Maize Processing Waste Water Upcycling in Mexico: Recovery of Arabinoxylans for Probiotic Encapsulation
Abstract
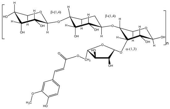
:1. Introduction
2. Materials and Methods
2.1. Materials
2.2. Strains and Culture Conditions
2.3. Methods
2.3.1. MWAX Extraction and Chemical Composition
2.3.2. Gel Preparation and Probiotics Inclusion
2.3.3. Rheology
2.3.4. Swelling
2.3.5. Structural Parameters
2.3.6. Scanning Electron Microscopy
2.3.7. Statistical Analysis
3. Results and Discussion
3.1. Yield and Chemical Composition
3.2. Gelation
3.3. Structural Parameters
3.4. Microscopy
4. Conclusions
Acknowledgments
Author Contributions
Conflicts of Interest
References
- Kent, N.L.; Evers, A.D. Technology of Cereals: An Introduction for Students of Food Science and Agriculture, 4th ed.; Elsevier Science Ltd.: Oxford, UK, 1994. [Google Scholar]
- Niño-Medina, G.; Carvajal-Millán, E.; Lizardi, J.; Rascon-Chu, A.; Marquez-Escalante, J.A.; Gardea, A.; Martinez-Lopez, A.L.; Guerrero, V. Maize processing waste water arabinoxylans: Gelling capability and cross-linking content. Food Chem. 2009, 115, 1286–1290. [Google Scholar] [CrossRef]
- Paz-Samaniego, R.; Carvajal-Millan, E.; Brown-Bojorquez, F.; Rascón-Chu, A.; López-Franco, Y.L.; Sotelo-Cruz, N.; Lizardi-Mendoza, J. Gelation of arabinoxylans from maize wastewater—Effect of alkaline hydrolysis conditions on the gel rheology and microstructure. In Wastewater Treatment Engineering; Samer, M., Ed.; InTech: Rijeka, Croatia, 2015; pp. 101–114. [Google Scholar]
- Ayala-Soto, F.E.; Serna-Saldívar, S.O.; Pérez-Carrillo, E.; García-Lara, S. Relationship between hydroxycinnamic profile with gelation capacity and rheological properties of arabinoxylans extracted from different maize fiber sources. Food Hydrocoll. 2014, 39, 280–285. [Google Scholar] [CrossRef]
- Izydorczyk, M.; Billiaderis, C. Cereal arabinoxylans: Advances in structure and physicochemical properties. Carbohydr. Polym. 1995, 28, 33–48. [Google Scholar] [CrossRef]
- Niño-Medina, G.; Carvajal-Millan, E.; Rascon-Chu, A.; Marquez-Escalante, J.A.; Guerrero, V.; Salas-Muñoz, E. Feruloylated arabinoxylans and arabinoxylan gels: Structure, sources and applications. Phytochem. Rev. 2010, 9, 111–120. [Google Scholar] [CrossRef]
- Delzenne, N.M.; Neyrinck, A.M.; Backhed, F.; Cani, P.D. Targeting gut microbiota in obesity: Effects of prebiotics and probiotics. Nat. Rev. Endocrinol. 2011, 7, 639–646. [Google Scholar] [CrossRef] [PubMed]
- Grootaert, C.; van den Abbeele, P.; Marzorati, M.; Broekaert, W.F.; Courtin, C.M.; Delcour, J.A.; Verstraete, W.; Van de Wiele, T. Comparison of prebiotic effects of arabinoxylan oligosaccharides and inulin in a simulator of the human intestinal microbial ecosystem. FEMS Microbiol. Ecol. 2009, 69, 231–242. [Google Scholar] [CrossRef] [PubMed]
- Carvajal-Millan, E.; Landillon, V.; Morel, M.-H.; Rouau, X.; Doublier, J.-L.; Micard, V. Arabinoxylan gels: Impact of the feruloylation degree on their structure and properties. Biomacromolecules 2005, 6, 309–317. [Google Scholar] [CrossRef] [PubMed]
- González-Estrada, C.-S.M.; Carvajal-Millan, E.; Ascencio Valle, F.J.; Ragazzo-Sánchez, J.A.; Brown-Bojorquez, F.; Rascón-Chu, A. Covalently cross-linked arabinoxylans films for Debaryomyces hansenii entrapment. Molecules 2015, 20, 11373–11386. [Google Scholar]
- Morales-Ortega, A.; Carvajal-Millan, E.; Brown-Bojorquez, F.; Rascón-Chu, A.; Torres-Chavez, P.; López-Franco, Y.; Lizardi-Mendoza, J.; Martínez-López, A.; Campa-Mada, A. Entrapment of probiotics in water extractable arabinoxylan gels: Rheological and microstructural characterization. Molecules 2014, 19, 3628–3637. [Google Scholar] [CrossRef] [PubMed]
- Amine, K.M.; Champagne, C.P.; Salmieri, S.; Britten, M.; St-Gelais, D.; Fustier, P.; Lacroix, M. Effect of palmitoylated alginate microencapsulation on viability of Bifidobacterium longum during freeze-drying. LWT Food Sci. Technol. 2014, 56, 111–117. [Google Scholar] [CrossRef]
- Martínez-López, A.L.; Carvajal-Millan, E.; Micard, V.; Rascón-Chu, A.; Brown-Bojorquez, F.; Sotelo-Cruz, N.; López-Franco, Y.L.; Lizardi-Mendoza, J. In vitro degradation of covalently cross-linked arabinoxylan hydrogels by bifidobacteria. Carbohydr. Polym. 2016, 144, 76–82. [Google Scholar] [CrossRef] [PubMed]
- Carvajal-Millan, E.; Rascón-Chu, A.; Márquez-Escalante, J.A. Method for Maize Gum Recovery from Alkaline Maize Wastewater. Mexican Patent 278,768, 7 September 2010. [Google Scholar]
- Carvajal-Millan, E.; Rascón-Chu, A.; Márquez-Escalante, J.A.; Micard, V.; León, N.P.D.; Gardea, A. Maize bran gum: Extraction, characterization and functional properties. Carbohydr. Polym. 2007, 69, 280–285. [Google Scholar] [CrossRef]
- Bradford, M. A rapid and sensitive method for the quantification of microgram quantities of protein utilizing the principle of protein–dye binding. Anal. Biochem. 1976, 72, 248–254. [Google Scholar] [CrossRef]
- AOAC. Association of official analytical chemists. In Official Methods of Analysis of AOAC International, 17th ed.; AOAC International: Gaithersburg, MD, USA, 2002. [Google Scholar]
- Flory, P.J.; Rehner, J. Statistical mechanics of cross-linked polymer networks II. Swelling. J. Chem. Phys. 1943, 11, 521. [Google Scholar] [CrossRef]
- Peppas, N.A.; Merrill, E.W. Poly(vinyl alcohol) hydrogels: Reinforcement of radiation-crosslinked networks by crystallization. J. Polym. Sci. Polym. Chem. Ed. 1976, 14, 441–457. [Google Scholar] [CrossRef]
- Saulnier, L.; Guillon, F.; Sado, P.E.; Chateigner-Boutin, A.L.; Rouau, X. Plant Cell Wall Polysaccharides in Storage Organs: Xylans (Food Applications); Elsevier: Amsterdam, The Netherlands, 2013. [Google Scholar]
- Morales-Ortega, A.; Carvajal-Millan, E.; López-Franco, Y.; Rascón-Chu, A.; Lizardi-Mendoza, J.; Torres-Chavez, P.; Campa-Mada, A. Characterization of water extractable arabinoxylans from a spring wheat flour: Rheological properties and microstructure. Molecules 2013, 18, 8417–8428. [Google Scholar] [CrossRef] [PubMed]
- Martínez-López, A.L.; Carvajal-Millan, E.; Rascón-Chu, A.; Márquez-Escalante, J.; Martínez-Robinson, K. Gels of ferulated arabinoxylans extracted from nixtamalized and non-nixtamalized maize bran: Rheological and structural characteristics. CyTA 2013, 11, 22–28. [Google Scholar] [CrossRef]
- Berlanga-Reyes, C.M.; Carvajal-Millán, E.; Caire Juvera, G.; Rascón-Chu, A.; Marquez-Escalante, J.A.; Luisa, M.-L.A. Laccase induced maize bran arabinoxylan gels: Structural and rheological properties. Food Sci. Biotechnol. 2009, 18, 1027–1029. [Google Scholar]
- Martínez-López, A.L.; Carvajal-Millan, E.; Lizardi-Mendoza, J.; López-Franco, Y.L.; Rascón-Chu, A.; Salas-Muñoz, E.; Barron, C.; Micard, V. The peroxidase/H2O2 system as a free radical-generating agent for gelling maize bran arabinoxylans: Rheological and structural properties. Molecules 2011, 16, 8410–8418. [Google Scholar] [CrossRef] [PubMed]
- Niño-Medina, G.; Carvajal-Millan, E.; Lizardi, J.; Rascón-Chu, A.; Gardea, A. Feruloylated arabinoxylans recovered from low-value maize by-products. In Encyclopedia of Polymer Research; Jones, C.E., Ed.; Nova Science Publishers, Inc.: New York, NY, USA, 2011; pp. 1401–1416. [Google Scholar]
- Schell, M.A.; Karmirantzou, M.; Snel, B.; Vilanova, D.; Berger, B.; Pessi, G.; Zwahlen, M.C.; Desiere, F.; Bork, P.; Delley, M.; et al. The genome sequence of Bifidobacterium longum reflects its adaptation to the human gastrointestinal tract. Proc. Natl. Acad. Sci. USA 2002, 99, 14422–14427. [Google Scholar] [CrossRef] [PubMed]
- Bezkorovainy, A.; Miller-Catchpole, R. Biochemistry and Physiology of Bifidobacteria; CRS Press: Boca Raton, FL, USA, 1989; p. 233. [Google Scholar]
- Ekhart, P.F.; Van Der Saag, H.; Possemiers, S.; Van Den Abbeele, P.; Van De Wiele, T.; Neyrinck, A.M.; Nelly Delzenne, N.M.; Cani, P.C. Arabinoxylans for Modulating the Barrier Function of the Intestinal Surface. U.S. Patent 8465788 B2, 18 June 2013. [Google Scholar]
- Crittenden, R.; Laitila, A.; Forssell, P.; Mättö, J.; Saarela, M.; Mattila-Sandholm, T.; Myllärinen, P. Adhesion of Bifidobacteria to Granular Starch and Its Implications in Probiotic Technologies. Appl. Environ. Microbiol. 2001, 67, 3469–3475. [Google Scholar] [CrossRef] [PubMed]







| Component | Value |
|---|---|
| Arabinose | 30.2 ± 0.195 |
| Xylose | 35.4 ± 0.053 |
| Galactose | 12.8 ± 0.356 |
| Glucose | 1.66 ± 0.014 |
| Protein | 1.59 ± 0.13 |
| Ash | 1.48 ± 0.029 |
| Ferulic acid | 0.012 ± 0.001 |
| Parameter | Value |
|---|---|
| Molecular weight between two cross-links, Mc × 103 (g/mol) | 67 ± 0.1 |
| Cross-linking density, ρc × 10−4 (mol/cm3) | 2.11 ± 0.01 |
| Mesh size, ξ (nm) | 413 ± 6 |
© 2016 by the authors; licensee MDPI, Basel, Switzerland. This article is an open access article distributed under the terms and conditions of the Creative Commons Attribution (CC-BY) license (http://creativecommons.org/licenses/by/4.0/).
Share and Cite
Paz-Samaniego, R.; Carvajal-Millan, E.; Sotelo-Cruz, N.; Brown, F.; Rascón-Chu, A.; López-Franco, Y.L.; Lizardi-Mendoza, J. Maize Processing Waste Water Upcycling in Mexico: Recovery of Arabinoxylans for Probiotic Encapsulation. Sustainability 2016, 8, 1104. https://doi.org/10.3390/su8111104
Paz-Samaniego R, Carvajal-Millan E, Sotelo-Cruz N, Brown F, Rascón-Chu A, López-Franco YL, Lizardi-Mendoza J. Maize Processing Waste Water Upcycling in Mexico: Recovery of Arabinoxylans for Probiotic Encapsulation. Sustainability. 2016; 8(11):1104. https://doi.org/10.3390/su8111104
Chicago/Turabian StylePaz-Samaniego, Rita, Elizabeth Carvajal-Millan, Norberto Sotelo-Cruz, Francisco Brown, Agustín Rascón-Chu, Yolanda L. López-Franco, and Jaime Lizardi-Mendoza. 2016. "Maize Processing Waste Water Upcycling in Mexico: Recovery of Arabinoxylans for Probiotic Encapsulation" Sustainability 8, no. 11: 1104. https://doi.org/10.3390/su8111104
APA StylePaz-Samaniego, R., Carvajal-Millan, E., Sotelo-Cruz, N., Brown, F., Rascón-Chu, A., López-Franco, Y. L., & Lizardi-Mendoza, J. (2016). Maize Processing Waste Water Upcycling in Mexico: Recovery of Arabinoxylans for Probiotic Encapsulation. Sustainability, 8(11), 1104. https://doi.org/10.3390/su8111104

