Life Cycle Inventory Analysis for a Small-Scale Trawl Fishery in Sendai Bay, Japan
Abstract
:1. Introduction
2. Methods
2.1. System Boundary
2.2. Data Collection
2.3. Analysis of Data
3. Results
3.1. Operation of the Small Trawlers
3.2. Inventory Analysis
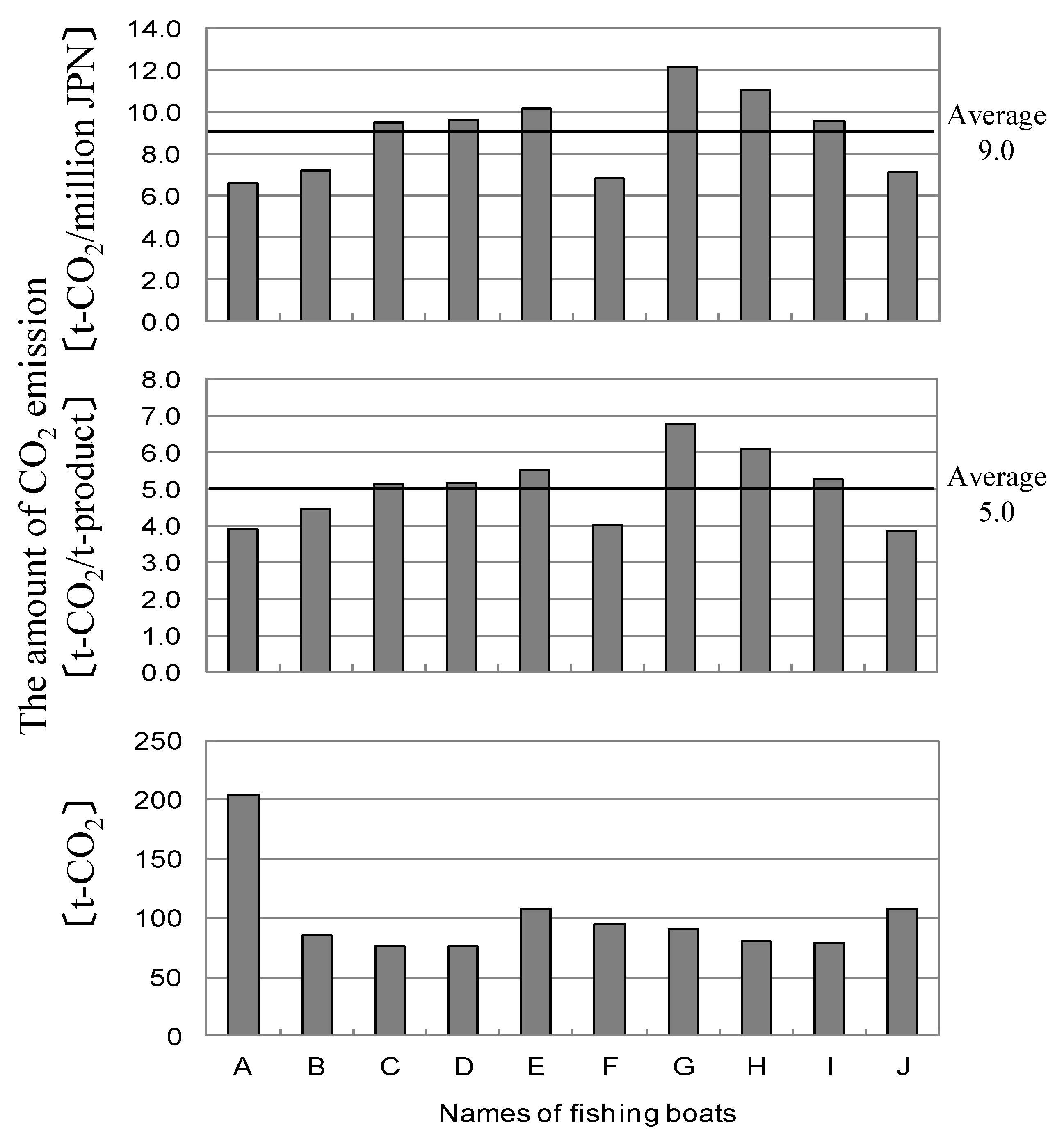
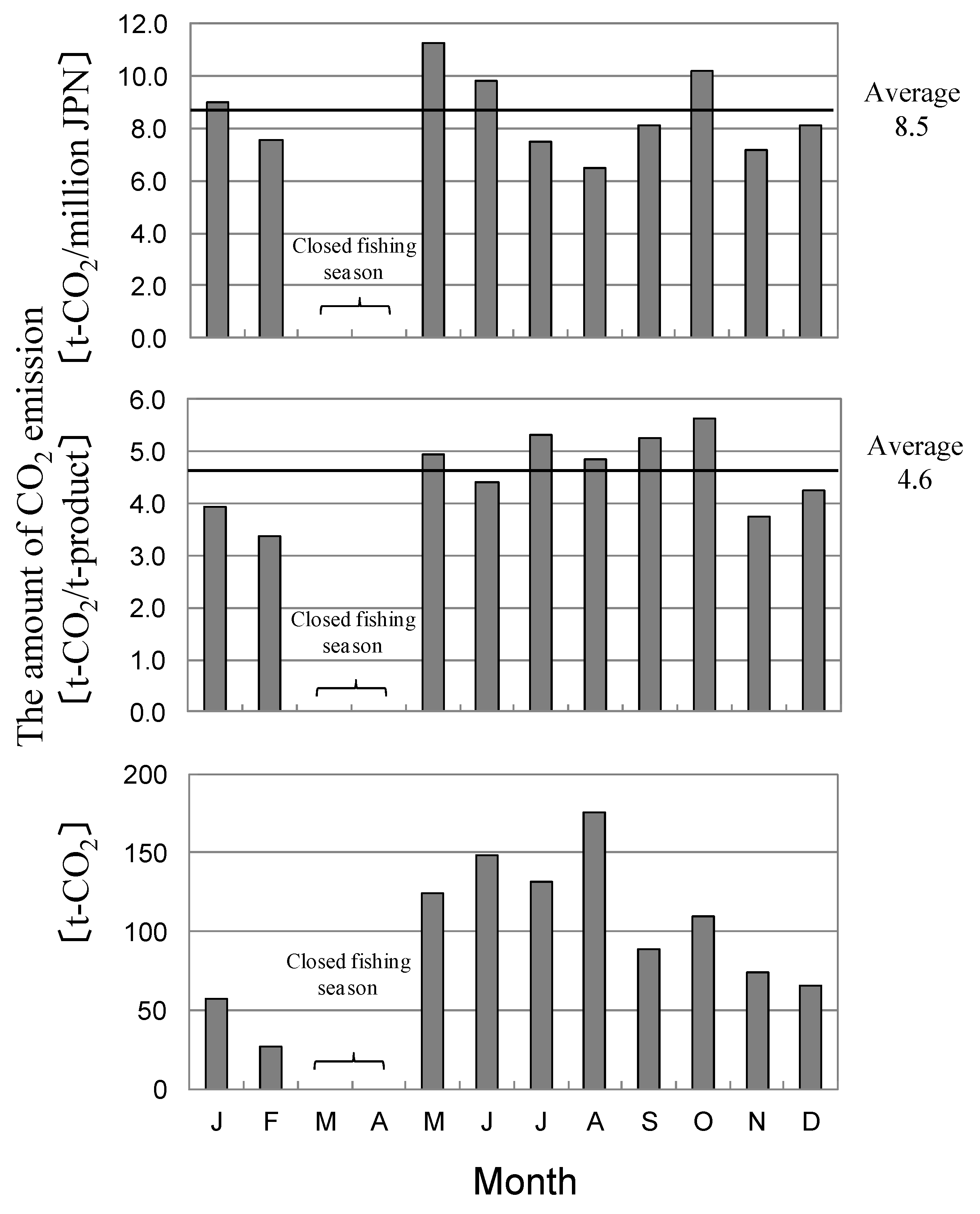
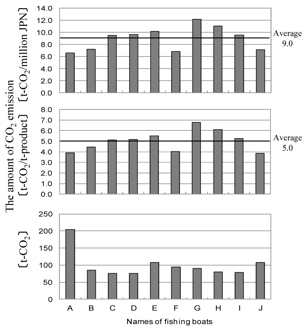
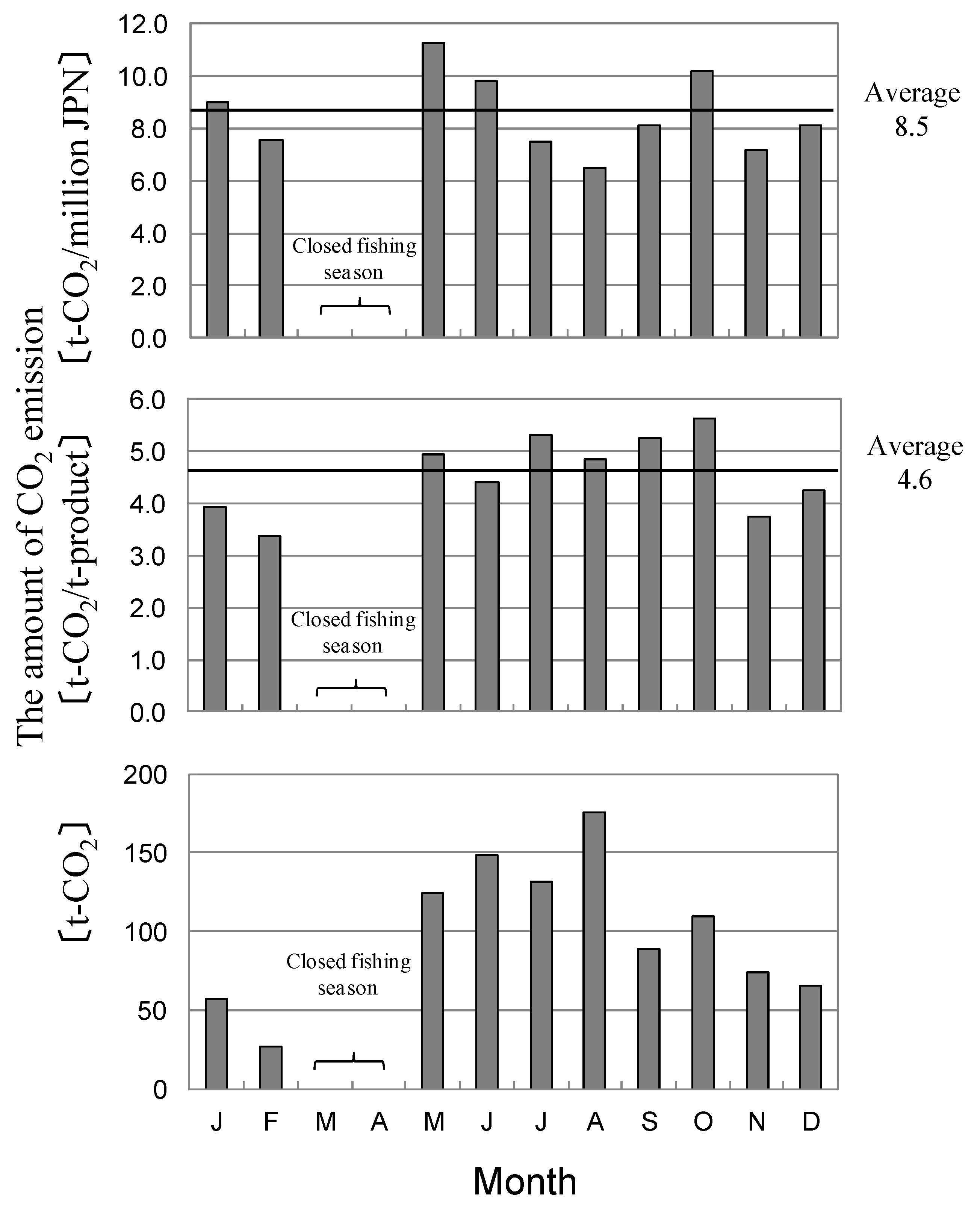
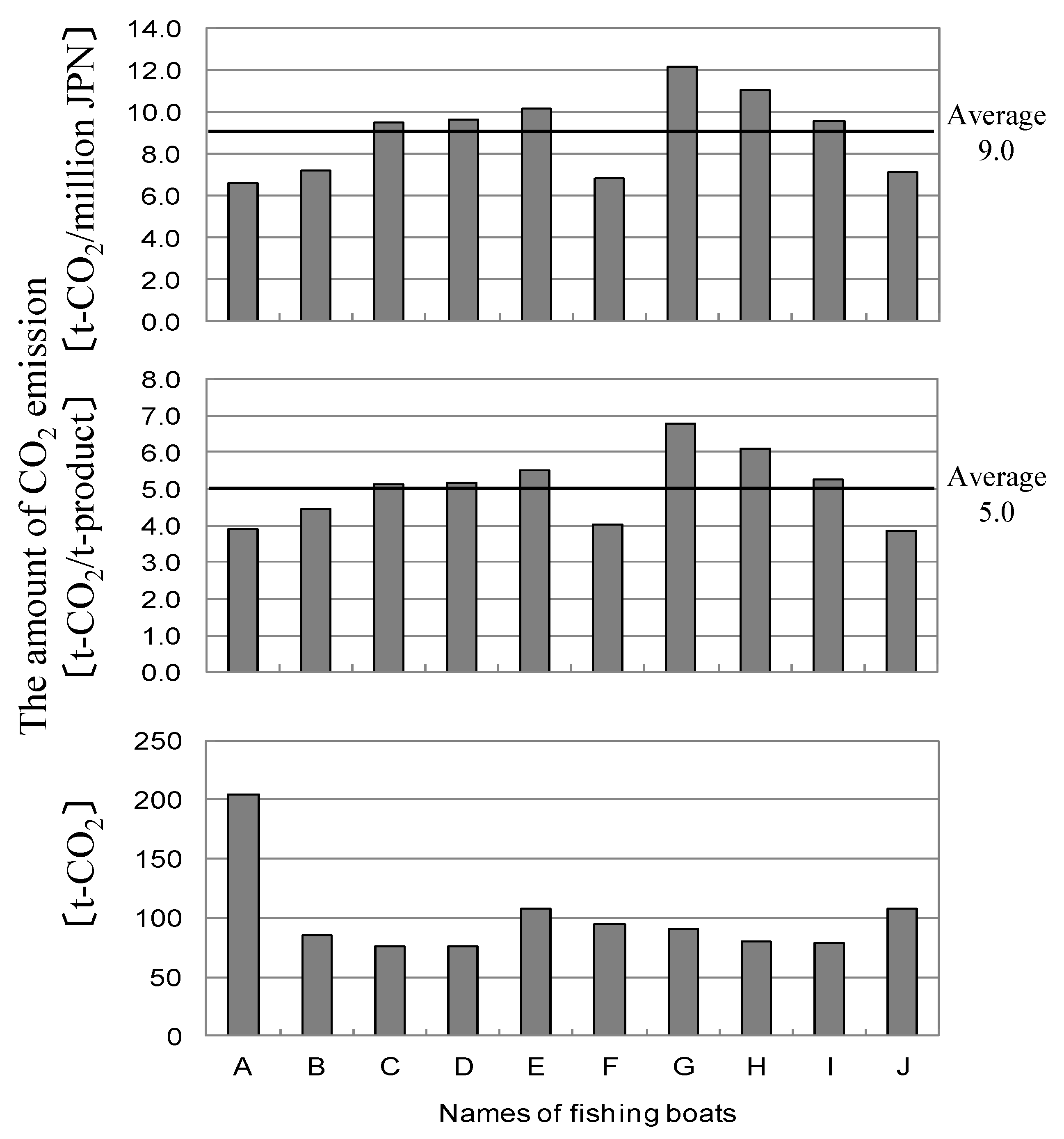
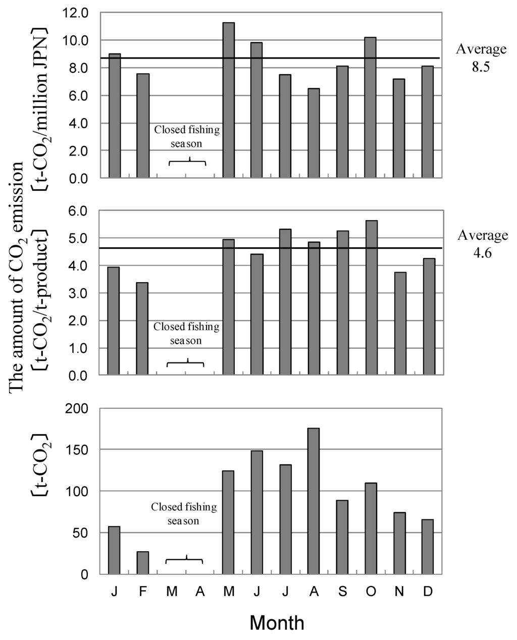
3.3. Variation in CO2 Emissions
4. Discussion
4.1. Verification of the CO2 Emissions of Small Trawlers
4.2. Consideration for Scatter of Basic Unit
4.3. Fishery Management, Fish Resource Control, and Reducing the Environmental Burden
5. Conclusions
Acknowledgments
Author Contributions
Conflicts of Interest
References
- Statistics Department of Ministry of Agriculture Forestry and Fisheries. Statistics Report on Production of Fisheries and Aquaculture 2008; Association of Agriculture and Forestry Statistics: Tokyo, Japan, 2010; p. 53. [Google Scholar]
- ISO 14040: Environmental Management—Life Cycle Assessment—Principles and Framework (ISO 14040:2006); International Standards Organization: Geneva, Switzerland, 2006; pp. 1–20.
- ISO 14044: Environmental Management—Life Cycle Assessment—Requirements and Guidelines (ISO 14044:2006); International Standards Organization: Geneva, Switzerland, 2006; pp. 1–46.
- Ziegler, F.; Hansson, P.-A. Emissions from fuel combustion in Swedish cod fishery. J. Clean. Prod. 2003, 11, 303–314. [Google Scholar] [CrossRef]
- Ziegler, F.; Nilsson, P.; Mattsson, B.; Walther, Y. Life Cycle Assessment of Frozen Cod Fillets Including Fishery-Specific Environmental Impacts. Int. J. Life Cycle Assess. 2003, 8, 39–47. [Google Scholar]
- Thrane, M. Energy Consumption in the Danish Fishery: Identification of Key Factors. J. Ind. Ecol. 2004, 8, 223–239. [Google Scholar] [CrossRef]
- Thrane, M. LCA of Danish Fish Products. New Methods and Insights. Int. J. Life Cycle Assess. 2006, 11, 66–74. [Google Scholar] [CrossRef]
- Minami, W.; Yasui, K.; Nakano, K.; Kim, H.-J. Life Cycle Inventory of Air Pollutants for Consumption of Tuna. Nippon Suisan Gakk. 2004, 70, 548–554. [Google Scholar] [CrossRef]
- Hospido, A.; Tyedmers, P. Life cycle environmental impacts of Spanish tuna fisheries. Fish. Res. 2005, 76, 174–186. [Google Scholar] [CrossRef]
- Hospido, A.; Vazquez, M.E.; Cuevas, A.; Feijoo, G.; Moreira, M.T. Environmental assessment of canned tuna manufacture with a life-cycle perspective. Resour. Conserv. Recycl. 2006, 47, 56–72. [Google Scholar] [CrossRef]
- Ando, T.; Hasegawa, K. Estimating the “Life Cycle CO2 (LC-CO2)” of Canned Mackerel (Scomber spp.) and its Potential as an Environmental Education Tool. A Case Study (2008) at Choshi City, Chiba Prefecture. J. Fish. Technol. 2011, 3, 99–105. [Google Scholar]
- Watanabe, K.; Tahara, K.; Fujimori, Y.; Shimizu, S.; Miura, T. Life Cycle Inventory of Environmental Burden on Squid Fisheries. Environ. Sci. 2006, 19, 15–24. [Google Scholar]
- Vázquez-Rowe, I.; Moreira, M.T.; Feijoo, G. Life cycle assessment of horse mackerel fisheries in Galicia (NW Spain): Comparative analysis of two major fishing methods. Fish. Res. 2010, 106, 517–527. [Google Scholar] [CrossRef]
- Vázquez-Rowe, I.; Moreira, M.T.; Feijoo, G. Life Cycle Assessment of fresh hake fillets captured by the Galician fleet in the Northern Stock. Fish. Res. 2011, 110, 128–135. [Google Scholar] [CrossRef]
- Schau, E.M.; Ellingsen, H.; Endal, A.; Aanondsen, S.A. Energy consumption in the Norwegian fisheries. J. Clean. Prod. 2009, 17, 325–334. [Google Scholar] [CrossRef]
- Ellingsen, H.; Olaussen, J.O.; Utne, I.B. Environmental analysis of the Norwegian fishery and aquaculture industry—A preliminary study focusing on farmed salmon. Mar. Policy 2009, 33, 479–488. [Google Scholar] [CrossRef]
- Driscoll, J.; Tyedmers, P. Fuel use and greenhouse gas emission implications of fisheries management: The case of the New England Atlantic herring fishery. Mar. Policy 2010, 34, 353–359. [Google Scholar] [CrossRef]
- Fréon, P.; Avadí, A.; Vinatea Chavez, R.A.; Iriarte Ahón, F. Life cycle assessment of the Peruvian industrial anchoveta fleet: Boundary setting in life cycle inventory analyses of complex and plural means of production. Int. J. Life Cycle Assess. 2014, 19, 1068–1086. [Google Scholar] [CrossRef]
- Iribarren, D.; Moreira, M.T.; Feijoo, G. Revisiting the Life Cycle Assessment of mussels from a sectorial perspective. J. Clean. Prod. 2010, 18, 101–111. [Google Scholar] [CrossRef]
- Watanabe, K. LCI Analysis of Non-Feeding Aquaculture for Scallop, Sea Tangle and Brown Seaweed. In Proceedings of the 25th Conference on Environmental Information Science, Utrecht, The Netherlands, 18–21 April 2011; pp. 1–6.
- Ayer, N.W.; Tyedmers, P.H. Assessing alternative aquaculture technologies: Life cycle assessment of salmonid culture systems in Canada. J. Clean. Prod. 2009, 17, 362–373. [Google Scholar] [CrossRef]
- McGrath, K.P.; Pelletier, N.L.; Tyedmers, P.H. Life Cycle Assessment of a Novel Closed-Containment Salmon Aquaculture Technology. Environ. Sci. Technol. 2015, 49, 5628–5636. [Google Scholar] [CrossRef] [PubMed]
- Cao, L.; Diana, J.S.; Keoleian, G.A.; Lai, Q. Life Cycle Assessment of Chinese Shrimp Farming Systems Targeted for Export and Domestic Sales. Environ. Sci. Technol. 2011, 45, 6531–6538. [Google Scholar] [CrossRef] [PubMed]
- Parker, R.W.R.; Tyedmers, P.H. Uncertainty and natural variability in the ecological footprint of fisheries: A case study of reduction fisheries for meal and oil. Ecol. Indic. 2012, 16, 76–83. [Google Scholar] [CrossRef]
- Ayer, N.W.; Tyedmers, P.H.; Pelletier, N.L.; Sonesson, U.; Scholz, A. Co-product allocation in life cycle assessments of seafood production systems: Review of problems and strategies. Int. J. Life Cycle Assess. 2007, 12, 480–487. [Google Scholar] [CrossRef]
- Parker, P. Review of Life Cycle Assessment Research on Products Derived from Fisheries and Aquaculture—A Report for Seafish as Part of the Collective Action to Address Greenhouse Gas Emissions in Seafood. Available online: http://www.seafish.org/media/583639/seafish_lca_review_report_final.pdf (accessed on 11 April 2016).
- Kihara, T.; Kameyama, M.; Hiraoka, K.; Senda, T.; Naruse, T.; Shirota, H.; Sakurai, A.; Fukumoto, M. Study for the Application of LCA to ship. Natl. Marit. Res. Insti. Rep. 2002, 2, 35–185. [Google Scholar]
- Keisuke, N.; Yasushi, K.; Shigemi, K.; Sangwon, S.; Kenichi, N.; Rokuta, I.; Susumu, T. Estimates of Embodied Global Energy and Air-Emission Intensities of Japanese Products for Building a Japanese Input-Output Life Cycle Assessment Database with a Global System Boundary. Environ. Sci. Technol. 2012, 46, 9146–9154. [Google Scholar]










| Item | 〔UNIT〕 | 〔kg-CO2/UNIT〕 | |
|---|---|---|---|
| Boat | Fishing Boat | boat | 41,800.0 |
| Fishing Gear | Fishing Nets | kg | 0.8 |
| Trawl Line | kg | 1.4 | |
| Ground rope | kg | 1.5 | |
| Net Float | piece | 4.2 | |
| Otter Board | piece | 400.0 | |
| Net Weight | piece | 0.6 | |
| Fishing Gear Accessory | kg | 1.6 | |
| Fuel Oil | Heavy Oil | L | 3.0 |
| Fish Box and Ice | Fish Box | kg | 1.95 |
| Ice | t | 60.0 |
| CO2 Emission | |||
|---|---|---|---|
| Small Scale Trawl Fishery (10 fishing boats) | Total | 1001.6 | ton |
| /ton-product | 4.7 | ton | |
| /million JPN | 8.3 | ton | |
| Fish Name (Scientific Name) | Mass Allocation | Monetary Allocation |
|---|---|---|
| Olive flounder (Paralichthys olivaceus) | 4.7 | 5.5 |
| Marbled sole (Pleuronectes yokohamae) | 4.7 | 5.0 |
| Brown sole (Pseudopleuronectes herzensteini) | 4.7 | 5.2 |
| Stone flounder (Kareius bicoloratus) | 4.7 | 5.2 |
| Others | 4.7 | 3.2 |
| Name | Unit | N | Sample Average | Maximum value | Minimum value | Standard Deviation | Standard Error |
|---|---|---|---|---|---|---|---|
| Each fishing boat | t-CO2/t-products | 10 | 5.0 | 6.8 | 3.9 | 0.98 | 0.31 |
| t-CO2/million JPN | 10 | 9.0 | 12.2 | 6.6 | 1.93 | 0.61 | |
| Each month | t-CO2/t-products | 10 | 4.6 | 5.6 | 3.4 | 0.74 | 0.23 |
| t-CO2/million JPN | 10 | 8.5 | 11.3 | 6.5 | 1.51 | 0.48 |
© 2016 by the authors; licensee MDPI, Basel, Switzerland. This article is an open access article distributed under the terms and conditions of the Creative Commons Attribution (CC-BY) license (http://creativecommons.org/licenses/by/4.0/).
Share and Cite
Watanabe, K.; Tahara, K. Life Cycle Inventory Analysis for a Small-Scale Trawl Fishery in Sendai Bay, Japan. Sustainability 2016, 8, 399. https://doi.org/10.3390/su8040399
Watanabe K, Tahara K. Life Cycle Inventory Analysis for a Small-Scale Trawl Fishery in Sendai Bay, Japan. Sustainability. 2016; 8(4):399. https://doi.org/10.3390/su8040399
Chicago/Turabian StyleWatanabe, Kazuhito, and Kiyotaka Tahara. 2016. "Life Cycle Inventory Analysis for a Small-Scale Trawl Fishery in Sendai Bay, Japan" Sustainability 8, no. 4: 399. https://doi.org/10.3390/su8040399
APA StyleWatanabe, K., & Tahara, K. (2016). Life Cycle Inventory Analysis for a Small-Scale Trawl Fishery in Sendai Bay, Japan. Sustainability, 8(4), 399. https://doi.org/10.3390/su8040399
