Improving the Sustainability of Transportation: Environmental and Functional Benefits of Right Turn By-Pass Lanes at Roundabouts
Abstract
:1. Introduction

2. Capacity of Roundabouts with Right-Turn Bypass Lanes
- stop-controlled bypass lanes;
- yield-controlled bypass lanes;
- free-flow bypass lanes (i.e., with an acceleration lane).
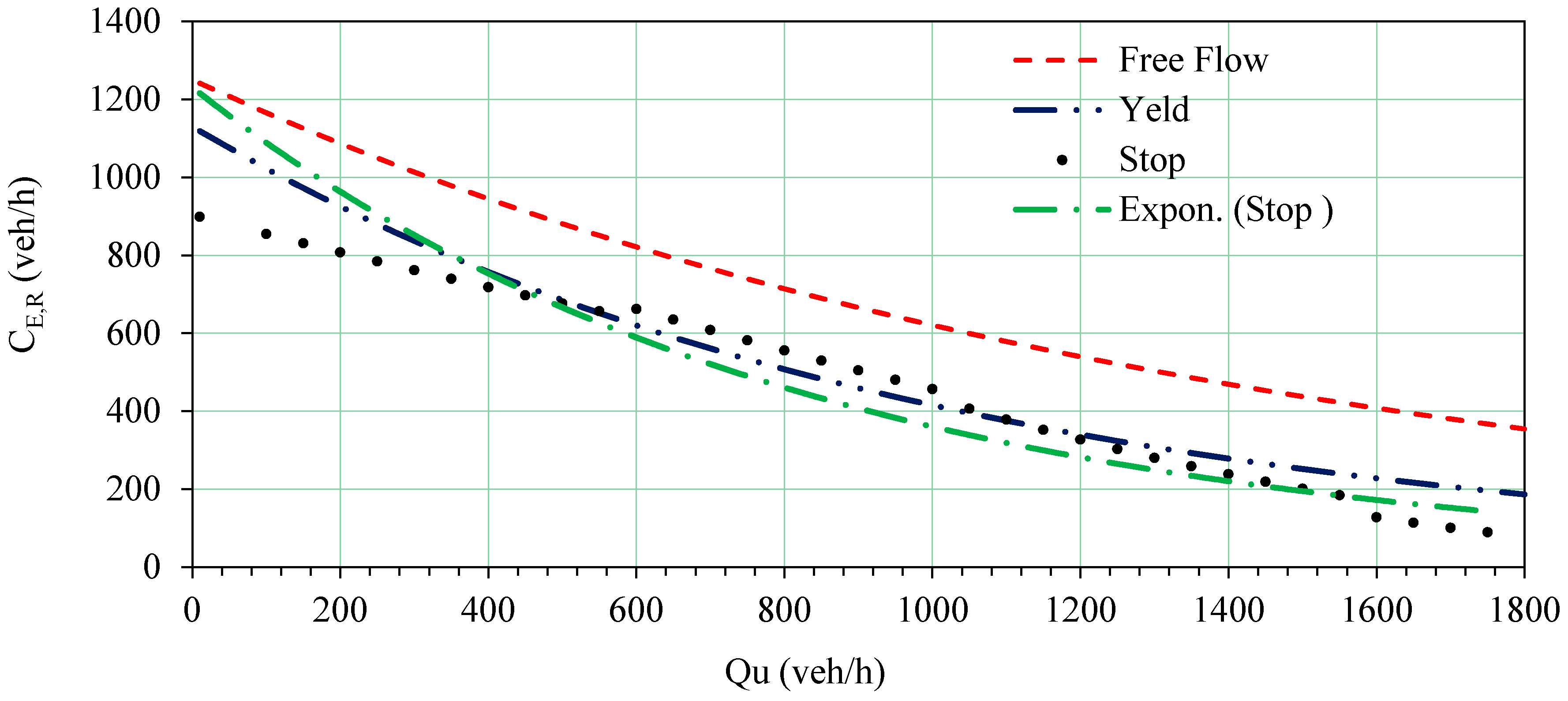
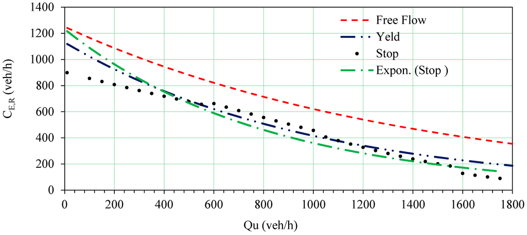
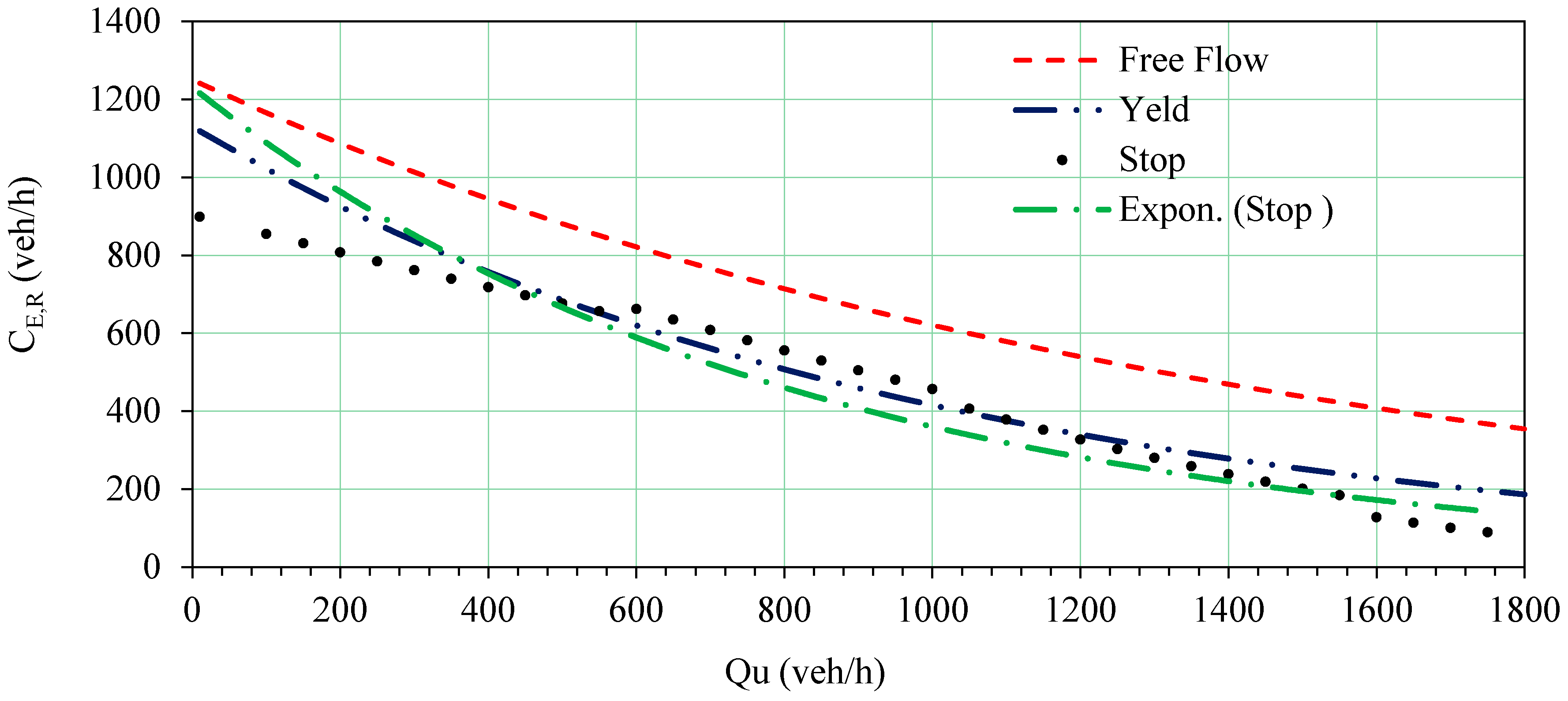
3. Bypass Capacity
3.1. Bypass with a Stop Sign


3.2. Right-Turn Bypass Lane with a Yield Sign
3.3. Free-Flow Bypass Lane




4. Determination of Consumption and Emissions in a Roundabout
5. Analysis of Bypass Overall Costs
- ▪
- Roundabout with one ring lane and one lane at entries: “Roundabout (1 + 1)”;
- ▪
- Roundabout (1 + 1) with bypass lanes controlled by a stop signal at all arms;
- ▪
- Roundabout (1 + 1) with bypass lanes controlled by a yield signal at all arms;
- ▪
- Roundabout (1 + 1) with bypass lanes provided with an acceleration lane at all arms.

| Passenger Cars (veh/year) | Heavy Duty Trucks (veh/year) | QTOT (veh/year) | Qmax (veh/h) | |||||||
|---|---|---|---|---|---|---|---|---|---|---|
| Petrol | Diesel | Diesel | ||||||||
| EURO 2 | EURO 3 | EURO 4 | EURO 2 | EURO 3 | EURO 4 | EURO 2 | EURO 3 | EURO 4 | ||
| 582,865 | 349,509 | 752,385 | 196,691 | 430,048 | 806,727 | 86,617 | 86,617 | 173,235 | 3,464,695 | 1300 |
| 807,044 | 483,935 | 1,041,764 | 272,342 | 595,451 | 1,117,007 | 119,932 | 119,932 | 239,864 | 4,797,270 | 1800 |
| 1,031,223 | 618,362 | 1,331,143 | 347,992 | 760,854 | 1,427,287 | 153,246 | 153,246 | 306,492 | 6,129,845 | 2300 |
| 1,255,402 | 752,788 | 1,620,522 | 423,643 | 926,256 | 1,737,567 | 186,561 | 186,561 | 373,121 | 7,462,420 | 2800 |
| 1,479,581 | 887,214 | 1,909,901 | 499,293 | 1,091,659 | 2,047,847 | 219,875 | 219,875 | 439,750 | 8,794,995 | 3300 |
| CO2 EMISSION (ton/year) | |||||
| Annual traffic | Qmax (veh/h) | Roundabout with bypass (stop) | Roundabout with bypass (yield) | Round. with bypass (free-flow) | Roundabout (1 + 1) |
| 3,464,695 | 1300 | 735 | 735 | 734 | 736 |
| 4,797,270 | 1800 | 947 | 947 | 947 | 950 |
| 6,129,845 | 2300 | 1215 | 1215 | 1214 | 1224 |
| 7,462,420 | 2800 | 1474 | 1474 | 1472 | 1503 |
| 8,794,995 | 3300 | 1780 | 1779 | 1777 | 1862 |
| NOx EMISSION (ton/year) | |||||
| Annual Traffic | Qmax (veh/h) | Roundabout with bypass (stop) | Roundabout with bypass (yield) | Round. with bypass (free-flow) | Roundabout (1 + 1) |
| 3,464,695 | 1300 | 2004 | 2004 | 2003 | 2006 |
| 4,797,270 | 1800 | 2681 | 2680 | 2680 | 2688 |
| 6,129,845 | 2300 | 3437 | 3437 | 3435 | 3457 |
| 7,462,420 | 2800 | 4122 | 4122 | 4118 | 4187 |
| 8,794,995 | 3300 | 5016 | 5013 | 5007 | 5207 |
| PM2.5 EMISSION (ton/year) | |||||
| Annual traffic | Qmax (veh/h) | Roundabout with bypass (stop) | Roundabout with bypass (yield) | Round. with bypass (free-flow) | Roundabout (1 + 1) |
| 3,464,695 | 1300 | 0.138 | 0.138 | 0.138 | 0.139 |
| 4,797,270 | 1800 | 0.187 | 0.187 | 0.187 | 0.188 |
| 6,129,845 | 2300 | 0.241 | 0.241 | 0.240 | 0.243 |
| 7,462,420 | 2800 | 0.292 | 0.292 | 0.291 | 0.298 |
| 8,794,995 | 3300 | 0.354 | 0.354 | 0.353 | 0.365 |
| PM10 EMISSION (ton/year) | |||||
| Annual traffic | Qmax (veh/h) | Roundabout with bypass (stop) | Roundabout with bypass (yield) | Round. with bypass (free-flow) | Roundabout (1 + 1) |
| 3,464,695 | 1300 | 0.183 | 0.183 | 0.183 | 0.183 |
| 4,797,270 | 1800 | 0.246 | 0.246 | 0.246 | 0.247 |
| 6,129,845 | 2300 | 0.316 | 0.316 | 0.316 | 0.319 |
| 7,462,420 | 2800 | 0.383 | 0.383 | 0.383 | 0.393 |
| 8,794,995 | 3300 | 0.466 | 0.465 | 0.465 | 0.478 |
| FUEL CONSUMPTION (ton/year) | |||||
| Annual traffic | Qmax (veh/h) | Roundabout with bypass (stop) | Roundabout with bypass (yield) | Round. with bypass (free-flow) | Roundabout (1 + 1) |
| 3,464,695 | 1300 | 217,934 | 217,966 | 217,870 | 218,338 |
| 4,797,270 | 1800 | 302,655 | 302,769 | 302,586 | 303,764 |
| 6,129,845 | 2300 | 388,443 | 388,474 | 388,173 | 391,301 |
| 7,462,420 | 2800 | 476,350 | 476,500 | 475,785 | 485,620 |
| 8,794,995 | 3300 | 566,000 | 567,000 | 568,136 | 595,330 |

- ▪
- Roundabout (1 + 1) = €950,000;
- ▪
- Roundabout (1 + 1) with bypass lanes controlled by a stop signal at all arms = €1,200,000;
- ▪
- Roundabout (1 + 1) with bypass lanes controlled by a yield signal at all arms = €1,200,000;
- ▪
- Roundabout (1 + 1) with bypass lanes with an acceleration lane at all arms = €1,600,000.



6. Conclusions
- (1)
- for total hourly flows entering a roundabout up to Qmax = 1500 veh/h, the layouts in question give rise to nearly the same delays;
- (2)
- when a flow increases, delays at a single-lane roundabout without bypasses increase much more significantly than roundabouts with right-turn bypass lanes (for an entry flow of 2730 veh/h, such a difference is around 100 s/veh);
- (3)
- the bypass providing higher capacity and less delays is that with an acceleration lane;
- (4)
- for heavy annual traffic (QTOT = 8,794,995 veh/year), the presence of bypasses determines considerable energetic benefits. In fact, compared to roundabouts without bypasses, their presence determines a reduction of over 5% in fuel consumption.
Acknowledgments
Author Contributions
Conflicts of Interest
References
- Maheshwari, P.; Khaddar, R.; Kachroo, P.; Paz, A. Dynamic Modeling of Performance Indices for the Planning of Sustainable Transportation Systems. Netw. Spat. Econ. 2014. [Google Scholar] [CrossRef]
- Ambrosino, G.; Aassoli, P.; Bielli, M.; Romanazzo, M. A Modeling Framework for Impact Assessment of Urban Transport Systems. Transp. Res. Part D 1999, 4, 73–79. [Google Scholar] [CrossRef]
- Huzayyin, S.; Salem, H. Analysis of thirty years evolution of urban growth, transport demand and supply, energy consumption, greenhouse and pollutants emissions in Greater Cairo. Res. Transp. Econ. 2013, 40, 104–115. [Google Scholar] [CrossRef]
- Klibavičius, A.; Paliulis, G.M. Increasing the capacity of intersections by short traffic lanes. Transport 2012, 27, 67–72. [Google Scholar] [CrossRef]
- Fortuijn, L.G.H. Pedestrian and Bicycle-Friendly Roundabouts; Dilemma of Comfort and Safety; Annual Meeting of the Institute of Transportation Engineers (ITE): Seattle, Washington, DC, USA, 2003. [Google Scholar]
- Fortuijn, L.G.H. Turbo Roundabouts Design Principles and Safety Performance. CD-ROM. In Proceedings of the 88th TRB Annual Meeting, Washington, DC, USA, 11–15 January 2009.
- Vasconcelos, L.; Silva, A.; Seco, A.; Fernandes, P.; Coelho, M. Turborounda-bouts. Transp. Res. Rec. 2014, 2402, 28–37. [Google Scholar] [CrossRef]
- Turborotondes. Available online: http://www.crow.nl/publicaties/turborotondes (accessed on 11 May 2015).
- Guerrieri, M.; Corriere, F. Estimation of measures of effectiveness (MOE) for the C-Roundabouts. Appl. Mech. Mater. 2014, 459, 569–574. [Google Scholar] [CrossRef]
- Tollazzi, T.; Tesoriere, G.; Guerrieri, M.; Campisi, T. Environmental, functional and economic criteria for comparing “target roundabouts” with one- or two level roundabout intersections. Transp. Res. Part D 2015, 34, 330–344. [Google Scholar] [CrossRef]
- Tollazzi, T.; Ovanović, G.; Renčelj, M. New type of roundabout: Dual one-lane roundabouts on two levels with right-hand turning bypasses—Target roundabout. Promet Traffic Transp. 2013, 25, 475–481. [Google Scholar]
- Mauro, R.; Cattani, M. Model to evaluate potential accident rate at roundabouts. J. Transp. Eng. 2004, 130, 602–609. [Google Scholar] [CrossRef]
- Al-Ghandour, M.N.; Schroeder, B.J.; Williams, B.M.; Rasdorf, W.J. Conflict models for single-lane roundabout slip lanes from microsimulation: Development and validation. Transp. Res. Rec. 2011, 2236, 92–101. [Google Scholar] [CrossRef]
- De Luca, M.; Mauro, R.; Russo, F.; Dell’Acqua, G. Before-after freeway accident analysis using Cluster algorithms. Procedia Soc. Behav. Sci. 2011, 20, 723–731. [Google Scholar] [CrossRef]
- Mauro, R.; Guerrieri, M. Right-turn bypass lanes at roundabouts: Geometric schemes and functional analysis. Mod. Appl. Sci. 2013, 7, 1–12. [Google Scholar]
- Daniels, S.; Brijs, T.; Nuyts, E.; Wets, G. Extended prediction models for crashes at roundabouts. Saf. Sci. 2011, 49, 198–207. [Google Scholar] [CrossRef]
- Dabbour, E.; Easa, S.M. Evaluation of safety and operational impacts of bicycle bypass lanes at modern roundabouts. Can. J. Civil Eng. 2008, 35, 1025–1032. [Google Scholar] [CrossRef]
- Wytyczne Projektowania Skrzyzowan Drogowych, Czesc II. Available online: http://w.bibliotece.pl/books/299414d75dda449ab7a18db57e74d439/ (accessed on 11 May 2015).
- TRB. NCHRP Report 672, 2010. Roundabouts: An Informational Guide, 2nd ed.; TRB: Washington, DC, USA, 2010. [Google Scholar]
- Montella, A.; Turner, S.; Chiaradonna, S.; Aldridge, D. International overview of roundabout design practices and insights for improvement of the Italian standard. Can. J. Civil Eng. 2013, 40, 1215–1226. [Google Scholar] [CrossRef]
- Tracz, M. Analysis of Small Roundabouts’ Capacity. In Proceedings of the National Roundabout Conference, Kansas City, MO, USA, 18–21 May 2008.
- Tracz, M.; Chodur, J.; Ostrowsk, K. Roundabouts Country report—Poland. In Proceedings of the 6th International Symposium on Highway Capacity and Quality of Service, Stockholm, Sweden, 28 June–3 July 2011.
- Al-Ghandour, M.; Schroeder, B.; Rasdorf, W.; Williams, B. Delay Analysis of single-lane roundabout with a slip lane under varying exit types, experimental balanced traffic volumes, and pedestrians, using microsimulation. Transp. Res. Rec. 2012. [Google Scholar] [CrossRef]
- Kinderyte-Poškiene, J.; Sokolovskij, E. Traffic control elements influence on accidents, mobility and the environment. Transport 2008, 23, 55–58. [Google Scholar] [CrossRef]
- Al-Ghandour, M. Experimental analysis of single-lane roundabout slip lanes: Fuel consumption and emissions. In Proceedings of the 2nd Green Streets, Highways, and Development Conference, Austin, TX, USA, 3–6 November 2013; pp. 240–250.
- Corriere, F.; Guerrieri, M.; Ticali, D.; Messineo, A. Estimation of air pollutant emissions in Flower roundabouts and in conventional roundabouts. Arch. Civil Eng. 2013, 59, 229–246. [Google Scholar]
- Mauro, R.; Cattani, M. Functional and Economic Evaluations for Choosing Road Intersection Layout. Promet Traffic Transp. 2012, 24, 441–448. [Google Scholar]
- Highway Capacity Manual 2010 (HCM 2010). Transportation Research Board; Highway Capacity Manual: Washington, DC, USA, 2010. [Google Scholar]
- Corriere, F.; Guerrieri, M. Performance analysis of basic turbo-roundabout in urban context. Proc. Soc. Behav. Sci. 2012, 53, 622–632. [Google Scholar] [CrossRef]
- Gkatzoflias, D.; Kouridis, C.; Ntziachristos, L. Description of new elements in COPERT 4 v 9.0, EMI-SIA SA Report, No: 11.RE.005.V1. Available online: http://emisia.com/sites/default/files/COPERT4_v9_0.pdf (accessed on 11 May 2015).
- Akҫelik, R. Roundabout model calibration issue and a case study. In Proceedings of the TRB National Roundabout Conference, Vail, CO, USA, 22–25 May 2005.
- Yap, Y.H.; Gibson, H.M.; Waterson, B.J. An International Review of Roundabout Capacity Modelling. Transp. Rev. 2013, 33, 593–616. [Google Scholar] [CrossRef]
- Brilon, W.; Stuwe, B.; Drews, O. Sicherheit und Leistungsfähigkeit von Kreisverkehrsplätzen. Institute for Traffic Engineering. Ruhr Universität, Bochum: Deutschland, Germany, 1993. [Google Scholar]
- Int Panis, L.; Beckx, C.; Broekx, S.; De Vlieger, I.; Schrooten, L.; Degraeuwe, B.; Pelkmans, L. PM, NOx and CO2 emission reductions from speed management policies in Europe. Transp. Policy 2011, 18, 32–37. [Google Scholar] [CrossRef]
- Varhelyi, A. The effect of small roundabouts on emissions and fuel consumption: A case study. Transp. Res. Part D 2002, 7, 65–71. [Google Scholar] [CrossRef]
- Gokhale, S. Impacts of traffic-flows on vehicular-exhaust emissions at traffic junctions. Transp. Res. Part D 2012, 17, 21–27. [Google Scholar] [CrossRef]
- Mandavilli, S.; Rys, M.J.; Russell, E.R. Environmental impact of modern roundabouts. Int. J. Ind. Ergon. 2008, 38, 135–142. [Google Scholar] [CrossRef]
- Wilkinson, K.E.; Lundkvist, J.; Netrval, J.; Eriksson, M.; Gulaim, A.; Kessler, G. Space and time resolved monitoring of airborne particulate matter in proximity of a traffic roundabout in Sweden. Environ. Pollut. 2013, 182, 364–370. [Google Scholar] [CrossRef] [PubMed]
- Schmale, J.; von Schneidemesser, E.; Dörrie, A. An integrated assessment method for sustainable transport system planning in a middle sized German city. Sustainability 2015, 7, 1329–1354. [Google Scholar] [CrossRef]
- Akҫelik, R.; Smit, R.; Besley, M. Recalibration of a Vehicle Power Model for Fuel and Emission Estimation and its Effect on Assessment of Alternative Intersection Treatments. In Proceedings of the TRB 4th International Conference on Roundabouts, Seattle, DC, USA, 16–18 April 2014.
- Kota, S.H.; Zhang, H.; Chen, G.; Schade, G.W.; Ying, Q. Evaluation of on-road vehicle CO and NOx national emission inventories using an urban-scale source-oriented air quality model. Atmos. Environ. 2014, 85, 99–108. [Google Scholar] [CrossRef]
- Ntziachristos, L.; Gkatzoflias, D.; Kouridis, C.; Samaras, Z. COPERT: A European road transport emission inventory model. In Information Technologies in Environmental Engineering; Springer: Berlin, Germany, 2009; pp. 491–504. [Google Scholar]
- Toşa, C.; Antov, D.; Köllo, G.; Rõuk, H.; Rannala, M. A methodology for modelling traffic related emissions in suburban areas. Transport 2015, 30. [Google Scholar] [CrossRef]
- AASHTO (“Green Book”). A Policy on Geometric Design of Highways and Streets, 6th ed.; AASHTO (“Green Book”): Washington, DC, USA, 2011. [Google Scholar]
- Hernández-Moreno, A.; Mugica-Álvarez, V. Vehicular fleets forecasting to project pollutant emissions: Mexico city metropolitan area case. Transp. Policy 2013, 27, 189–199. [Google Scholar] [CrossRef]
- Yedla, S.; Shrestha, R.M.; Anandarajah, G. Environmentally sustainable urban transportation—Comparative analysis of local emission mitigation strategies vis-à vis GHG mitigation strategies. Transp. Policy 2005, 12, 245–254. [Google Scholar] [CrossRef]
- Onat, N.C.; Kucukvar, M.; Tatari, O. Towards life cycle sustainability assessment of alternative passenger vehicles. Sustainability 2014, 6, 9305–9342. [Google Scholar] [CrossRef]
- Corriere, F.; Rizzo, G.; Guerrieri, M. Estimation of air pollutant emissions in “turbo” and in conventional roundabouts. Appl. Mech. Mater. 2013, 394, 597–604. [Google Scholar] [CrossRef]
- Directive 2009/33/EC of the European Parliament and of the Council of 23 April 2009 on the promotion of clean and energy-efficient road transport vehicles. Available online: http://ec.europa.eu/transport/themes/urban/studies/doc/2012-monitoring-report.pdf (accessed on 8 May 2015).
- Wang, J.; Chi, L.; Hu, X.; Zhou, H. Urban traffic congestion pricing model with the consideration of carbon emissions cost. Sustainability 2014, 6, 676–691. [Google Scholar] [CrossRef]
© 2015 by the authors; licensee MDPI, Basel, Switzerland. This article is an open access article distributed under the terms and conditions of the Creative Commons Attribution license (http://creativecommons.org/licenses/by/4.0/).
Share and Cite
Guerrieri, M.; Corriere, F.; Rizzo, G.; Casto, B.L.; Scaccianoce, G. Improving the Sustainability of Transportation: Environmental and Functional Benefits of Right Turn By-Pass Lanes at Roundabouts. Sustainability 2015, 7, 5838-5856. https://doi.org/10.3390/su7055838
Guerrieri M, Corriere F, Rizzo G, Casto BL, Scaccianoce G. Improving the Sustainability of Transportation: Environmental and Functional Benefits of Right Turn By-Pass Lanes at Roundabouts. Sustainability. 2015; 7(5):5838-5856. https://doi.org/10.3390/su7055838
Chicago/Turabian StyleGuerrieri, Marco, Ferdinando Corriere, Gianfranco Rizzo, Barbara Lo Casto, and Gianluca Scaccianoce. 2015. "Improving the Sustainability of Transportation: Environmental and Functional Benefits of Right Turn By-Pass Lanes at Roundabouts" Sustainability 7, no. 5: 5838-5856. https://doi.org/10.3390/su7055838
APA StyleGuerrieri, M., Corriere, F., Rizzo, G., Casto, B. L., & Scaccianoce, G. (2015). Improving the Sustainability of Transportation: Environmental and Functional Benefits of Right Turn By-Pass Lanes at Roundabouts. Sustainability, 7(5), 5838-5856. https://doi.org/10.3390/su7055838

