Becerra Lopez-Lavalle, L. A., Avila, I., Guzmán, M., Peters, M., Twyman, J., García, M., Serna, L., Escobar, D., Arora, D., ... Barahona, R. (2017). Novel Technological and Management Options for Accelerating Transformational Changes in Rice and Livestock Systems. Sustainability, 9(11), 1891. https://doi.org/10.3390/su9111891

