Abstract
Understanding the role of soil organic matter (SOM) in soil quality and subsequent crop yield and input requirements is useful for agricultural sustainability. SOM is widely considered to affect a wide range of soil properties, however, great uncertainty still remains in identifying the relationships between SOM and crop yield due to the difficulty in separating the effect of SOM from other yield-limiting factors. Based on 543 on-farm experiments, where paired treatments with and without NPK fertilizer were conducted during 2005–2009, we quantified the inherent soil productivity, fertilization effect, and their contribution to rice yield and further evaluated their relationships with SOM contents under a rice cropping system in the Sichuan Basin of China. The inherent soil productivity assessed by rice grain yield under no fertilization (Y-CK) was 5.8 t/ha, on average, and contributed 70% to the 8.3 t/ha of rice yield under NPK fertilization (Y-NPK) while the other 30% was from the fertilization effect (FE). No significant correlation between SOM content and Y-NPK was observed, however, SOM content positively related to Y-CK and its contribution to Y-NPK but negatively to FE and its contribution to Y-NPK, indicating an increased soil contribution but a decreased fertilizer contribution to rice yield with increasing SOM. There were significantly positive relationships between SOM and soil available N, P, and K, indicating the potential contribution of SOM to inherent soil productivity by supplying nutrients from mineralization. As a result, approaches for SOM accumulation are practical to improve the inherent soil productivity and thereafter maintain a high crop productivity with less dependence on chemical fertilizers, while fertilization recommendations need to be adjusted with the temporal and spatial SOM variation.
Keywords:
soil organic carbon; fertilizer; crop productivity; rice yield; paddy soil; soil fertility 1. Introduction
The whole world, particularly developing countries including China, currently faces huge challenges to achieve agricultural sustainability while ensuring food security, environmental health, and greenhouse gas emission mitigation [1]. In recent decades, SOM accumulation, and hence soil organic carbon (SOC) sequestration, has been given much attention as a climate change mitigation option on global and regional scales to address the rapidly increasing CO2 in the atmosphere [2]. On the other hand, SOM accumulation is an important option, not only to mitigate climate change, but also to improve soil quality because of its extensive impacts on soil physical, chemical, and biological properties [3,4]. In previous studies, changes of SOM in croplands have been quantified using different scales in China [5,6], however, the potential influence of the SOM change on crop yields and input requirements in the farmland systems is unclear because great uncertainty about the relationship between SOM and crop yield still remains.
There were a number of studies about the effects of SOM on crop yield, however, results were inconsistent. Studies on individual sites demonstrated a positive effect of increasing SOM content on crop yields for a variety of crops and locations [7,8,9]. In reviews of studies, Lal [10,11,12] stressed the double benefits from SOM accumulation in crop yield increase and organic carbon sequestration, thereby enhancing global food security and mitigating climate change, particularly in instances where SOM was depleted. Based on a statistic dataset, Pan et al. [13] found that SOM was positively correlated with crop productivity but negatively correlated with yield variability at a province level in China, although their analysis did not account for other variables that might explain yield. The long-term experiment at Rothamsted and Woburn showed that yields for a rotation of potatoes, winter wheat, sugar beet, and spring barley were always larger on soils holding more organic matter, despite equal levels of nitrogen (N) application [3]. However, Alvarez and Grigera [14] found that growing season precipitation was the factor more closely associated with wheat and corn yield, while organic matter had no detectable influence on wheat and corn yield in the semi-arid Argentine Pampas. In temperate regions there is little quantitative evidence to indicate that a reduction in SOM would have a marked effect on crop yield [15]. Furthermore, based on the analysis of a large dataset, Oelofse et al. [16] challenged the importance of SOM in contributing to crop yield in context with similar soils and climates, and proposed that further studies were thus required to elucidate the effect of SOM on crop yields.
SOM can contribute to soil quality and subsequent crop yield in a number of ways, for instance, nutrient cycling and supplying during its decomposition, aggregate stability and soil porosity, water-holding capacity especially available water, and cation exchange capacity [3,4]. On the other hand, the crop yield is a consequence of interactions among intrinsic soil properties, external climatic conditions, and management strategies including fertilization, irrigation, and tillage. Therefore, it is difficult to predict the overall effect of SOM on crop productivity and to identify and quantify which attributes of SOM contribute to this effect. Among many attributes, the contribution of SOM to the supply of indigenous nutrients for plant growth by mineralization is one of the important aspects that affects crop yields [17,18], but this effect might be confused with applied mineral nutrients. The crop yield under no-fertilization, defined as inherent soil productivity, can reflect the primary capacity of soil itself for food production [19]. As a result, partitioning inherent soil productivity from the fertilization effect and then evaluating their response to SOM would promote our understanding of the relationship between SOM and crop yield.
Based on a total of 543 on-farm experiments across a range of SOM contents with similar climates and soils under rice cropping systems in the Sichuan Basin of Southwest China, the purpose of this paper is (1) to quantify the inherent soil productivity, fertilization effect, and their contributions to crop yield; and (2) to investigate the relationship between SOM and inherent soil productivity, the fertilization effect, and their contributions to rice yield.
2. Materials and Methods
2.1. Study Site
Multi-field experiments were conducted over 2.6 × 105 km2 of the Sichuan Basin, located in the east part of Sichuan Province (97°21′E–108°31′E, 26°03′N–34°19′N) and most of the Chongqing Municipal City (105°11′E–110°11′E, 28°10′N–32°13′N), China. With ~5 million ha of intensive agricultural farmlands, this basin accounts for 11% of both the cultivation and production of rice (Oryza sativa L.) for the whole country. The Sichuan Basin has a subtropical monsoon climate with 14–19 °C mean annual temperature, 920–1570 mm mean annual evaporation, 1000–1200 mm mean annual rainfall and 270–363 mean annual frost-free days. The landscape in this basin is mostly characterized as low hills and alluvial plains between 200 m and 1500 m above the sea level. The major soil type in this basin is classified as Purpli-Udic Cambosols with a typical purplish color.
2.2. Experimental Design
During the 2005–2009 rice cropping season, on-farm experiments were conducted at 543 sites (11 in 2005, 115 in 2006, 171 in 2007, 210 in 2008 and 36 in 2009) located in 87 counties or districts (counties hereafter), which represent a range of climate and soil variation in the Sichuan Basin as above mentioned (Figure 1). The cropping system consisted of a single crop of rice per year (a range of varieties or cultivars with similar yield potential) transplanted in April and harvested in August, and the paddy field was then under fallow with flooding water from August to April of the next year.
Figure 1.
Geographic locations of 543 on-farm experimental sites during the 2005–2009 rice seasons in 76 counties (the grey areas) of the Sichuan Basin, China.
In each field site, all data were collected from two treatments with or without chemical nitrogen (N), phosphorus (P), and potassium (K) fertilizers. Annual chemical fertilization rates between 2005 and 2009 were based on local farm practice and averaged 150 kg N, 80 kg P2O5, and 84 kg K2O per ha and ranged from 45–278 kg N, 27–150 kg P2O5 and 15–210 kg K2O per ha. The fertilizers applied were urea, calcium superphosphate, and potassium chloride. Half of the N and all of the P and K fertilizers were applied to paddy soils during plowing prior to transplanting, while the other half of the N was top-dressed at the rice tiller or panicle initiation stage. The plot sizes were at least 20 m2 with at least three replicates but the replicates were not necessarily the same size, according to the experimental field. To avoid nutrients flowing with water between plots, each plot was isolated all year round by 40 cm tall soil baffle plates wrapped with waterproof plastic sheeting.
2.3. Soil and Plant Measurement
Soil samples at 0–20 cm depth were collected with 5 cm diameter angers before rice planting. To ensure homogeneity, five cores as one composite sample were randomly taken from each site. While still moist, the soil was gently broken into small clods by hand in the laboratory. After debris removal, soils were air-dried and then sieved through 0.25 mm mesh for the analyses of SOM according to the wet digestion method with H2SO4-K2Cr2O7 [20]. The chemical properties for the bulk soil from the 543 sites (Mean ± SD) were as follows: pH 6.3 ± 1.1, SOM 26.2 ± 8.0 g/kg, total N 1.45 ± 0.54 g/kg, Alkali-hydrolyzable N 135.3 ± 43.9 mg/kg, Olsen-P 12.4 ± 12.1 mg/kg, and NH4OAc-K 86.7 ± 32.7 mg/kg. Dry weight of grain yields was calculated from the crops harvested from a 5 m2 section of the middle area of each plot with a 14% moisture adjustment.
2.4. Data Calculations and Statistical Analyses
The plant-based agronomic approach was used to assess inherent soil productivity in this study [19]. In this approach, the yield under no-fertilization was defined as the inherent soil productivity (Y-CK) while the fertilizer effect (FE) was the difference between Y-CK and rice yield under the combination of chemicals N, P, and K fertilization (Y-NPK). For each experiment, the relative contribution of soil (CS) and contribution of fertilizer (CF) to crop yield was defined as a percentage of Y-CK or FE to rice yield. All parameters mentioned above were calculated as follows:
FE (t/ha) = Y-NPK − Y-CK
CS (%) = Y-CK/Y-NPK × 100%
CF (%) = FE/Y-NPK × 100%
The Pearson correlation analysis was used to assess correlations among SOM and these parameters. All statistical calculations were performed with SigmaPlot 12.0 (Systat Software Inc., San Jose, CA, USA).
3. Results
3.1. Y-NPK, Y-CK and FE
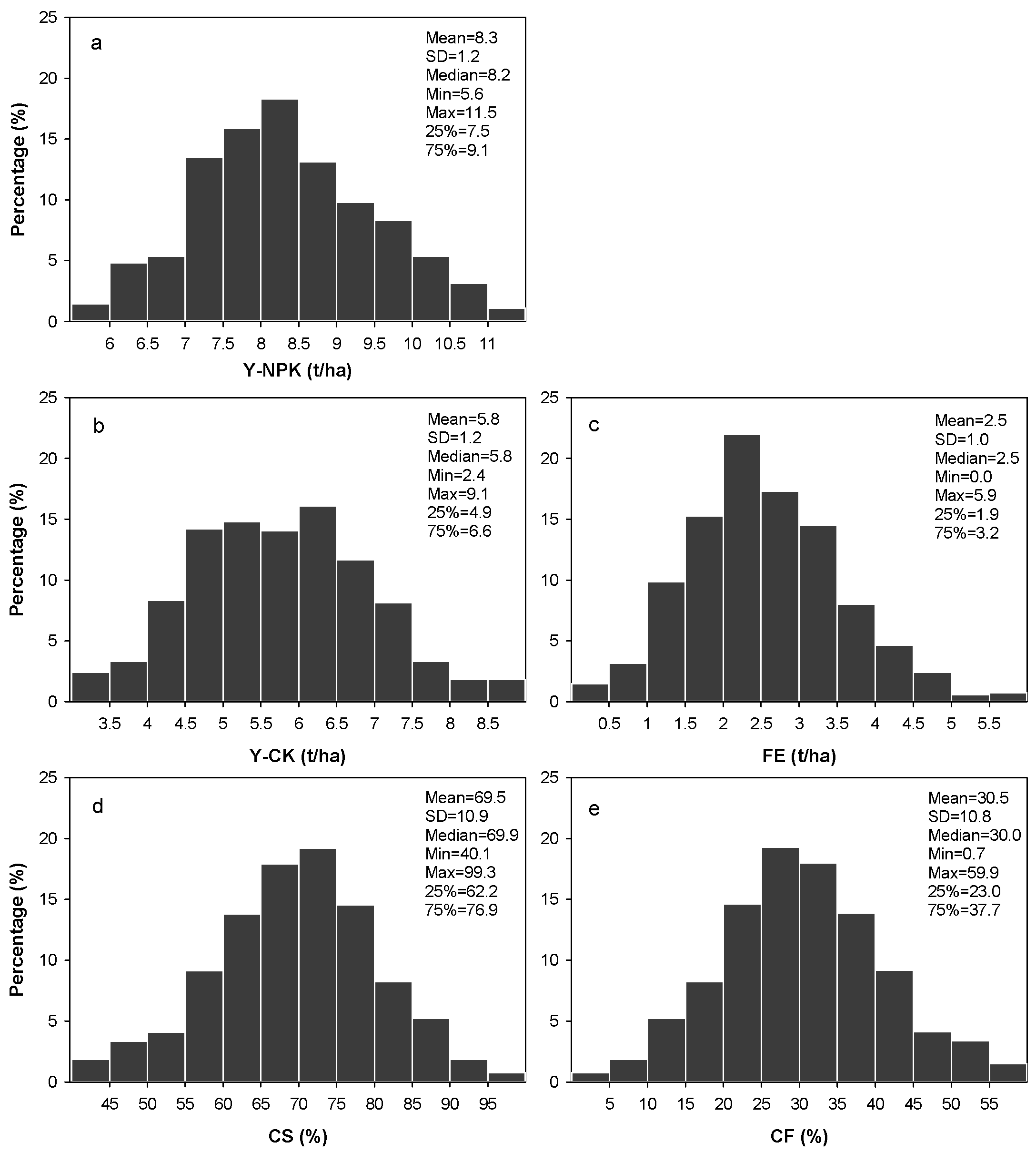
Although a great variation among yields was observed, the rice yield under NPK fertilization (Y-NPK) ranged from 5.6 t/ha to 11.5 t/ha and averaged 8.3 t/ha in the Sichuan Basin (Figure 2a). The average inherent soil productivity assessed by rice yield under no-fertilization (Y-CK) was 5.8 t/ha and accounted for 70% of the average rice yield under NPK fertilization (Y-NPK) (Figure 2b,d). Correspondingly, the fertilization effect (FE) of chemical NPK averaged 2.5 t/ha and contributed to 30% of Y-NPK (Figure 2c,e).
Figure 2.
Frequency distribution of rice yield with (a) NPK fertilizers (Y-NPK) and without (b) NPK fertilizers (Y-CK), (c) fertilization effect (FE), and (d) contribution of Y-CK (CS) and (e) contribution of fertilizer (CF) to Y-NPK.
As shown in Figure 3, Y-CK was positively correlated to Y-NPK (r = 0.61, p < 0.05), but negatively to FE (r = −0.44, p < 0.05), indicating that high rice yield under fertilizer application but low fertilization effect were likely to be obtained in fields with high inherent soil productivity.
Figure 3.
Relationships between Y-CK and Y-NPK or FE.
3.2. Relationships between SOM and Y-NPK, Y-CK or FE
The SOM content varied from 5.0 g/kg to 50.6 g/kg and averaged 26.2 g/kg among all sites (Figure 4). No significant correlation between SOM content and rice yield under NPK fertilization (Y-NPK) was observed (Figure 5a). However, after partitioning the fertilization effect and inherent soil productivity, SOM contents positively related to Y-CK (r = 0.21, p < 0.05), but negatively to FE (r = −0.23, p < 0.05) (Figure 5b). Similarly, SOM contents positively related to the relative contribution of inherent soil productivity (CS, r = 0.26, p < 0.05), but negatively to fertilization effect to Y-NPK (CF, r = −0.26, p < 0.05) (Figure 5c).
Figure 4.
Frequency distribution of soil organic matter (SOM) content in plough layer (0–20 cm) of experimental fields.
Figure 5.
Relationships between SOM content and Y-NPK, Y-CK, fertilization effect (FE), contribution of Y-CK (CS) or FE (CF) to Y-NPK. (a) Y-NPK; (b) Y-CK and fertilization effect (FE) and (c) CS and CF.
No significant correlations between SOM content and N, P, or K fertilizer rates were detected (Figure 6), excluding the potential variable of fertilizer amount confounding the negative relationships between SOM and FE.
Figure 6.
Relationships between SOM content and nitrogen (N), phosphorus (P), and potassium (K) fertilizer rates. (a) Fertilizer N rate (kg/ha); (b) Fertilizer P2O5 rate (kg/ha) and (c) Fertilizer K2O rate (kg/ha).
3.3. Relationship between SOM and Soil Nutrients
As showed in Figure 7, there was a significantly positive correlation between SOM contents and soil available nutrients (p < 0.05), indicating that supplying nutrients from mineralization is one of the important contributions of SOM to crop yield. Due to the majority of soil N existing in an organic form, the soil alkali-hydrolyzable N was strongly correlated with SOM content (r = 0.57). Albeit weak, the relationship between SOM content and Olsen-P (r = 0.12) and NH4Ac-K (r = 0.17) was significant.
Figure 7.
Relationships between SOM content and soil alkali-hydrolyzable N, Olsen-P or NH4OAc-K. (a) Soil alkali-hydrolyzable N (mg/kg); (b) Soil Olsen-P (mg/kg) and (c) Soil NH4OAc-K (mg/kg).
4. Discussion
The 8.3 t/ha of average rice yield under fertilization in the Sichuan Basin (Figure 2) was 30% higher than that in the whole of China at 6.4 t/ha and 90% higher than that from around the world at 4.4 t/ha in the same period from 2005–2009 based on statistical data [21]. The fertilization effect was similar with results from the same rice cropping system in the Hubei province, which is nearby the Sichuan Basin, from 2006–2008 [22]. However, the inherent soil productivity (5.8 t/ha) was higher than that in five tropical Asian nations (3.3–4.9 t/ha) [23] while the contribution of chemical NPK fertilization to rice yields in this study (30%) was at the bottom of the range of a 30%–60% contribution for major crops including corn, wheat, rice, soybean, and cowpea in the USA and England [24]. These results indicated the importance of inherent soil productivity in rice yield, which is demonstrated by the positive correlation of Y-NPK and Y-CK (Figure 3). However, the fertilization effect was negative to inherent soil productivity, which was mainly attributable to high soil nutrient supply in soils with high inherent productivity. For instance, Zeng et al. [25] observed a higher contribution of soil N but lower contribution of N fertilization to rice yield in high compared to low fertility fields in the Jianghan Plain of China. From a historical perspective, the improvement of inherent soil productivity averagely contributed to a 31% yield increase for China’s major cereal crops such as rice, wheat, and maize since 1980 in the Chinese farmlands [19]. As a result, it could be feasible to implement agricultural management to improve inherent soil productivity and thus crop yield particularly in the low-yield farmlands, which at present occupy one third of the total farmlands in China [26].
Eighty-five percent of the experiment sites had a SOM content below 35 g/kg (ca. 2% SOC) (Figure 4), a widely believed critical level below which a potentially serious decline in soil quality would occur [15]. However, no significant correlation between SOM and Y-NPK was observed, which differed from previous reports that SOM significantly positively related to crop yield based on individual sites [12] and provincial level statistic data [13]. In the investigations from individual sites, the effect of SOM on crop yield was not separated from the improving effect of fertilizer application, while the conjunct change of SOM and crop productivity among provinces might be the concurrent results of climate, cropping system, and soil type rather than the causality between SOM and crop yield. However, the field experiments across comparatively larger multiple sites in the current study might still allow for a variety of confounding variables (e.g., abiotic micro-climates, soil heterogenetic properties, and agricultural managements) to mask the role of SOM in crop yield. For instance, Körschens et al. [27] analyzed the results from 13 European long-term experiments and found no positive yield response neither by a higher SOM level in soil nor by farmyard manure application when mineral fertilization was optimized, indicating the role of SOM in crop yield might be covered by mineral fertilization.
One of the hypotheses was the effect of SOM might be expected to be more pronounced under nutrient limiting conditions, because mineralization from a larger SOM pool should be able to supply more nutrients. After partitioning the fertilization effect and inherent soil productivity, the hypothesis was supported by an increasing trend of both the inherent soil productivity and its contribution to crop yield with the increase of SOM contents, but a decreasing trend of fertilization effect and its contribution to crop yield under the combined application of NPK (Figure 5). Fertilizer rate was the potential variable confounding the negative relationships between SOM and fertilization effect, but it was excluded by non-significant correlations between SOM content and N, P, or K fertilizer rates (Figure 6). The opposite trend of inherent soil productivity and fertilization together led to the lack of relationships between SOM and rice yield under NPK fertilization.
Based on historical data consisting of 560 winter wheat and 309 spring barley field trials in Denmark, Oelofse et al. [16] recently found no or slight relationships between SOC and the potential grain yield or the yield with no fertilizer N application, and thus speculated that in situations where nutrient limitation did not occur, SOC levels above 1% (about 17 g/kg SOM) might be sufficient to sustain yields. In this study, most the of sites (87%) contained SOM content above 17 g/kg, however, SOM content significantly related to inherent soil productivity (i.e., unfertilized yield), although it did not relate to rice yield under fertilizer application. The possible reasons for the difference were that the continuous cropping history and favorable irrigation condition of the paddy fields used in this study excluded the confounded variables, as discussed, including farm type (dairy farm vs. arable farm) and cropping history, especially the presence of grass leys and soil drainage. Furthermore, precipitation could play a more important role in crop yield for the upland system than paddy system. By pooling the published data, Alvarez et al. [28] found that SOC was the variable more correlated with unfertilized wheat yields under a wide range of soils and management conditions in the Humid Pampa of Argentina and ascribed this to its ability to act as source of nutrients; however, other variables including rainfall also correlated positively to yield. In the semiarid Argentine Pampas, data collected from 134 production fields indicated that wheat yields without fertilization were related to both soil water retention and SOC contents in 0–20 cm soil layer in years with low moisture, while nutrient availability was the limiting factor in the absence of water deficit [29].
There was a strong correlation between SOM and soil available N (Figure 7), because mineralization of SOM by which organic N is converted to mineral N is a major process for the provision of N. Studies have used SOM contents along with other indexes to evaluate the soil N supplying capacity and N fertilization rate. For instance, Cui et al. [17] estimated that soil N supply was increased by 5.37 kg/ha for each g/kg SOM during summer maize season and by 3.68 and 9.76 kg/ha during winter wheat season for low and high yielding fields, respectively, in the North China plain. Espe et al. [18] estimated a linear effect of 1.44 kg/ha for every g/kg increase in SOC for rice on organic soils. However, Cassman et al. [30] observed a poor correlation between indigenous N supply and SOC in the rice systems, and attributed the N content to the N inputs from sources other than SOM mineralization, degree of congruence between soil N supply and crop demand, and differences in SOM quality. Obviously, the N supply from SOM mineralization would vary substantially, and it should be incorporated into other fertilization recommendation strategies such as site-specific nutrient management in a given region having similar soil properties, climate, and crop management [18].
Albeit weak, there was significant correlation between SOM and soil available P and K content (Figure 7). Tiessen et al. [31] reported a larger loss of organic N and P reserves in prairie and forest soil when the natural rates of SOM mineralization was accelerated during agricultural use without supplementary fertilization in three different climate zones. They argued that the labile P was reduced, arising from the mineralization of organic P and the subsequent transformation of surplus inorganic P to unavailable forms associated with calcium (Ca) in temperate soils or iron (Fe) and aluminum (Al) in tropical soils. SOM could prevent P being fixed into unavailable forms, keeping it in the form which remained in the available pool for plants, even if this organic P needed to be mineralized before it became immediately available to plants [4]. In addition to the effect on N and P, SOM contains both anion and cation exchange sites that might be able to hold readily available K for crops [3].
In general, a certain amount of nutrients is enough for a crop to attain its potential yield under specific climate and farming management. When crop demand for nutrients remains constant, an increase in soil nutrient supply from SOM mineralization would decrease the yield increase from fertilization, while reduced amounts of SOM mineralization would cause a decrease of indigenous soil nutrient supply and necessitate fertilization for optimal crop production. For example, data from 13 European long-term experiments showed that 43 kg/ha more mineral N fertilizer was necessary to reach the highest yield, but optimal N declined from 147 kg/ha at low SOM to 108 kg/ha at high SOM in the treatments without farmyard manure while the optimal mineral N ranged from 96 kg/ha at low SOM to 67 kg/ha at high SOM in the farmyard manure plots [27]. Therefore, soils with higher SOM could supply more nutrients to support high inherent soil productivity but could rely less on external fertilizer input compared with soils with lower SOM, and over application of fertilizer inputs would not significantly increase the nutrient uptake by crops for both growth and yield but increase the potential of environmental risks. So, agricultural practices for SOM accumulation should be considered as an effective tool to improve the inherent soil productivity and decrease the consumption of chemical fertilizers while maintaining or increasing crop production; correspondingly, nutrient input should be adjusted in accordance with the temporal and spatial changes in SOM levels in order to optimize the fertilization recommendation [32,33].
5. Conclusions
Our results demonstrated that the inherent soil productivity under no-fertilization and the combined NPK fertilization contributed 70% and 30% of the total rice yield under fertilization in the rice cropping system in the Sichuan Basin, China, respectively. An increase of SOM significantly improved the inherent soil productivity, but also significantly decreased the fertilizer effect, indicating an increased soil contribution but a decreased fertilizer contribution to the total crop yield. The significantly positive correlation between SOM contents and soil available N, P, and K indicate that supplying nutrients from mineralization is a potential contributor of SOM to crop yield among the wide range of effects in the rice cropping system. Therefore, practices for SOM accumulation should be implemented to improve the inherent soil productivity, while nutrients input or fertilization management should be adjusted in accordance with the temporal and spatial changes of SOM in recent decades to optimize the fertilizer application.
Acknowledgments
This study was supported by the National Key Technology Research and Development Program (2015BAD06B04).
Author Contributions
Xiao-Jun Shi and Yue-Qiang Zhang designed the research; Xin-Cheng Huang collected and analyzed the data; Ya-Nan Zhao and Xin-Hua He interpreted results and wrote the paper; all authors read and approved the final manuscript.
Conflicts of Interest
The authors declare no conflict of interest.
References
- West, P.C.; Gerber, J.S.; Engstrom, P.M.; Mueller, N.D.; Brauman, K.A.; Carlson, K.M.; Siebert, S. Leverage points for improving global food security and the environment. Science 2014, 345, 325–328. [Google Scholar] [CrossRef] [PubMed]
- Paustian, K.; Lehmann, J.; Ogle, S.; Reay, D.; Robertson, G.P.; Smith, P. Climate-smart soils. Nature 2016, 532, 49–57. [Google Scholar] [CrossRef] [PubMed]
- Johnston, A.E.; Poulton, P.R.; Coleman, K. Soil organic matter: Its importance in sustainable agriculture and carbon dioxide fluxes. Adv. Agron. 2009, 101, 1–57. [Google Scholar]
- Murphy, B.W. Impact of soil organic matter on soil properties-a review with emphasis on Australian soils. Soil Res. 2015, 53, 605–635. [Google Scholar] [CrossRef]
- Huang, Y.; Sun, W. Changes in topsoil organic carbon of croplands in mainland China over the last two decades. Chin. Sci. Bull. 2006, 51, 1785–1803. [Google Scholar] [CrossRef]
- Luo, Y.; Li, Q.; Wang, C.; Fu, Y.; Xin, Z.; Li, B.; Yuan, D. Spatio-temporal variations of soil organic carbon and total nitrogen and driving factors in purple soil hilly area of mid-Sichuan Basin in the past 30 years. Acta Pedol. Sin. 2016, 53, 583–593. (In Chinese) [Google Scholar]
- Bauer, A.; Black, A.L. Quantification of the effect of soil organic matter content on soil productivity. Soil Sci. Soc. Am. J. 1994, 58, 185–193. [Google Scholar] [CrossRef]
- Kanchikerimath, M.; Singh, D. Soil organic matter and biological properties after 26 years of maize–wheat–cowpea cropping as affected by manure and fertilization in a Cambisol in semiarid region of India. Agr. Ecosyst. Environ. 2001, 86, 155–162. [Google Scholar] [CrossRef]
- Seremesic, S.; Milosev, D.; Djalovic, I.; Zeremski, T.; Ninkov, J. Management of soil organic carbon in maintaining soil productivity and yield stability of winter wheat. Plant Soil Environ. 2011, 57, 216–221. [Google Scholar]
- Lal, R. Soil carbon sequestration impacts on global climate change and food security. Science 2004, 304, 1623–1627. [Google Scholar] [CrossRef] [PubMed]
- Lal, R. Enhancing crop yields in the developing countries through restoration of the soil organic carbon pool in agricultural lands. Land Degrad. Dev. 2006, 17, 197–209. [Google Scholar] [CrossRef]
- Lal, R. Beyond Copenhagen: Mitigating climate change and achieving food security through soil carbon sequestration. Food Secur. 2010, 2, 169–177. [Google Scholar] [CrossRef]
- Pan, G.; Smith, P.; Pan, W. The role of soil organic matter in maintaining the productivity and yield stability of cereals in China. Agr. Ecosyst. Environ. 2009, 129, 344–348. [Google Scholar] [CrossRef]
- Alvarez, R.; Grigera, S. Analysis of soil fertility and management effects on yields of wheat and corn in the Rolling Pampa of Argentina. J. Agron. Crop Sci. 2005, 191, 321–329. [Google Scholar] [CrossRef]
- Loveland, P.; Webb, J. Is there a critical level of organic matter in the agricultural soils of temperate regions: A review? Soil Tillage Res. 2003, 70, 1–18. [Google Scholar] [CrossRef]
- Oelofse, M.; Markussen, B.; Knudsen, L.; Schelde, K.; Olesen, J.; Jensen, L.; Bruun, S. Do soil organic carbon levels affect potential yields and nitrogen use efficiency? An analysis of winter wheat and spring barley field trials. Eur. J. Agron. 2015, 66, 62–73. [Google Scholar] [CrossRef]
- Cui, Z.L.; Zhang, F.S.; Chen, X.P.; Miao, Y.X.; Li, J.L.; Shi, L.W.; Xu, J.F.; Ye, Y.L.; Liu, C.S.; Yang, Z.P.; et al. On-farm estimation of indigenous nitrogen supply for site-specific nitrogen management in the North China plain. Nutr. Cycl. Agroecosyst. 2008, 81, 37–47. [Google Scholar] [CrossRef]
- Espe, M.B.; Kirk, E.; van Kessel, C.; Horwath, W.H.; Linquist, B.A. Indigenous nitrogen supply of rice is predicted by soil organic carbon. Soil Sci. Soc. Am. J. 2015, 79, 569–576. [Google Scholar] [CrossRef]
- Fan, M.; Lal, R.; Cao, J.; Qiao, L.; Su, Y.; Jiang, R.; Zhang, F. Plant-based assessment of inherent soil productivity and contributions to China’s cereal crop yield increase since 1980. PLoS ONE 2013, 8, e74617. [Google Scholar] [CrossRef] [PubMed]
- Lu, R. Analytical Method of Soil Agricultural Chemistry; China Agricultural Science and Technology Press: Beijing, China, 2000. (In Chinese) [Google Scholar]
- Food and Agriculture Organization of the United Nations. FAOSTAT-FAO’s Corporate Database. 2016. Available online: http://www.fao.org/statistics/databases/ (accessed on 1 June 2016).
- Wang, W.; Lu, J.; Chen, F.; Lu, M.; Li, H.; Li, X. Study on fertilization effect and fertilizer use efficiency of rice in Hubei province. Plant Nutr. Fertil. Sci. 2010, 16, 289–295. (In Chinese) [Google Scholar]
- Olk, D.C.; Cassman, K.G.; Simbahan, G.; Cruz, P.S.; Abdulrachman, S.; Nagarajan, R.; Satawathananont, S. Interpreting fertilizer-use efficiency in relation to soil nutrient-supplying capacity, factor productivity, and agronomic efficiency. Nutr. Cycl. Agroecosyst. 1999, 53, 35–41. [Google Scholar] [CrossRef]
- Stewart, W.M.; Dibb, D.W.; Johnston, A.E.; Smyth, T.J. The contribution of commercial fertilizer nutrients to food production. Agron. J. 2005, 97, 1–6. [Google Scholar] [CrossRef]
- Zeng, X.; Han, B.; Xu, F.; Huang, J.; Cai, H.; Shi, L. Effect of optimized fertilization on grain yield of rice and nitrogen use efficiency in paddy fields with different basic soil fertilities. Sci. Agric. Sin. 2012, 45, 2886–2894. (In Chinese) [Google Scholar]
- Zeng, X.; Zhang, J.; Wei, C.; Yu, W.; Huang, D.; Xu, M.; Xu, J. The status and reclamation strategy of low-yield fields in China. Acta Pedol. Sin. 2014, 51, 1–8. (In Chinese) [Google Scholar]
- Körschens, M.; Weigel, A.; Schulz, E. Turnover of SOM and long-term balances—Tools for evaluating sustainable productivity of soils. J. Plant Nutr. Soil Sci. 1998, 161, 409–424. [Google Scholar]
- Alvarez, R.; Alvarez, C.R.; Steinbach, H.S. Analysis Association between soil organic matter and wheat yield in Humid Pampa of Argentina. Commun. Soil Sci. Plant Anal. 2002, 33, 749–757. [Google Scholar] [CrossRef]
- Diaz-Zorita, M.; Buschiazzo, D.E.; Peinemann, N. SOM and wheat productivity in the semiarid Argentine Pampas. Agron. J. 1999, 91, 276–279. [Google Scholar] [CrossRef]
- Cassman, K.G.; Dobermann, A.; Cruz, P.S.; Gines, G.C.; Samson, M.I.; Descalsota, J.P.; Alcantara, J.M.; Dizon, M.A.; Olk, D.C. Soil organic matter and the indigenous nitrogen supply of intensive irrigated rice systems in the tropics. Plant Soil 1996, 182, 267–278. [Google Scholar]
- Tiessen, H.; Cuevas, E.; Chacon, P. The role of soil organic matter in sustaining soil fertility. Nature 1994, 371, 783–785. [Google Scholar] [CrossRef]
- Wang, J.Y.; Yan, X.Y.; Gong, W. Effect of long-term fertilization on soil productivity on the North China Plain. Pedosphere 2015, 25, 450–458. [Google Scholar] [CrossRef]
- Duan, Y.; Xu, M.; He, X.; Li, S.; Sun, X. Long-term pig manure application reduces the requirement of chemical phosphorus and potassium in two rice–wheat sites in subtropical China. Soil Use Manag. 2011, 27, 427–436. [Google Scholar] [CrossRef]
© 2016 by the authors; licensee MDPI, Basel, Switzerland. This article is an open access article distributed under the terms and conditions of the Creative Commons Attribution (CC-BY) license (http://creativecommons.org/licenses/by/4.0/).






