Effects of Pig Slurry as Basal and Panicle Fertilizer on Trace Element Content and Grain Quality in Direct-Seeding Rice
Abstract
:1. Introduction
2. Materials and Methods
2.1. Study Site
2.2. Study Materials
2.3. Field Experiment
2.4. Determination of Trace Elements
2.5. Determination of Rice Yield and Grain Quality
2.6. Statistical Analysis
3. Results
3.1. Effects of Pig Slurry on Direct-Seeding Rice Biomass
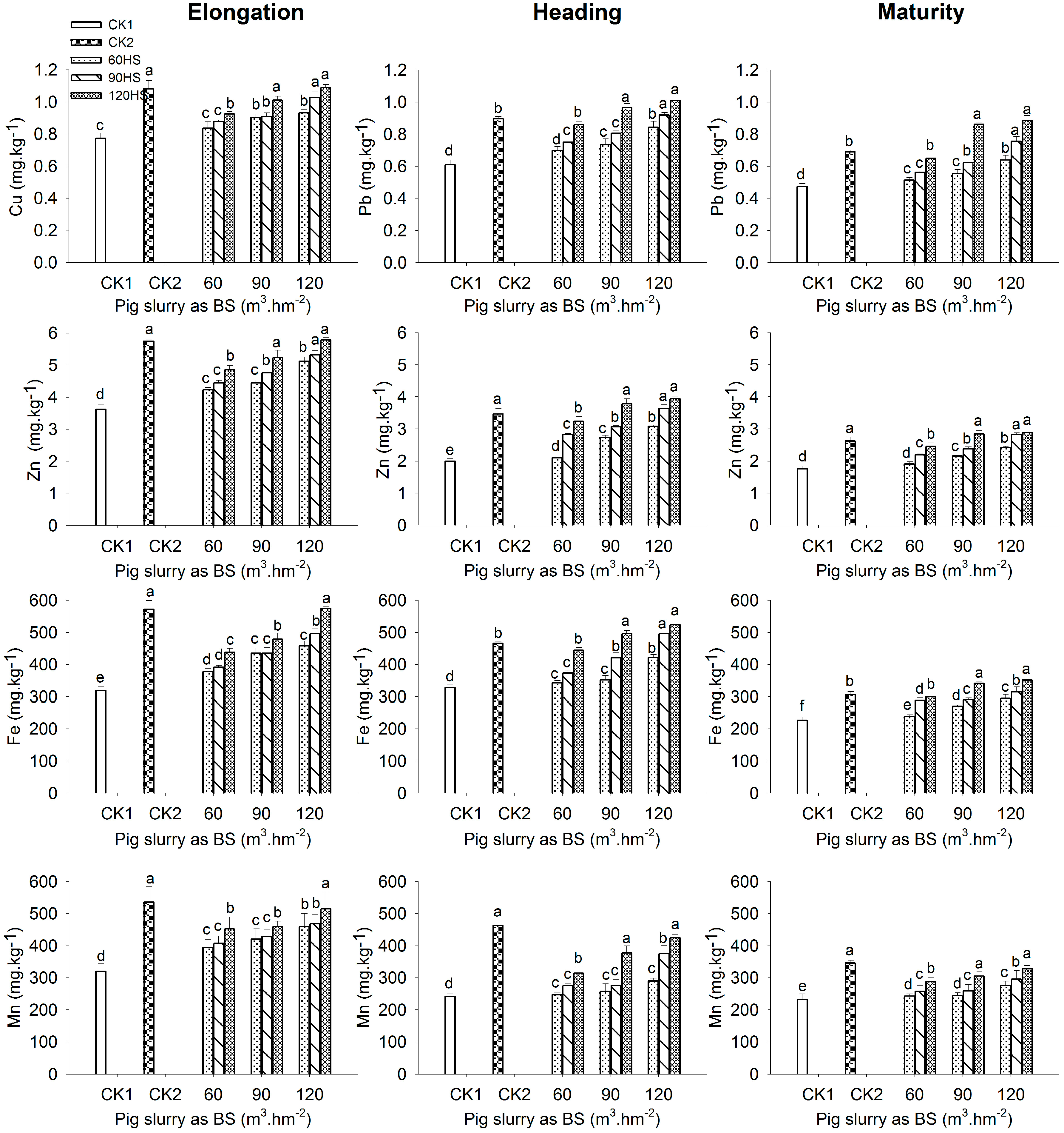
3.2. Effects of Pig Slurry on Trace Element Accumulation in Rice at Different Growth Stages
3.3. Trace Element Content and Translocation in Grains
3.4. Processing, Eating and Cooking Quality of Grain
3.5. Starch Pasting Properties
4. Discussion
5. Conclusions
Acknowledgments
Author Contributions
Conflicts of Interest
References
- Zhang, F.S.; Ma, W.Q.; Cen, X.P. Research and Application of Nutrient Resources Integrated Management Technology; China Agricultural University Press: Beijing, China, 2006. [Google Scholar]
- Marcato, C.E.; Pinelli, E.; Pouech, P.; Winterton, P.; Guiresse, M. Particle size and metal distributions in anaerobically digested pig slurry. Bioresour. Technol. 2008, 99, 2340–2348. [Google Scholar] [CrossRef] [PubMed]
- Brunetto, G.; Comin, J.J.; Schmitt, D.E.; Guardini, R.; Mezzari, C.P.; Oliveira, B.S.; Moraes, M.P.; Gatiboni, L.C.; Lovato, P.E.; Ceretta, C.A. Changes in soil acidity and organic carbon in a sandy typic hapludalf after medium-term pig-slurry and deep-litter application. Rev. Bras. Ciênc. Solo 2012, 36, 1620–1628. [Google Scholar] [CrossRef]
- Couto, R.R.; Santos, M.; Comin, J.J.; Pittol Martini, L.C.; Gatiboni, L.C.; Martins, S.R.; Filho, B.P.; Brunetto, G. Environmental vulnerability and phosphorus fractions of areas with pig slurry applied to the soil. J. Environ. Qual. 2015, 44, 162–173. [Google Scholar] [CrossRef] [PubMed]
- Guardini, R.; Comin, J.J.; Rheinheimer, D.S.; Gatiboni, L.C.; Tiecher, T.; Schmitt, D.E.; Bender, M.A.; Filho, P.B.; Oliveira, P.A.V.; Brunetto, G. Phosphorus accumulation and pollution potential in a Hapludult fertilized with pig manure. Rev. Bras. Ciênc. Solo 2012, 36, 1333–1342. [Google Scholar] [CrossRef]
- Scherer, E.E.; Nesi, C.N.; Massotti, Z. Long-term swine manure fertilization and its effects on soil chemical properties in Santa Catarina, southern Brazil. Rev. Bras. Ciênc. Solo 2010, 34, 1375–1383. [Google Scholar] [CrossRef]
- Tao, X.T.; Zhu, Z.J.; Gao, W.; Miao, C.Y.; Wang, Y.L.; Huang, L.F.; Zhuang, H.Y.; Lu, J.F. Nitrogen uptake and utilization in wheat as influenced by pig slurry from large-scale pig farm. J. Agro-Environ. Sci. 2014, 33, 555–561. (In Chinese) [Google Scholar]
- Gomez-Munoz, B.; Case, S.D.C.; Jensen, L.S. Pig slurry acidification and separation techniques affect soil N and C turnover and N2O emissions from solid, liquid and biochar fractions. J. Environ. Manag. 2016, 168, 236–244. [Google Scholar] [CrossRef] [PubMed]
- Legros, S.; Doelsch, B.; Feder, F.; Moussard, G.; Sansoulet, J.; Gaudet, J.P.; Rigaud, S.; Basile Doelsch, I.; Saint Macary, H.; Bottero, J.Y. Fate and behaviour of Cu and Zn from pig slurry spreading in a tropical water–soil–plant system. Agric. Ecosyst. Environ. 2013, 164, 70–79. [Google Scholar] [CrossRef]
- Mallmann, F.J.K.; Rheinheimer, D.S.; Ceretta, C.A.; Cella, C.; Minella, J.P.G.; Guma, R.L.; Filipovié, V.; Oort, F.V.; Simunek, J. Soil tillage to reduce surface metal contamination model development and simulations of zinc and copper concentration profiles in a pig slurry-amended soil. Agric. Ecosyst. Environ. 2014, 196, 59–68. [Google Scholar] [CrossRef]
- Li, P.; Wang, X.X.; Zhang, T.L.; Zhou, D.M.; He, Y.Q. Effects of several amendments on rice growth and uptake of copper and cadmium from a contaminated soil. J. Environ. Sci. 2008, 20, 449–455. [Google Scholar] [CrossRef]
- Jia, Y.; Sun, G.X.; Huang, H.; Zhu, Y.G. Biogas slurry application elevated arsenic accumulation in rice plant through increased arsenic release and methylation in paddy soil. Plant Soil 2013, 365, 387–396. [Google Scholar] [CrossRef]
- Ye, X.X.; Sun, B.; Yin, Y.L. Variation of As concentration between soil types and rice genotypes and the selection of cultivars for reducing as in the diet. Chemosphere 2012, 87, 384–389. [Google Scholar] [CrossRef] [PubMed]
- Sasada, Y.; Win, K.T.; Nonaka, R.; Win, A.T.; Toyota, K.; Motobayashi, T.; Hosomi, M.; Chen, D.J.; Lu, J. Methane and N2O emissions, nitrate concentrations of drainage water, and zinc and copper uptake by rice fertilized with anaerobically digested cattle or pig slurry. Biol. Fertil. Soils 2011, 47, 949–956. [Google Scholar] [CrossRef]
- De Conti, L.; Ceretta, C.A.; Ferreira, P.A.A.; Lourenzi, C.R.; Girotto, E.; Lorensini, F.; Tiecher, T.L.; Marchezan, C.; Anchieta, M.G.; Brunetto, G. Soil solution concentrations and chemical species of copper and zinc in a soil with a history of pig slurry application and plant cultivation. Agric. Ecosyst. Environ. 2016, 216, 374–386. [Google Scholar] [CrossRef]
- Win, A.T.; Koki, T.; DaisUKe, I.; Seiya, C.; Takashi, M.; NatsUKo, T.; Taiichiro, O.; Tadashi, H. Effect of two whole-crop rice (Oryza sativa L.) cultivars on methane emission and Cu and Zn uptake in a paddy field fertilized with biogas slurry. Soil Sci. Plant Nutr. 2016, 62, 99–105. [Google Scholar] [CrossRef]
- Duan, G.L.; Zhang, H.M.; Liu, Y.X.; Jia, Y.; Hu, Y.; Cheng, W.D. Long-term fertilization with pig-biogas residues results in heavy metal accumulation in paddy field and rice grains in Jiaxing of China. Soil Sci. Plant Nutr. 2012, 58, 637–646. [Google Scholar] [CrossRef]
- Rana, M.M.; Al Mamun, M.A.; Zahan, A.; Zahan, A.; Ahmed, M.N.; Jalil Mridha, M.A. Effect of planting methods on the yield and yield attributes of short duration Aman rice. Am. J. Plant Sci. 2014, 5, 251–255. [Google Scholar] [CrossRef]
- Watanabe, K.; Koji, S.; Hidaka, K.; Nakamura, K. Abundance, diversity, and seasonal population dynamics of aquatic Coleoptera and Heteroptera in rice fields: Effects of direct seeding management. Environ. Entomol. 2013, 42, 841–850. [Google Scholar] [CrossRef] [PubMed]
- Thakur, A.K.; Roychowdhury, S.; Kundu, D.K.; Singh, R. Evaluation of planting methods in irrigated rice. Arch. Agron. Soil Sci. 2004, 50, 631–640. [Google Scholar] [CrossRef]
- Ko, J.Y.; Kang, H.W. The effects of cultural practices on methane emission from rice fields. Nutr. Cycl. Agroecosyst. 2000, 58, 311–314. [Google Scholar] [CrossRef]
- Qiang, G. Research progress on cultivation technique of direct-seeding rice in the middle and lower reaches of the Yangtze River. South China Agric. 2015, 18, 36–37. (In Chinese) [Google Scholar]
- Balasubramanian, V.; Hill, J.E. Direct seeding of rice in Asia: Emerging issues and strategic research needs for the 21st century. In Direct Seeding: Research Strategies and Opportunities; Pandey, S., Mortimer, M., Wade, L.P., Lopez, K., Hardy, B., Eds.; International Rice Research Institute: Metro Manila, Philippines, 2002; pp. 15–39. [Google Scholar]
- Bhushan, L.; Ladha, J.K.; Gupta, R.K.; Singh, S.; Tirol-Padre, S.; Saharawat, Y.S.; Gathala, M.; Pathak, H. Saving of water and labor in a rice–wheat system with no-tillage and direct seeding technologies. Agron. J. 2007, 99, 1288–1296. [Google Scholar] [CrossRef]
- Farooq, M.; Basra, S.M.A.; Asad, S.A. ComParison of conventional puddling and dry tillage in rice–wheat system. Paddy Water Environ. 2008, 6, 397–404. [Google Scholar] [CrossRef]
- Mahmood, N.; Chatha, Z.A.; Akhtar, B.; Muhammad, S. Response of rice to different sowing methods. Asian J. Plant Sci. 2002, 1, 144–145. [Google Scholar]
- Huang, L.F.; Gao, W.; Zhu, Z.J.; Liu, X.C.; Quan, X.Y.; Xu, X.; Wang, Y.L.; Tao, X.T.; Zhuang, H.Y. The effects of different combinations of large-scale pig farm waste water and nitrogen fertilizer on wheat dry matter accumulation and yield formation. China Agric. Sci. Bull. 2012, 28, 165–170. (In Chinese) [Google Scholar]
- Gao, W.; Lu, D.M.; Miao, C.Y.; Wang, Y.L.; Quan, X.Y.; Zhuang, H.Y.; Lu, J.F. Effects of pig slurry form large-scale pig farm on rice yield formation and quality. J. Agro-Environ. Sci. 2012, 31, 2256–2264. (In Chinese) [Google Scholar]
- Gao, W.; Wang, Y.L.; Tao, X.T.; Shi, J.Q.; Xu, X.; Lu, J.F.; Zhuang, H.Y. Effects of pig slurry from large-scale pig farm on medium, micro-and heavy elements contents of rice. J. Agro-Environ. Sci. 2013, 32, 1639–1647. (In Chinese) [Google Scholar]
- Wu, Q.; Leung, J.Y.S.; Geng, X.; Chen, S.; Huang, X.; Li, H.; Huang, Z.; Zhu, L.; Chen, J.; Lu, Y. Heavy metal contamination of soil and water in the vicinity of an abandoned e-waste recycling site: Implications for dissemination of heavy metals. Sci. Total Environ. 2015, 506, 217–225. [Google Scholar] [CrossRef] [PubMed]
- Zhu, H.; Zhong, H.; Wu, J. Incorporating rice residues into paddy soils affects methylmercury accumulation in rice. Chemosphere 2016, 152, 259–264. [Google Scholar] [CrossRef] [PubMed]
- Supervising Department of Quality and Technology of China. Available online: http://news.foodqs.cn/jcbz03/200391022013.htm (accessed on 10 September 2003). (In Chinese)
- Mantovi, P.; Baldoni, G.; Toderi, G. Reuse of liquid, dewatered, and composted sewage sludge on agricultural land: Effects of long-term application on soil and crop. Water Res. 2005, 39, 289–296. [Google Scholar] [CrossRef] [PubMed]
- Liu, W.K.; Du, L.F.; Yang, Q.C. Biogas slurry added amino acids decreased nitrate concentrations of lettuce in sand culture. Acta Agric. Scand. B Soil Plant Sci. 2009, 59, 260–264. [Google Scholar]
- Galavi, M.; Yosefi, K.; Ramrodi, M. Effect of bio-phosphate and chemical phosphorus fertilizer accompanied with foliar application of micronutrients on yield, quality and phosphorus and zinc concentration of maize. J. Agric. Sci. 2011, 3, 22–29. [Google Scholar] [CrossRef]
- Zaniewicz-Bajkowska, A.; Rosa, R.; Franczuk, J.; Kostern, E. Direct and secondary effect of liming and organic fertilization on cadmium content in soil and in vegetables. Plant Soil Environ. 2007, 53, 473–481. [Google Scholar]
- Bian, B.; Wu, H.S.; Lv, L.; Fan, Y.M.; Lu, H.M. Health risk assessment of metals in food crops and related soils amended with biogas slurry in Taihu Basin: Perspective from field experiment. Environ. Sci. Pollut. Res. 2015, 22, 14358–14366. [Google Scholar] [CrossRef] [PubMed]
- Wu, J.; Yang, Q.; Yang, G.; Shen, F.; Zhang, X.H.; Zhang, Y.Z. Effects of biogas slurry on yield and quality of oil-seed rape. J. Plant Nutr. 2013, 36, 2084–2098. [Google Scholar] [CrossRef]
- Liu, W.K.; Yang, Q.C.; Du, L.F. Soilless cultivation for high-quality vegetables with biogas manure in China: Feasibility and benefit analysis. Renew. Agric. Food Syst. 2009, 24, 300–307. [Google Scholar] [CrossRef]
- Zhang, Z.J.; Xie, C.L.; Xie, R.K.; Lang, Y.Z.; Yang, L.; Zhang, J.F.; Zhu, Q.S. Population production capacity of direct-seeding rice in central Jiangsu Region and effects of nitrogen application. Acta Agron. Sin. 2011, 37, 677–685. (In Chinese) [Google Scholar] [CrossRef]


| Treatment | Pig Slurry as Basal Fertilizer (m3·hm−2) | Pig Slurry as Panicle Fertilizer (m3·hm−2) | Total Amount of Pig Slurry (m3·hm−2) |
|---|---|---|---|
| T1 | 60 | 60 | 120 |
| T2 | 60 | 90 | 150 |
| T3 | 60 | 120 | 180 |
| T4 | 90 | 60 | 150 |
| T5 | 90 | 90 | 180 |
| T6 | 90 | 120 | 210 |
| T7 | 120 | 60 | 180 |
| T8 | 120 | 90 | 210 |
| T9 | 120 | 120 | 240 |
| CK1 a | 0 | 0 | 0 |
| CK2 b | 0 | 0 | 0 |
| Treatment | Straw | Grain |
|---|---|---|
| T1 | 7184.69 ± 188.27g | 6542.00 ± 201.22f |
| T2 | 7454.74 ± 261.03e | 6979.55 ± 239.57e |
| T3 | 7581.56 ± 212.89d | 7479.55 ± 267.31c |
| T4 | 7216.14 ± 181.15f | 6948.25 ± 236.19e |
| T5 | 7447.43 ± 281.67e | 7333.70 ± 287.34d |
| T6 | 7837.75 ± 260.56c | 7771.20 ± 314.73b |
| T7 | 7418.24 ± 377.64e | 7427.45 ± 287.45c |
| T8 | 8136.09 ± 253.35b | 7729.55 ± 290.82b |
| T9 | 8244.99 ± 391.41a | 8210.80 ± 342.61a |
| CK1 | 5847.55 ± 167.39h | 6510.75 ± 235.95f |
| CK2 | 7549.47 ± 260.62d | 7704.50 ± 276.17b |
| Treatments | Pb | Cr | Co | Ni | Cu | Zn | Fe | Mn |
|---|---|---|---|---|---|---|---|---|
| T1 | 0.0617 ± 0.0012b | 0.0632 ± 0.0018a | 0.0710 ± 0.0018a | 0.0927 ± 0.0029b | 0.2083 ± 0.0096a | 0.9646 ± 0.0401c | 33.8 ± 1.1cd | 4.383 ± 0.158c |
| T2 | 0.0662 ± 0.0013a | 0.0592 ± 0.0029c | 0.0606 ± 0.0016b | 0.0762 ± 0.0034bc | 0.2098 ± 0.0036a | 0.9925 ± 0.0257c | 34.4 ± 1.3c | 4.804 ± 0.203b |
| T3 | 0.0672 ± 0.0015a | 0.0532 ± 0.0024f | 0.0512 ± 0.0018c | 0.0677 ± 0.0029c | 0.2191 ± 0.0108a | 1.0337 ± 0.0224bc | 36.9 ± 0.4b | 5.003 ± 0.123b |
| T4 | 0.0643 ± 0.0031a | 0.0602 ± 0.0009b | 0.0707 ± 0.0024a | 0.0812 ± 0.0028bc | 0.2087 ± 0.0075a | 0.9691 ± 0.0256c | 33.9 ± 1.9d | 4.585 ± 0.094c |
| T5 | 0.0664 ± 0.0017a | 0.0562 ± 0.0024d | 0.0604 ± 0.0029b | 0.0668 ± 0.0032c | 0.2162 ± 0.0105a | 1.0050 ± 0.0283c | 35.8 ± 0.8c | 4.946 ± 0.195b |
| T6 | 0.0679 ± 0.0027a | 0.0506 ± 0.0006g | 0.0327 ± 0.0016c | 0.0441 ± 0.0015d | 0.2373 ± 0.0078a | 1.2883 ± 0.0568ab | 38.3 ± 1.5a | 5.110 ± 0.114b |
| T7 | 0.0669 ± 0.0028a | 0.0553 ± 0.0014e | 0.0569 ± 0.0011b | 0.0682 ± 0.0024c | 0.2178 ± 0.0047a | 1.0079 ± 0.0182c | 35.8 ± 0.5c | 4.960 ± 0.127c |
| T8 | 0.0679 ± 0.0022a | 0.0521 ± 0.0008f | 0.0455 ± 0.0014c | 0.0629 ± 0.0023cd | 0.2369 ± 0.0041a | 1.0675 ± 0.0238bc | 38.1 ± 1.8a | 5.058 ± 0.232b |
| T9 | 0.0723 ± 0.0012a | 0.0496 ± 0.0023g | 0.0307 ± 0.0009c | 0.0434 ± 0.0007d | 0.2463 ± 0.0038a | 1.3632 ± 0.0271a | 38.7 ± 0.5a | 5.442 ± 0.188a |
| CK1 | 0.0565 ± 0.0021b | 0.0646 ± 0.0017a | 0.0738 ± 0.0012a | 0.0952 ± 0.0026b | 0.1616 ± 0.0079b | 0.9196 ± 0.0236c | 33.4 ± 0.9d | 4.267 ± 0.071d |
| CK2 | 0.0677 ± 0.0008a | 0.0658 ± 0.0028a | 0.0740 ± 0.0029a | 0.1242 ± 0.0045a | 0.2258 ± 0.0049a | 1.0427 ± 0.0468bc | 37.2 ± 0.7b | 5.550 ± 0.215a |
| Treatments | Pb | Cr | Co | Ni | Cu | Zn | Fe | Mn |
|---|---|---|---|---|---|---|---|---|
| T1 | 0.512 ± 0.014b | 0.361 ± 0.013c | 0.244 ± 0.002b | 0.128 ± 0.002b | 0.406 ± 0.003a | 0.420 ± 0.017e | 0.142 ± 0.007b | 0.019 ± 0.001a |
| T2 | 0.502 ± 0.018c | 0.383 ± 0.011b | 0.214 ± 0.006d | 0.116 ± 0.007c | 0.374 ± 0.012b | 0.452 ± 0.005d | 0.123 ± 0.004c | 0.018 ± 0.001a |
| T3 | 0.464 ± 0.022d | 0.400 ± 0.017a | 0.209 ± 0.001e | 0.116 ± 0.003c | 0.338 ± 0.014c | 0.506 ± 0.002b | 0.120 ± 0.001c | 0.017 ± 0.001a |
| T4 | 0.518 ± 0.005b | 0.372 ± 0.012bc | 0.248 ± 0.005b | 0.121 ± 0.003b | 0.377 ± 0.009b | 0.423 ± 0.018e | 0.126 ± 0.001c | 0.019 ± 0.001a |
| T5 | 0.497 ± 0.012c | 0.379 ± 0.014b | 0.222 ± 0.004c | 0.104 ± 0.004e | 0.348 ± 0.009c | 0.448 ± 0.006d | 0.123 ± 0.005c | 0.019 ± 0.001a |
| T6 | 0.437 ± 0.013f | 0.388 ± 0.013b | 0.182 ± 0.003f | 0.082 ± 0.004f | 0.275 ± 0.007f | 0.453 ± 0.002d | 0.121 ± 0.001c | 0.017 ± 0.001a |
| T7 | 0.463 ± 0.017d | 0.361 ± 0.004c | 0.223 ± 0.003c | 0.113 ± 0.004cd | 0.341 ± 0.014c | 0.377 ± 0.012g | 0.122 ± 0.006c | 0.018 ± 0.001a |
| T8 | 0.458 ± 0.015e | 0.369 ± 0.016c | 0.213 ± 0.006d | 0.111 ± 0.004d | 0.314 ± 0.019e | 0.416 ± 0.004e | 0.121 ± 0.002c | 0.017 ± 0.001a |
| T9 | 0.425 ± 0.024f | 0.398 ± 0.017a | 0.178 ± 0.007f | 0.092 ± 0.003f | 0.279 ± 0.013f | 0.473 ± 0.001c | 0.110 ± 0.004d | 0.017 ± 0.001a |
| CK1 | 0.468 ± 0.017d | 0.395 ± 0.009a | 0.207 ± 0.006e | 0.125 ± 0.002b | 0.327 ± 0.015d | 0.523 ± 0.015a | 0.148 ± 0.001a | 0.020 ± 0.001a |
| CK2 | 0.536 ± 0.009a | 0.403 ± 0.008a | 0.254 ± 0.002a | 0.149 ± 0.005a | 0.341 ± 0.005c | 0.397 ± 0.007f | 0.119 ± 0.002c | 0.016 ± 0.001a |
| Treatments | Brown Rice | Milled Rice | Head Milled Rice | Protein Content | Amylose Content | Gel Consistency |
|---|---|---|---|---|---|---|
| (%) | (%) | (%) | (%) | (%) | (mm) | |
| T1 | 85.3 ± 2.2b | 79.5 ± 1.5c | 75.1 ± 3.2cd | 8.8 ± 0.4c | 18.4 ± 0.3ab | 64.0 ± 1.2b |
| T2 | 85.4 ± 1.4ab | 81.0 ± 2.4c | 76.1 ± 1.9cd | 9.0 ± 0.2abc | 18.1 ± 0.9abc | 64.5 ± 2.7b |
| T3 | 85.4 ± 4.0ab | 85.6 ± 3.5bc | 78.5 ± 3.9bc | 9.1 ± 0.3abc | 17.3 ± 0.7bcd | 66.0 ± 2.7b |
| T4 | 85.4 ± 2.2ab | 79.9 ± 3.4c | 75.8 ± 3.6cd | 8.9 ± 0.4bc | 17.7 ± 0.4abcd | 64.5 ± 1.3b |
| T5 | 85.4 ± 1.6ab | 82.6 ± 2.5bc | 78.3 ± 2.5bcd | 9.0 ± 0.1abc | 17.5 ± 0.8abcd | 64.0 ± 3.2b |
| T6 | 85.6 ± 2.1ab | 87.1 ± 1.8bc | 81.8 ± 3.4b | 9.3 ± 0.2ab | 17.3 ± 0.6bcd | 70.0 ± 1.5a |
| T7 | 85.4 ± 1.7ab | 82.9 ± 3.3bc | 78.4 ± 1.9bcd | 9.0 ± 0.4abc | 17.4 ± 0.8bcd | 64.5 ± 1.4b |
| T8 | 85.5 ± 3.2ab | 86.0 ± 3.7bc | 79.4 ± 1.2bc | 9.1 ± 0.4abc | 16.8 ± 0.7cd | 71.0 ± 1.0a |
| T9 | 85.9 ± 3.1ab | 88.3 ± 4.2ab | 82.9 ± 2.2b | 9.4 ± 0.4a | 16.8 ± 0.2d | 71.5 ± 2.6a |
| CK1 | 84.5 ± 3.8c | 79.5 ± 1.4c | 74.0 ± 2.3d | 8.7 ± 0.3c | 18.6 ± 0.5a | 60.0 ± 2.2c |
| CK2 | 86.1 ± 0.9a | 88.7 ± 4.1a | 83.0 ± 1.2a | 9.2 ± 0.4ab | 18.5 ± 0.4a | 71.0 ± 1.5a |
| Treatments | Peak Viscosity | Hot Viscosity | Cool Viscosity | Pasting Temperature | Breakdown | Setback |
|---|---|---|---|---|---|---|
| (cP) | (cP) | (cP) | (°C) | (cP) | (cP) | |
| T1 | 2045.3 ± 23.1c | 1319.7 ± 34.9b | 2325.7 ± 34.7bc | 69.7 ± 3.3b | 675.0 ± 16.1e | 292.0 ± 5.1a |
| T2 | 2085.0 ± 24.4bc | 1339.0 ± 53.5b | 2336.7 ± 82.1bc | 70.0 ± 2.1b | 720.0 ± 15.8c | 266.0 ± 7.7b |
| T3 | 2156.7 ± 43.5bc | 1390.0 ± 55.6b | 2369.3 ± 111.8bc | 70.2 ± 0.8b | 766.5 ± 36.4b | 249.0 ± 6.3c |
| T4 | 2084.7 ± 47.6bc | 1327.0 ± 41.4b | 2331.0 ± 60.4bc | 69.7 ± 2.7b | 710.5 ± 29.9d | 274.5 ± 3.5b |
| T5 | 2098.7 ± 70.7bc | 1344.0 ± 36.2b | 2344.5 ± 104.0bc | 70.0 ± 2.8b | 733.0 ± 9.2c | 257.5 ± 3.4b |
| T6 | 2204.3 ± 95.1ab | 1438.7 ± 43.5ab | 2444.0 ± 42.3ab | 70.5 ± 3.3b | 772.0 ± 35.2ab | 226.0 ± 4.8e |
| T7 | 2110.7 ± 87.3bc | 1364.3 ± 21.3b | 2353.3 ± 92.5bc | 70.2 ± 1.2b | 758.0 ± 25.9b | 255.5 ± 7.8b |
| T8 | 2163.3 ± 23.6bc | 1391.0 ± 32.7b | 2374.0 ± 102.2bc | 70.3 ± 2.6b | 770.0 ± 24.8ab | 231.0 ± 8.6d |
| T9 | 2317.3 ± 89.8a | 1562.3 ± 69.8a | 2558.3 ± 64.3a | 78.3 ± 3.6a | 791.5 ± 23.6a | 199.5 ± 4.5f |
| CK1 | 2039.0 ± 75.4c | 1310.3 ± 20.4b | 2312.3 ± 98.2c | 69.7 ± 0.8b | 663.0 ± 26.7e | 259.5 ± 11.2b |
| CK2 | 2109.7 ± 42.1bc | 1346.7 ± 33.9b | 2352.0 ± 87.1bc | 70.2 ± 3.9b | 753.5 ± 21.1b | 292.0 ± 8.1a |
© 2016 by the authors; licensee MDPI, Basel, Switzerland. This article is an open access article distributed under the terms and conditions of the Creative Commons Attribution (CC-BY) license (http://creativecommons.org/licenses/by/4.0/).
Share and Cite
Huang, L.; Yang, J.; Gao, W.; Yang, W.; Cui, X.; Zhuang, H. Effects of Pig Slurry as Basal and Panicle Fertilizer on Trace Element Content and Grain Quality in Direct-Seeding Rice. Sustainability 2016, 8, 714. https://doi.org/10.3390/su8080714
Huang L, Yang J, Gao W, Yang W, Cui X, Zhuang H. Effects of Pig Slurry as Basal and Panicle Fertilizer on Trace Element Content and Grain Quality in Direct-Seeding Rice. Sustainability. 2016; 8(8):714. https://doi.org/10.3390/su8080714
Chicago/Turabian StyleHuang, Lifen, Jie Yang, Wei Gao, Weikang Yang, Xiaoyi Cui, and Hengyang Zhuang. 2016. "Effects of Pig Slurry as Basal and Panicle Fertilizer on Trace Element Content and Grain Quality in Direct-Seeding Rice" Sustainability 8, no. 8: 714. https://doi.org/10.3390/su8080714
APA StyleHuang, L., Yang, J., Gao, W., Yang, W., Cui, X., & Zhuang, H. (2016). Effects of Pig Slurry as Basal and Panicle Fertilizer on Trace Element Content and Grain Quality in Direct-Seeding Rice. Sustainability, 8(8), 714. https://doi.org/10.3390/su8080714
