Employees’ Perceptions of Corporate Social Responsibility and Job Performance: A Sequential Mediation Model
Abstract
:1. Introduction
2. Theory and Hypotheses
2.1. Theoretical Framework
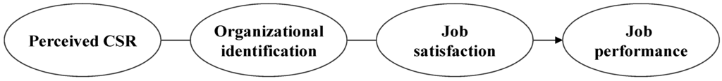
2.2. Hypothesis Development
3. Methodology
3.1. Data Collection and Participant Characteristics
3.2. Measurement Scales
4. Results
4.1. Reliability, Validity, and Common Method Bias
4.2. Hypothesis Testing
5. Discussion
5.1. Theoretical Contributions and Managerial Implications
5.2. Limitations and Future Research Directions
6. Conclusions
Acknowledgments
Author Contributions
Conflicts of Interest
References
- Bauman, C.W.; Skitka, L.J. Corporate social responsibility as a source of employee satisfaction. Res. Organ. Behav. 2012, 32, 63–86. [Google Scholar] [CrossRef]
- Choi, Y.; Yu, Y. The influence of perceived corporate sustainability practices on employees and organizational performance. Sustainability 2014, 6, 348–364. [Google Scholar] [CrossRef]
- Orlitzky, M.; Schmidt, F.L.; Rynes, S.L. Corporate social and financial performance: A meta-analysis. Organ. Stud. 2003, 24, 403–441. [Google Scholar] [CrossRef]
- Peloza, J. The challenge of measuring financial impacts from investments in corporate social performance. J. Manag. 2009, 35, 1518–1541. [Google Scholar] [CrossRef]
- Kim, H.; Hur, W.M.; Yeo, J. Corporate brand trust as a mediator in the relationship between consumer perception of CSR, corporate hypocrisy, and corporate reputation. Sustainability 2015, 7, 3683–3694. [Google Scholar] [CrossRef]
- Graves, S.B.; Waddock, S.A. Institutional owners and corporate social performance. Acad. Manag. J. 1994, 37, 1034–1046. [Google Scholar] [CrossRef]
- Jones, D.A. Does serving the community also serve the company? Using organizational identification and social exchange theories to understand employee responses to a volunteerism programme. J. Occup. Organ. Psychol. 2010, 83, 857–878. [Google Scholar] [CrossRef]
- McWilliams, A.; Siegel, D. Corporate social responsibility: A theory of the firm perspective. Acad. Manag. Rev. 2001, 26, 117–127. [Google Scholar]
- Aguinis, H.; Glavas, A. What we know and don’t know about corporate social responsibility: A review and research agenda. J. Manag. 2012, 38, 932–968. [Google Scholar] [CrossRef]
- Rupp, D.E.; Mallory, D.B. Corporate social responsibility: Psychological, person-centric, and progressing. Annu. Rev. Organ. Psychol. Organ. Behav. 2015, 2, 211–236. [Google Scholar] [CrossRef]
- Koning, I.M.; Maric, M.; MacKinnon, D.; Vollebergh, W.A.M. Effects of a combined parent-student alcohol prevention program on intermediate factors and adolescents’ drinking behavior: A sequential mediation model. J. Consult. Clin. Psychol. 2015, 83, 719–727. [Google Scholar] [CrossRef] [PubMed]
- Taylor, A.B.; MacKinnon, D.P.; Tein, J.Y. Tests of the three-path mediated effect. Organ. Res. Methods 2008, 11, 241–269. [Google Scholar] [CrossRef]
- Brammer, S.; Millington, A.; Rayton, B. The contribution of corporate social responsibility to organizational commitment. Int. J. Hum. Resour. Manag. 2007, 18, 1701–1719. [Google Scholar] [CrossRef]
- Kotler, P.; Lee, N. Corporate Social Responsibility: Doing the Most Good for Your Company and the Road Ahead; John Wiley: Hoboken, NJ, USA, 2005. [Google Scholar]
- Glavas, A.; Godwin, L.N. Is the perception of ‘goodness’ good enough? Exploring the relationship between perceived corporate social responsibility and employee organizational identification. J. Bus. Ethics 2013, 114, 15–27. [Google Scholar] [CrossRef]
- Robbins, S.P.; Judge, T.A. Organizational Behavior; Pearson Education Limited: Harlow, Essex, UK, 2015. [Google Scholar]
- Valentine, S.; Fleischman, G. Ethics programs, perceived corporate social responsibility and job satisfaction. J. Bus. Ethics 2008, 77, 159–172. [Google Scholar] [CrossRef]
- Dutton, J.E.; Dukerich, J.M.; Harquail, C.V. Organizational images and member identification. Admin. Sci. Quart. 1994, 39, 239–263. [Google Scholar] [CrossRef]
- Dutton, J.E.; Dukerich, J.M. Keeping an eye on the mirror: The role of image and identity in organizational adaptation. Acad. Manag. J. 1991, 34, 517–554. [Google Scholar] [CrossRef]
- Carmeli, A.; Gilat, G.; Waldman, D.A. The role of perceived organizational performance in organizational identification, adjustment and job performance. J. Manag. Stud. 2007, 44, 972–992. [Google Scholar] [CrossRef]
- Mael, F.; Ashforth, B.E. Alumni and their alma mater: A partial test of the reformulated model of organizational identification. J. Organ. Behav. 1992, 13, 103–123. [Google Scholar] [CrossRef]
- Tyler, T.R. Why people cooperate with organizations: An identity-based perspective. Res. Organ. Behav. 1999, 21, 201–246. [Google Scholar]
- Riketta, M. Organizational identification: A meta-analysis. J. Vocat. Behav. 2005, 66, 358–384. [Google Scholar] [CrossRef]
- De Roeck, K.; Marique, G.; Stinglhamber, F.; Swaen, V. Understanding employees’ responses to corporate social responsibility: Mediating roles of overall justice and organizational identification. Int. J. Hum. Resour. Manag. 2014, 25, 91–112. [Google Scholar] [CrossRef]
- Saari, L.M.; Judge, T.A. Employee attitudes and job satisfaction. Hum. Resour. Manag. 2004, 43, 395–407. [Google Scholar] [CrossRef]
- Spector, P.E. Job Satisfaction: Application, Assessment, Cause, and Consequences; Sage Press: Thousand Oaks, CA, USA, 1997. [Google Scholar]
- Judge, T.A.; Kammeyer-Mueller, J.D. Job attitudes. Annu. Rev. Psychol. 2012, 63, 341–367. [Google Scholar] [CrossRef] [PubMed]
- Ashforth, B.E.; Mael, F. Social identity theory and the organization. Acad. Manag. Rev. 1989, 14, 20–39. [Google Scholar]
- Gioia, D.A.; Schultz, M.; Corley, K.G. Organizational identity, image, and adaptive instability. Acad. Manag. Rev. 2000, 25, 63–81. [Google Scholar]
- Aguinis, H.; Glavas, A. Embedded versus peripheral corporate social responsibility: Psychological foundations. Ind. Organ. Psychol. 2013, 6, 314–332. [Google Scholar] [CrossRef]
- De Roeck, K.; Delobbe, N. Do environmental CSR initiatives serve organizations’ legitimacy in the oil industry? Exploring employees’ reactions through organizational identification theory. J. Bus. Ethics 2012, 110, 397–412. [Google Scholar] [CrossRef]
- Bhattacharya, C.; Korschun, D.; Sen, S. Strengthening stakeholder-company relationships through mutually beneficial corporate social responsibility initiatives. J. Bus. Ethics 2009, 85, 257–272. [Google Scholar] [CrossRef]
- Van Dick, R.; Christ, O.; Stellmacher, J.; Wagner, U.; Ahlswede, O.; Grubba, C.; Hauptmeier, M.; Hohfeld, C.; Molzen, K.; Tissington, P.A. Should I stay or should I go? Explaining turnover intentions with organizational identification and job satisfaction. Brit. J. Manag. 2004, 15, 351–360. [Google Scholar] [CrossRef]
- Van Knippenberg, D.; van Schie, E.C.M. Foci and correlates of organizational identification. J. Occup. Organ. Psychol. 2000, 73, 137–147. [Google Scholar] [CrossRef]
- Judge, T.A.; Thoresen, C.J.; Bono, J.E.; Patton, G.K. The job satisfaction-job performance relationship: A qualitative and quantitative review. Psychol. Bull. 2001, 127, 376–407. [Google Scholar] [CrossRef] [PubMed]
- Riketta, M. The causal relation between job attitudes and performance: A meta-analysis of panel studies. J. Appl. Psychol. 2008, 93, 472–481. [Google Scholar] [CrossRef] [PubMed]
- Kim, C.H.; Amaeshi, K.; Harris, S.; Suh, C.J. CSR and the national institutional context: The case of South Korea. J. Bus. Res. 2013, 66, 2581–2591. [Google Scholar] [CrossRef]
- Miles, L. The application of Anglo-American corporate practices in societies influenced by Confucian values. Bus. Soc. Rev. 2006, 111, 305–321. [Google Scholar] [CrossRef]
- Rodríguez, F.J.G.; Cruz, Y.D.M.A. Relation between social-environmental responsibility and performance in hotel firms. Int. J. Hosp. Manag. 2007, 26, 824–839. [Google Scholar] [CrossRef]
- Brislin, R.W. Back-translation for cross-cultural research. J. Cross Cult. Psychol. 1970, 1, 185–216. [Google Scholar] [CrossRef]
- Du, S.; Battacharya, C.B.; Sen, S. Reaping relational rewards from corporate social responsibility: The role of competitive positioning. Int. J. Res. Mark. 2007, 24, 224–241. [Google Scholar] [CrossRef]
- Wagner, T.; Lutz, R.J.; Weitz, B.A. Corporate hypocrisy: Overcoming the threat of inconsistent corporate social responsibility perceptions. J. Mark. 2009, 73, 77–91. [Google Scholar] [CrossRef]
- Cho, Y.N.; Rutherford, B.N.; Park, J. Emotional labor’s impact in a retail environment. J. Bus. Res. 2013, 66, 2338–2345. [Google Scholar] [CrossRef]
- Liao, H.; Chuang, A. A multilevel investigation of factors influencing employee service performance and customer outcomes. Acad. Manag. J. 2004, 47, 41–58. [Google Scholar] [CrossRef]
- Brammer, S.; He, H.; Mellahi, K. Corporate social responsibility, employee organizational identification, and creative effort: The moderating impact of corporate ability. Group. Organ. Manag. 2015, 40, 323–352. [Google Scholar] [CrossRef]
- Kim, H. Transformational leadership, organizational clan culture, organizational affective commitment, and organizational citizenship behavior: A case of South Korea’s public sector. Public Organ. Rev. 2014, 14, 397–417. [Google Scholar] [CrossRef]
- Avolio, B.J.; Zhu, W.; Koh, W.; Bhatia, P. Transformational leadership and organizational commitment: Mediating role of psychological empowerment and moderating role of structural distance. J. Organ. Behav. 2004, 25, 951–968. [Google Scholar] [CrossRef]
- Hartmann, N.N.; Rutherford, B.N.; Feinberg, R.; Anderson, J.G. Antecedents of mentoring: Do multi-faceted job satisfaction and affective organizational commitment matter? J. Bus. Res. 2014, 67, 2039–2044. [Google Scholar] [CrossRef]
- Bowen, C.; Swim, J.K.; Jacobs, R.R. Evaluating gender biases on actual job performance or real people: A meta-analysis. J. Appl. Soc. Psychol. 2000, 30, 2194–2215. [Google Scholar] [CrossRef]
- Sturman, M.C. Searching for the inverted U-shaped relationship between time and performance: Meta-analyses of the experience/performance, tenure/performance, and age/performance relationships. J. Manag. 2003, 29, 609–640. [Google Scholar]
- Nunnally, J.C. Psychometric Methods; McGraw Hill: New York, NY, USA, 1978. [Google Scholar]
- Fornell, C.; Larcker, D.F. Evaluating structural equation models with unobservable variables and measurement error. J. Mark. Res. 1981, 18, 39–50. [Google Scholar] [CrossRef]
- Podsakoff, P.M.; MacKenzie, S.B.; Podsakoff, N.P. Sources of method bias in social science research and recommendations on how to control it. Annu. Rev. Psychol. 2012, 63, 539–569. [Google Scholar] [CrossRef] [PubMed]
- Lau, R.S.; Cheung, G.W. Estimating and comparing specific mediation effects in complex latent variable models. Organ. Res. Methods 2012, 15, 3–16. [Google Scholar] [CrossRef]
- Hayes, A.F. An index and test of linear moderated mediation. Multivar. Behav. Res. 2015, 50, 1–22. [Google Scholar] [CrossRef] [PubMed]
- Shrout, P.E.; Bolger, N. Mediation in experimental and nonexperimental studies: New procedures and recommendations. Psychol. Methods 2002, 7, 422–445. [Google Scholar] [CrossRef] [PubMed]
- Hayes, A.F. Introduction to Mediation, Moderation, and Conditional Process Analysis: A Regression-Based Approach; Guilford: New York, NY, USA, 2013. [Google Scholar]
- Rego, A.; Leal, S.; Cunha, M.; Faria, J.; Pinho, C. How the perceptions of five dimensions of corporate citizenship and their inter-inconsistencies predict affective commitment. J. Bus. Ethics 2010, 94, 107–127. [Google Scholar] [CrossRef]
- Dhanesh, G.S. CSR as organization–employee relationship management strategy: A case study of socially responsible information technology companies in India. Manag. Commun. Q. 2014, 28, 130–149. [Google Scholar] [CrossRef]
- Farooq, O.; Payaud, M.; Merunka, D.; Valette-Florence, P. The impact of corporate social responsibility on organizational commitment: Exploring multiple mediation. J. Bus. Ethics 2014, 125, 563–580. [Google Scholar] [CrossRef]
- Wang, R.T. Modeling corporate social performance and job pursuit intention: Mediating mechanisms of corporate reputation and job advancement prospects. J. Bus. Ethics 2014, 117, 569–582. [Google Scholar] [CrossRef]

| Construct | Item | λ a | α b | CR c | AVE d |
|---|---|---|---|---|---|
| Perceived corporate social responsibility (CSR) | This organization is a socially responsible company (hotel). | 0.75 | 0.83 | 0.83 | 0.63 |
| This organization is concerned with improving the well-being of society. | 0.84 | ||||
| This organization behaves responsibly regarding the environment. | 0.78 | ||||
| Organizational identification | I am very interested in what others think about this organization. | 0.70 | 0.86 | 0.86 | 0.60 |
| When I talk about my organization, I usually say “we” rather than “they”. | 0.77 | ||||
| This organization’s successes are my successes. | 0.83 | ||||
| When someone praises this organization, it feels like a personal compliment. | 0.80 | ||||
| Job satisfaction | My job is very pleasant. | 0.81 | 0.88 | 0.88 | 0.65 |
| My job is very worthwhile. | 0.84 | ||||
| My job is better than most. | 0.73 | ||||
| I am very content with my job. | 0.83 | ||||
| Job performance | I am friendly and helpful to customers. | 0.80 | 0.88 | 0.88 | 0.64 |
| I approach customers quickly. | 0.81 | ||||
| I ask good questions and listen to find out what a customer wants. | 0.80 | ||||
| I am able to help customers when needed. | 0.78 | ||||
| χ 2(84) = 97.85; p > 0.05, CFI = 0.99, TLI = 0.99, RMSEA = 0.03, SRMR = 0.03 | |||||
| Construct | Mean | SD | 1 | 2 | 3 | 4 |
|---|---|---|---|---|---|---|
| 1. Perceived CSR | 3.54 | 0.69 | 0.63 | |||
| 2. Organizational identification | 3.72 | 0.76 | 0.57 ** | 0.60 | ||
| 3. Job satisfaction | 3.74 | 0.69 | 0.46 ** | 0.47 ** | 0.65 | |
| 4. Job performance | 4.00 | 0.67 | 0.37 ** | 0.46 ** | 0.67 ** | 0.64 |
| Path Coefficient | Indirect Effects | ||||||
|---|---|---|---|---|---|---|---|
| CSR | OI | JS | JP | Estimate | CIlow | CIhigh | |
| From → To | |||||||
| CSR | 0.58 ** | 0.33 ** | 0.02 | ||||
| OI | 0.33 ** | 0.19 * | |||||
| JS | 0.50 ** | ||||||
| Total Indirect Effect | 0.37 * | 0.24 | 0.55 | ||||
| Indirect Effect | |||||||
| CSR → OI → JP | 0.11 * | 0.01 | 0.22 | ||||
| CSR → JS → JP | 0.16 * | 0.07 | 0.32 | ||||
| CSR → OI → JS → JP | 0.10 * | 0.04 | 0.18 | ||||
| Direct Effect | |||||||
| CSR → JP | 0.02 | −0.16 | 0.19 | ||||
| Total Effect | |||||||
| CSR → JP | 0.39 * | 0.26 | 0.54 | ||||
© 2016 by the authors; licensee MDPI, Basel, Switzerland. This article is an open access article distributed under the terms and conditions of the Creative Commons Attribution (CC-BY) license (http://creativecommons.org/licenses/by/4.0/).
Share and Cite
Shin, I.; Hur, W.-M.; Kang, S. Employees’ Perceptions of Corporate Social Responsibility and Job Performance: A Sequential Mediation Model. Sustainability 2016, 8, 493. https://doi.org/10.3390/su8050493
Shin I, Hur W-M, Kang S. Employees’ Perceptions of Corporate Social Responsibility and Job Performance: A Sequential Mediation Model. Sustainability. 2016; 8(5):493. https://doi.org/10.3390/su8050493
Chicago/Turabian StyleShin, Inyong, Won-Moo Hur, and Seongho Kang. 2016. "Employees’ Perceptions of Corporate Social Responsibility and Job Performance: A Sequential Mediation Model" Sustainability 8, no. 5: 493. https://doi.org/10.3390/su8050493
APA StyleShin, I., Hur, W.-M., & Kang, S. (2016). Employees’ Perceptions of Corporate Social Responsibility and Job Performance: A Sequential Mediation Model. Sustainability, 8(5), 493. https://doi.org/10.3390/su8050493
