The Impact of the Quality of Coal Mine Stockpile Soils on Sustainable Vegetation Growth and Productivity
Abstract
:1. Introduction
2. Materials and Methods
2.1. Locality and Soil Sampling Process
2.2. Greenhouse Experiment: Set up and Sampling
2.3. Soil Chemical Analysis
2.4. Data Collection
2.5. Statistical Analysis
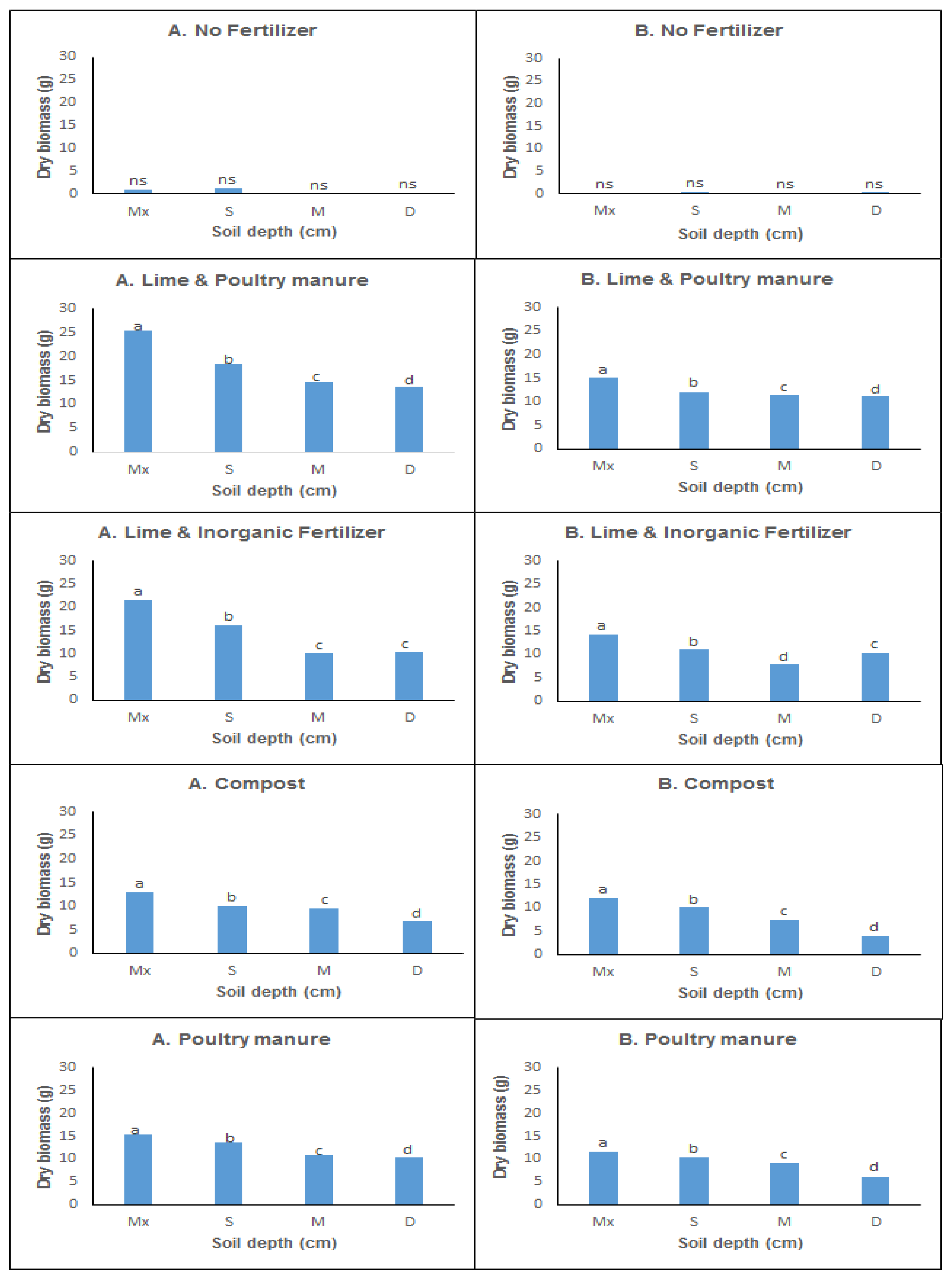
3. Results
4. Discussion
4.1. Effect of Soil Stockpile Age on Vegetation Growth
4.2. The Effect of Stockpile Soil Depth on Plant Parameters
4.3. Effect of Soil Amendments on Vegetation Growth
5. Conclusions
- The depth of the stockpile affects the quality of the soil at replacement. Soil stored at depths higher than 1 m had an effect on plant growth. They yielded low mean values. When the soils were mixed (as would happen in the rehabilitation process), they generally produced better results than any of the three soils sampled separately at different depths.
- Without the addition of lime and fertilizers, stockpiled soil could not support vegetation growth and productivity, as there was a very low plant growth rate observed. Poultry manure and lime is essential for the plant growth and productivity of stockpile soils.
- Soil amendments, particularly agricultural lime and mineral fertilizers, help in reducing soil nutrient stress, but are often expensive, which will make soil rehabilitation difficult.
Acknowledgments
Author Contributions
Conflicts of Interest
References
- The Bench Marks Foundation. South African Coal Mining: Corporate grievance mechanisms, community engagement concerns and mining impacts. 2014. Available online: http://www.bench-marks.org.za/research/policy_gap_9.pdf (accessed on 11 May 2015).
- Botha, I. Aquaponics as a productive rehabilitation alternative in the Mpumalanga Highveld coalfields. In Magister in Environmental Management Mini-Dissertation; University of the Free State: Bloemfontein, South Africa, 2014. [Google Scholar]
- Chodak, M.; Niklinska, M.; Sliwinska, E. Chemical and biological properties of sandy mine soils afforested with scots pine and silver birch. Pol. J. Environ. Stud. 2011, 20, 285–291. [Google Scholar]
- Ghose, M.K. Effect of opencast mining on soil fertility. J. Sci. Ind. Res. 2004, 63, 1006–1009. [Google Scholar]
- Ghose, M.K. Management of topsoil for geo-environmental reclamation of coal mining areas. Environ. Geol. 2001, 40, 1405–1410. [Google Scholar]
- Strohmayer, P. Soil Stockpiling for Reclamation and Restoration Activities after Mining and Construction; University of Minnesota: Minneapolis, MN, USA, 1999; pp. 271–278. [Google Scholar]
- Mentis, M.T. Restoring native grassland on land disturbed by coal mining on the Eastern Highveld of South Africa. South Afr. J. Sci. 2006, 102, 193–197. [Google Scholar]
- Thomas, D.; Jansen, I. Soil development in coal mine spoils. J. Soil Water Conserv. 1985, 34, 439–442. [Google Scholar]
- Doran, J.W.; Parkin, T.B. Defining and assessing soil quality. In: Defining soil quality for a sustainable environment. Soil Sci. Am. J. 1994, 35, 3–21. [Google Scholar]
- Fox, J.E.D. Rehabilitation of mined lands. Forest ABS 1984, 45, 565–595. [Google Scholar]
- Chamber of Mines South Africa and Coaltech Research Association. Guidelines for the Rehabilitation of Mined Land; Chamber of Mines South Africa and Coaltech Research Association: Johannesburg, South Africa, 2007; Available online: https://commondatastorage.googleapis.com/comsa/Guidelines%20for%20the%20rehabilitation%20of%20mined%20land%20Nov07.pdf (assessed on 25 March 2015).
- FSSA. Fertilizer Handbook, 6th ed.; FSSA: Pretoria, South Africa, 2007. [Google Scholar]
- Non-Affiliated Soil Analysis Working Group. Handbook of Standard Soil Testing Methods for Advisory Purposes; Soil Science Society of South Africa: Pretoria, South Africa, 1990. [Google Scholar]
- Unagwu, B.O.; Asadu, C.L.A.; Ezeaku, P.I. Maize response to organic and inorganic (Poultry manure) and inorganic fertilizers (NPK 15-15-15) at different soil pH levels. Int. J. Environ. Sci. 2012, 1, 126–134. [Google Scholar]
- Huang, W.Y.; Hunsen, L.; Uri, N.D. The application timing of nitrogen fertilizers. Water Air Soil Pollut. 1994, 73, 189–211. [Google Scholar] [CrossRef]
- Morrison, M.L. Wildlife Study Design; Springer: Berlin, Germany, 2001. [Google Scholar]
- Truter, W.F.; Rethman, N.F.G.; Potgieter, C.E.; Kruger, R.A. Re-Vegetation of Cover Soils and Coal Discard Material Ameliorated with Class F-Fly Ash. In Proceedings of the 2009 World Coal Ash Conference, Lexington, KY, USA, 4–7 May 2009.
- Rethman, N.F.G.; Tanner, P.D. Sustainability of grassland on rehabilitated strip mines in South Africa. 1995. Available online: http://pdf.library./Sudbury95/Rehabilitation/PDF (accessed on 3 March 2013).
- Maas, S.J. Estimating cotton canopy ground cover from remotely sensed scene reflectance. Agron. J. 1998, 90, 384–388. [Google Scholar] [CrossRef]
- BBIRD Grassland Protocol. Measuring vegetation. Available online: www.umt.edu/GRASSLND.pdf (accessed on 29 April 2013).
- Ansah, T.; Osafo, E.L.K.; Hansen, H.H. Herbage yield and chemical composition of four varieties of Napier (Pennisetum purpureum) grass harvested at three different days after planting. Agric. Biol. J. North Am. 2010, 1, 923–929. [Google Scholar] [CrossRef]
- Gomez, K.A.; Gomez, A.A. Statistical Procedure for Agricultural Research. In An International Rice Research Institute Book; Wiley-Interscience Publication: New York, NY, USA; Chichester, UK, 1984. [Google Scholar]
- Johnson, D.B.; Williamson, J.C.; Bailey, A.J. Microbiology of soils at opencast coal sites: Short and long term transformations in stockpiled soils. J. Soil Sci. 1991, 42, 1–8. [Google Scholar] [CrossRef]
- Harris, J.A.; Birch, P.; Short, K.C. Changes in the microbial community and physico-chemical characteristics of top soils stockpiled during opencast mining. Soil Use Manage. 1989, 5, 161–168. [Google Scholar] [CrossRef]
- De, S.; Mitra, A.K. Reclamation of mining-generated wastelands at Alkusha–Gopalpur abandoned open cast project, Ranging Coalfield, eastern India. Environ. Geol. 2002, 43, 39–47. [Google Scholar] [CrossRef]
- Kundu, N.K.; Ghose, M.K. Shelf Life of Stock-piled Topsoil of an Open Cast Coal Mine. Environ. Conserv. 1997, 24, 24–30. [Google Scholar] [CrossRef]
- Garg, J.; Kumar, A. Effect of different soil types on growth and productivity of Euphobia Lathyris L. A hydrocarbon yielding plant. Int. J. Life Sci. Pharm. Res. 2012, 2, 164–173. [Google Scholar]
- Rice, T.J. Importance of soil texture to vineyard management. Available online: http://www.practicalwinery.com/marapr02p22.htm (accessed on 10 May 2016).
- NRCCA. Soil Hydrology AEM; Cornell University: Ithaca, NY, USA, 2010; Available online: https://nrcca.cals.cornell.edu/soil (accessed on 1 June 2016).
- Shaxson, F.; Barber, R. Optimizing Soil Moisture for Plant Productivity: The Significant of Soil Porosity; Food and Agricultural Organisation of the United Nations: Rome, Italy, 2003. [Google Scholar]
- Bierhuizen, J.F. Plant growth and soil moisture relationship. In Proceedings of the Unesco-Spain Symposium on Plant-Water Relationship in Arid and Semi-Arid Conditons, Madrid, Spain, 26–30 September 1959.
- Harris, J.A.; Birch, P. Soil microbial activity in opencast coal mine restorations. Soil Use Manage. 1989, 5, 155–160. [Google Scholar] [CrossRef]
- Roy, B.; Bhadra, S. Effects of toxic levels of aluminium on seedling parameters of rice under hydroponic culture. Rice Sci. 2014, 21, 217–223. [Google Scholar] [CrossRef]
- Tate, R.L.; Klem, D.A. (Eds.) Soil Reclamation Processes: Microbiological Analyses and Applications; Marcel Dekker, Inc.: New York, NY, USA, 1985.
- NSW. A Farmer’s Guide to Increasing Soil Organic Carbon under Pastures. Available online: http://www.dpi.nsw.gov.au/__data/assets/pdf_file/0014/321422/A-farmers-guide-to-increasing-Soil-Organic-Carbon-under-pastures.pdf (assessed on 20 March 2015).
- Akala, V.A.; Lal, R. Soil organic carbon pools and sequestration rates in reclaimed mine soils in Ohio. J. Environ. Qual. 2001, 30, 2098–2104. [Google Scholar] [CrossRef] [PubMed]
- Ussiri, D.A.N.; Lal, R. Carbon sequestration in minesoils reclamation. Crit. Rev. Plant Sci. 2005, 24, 151–165. [Google Scholar] [CrossRef]
- Mohapatra, H.; Goswami, S. Impact of coal mining on soil characteristics around Ib river coalfield, Orissa, India. J. Environ. Biol. 2012, 33, 751–756. [Google Scholar] [PubMed]
- Haynes, R.J.; Mokolobate, M.S. Amelioration of AI toxicity and P deficiency in acid soils by additions of organic residues: A critical review of the phenomenon and the mechanisms involved. Nutr. Cycl. Agroecosys. 2001, 59, 47–63. [Google Scholar] [CrossRef]
- Hue, N.V. Correcting soil acidity of a highly weathered Ultisol with chicken manure and sewage sludge. Commun. Soil Sci. Plant Anal. 1992, 23, 241–264. [Google Scholar] [CrossRef]
- Stevenson, F.J.; Vance, G.F. Naturally occurring aluminium-organic complexes. In The Environmental Chemistry of Aluminium; Sposito, G., Ed.; CRC Press: Boca Raton, FL, USA, 1989; pp. 117–145. [Google Scholar]
- Vogel, W.G. A Guideline for Revegetating Coal Mine Soils in the Eastern United States; General technical Report NE-68; United States Department of Agriculture: Washington, DC, USA, 1981.
- Ayeni, L.S.; Adetunji, M.T. Integrated application of poultry manure and mineral fertilizer on soil chemical properties, nutrient uptake, yield and growth components of maize. 2010. Available online: http://www.sciencepub.net/nature/ns0801/06_2101_leye_ns0801_60_67.pdf (accessed on 12 August 2015).
- Adeniyan, O.N.; Ojeniyi, S.O. Comparative effectiveness of different levels of poultry manure with NPK fertilizer on soil fertility, nutrient uptake and uptake of maize. Moor J. Agric. Res. 2006, 4, 194–197. [Google Scholar]
- Adediran, J.A.; Taiwo, I.B.; Sobulo, R.A. Comparative nutrients level of some solid organic wastes and their effect on tomato (Lycopersicum esculentus) yield. Afr. Soil. 2005, 33, 100–113. [Google Scholar]
- Samuel, L.T.; Welner, I.N.; James, D.B. Soil Fertility and Fertilizers, 4th ed.; Macmillan: New York, NY, USA, 1985; Available online: http://www.worldcat.org/title/soil-fertility-and-fertilizers-an-introduction-to-nutrient-management/oclc/898408100?referer=di&ht=edition (assessed on 10 February 2016).
- Chang, E.H.; Chung, R.S.; Tsai, Y.H. Effect of different application rates of organic fertilizer on soil enzyme activity and microbial population. Soil Sci. Plant Nutr. 2007, 53, 132–140. [Google Scholar] [CrossRef]
- USCC. Compost and its benefits. 2001. Available online: www.bae.ncsu.edu/composting.pdf (accessed on 11 August 2015).
- Wong, M.T.F.; Nortcliff, S.; Swift, R.S. Method for determining the acid ameliorating capacity of plant residue compost, urban waste compost, farmyard manure and peat applied to tropical soils. Commun. Soil Sci. Plant Anal. 1998, 29, 2927–2937. [Google Scholar] [CrossRef]


| Stockpile 1 (10 years) | Stockpile 2 (20 years) | |||||||
|---|---|---|---|---|---|---|---|---|
| Soil Depth | ||||||||
| ‡ Soil Properties | Surface | Mid | Deep | Mix | Surface | Mid | Deep | Mix |
| Na cmol (+) kg−1 | 0.07 | 0.08 | 0.07 | 0.08 | 0.03 | 0.04 | 0.05 | 0.06 |
| K cmol (+) kg−1 | 0.18 | 0.11 | 0.07 | 0.17 | 0.11 | 0.06 | 0.05 | 0.07 |
| Ca cmol (+) kg−1 | 0.74 | 0.47 | 0.33 | 0.68 | 0.54 | 0.77 | 0.72 | 0.66 |
| Mg cmol (+) kg−1 | 0.45 | 0.42 | 0.27 | 0.49 | 0.27 | 0.58 | 0.28 | 0.46 |
| CEC cmol (+) kg−1 | 5.80 | 3.46 | 3.94 | 5.11 | 4.68 | 2.83 | 5.54 | 4.27 |
| pH (H2O) | 5.67 | 5.25 | 5.19 | 5.88 | 5.49 | 5.99 | 5.20 | 5.68 |
| Org C (%) | 0.45 | 0.34 | 0.18 | 0.53 | 0.70 | 0.25 | 0.30 | 0.82 |
| Al cmol (+) kg−1 | 0.72 | 0.84 | 1.12 | 0.69 | 0.79 | 0.77 | 1.07 | 0.93 |
| P-Bray 1 (mg kg−1) | 8.99 | 7.07 | 6.68 | 8.35 | 6.76 | 6.04 | 4.93 | 7.03 |
| Clay % | 25.32 | 16.14 | 30.05 | 21.84 | 14.44 | 11.32 | 10.39 | 12.94 |
| Silt % | 23.10 | 15.90 | 45.68 | 32.01 | 7.38 | 50.19 | 35.66 | 32.18 |
| Sand % | 51.28 | 67.96 | 24.27 | 45.98 | 78.18 | 38.49 | 53.95 | 54.88 |
| Textural Class | sandy clay loam | sandy loam | clay loam | loam | loamy sand | silty loam | sandy loam | sandy loam |
| Measured Plant Parameters | ||||
|---|---|---|---|---|
| ‡ Soils | Height (cm) | Fresh Biomass (g) | Dry Biomass (g) | Plant Cover (%) |
| MX | 18.72 a | 28.33 a | 12.96 a | 70.80 a |
| S | 16.55 b | 23.91 b | 9.28 b | 62.00 b |
| M | 14.21 c | 22.19 b | 8.07 c | 61.00 b |
| D | 12.85 d | 17.34 c | 7.34 c | 45.90 c |
| p (≤0.05) | 0.00 * | 0.00 * | 0.00 * | 0.00 * |
| Measured Plant Parameters | ||||
|---|---|---|---|---|
| ‡ Amendments | Height (cm) | Fresh Biomass (g) | Dry Biomass (g) | Plant Cover (%) |
| NF | 0.28 e | 1.80 c | 0.44 e | 5.30 d |
| P + L | 23.47 a | 28.33 a | 14.55 a | 85.16 a |
| NPK + L | 20.04 b | 23.91 a | 12.19 b | 78.44 b |
| C | 14.53 d | 17.34 b | 8.97 d | 57.50 c |
| P | 17.09 c | 22.19 a | 10.92 c | 73.28 c |
| p (≤0.05) | 0.00 * | 0.00 * | 0.00 * | 0.00 * |
| Height | Fresh Biomass | Dry Biomass | Cover | |
|---|---|---|---|---|
| Height | 1.00 | |||
| Fresh biomass | 0.97 * | 1.00 | ||
| Dry Biomass | 0.96 * | 0.99 * | 1.00 | |
| Cover | 0.93 * | 0.97 * | 0.95 * | 1.00 |
© 2016 by the authors; licensee MDPI, Basel, Switzerland. This article is an open access article distributed under the terms and conditions of the Creative Commons Attribution (CC-BY) license (http://creativecommons.org/licenses/by/4.0/).
Share and Cite
Mushia, N.M.; Ramoelo, A.; Ayisi, K.K. The Impact of the Quality of Coal Mine Stockpile Soils on Sustainable Vegetation Growth and Productivity. Sustainability 2016, 8, 546. https://doi.org/10.3390/su8060546
Mushia NM, Ramoelo A, Ayisi KK. The Impact of the Quality of Coal Mine Stockpile Soils on Sustainable Vegetation Growth and Productivity. Sustainability. 2016; 8(6):546. https://doi.org/10.3390/su8060546
Chicago/Turabian StyleMushia, Nicky M, Abel Ramoelo, and Kingsley K. Ayisi. 2016. "The Impact of the Quality of Coal Mine Stockpile Soils on Sustainable Vegetation Growth and Productivity" Sustainability 8, no. 6: 546. https://doi.org/10.3390/su8060546
APA StyleMushia, N. M., Ramoelo, A., & Ayisi, K. K. (2016). The Impact of the Quality of Coal Mine Stockpile Soils on Sustainable Vegetation Growth and Productivity. Sustainability, 8(6), 546. https://doi.org/10.3390/su8060546

