Understanding Stakeholders’ Influence on Project Success with a New SNA Method: A Case Study of the Green Retrofit in China
Abstract
1. Introduction
- (1)
- Analyze the relationship between stakeholders and CSFs using the proposed two-mode network model.
- (2)
- Discuss the methods of the two-mode network and adopt an appropriate method to reveal the relationship among stakeholders based on CSFs, including closeness, priorities, and clusters.
- (3)
- Use a case study of green retrofit in China to illustrate how the proposed model works in a stepwise manner, and indicate problems and suggestions based on this case study.
2. Social Network Analysis (SNA)
3. The Two-Mode Network Model
3.1. Analytical Approaches Used for Two-Mode Networks
3.2. Processes of Two-Mode Network Models
3.2.1. Step 1: Identifying the Nodes of Network
3.2.2. Step 2: Evaluating the Links of a Network
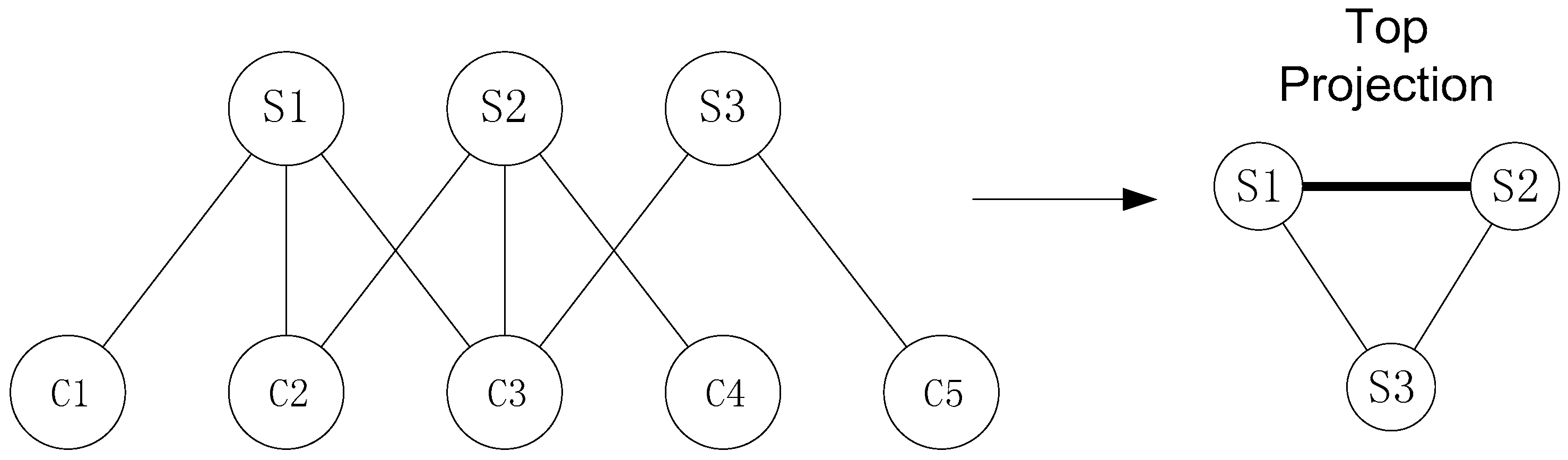
3.2.3. Step 3: Visualizing and Projecting
3.2.4. Step 4: Analyzing the Network
3.2.5. Step 5: Discussing Results and Providing Suggestions
4. An Illustrative Case Study: Experience from the Green Retrofit in China
4.1. Building the Network
4.2. Analyzing the Network
4.3. Discussion
5. Conclusions
Acknowledgements
Author Contributions
Conflicts of Interest
References
- McElroy, B.; Mills, C. Managing stakeholders. In Gower Handbook of Project Management; Turner, R.J., Simister, S.J., Eds.; Gower: Aldershot, UK, 2000. [Google Scholar]
- Freeman, R.E. Strategic Management: A Stakeholder Approach; Cambridge University Press: Cambridge, UK, 1984. [Google Scholar]
- Jepsen, A.L.; Eskerod, P. Stakeholder analysis in projects: Challenges in using current guidelines in the real world. Int. J. Proj. Manag. 2009, 27, 335–343. [Google Scholar] [CrossRef]
- Borgatti, S.P.; Everett, M.G. Network analysis of two mode data. Soc. Netw. 1997, 19, 243–269. [Google Scholar] [CrossRef]
- Everett, M.G.; Borgatti, S.P. The dual-projection approach for two-mode networks. Soc. Netw. 2013, 35, 204–210. [Google Scholar] [CrossRef]
- Zou, W.W.; Kumaraswamy, M.; Chung, J.; Wong, J. Identifying the critical success factors for relationship management in ppp projects. Int. J. Proj. Manag. 2014, 32, 265–274. [Google Scholar] [CrossRef]
- Xu, P.P.; Chan, E.H.W.; Qian, Q.K. Success factors of energy performance contracting (EPC) for sustainable building energy efficiency retrofit (beer) of hotel buildings in China. Energy Policy 2011, 39, 7389–7398. [Google Scholar] [CrossRef]
- Yang, J.; Shen, G.Q.; Drew, D.S.; Ho, M.F. Critical success factors for stakeholder management: Construction practitioners’ perspectives. J. Constr. Eng. Manag. 2010, 136, 778–786. [Google Scholar] [CrossRef]
- Latapy, M.; Magnien, C.; Vecchio, N.D. Basic notions for the analysis of large two-mode networks. Soc. Netw. 2008, 30, 31–48. [Google Scholar] [CrossRef]
- Caniato, M.; Vaccari, M.; Visvanathan, C.; Zurbrugg, C. Using social network and stakeholder analysis to help evaluate infectious waste management: A step towards a holistic assessment. Waste Manag. 2014, 34, 938–951. [Google Scholar] [CrossRef] [PubMed]
- Aral, S.; Walker, D. Tie strength, embeddedness, and social influence: A large-scale networked experiment. Manag. Sci. 2014, 60, 1352–1370. [Google Scholar] [CrossRef]
- Lienert, J.; Schnetzer, F.; Ingold, K. Stakeholder analysis combined with social network analysis provides fine-grained insights into water infrastructure planning processes. J. Environ. Manag. 2013, 125, 134–148. [Google Scholar] [CrossRef] [PubMed]
- Bourne, L.; Walker, D.H.T. Visualizing stakeholder influence—Two australian examples. Proj. Manag. J. 2006, 37, 5–21. [Google Scholar]
- Rowley, T.J. Moving beyond dyadic ties: A network theory of stakeholder influences. Acad. Manag. Rev. 1997, 22, 887–910. [Google Scholar]
- Newman, M.E.J. Scientific collaboration networks. I. Network construction and fundamental results. Phys. Rev. E 2001, 64, 016131. [Google Scholar] [CrossRef] [PubMed]
- Neal, Z. Structural determinism in the interlocking world city network. Geogr. Anal. 2012, 44, 162–170. [Google Scholar] [CrossRef]
- Newman, M.E.J. Scientific collaboration networks. II. Shortest paths, weighted networks, and centrality. Phys. Rev. E 2001, 64, 016132. [Google Scholar] [CrossRef] [PubMed]
- Liang, X.; Peng, Y.; Shen, G.Q. A game theory based analysis of decision making for green retrofit under different occupancy types. J. Clean. Prod. 2016, 137, 1300–1312. [Google Scholar] [CrossRef]
- Davies, P.; Osmani, M. Low carbon housing refurbishment challenges and incentives: Architects’ perspectives. Build. Environ. 2011, 46, 1691–1698. [Google Scholar] [CrossRef]
- Mitchell, J.C. The Concept and Use of Social Networks; Bobbs-Merrill: Indianapolis, IN, USA, 1969. [Google Scholar]
- Yang, R.J. An investigation of stakeholder analysis in urban development projects: Empirical or rationalistic perspectives. Int. J. Proj. Manag. 2014, 32, 838–849. [Google Scholar] [CrossRef]
- Kelly, R.A.; Jakeman, A.J.; Barreteau, O.; Borsuk, M.E.; ElSawah, S.; Hamilton, S.H.; Henriksen, H.J.; Kuikka, S.; Maier, H.R.; Rizzoli, A.E.; et al. Selecting among five common modelling approaches for integrated environmental assessment and management. Environ. Model. Softw. 2013, 47, 159–181. [Google Scholar] [CrossRef]
- Prell, C.; Hubacek, K.; Reed, M. Stakeholder analysis and social network analysis in natural resource management. Soc. Nat. Resour. 2009, 22, 501–518. [Google Scholar] [CrossRef]
- Yang, R.J.; Zou, P.X.W. Stakeholder-associated risks and their interactions in complex green building projects: A social network model. Build. Environ. 2014, 73, 208–222. [Google Scholar] [CrossRef]
- Robins, G.; Alexander, M. Small worlds among interlocking directors: Network structure and distance in bipartite graphs. Comput. Math. Organ. Theory 2004, 10, 69–94. [Google Scholar] [CrossRef]
- Kim, S.C.; Jeong, Y.S.; Park, S.O. Rfid-based indoor location tracking to ensure the safety of the elderly in smart home environments. Pers. Ubiquitous Comput. 2013, 17, 1699–1707. [Google Scholar] [CrossRef]
- Borgatti, S.P.; Halgin, D.S. Analyzing Affiliation Networks; SAGE: New York, NY, USA, 2014; Available online: http://dx.doi.org/10.4135/9781446294413.n28 (accessed on 6 June 2014).
- Timur, S.; Getz, D. A network perspective on managing stakeholders for sustainable urban tourism. Int. J. Contemp. Hosp. Manag. 2008, 20, 445–461. [Google Scholar] [CrossRef]
- Glaser, B. Basics of Grounded Theory Analysis; Sociology Press: Mill Valley, CA, USA, 1992. [Google Scholar]
- Glaser, B.G.; Strauss, A.L.; Strutzel, E. The discovery of grounded theory; strategies for qualitative research. Nurs. Res. 1968, 17, 364. [Google Scholar] [CrossRef]
- Cross, R.L.; Parker, A. The Hidden Power of Social Networks: Understanding How Work Really Gets Done in Organizations; Harvard Business Press: Brighton, MA, USA, 2004. [Google Scholar]
- Freeman, L.C. Centrality in social networks conceptual clarification. Soc. Netw. 1979, 1, 215–239. [Google Scholar] [CrossRef]
- Gould, P.R. On the geographical interpretation of eigenvalues. Trans. Inst. Br. Geogr. 1967, 53–86. [Google Scholar] [CrossRef]
- Sun, J.; Liu, C. Obstacle identification and solution on energy efficient retrofit for exising buildings. Low Temp. Archit. Technol. 2007, 5, 130–131. [Google Scholar]
- Xu, P.; Chan, E.H.W. Anp model for sustainable building energy efficiency retrofit (beer) using energy performance contracting (EPC) for hotel buildings in China. Habitat Int. 2013, 37, 104–112. [Google Scholar] [CrossRef]
- Menassa, C.C. Evaluating sustainable retrofits in existing buildings under uncertainty. Energy Build. 2011, 43, 3576–3583. [Google Scholar] [CrossRef]
- Menassa, C.C.; Baer, B. A framework to assess the role of stakeholders in sustainable building retrofit decisions. Sustain. Cities Soc. 2014, 10, 207–221. [Google Scholar] [CrossRef]
- Ali, A.S.; Rahmat, I.; Hassan, H. Involvement of key design participants in refurbishment design process. Facilities 2008, 26, 389–400. [Google Scholar]
- Zavadskas, E.K.; Kaklauskas, A.; Gulbinas, A. Multiple Criteria Decision Support Web-Based System for Building Refurbishment. J. Civ. Eng. Manag. 2004, 10, 77–85. [Google Scholar] [CrossRef]
- Juan, Y.K.; Kim, J.H.; Roper, K.; Castro-Lacouture, D. Ga-based decision support system for housing condition assessment and refurbishment strategies. Autom. Constr. 2009, 18, 394–401. [Google Scholar] [CrossRef]
- Banaitiene, N.; Banaitis, A.; Kaklauskas, A.; Zavadskas, E.K. Evaluating the life cycle of a building: A multivariant and multiple criteria approach. Omega-Int. J. Manag. Sci. 2008, 36, 429–441. [Google Scholar] [CrossRef]
- Miller, E.; Buys, L. Retrofitting commercial office buildings for sustainability: Tenants’ perspectives. J. Prop. Invest. Financ. 2008, 26, 552–561. [Google Scholar] [CrossRef]
- Kaklauskas, A.; Zavadskas, E.K.; Galiniene, B. A building’s refurbishment knowledge-based decision support system. Int. J. Environ. Pollut. 2008, 35, 237–249. [Google Scholar] [CrossRef]
- Gultekin, P.; Anumba, C.J.; Leicht, R.M. A Cross-Case Analysis of Decision Making Environments for Deep Retrofit Projects; ASCE: Reston, VA, USA, 2013; pp. 250–258. Available online: https://doi.org/10.1061/9780784413029.032 (accessed on 5 June 2015).
- Cronin, J.J., Jr.; Smith, J.S.; Gleim, M.R.; Ramirez, E.; Martinez, J.D. Green marketing strategies: An examination of stakeholders and the opportunities they present. J. Acad. Mark. Sci. 2011, 39, 158–174. [Google Scholar] [CrossRef]
- Rosenfeld, Y.; Shohet, I.M. Decision support model for semi-automated selection of renovation alternatives. Autom. Constr. 1999, 8, 503–510. [Google Scholar] [CrossRef]
- Chidiac, S.E.; Catania, E.J.C.; Morofsky, E.; Foo, S. A screening methodology for implementing cost effective energy retrofit measures in canadian office buildings. Energy Build. 2011, 43, 614–620. [Google Scholar] [CrossRef]
- Fuerst, F.; McAllister, P. Green noise or green value? Measuring the effects of environmental certification on office values. Real Estate Econ. 2011, 39, 45–69. [Google Scholar] [CrossRef]
- Kasivisvanathan, H.; Ng, R.T.L.; Tay, D.H.S.; Ng, D.K.S. Fuzzy optimisation for retrofitting a palm oil mill into a sustainable palm oil-based integrated biorefinery. Chem. Eng. J. 2012, 200, 694–709. [Google Scholar] [CrossRef]
- Ma, Z.J.; Cooper, P.; Daly, D.; Ledo, L. Existing building retrofits: Methodology and state-of-the-art. Energy Build. 2012, 55, 889–902. [Google Scholar] [CrossRef]
- Rhoads, J. Low Carbon Retrofit Toolkit—A Roadmap to Success; Better Buildings Partnership: London, UK, 2010; Available online: https://www.google.com.hk/url?sa=t&rct=j&q=&esrc=s&source=web&cd=3&cad=rja&uact=8&ved=0ahUKEwjig7v9tIbXAhUKEbwKHbxfARUQFggyMAI&url=http%3a%2f%2fwww%2ecarbonaction2050%2ecom%2fsites%2fcarbonaction2050%2ecom%2ffiles%2fdocument-attachment%2fBetter%2520Buildings%2520Partnership%2520Retrofit%2520Toolkit%2epdf&usg=AOvVaw2lMT8BGmeIJ1isJUecdp12 (accessed on 20 April 2014).
- Thomas, L.E. Evaluating design strategies, performance and occupant satisfaction: A low carbon office refurbishment. Build. Res. Inf. 2010, 38, 610–624. [Google Scholar] [CrossRef]
- Mickaityte, A.; Zavadskas, E.K.; Kaklauskas, A.; Tupenaite, L. The concept model of sustainable buildings refurbishment. Int. J. Strateg. Prop. Manag. 2008, 12, 53–68. [Google Scholar] [CrossRef]
- Andrews, C.J.; Yi, D.; Krogmann, U.; Senick, J.A.; Wener, R.E. Designing buildings for real occupants: An agent-based approach. IEEE Trans. Syst. Man Cybern. Part A Syst. Hum. 2011, 41, 1077–1091. [Google Scholar] [CrossRef]
- Volk, R.; Stengel, J.; Schultmann, F. Building information modeling (bim) for existing buildings—Literature review and future needs. Autom. Constr. 2014, 38, 109–127. [Google Scholar] [CrossRef]
- Trust, C. Low Carbon Refurbishment of Buildings—A Guide to Achieving Carbon Savings from Refurbishment of Non-Domestic Buildings; The Carbon Trust: London, UK, 2008; Available online: https://www.google.com.hk/url?sa=t&rct=j&q=&esrc=s&source=web&cd=1&cad=rja&uact=8&ved=0ahUKEwjGgNuNtIbXAhUKW7wKHTM4CWkQFgglMAA&url=https%3a%2f%2fwww%2ecarbontrust%2ecom%2fmedia%2f81389%2fctv038-low-carbon-refurbishment-of-buildings-management-guide%2epdf&usg=AOvVaw1rgXDK7I4fFEyEoKkOJ0y5 (accessed on 3 May 2014).
- Caccavelli, D.; Gugerli, H. Tobus—A european diagnosis and decision-making tool for office building upgrading. Energy Build. 2002, 34, 113–119. [Google Scholar] [CrossRef]
- Lapinski, A.R.; Horman, M.J.; Riley, D.R. Lean processes for sustainable project delivery. J. Constr. Eng. Manag. ASCE 2006, 132, 1083–1091. [Google Scholar] [CrossRef]
- Korkmaz, S.; Messner, J.I.; Riley, D.R.; Magent, C. High-performance green building design process modeling and integrated use of visualization tools. J. Archit. Eng. 2010, 16, 37–45. [Google Scholar] [CrossRef]
- Mojena, R. Hierarchical grouping methods and stopping rules: An evaluation. Comput. J. 1977, 20, 359–363. [Google Scholar] [CrossRef]
- Stiess, I.; Dunkelberg, E. Objectives, barriers and occasions for energy efficient refurbishment by private homeowners. J. Clean. Prod. 2013, 48, 250–259. [Google Scholar] [CrossRef]
- Liang, X.; Shen, G.Q.; Guo, L. Improving management of green retrofits from a stakeholder perspective: A case study in China. Int. J. Environ. Res. Public Health 2015, 12, 13823–13842. [Google Scholar] [CrossRef] [PubMed]
- Karvonen, A. Towards systemic domestic retrofit: A social practices approach. Build. Res. Inf. 2013, 41, 563–574. [Google Scholar] [CrossRef]
- Azar, E.; Menassa, C.C. A comprehensive analysis of the impact of occupancy parameters in energy simulation of office buildings. Energy Build. 2012, 55, 841–853. [Google Scholar] [CrossRef]
- Azar, E.; Menassa, C.C. A comprehensive framework to quantify energy savings potential from improved operations of commercial building stocks. Energy Policy 2014, 67, 459–472. [Google Scholar] [CrossRef]
- Ürge-Vorsatz, D.; Novikova, A.; Köppel, S.; Boza-Kiss, B. Bottom–up assessment of potentials and costs of co2 emission mitigation in the buildings sector: Insights into the missing elements. Energy Effic. 2009, 2, 293–316. [Google Scholar] [CrossRef]








| Methods for Two-Mode Network | Advantages | Disadvantages | |
|---|---|---|---|
| Direct method | Some specific methods (e.g., bipartite statistics ) | (1) Directly handle two-mode network; (2) No information loss. | (1) Lack of rigor and generality; (2) Difficult to evaluate the results. |
| Conversion methods | Projection | (1) Can use methods for one-mode network; (2) Easy to evaluate and compare the results. | (1) May lose information of the bipartite structure. |
| C1 | C2 | C3 | C4 | C5 | |
|---|---|---|---|---|---|
| S1 | 1 | 1 | 1 | 0 | 0 |
| S2 | 0 | 1 | 1 | 1 | 0 |
| S3 | 0 | 0 | 1 | 0 | 1 |
| Code | Stakeholder | [39] | [40] | [42] | [43] | [41] | [44] | [38] | [7] | [45] | [46] |
|---|---|---|---|---|---|---|---|---|---|---|---|
| S1 | Owner/client | √ | √ | √ | √ | √ | |||||
| S2 | Occupier/user | √ | √ | √ | |||||||
| S3 | Property manager | √ | √ | √ | |||||||
| S4 | Designer | √ | √ | √ | √ | ||||||
| S5 | Contractor | √ | √ | √ | √ | ||||||
| S6 | Supplier | √ | √ | ||||||||
| S7 | Sub-contractor | √ | |||||||||
| S8 | Government | √ | √ | ||||||||
| S9 | Financial institution/bank | √ | √ | √ | |||||||
| S10 | Energy service company | √ | √ | ||||||||
| S11 | Industry association | √ | |||||||||
| S12 | NGO/community | √ | √ | ||||||||
| S13 | Research institution | √ | √ |
| Category | Code | CSF | Literature |
|---|---|---|---|
| Economics | C1 | Cost | [39,44,47] |
| C2 | Who invests | [37,48] | |
| C3 | Profit distribution among stakeholders | [19] | |
| C4 | Interruptions in operations | [42,49] | |
| C5 | Interest rate | [39] | |
| C6 | Occupancy type | [50,51] | |
| C7 | Who gets energy saving benefits | [48] | |
| C8 | Subsidies/tax reduction | [19,39,50] | |
| C9 | Rent increases after retrofit | [48,52] | |
| Building information and environment | C10 | Existing building environment | [50,53] |
| C11 | Existing building condition | [7,37,38,53] | |
| C12 | Existing facilities condition | [37,53,54] | |
| C13 | Existing building information modeling (BIM) | [54,55] | |
| C14 | Existing building evaluation | [53] | |
| Sociocultural | C15 | Clear vision | [56] |
| C16 | Cooperation among stakeholders | [44,56] | |
| C17 | Information sharing | [50,53] | |
| C18 | Users’ behavior and demand analysis | [50,57] | |
| C19 | Project organization and management | [44] | |
| C20 | Experience sharing and education | [19,49,51] | |
| C21 | Cultural traditions | [53] | |
| Technology | C22 | Maturity of technology | [50,53] |
| C23 | Complexity of technology | [19] | |
| C24 | Maintainability | [57] | |
| C25 | Information technologies and computerization level | [53] | |
| C26 | Collaborative design and automation | [38,58,59] | |
| Policy and standard | C27 | Clear government program and policies | [19,50,53] |
| C28 | Clear criteria and standards | [7,42,51,53] |
| Interview No. | Locations | Number of Interviewees | Roles in Projects | Company Types |
|---|---|---|---|---|
| 1 | Hong Kong | 10 | Project manager, technical specialists, purchasing managers | Client |
| 2 | Beijing, Mainland China | 1 | Designer | Design institute |
| 3 | Beijing, Mainland China | 1 | Administrative manager | Design institute |
| 4 | Shenzhen, Mainland China | 2 | Contractor manager, supervisor | Client and third-party institute (authorized by the government to audit projects) |
| 5 | Guangzhou, Mainland China | 2 | Facility managers | Facility managers |
| Stakeholders | S1 | S2 | S3 | S4 | S5 | S6 | S7 | S8 | S9 | S10 | S11 | S12 | S13 |
|---|---|---|---|---|---|---|---|---|---|---|---|---|---|
| S1 | 1 | 0.9 | 1 | 0.9 | 0.9 | 0.9 | 0.9 | 0.9 | 0.8 | 0.9 | 0.6 | 0.5 | 0.7 |
| S2 | 1 | 0.9 | 0.8 | 0.8 | 0.8 | 0.7 | 0.8 | 0.6 | 0.8 | 0.4 | 0.4 | 0.6 | |
| S3 | 1 | 0.9 | 0.9 | 0.9 | 0.8 | 0.9 | 0.6 | 0.9 | 0.5 | 0.4 | 0.7 | ||
| S4 | 1 | 0.9 | 0.9 | 0.9 | 0.9 | 0.6 | 0.9 | 0.6 | 0.5 | 0.8 | |||
| S5 | 1 | 0.9 | 0.9 | 0.9 | 0.6 | 0.9 | 0.5 | 0.4 | 0.8 | ||||
| S6 | 1 | 0.9 | 0.9 | 0.7 | 0.9 | 0.6 | 0.5 | 0.8 | |||||
| S7 | 1 | 0.9 | 0.7 | 0.9 | 0.4 | 0.4 | 0.7 | ||||||
| S8 | 1 | 0.8 | 0.9 | 0.7 | 0.6 | 0.8 | |||||||
| S9 | 1 | 0.8 | 0.4 | 0.4 | 0.5 | ||||||||
| S10 | 1 | 0.6 | 0.5 | 0.7 | |||||||||
| S11 | 1 | 0.8 | 0.8 | ||||||||||
| S12 | 1 | 0.7 | |||||||||||
| S13 | 1 |
| Stakeholders | Degree Centrality | Betweenness Centrality | Eigenvector Centrality | |||
|---|---|---|---|---|---|---|
| Value | Rank | Value | Rank | Value | Rank | |
| Owner/client | 0.09551098 | 1 | 0.11627907 | 1 | 0.178402 | 1 |
| Property manager | 0.09551098 | 2 | 0.11627907 | 2 | 0.138636 | 2 |
| Designer | 0.09551098 | 3 | 0.11627907 | 3 | 0.136447 | 3 |
| Government | 0.09551098 | 4 | 0.11627907 | 4 | 0.127691 | 4 |
| Energy service company | 0.09169054 | 5 | 0.107334526 | 5 | 0.110179 | 5 |
| Occupier/user | 0.09169054 | 6 | 0.103756708 | 6 | 0.106166 | 6 |
| Supplier | 0.09169054 | 7 | 0.105545617 | 7 | 0.077709 | 8 |
| Contractor | 0.08500478 | 8 | 0.084078712 | 8 | 0.084276 | 7 |
| Sub-contractor | 0.08500478 | 9 | 0.084078712 | 9 | 0.07625 | 9 |
| Financial institution/bank | 0.06112703 | 10 | 0.04293381 | 10 | 0.048887 | 10 |
| Research institution | 0.06112703 | 11 | 0.041144902 | 11 | 0.044874 | 11 |
| Industry association | 0.03056351 | 12 | 0.007155635 | 12 | 0.017877 | 12 |
| NGO/community | 0.02005731 | 13 | 0.001788909 | 13 | 0.011675 | 13 |
| Cluster | Stakeholders |
|---|---|
| Cluster 1 | Owner/clients; Property managers; Occupier/users |
| Cluster 2 | Contractors; Sub-contractors; Suppliers |
| Cluster 3 | Government; Energy service companies; Designers; Research institutions |
| Cluster 4 | Financial institutions/banks |
| Cluster 5 | Industry associations; NGO/community |
© 2017 by the authors. Licensee MDPI, Basel, Switzerland. This article is an open access article distributed under the terms and conditions of the Creative Commons Attribution (CC BY) license (http://creativecommons.org/licenses/by/4.0/).
Share and Cite
Liang, X.; Yu, T.; Guo, L. Understanding Stakeholders’ Influence on Project Success with a New SNA Method: A Case Study of the Green Retrofit in China. Sustainability 2017, 9, 1927. https://doi.org/10.3390/su9101927
Liang X, Yu T, Guo L. Understanding Stakeholders’ Influence on Project Success with a New SNA Method: A Case Study of the Green Retrofit in China. Sustainability. 2017; 9(10):1927. https://doi.org/10.3390/su9101927
Chicago/Turabian StyleLiang, Xin, Tao Yu, and Li Guo. 2017. "Understanding Stakeholders’ Influence on Project Success with a New SNA Method: A Case Study of the Green Retrofit in China" Sustainability 9, no. 10: 1927. https://doi.org/10.3390/su9101927
APA StyleLiang, X., Yu, T., & Guo, L. (2017). Understanding Stakeholders’ Influence on Project Success with a New SNA Method: A Case Study of the Green Retrofit in China. Sustainability, 9(10), 1927. https://doi.org/10.3390/su9101927
