Abstract
We empirically study personal norms of sustainability, conceptualized according to the norm-activation theory and operationalized under the notion of strong ecological-economic sustainability. Our case study is commercial cattle farming in semi-arid rangelands of Namibia, a system that is subject to extensive degradation. Using survey data, we characterize farmers’ personal ecosystems and income norms, study their determinants, and analyze their impact on actual management based on the dual-preferences model. We find that ecosystem and income norms are heterogeneous across farmers and independent from each other. Furthermore, farmers with better environmental and financial farm conditions have more demanding norms. We find no evidence for a significant impact of norms on actual management, which provides an explanation for the observed degradation of the system.
1. Introduction
Sustainability is often viewed as a moral obligation to “pass on a world of undiminished life opportunities to members of future generations” ([] (p. 656); [,]). As such, sustainability is a norm, which may be an independent determinant of individual behavior besides self-regarding preferences [,,,]. More specifically, it is a type of norm that determines behavior affecting the well-being of others through changes in the environment [,,]. A crucial aspect of norms is that people are not bound to comply. People might not be aware of adverse interpersonal consequences of their behavior or might not believe themselves capable of averting these consequences [,,], and then act as if these norms were non-existent. In this article, we empirically characterize norms of sustainability for commercial cattle farmers in semi-arid rangelands of Namibia, study their determinants, and analyze their impact on actual management behavior.
Previous studies of norms that determine environmentally significant behavior, such as recycling [,], waste reduction [] or renewable energy consumption [] often equate these norms with norms of sustainability. However, it is questionable whether this equation is valid, as important aspects of sustainability are not explicitly clarified, such as what specific notion of sustainability is employed or whether the behavior at hand targets indeed sustainability. Furthermore, the economic actors typically studied are consumers, which may not be the ideal objects for studying norms of sustainability. Often, consumer behavior is only indirectly linked to the environment, while the direct impact on the environment is exerted by production, in particular in agriculture.
In this article, we conceptualize, operationalize, and analyze norms of sustainability. We conceptualize norms according to the norm-activation theory [,]. Accordingly, sustainability may be viewed as an abstract social norm from which individuals derive concrete personal norms of sustainability, which are heterogeneous across individuals. These personal norms guide behavior in specific situations, but only if they are activated, that is only if individuals are aware of conditions that entail adverse consequences for others and feel capable for averting these consequences. We operationalize personal norms under the notion of strong ecological-economic sustainability [,,,], according to which relevant system components should be sustained over time. For farming systems, such components are the ecosystem condition and the income from ecosystem use [,]. Accordingly, we examine two specific personal norms of sustainability which are (i) the level above which the ecosystem condition should be sustained (“personal ecosystem norm”); and (ii) the level above which income should be sustained (“personal income norm”). We analytically relate these personal norms to behavior using an adapted dual-preferences model [,,,]. In this model, personal norms constitute an independent determinant of behavior besides self-regarding preferences and are traded-off against self-regarding preferences by a non-negative weighting factor. This factor may be interpreted as the activation of a personal norm: if the factor is positive (zero) then the norm is activated (not activated) and impacts (does not impact) on behavior.
We chose commercial cattle farming in semi-arid rangelands of Namibia as a case study since it is a prime example of the (un)sustainable management of an ecological-economic system. In previous studies, we have identified the system properties and management strategies that are crucial for sustainability [,,,]. Namibian rangelands suffer from degradation in the form of bush encroachment where the historical coexistence of grass and bush vegetation is replaced by a dense bush vegetation []. Bush encroachment does not only impair the ecosystem’s condition but also severely reduces farmer’s income, as it limits cattle production. One reason for this degradation appears to be inadequate farm management [], and it is thus farmers’ behavior that strongly determines the system’s sustainability.
Against this background, we study the following questions: (1) What personal ecosystem and income norms do commercial cattle farmers in Namibia hold? (2) What determines these norms? (3) Do these norms impact on actual management? We approach these questions empirically based on a large-scale representative mail survey of 2119 farmers. We conducted the survey in August 2008, eliciting personal ecosystem and income norms, management employed by farmers as well as socio-demographic and environmental characteristics [,].
We find firstly that farmers have personal ecosystem norms and personal income norms that are heterogeneous across individuals and that these personal norms are (linearly) independent from each other. Secondly, farmers who are better off with respect to the environmental and financial condition of their farm business also have more demanding personal norms. Thirdly and most importantly, we find no evidence for a significant impact of personal norms on actual management. This suggests that the personal norms of sustainability are not activated. We hypothesize that they are not activated because farmers do not feel capable of averting adverse long-term management consequences and thus do not pursue sustainable management.
This article is organized as follows. Section 2 details the conceptual background of our analysis. Section 3 describes the methods used to collect and analyze our data, and results are presented in Section 4. Section 5 discusses and concludes. Finally, this article contains several appendices. Appendix A presents a detailed description of the dual-preferences model, Appendix B mathematical proofs for the regression analysis, and Appendix C various robustness checks that we have conducted.
2. Conceptual Background
In this section, we start with detailing the norm-activation theory, proceed with explaining the notion of sustainability that we employ, and then describe the system we study. We close with introducing and adjusting the dual-preferences model, which we will subsequently employ in our data analysis.
2.1. Norm-Activation Theory
Several approaches have been developed to conceptualize norms. This literature may broadly be divided into two strands. The first strand views norms as “a standard, customary, or ideal form of behavior to which individuals in a social group try to conform” [], and thus views norms to be homogenous across individuals within a population [,,]. Such norms cover a wide range of issues like modes of greetings, use of cutlery or appropriate responses to insults [].
The second strand emphasizes the individual nature of norms, which are viewed to be heterogeneous across individuals [,]. We follow this second strand, and more specifically, the norm-activation theory [,]. This theory was originally developed to explain social behavior, where “other people are directly affected by the consequences of one’s behavioral choices” [] (p. 2508). It has been extended to environmentally relevant behavior that indirectly affects others through “[changing] the availability of materials or energy from the environment or [altering] the structure and dynamics of ecosystems or the biosphere itself” [] (p. 408). As such, it has frequently been employed in the environmental psychological literature, e.g., with regard to recycling [], environmentally friendly transportation [,], littering [] and a range of other issues (see literature review in [,]). It has also been applied in the economic literature, likewise with respect to recycling [,].
The norm-activation theory distinguishes norms at two levels: while social norms are abstract and only vague guides to behavior, and are shared by all individuals of a group, personal norms are defined as “expectations that people hold for themselves” []. Personal norms derive from social norms and are concrete determinants of personal behavior, and are heterogeneous across individuals. They are learned in and are modified through social interaction. Furthermore, they are tied to a person’s self-image and are thus enforced through mechanisms such as guilt or pride []. A crucial aspect of the norm-activation theory is that personal norms must be activated in order to affect behavior. Activation has occurred if individuals are firstly aware of conditions that entail adverse consequences for others and if they secondly feel capable of averting these adverse consequences [,,]. For example, in order for a personal norm of littering to be activated, individuals must firstly be conscious that others are uncomfortable or even endangered (e.g., in case of toxic waste) in littered areas, and must secondly feel capable of avoiding littering (e.g., by using available waste containers). Activation of norms is at the heart of many social movements and may, for example, be achieved by highlighting adverse consequences that arise from one’s behavior [,].
2.2. Sustainability
Sustainability as a moral obligation to confer undiminished life opportunities to future generations [,,] is a norm that prescribes a form of environmentally relevant behavior, as this behavior affects the well-being of future generations through changes in the environment. We conceptualize sustainability as a social norm in the sense of the norm-activation theory, as it is rather vague on how to act in specific situations. Based on the social norm of sustainability, individuals may then hold concrete expectations for themselves on how to act sustainably in a specific situation. For example, a farmer may have an expectation of how he should manage a rangeland so that future generations may still be able to make a living of it. We conceptualize this as a personal norm of sustainability.
We operationalize personal norms of sustainability by referring to the notion of strong ecological-economic sustainability. This notion is based on the concept of an ecological-economic system as consisting of a number of (capital) stocks (e.g., ecosystem, livestock herd or farm household) which are connected by (service) flows (e.g., livestock feed or income from livestock farming) flowing from one stock to another [,]. Strong sustainability means that relevant stocks and services should be sustained above thresholds specified separately for each stock and service [,,], regardless of whether these stocks and services are directly connected, and thus influence each other, or not. A given behavior is then sustainable if it ensures this sustaining of stocks and services.
What stocks and services to sustain, and how many of them, may be considered as normative at the individual level. Each individual thus holds separate personal norms for each relevant stock and service, specifying the threshold levels above which the respective stock or service should be sustained. As mentioned above, these personal norms may be heterogeneous across the population, and different individuals may ascribe different threshold levels for a given stock or service.
For livestock farming systems, a relevant stock is the ecosystem condition of the rangeland, and a relevant service is the income from livestock farming [,]. The corresponding personal norms of a farmer are the personal ecosystem norm and the personal income norm. They specify the threshold above which ecosystem condition and income should be sustained, respectively. The farmer’s management behavior is sustainable if it ensures that ecosystem condition and income are sustained above the respective thresholds specified by his personal norms.
Finally, we note that since farmers in our case study own their farms and typically pass it on to their children [] (p. 103), we will not consider sustainability towards all members of the future generation in general, but rather dynastic sustainability that is specifically concerned with one’s own children, grandchildren, and so forth.
2.3. System Description
Commercial cattle farming in Namibia is a rain-fed farming system where cattle feed on pasture [,]. Rangeland is privately owned, and approximately 2250 commercial cattle farmers keep a total of 840,000 cattle on a farm area of 14.5 million ha ([] (p. 42); []; [] (p. 11)). This rangeland area is located in the semi-arid regions of central-north Namibia, where annual precipitation averages 374 mm and where the majority of rainfall occurs in a rainy season from November to April [] (p. 44). Rainfall conditions vary considerably even at small scales [,], and in consequence even neighboring farmers experience different environmental impacts on their production. The dominant biome is tree-and-scrub savannah [], which is characterized by a coexistence of grass and bush vegetation. However, large parts of the ecosystem are degraded by bush encroachment where the grass-bush coexistence is replaced by dense bush vegetation. As a consequence, the system’s capacity to support grazing cattle (“grazing capacity”) with 0.08 Large Stock Units per hectare (LSU/ha) is much lower nowadays than the historic 0.1 LSU/ha of the 1960s [,]. This in turn impacts on farmers’ net income from cattle farming which is nowadays often too low to meet living expenses [,]. As a consequence, many farmers have income from additional sources such as tourism or off-farm businesses [] (p. 136).
To better understand how degradation of the ecosystem condition and reduction of income arise and are related to management and personal norms, consider the system in terms of stocks and services. The foundation is the ecosystem condition, which, in this system, is essentially the level of bush encroachment and can be measured as the grazing capacity in the unit LSU/ha []. Accordingly, a low grazing capacity denotes extensive bush encroachment and thus a bad ecosystem condition. Ecosystem condition determines how much grass is produced during the rainy season. This grass serves as feed for cattle throughout the year and, in case of a subsequent drought year, the year thereafter. Cattle are sold either as live weaners (at the age of 9 months) or as oxen (at the age of 18–24 months) and thus ultimately provide net income to farmers []. Net income from cattle farming is defined as gross revenues from cattle farming minus operating expenses, taxes, and interest on loans, and is measured in the unit Namibian Dollar (N$) [].
A farmer impacts on the system—and ultimately on its sustainability [,,]—by his management behavior, specifically by the farming management strategies that he employs. Firstly, he may adjust rangeland size (“rangeland size increase”) or the spatial distribution of rangeland area (“spatial diversification”). Secondly, he may manage cattle feed. He may respond to the quantity of grass produced in the rainy season by resting a certain proportion of his rangeland to provide feed throughout the year (“resting rangeland”). He may also compensate for brief shortages in feed of nutrients by providing cattle with purchased hay and licks (“additional feed”). Finally, he may directly manage the cattle herd. He may choose cattle breeds adapted to local environmental conditions with respect to their ecological requirements and productivity (“breed adaptation”). He may also adjust his cattle production systems, such as weaner or ox production, which differ in their requirements for environmental condition and in profits (“production system adaptation”). For each of these strategies, a farmer chooses the extent to which he employs the respective management strategy. In our survey, we measure the self-reported extent for all these management strategies using Likert-Scales.
Management in turn depends on the farmer’s behavioral determinants. Personal norms of sustainability are—besides self-regarding preferences—the relevant determinant in this context, specifically his personal ecosystem and income norms that specify the threshold above which grazing capacity and net income from cattle farming should be sustained. Those farmers who comply with the norms will apply management strategies in such a way as to maintain the grazing capacity and net income above the thresholds specified by their personal norm.
2.4. Dual-Preferences Model
Our analytical approach to explaining behavior integrates personal norms into a behavioral model while maintaining individual optimization, which is a crucial aspect for an economic analysis of the impact of norms on behavior []. Specifically, we relate personal norms to behavior by adapting the dual-preferences model [,,]. In this section, we will present a brief overview of this model and of our adjustments in order to fit the model to our case study of commercial cattle farming in Namibia. Appendix A presents a detailed description including mathematical proofs.
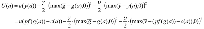
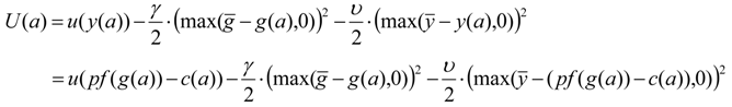
In its original form, the dual-preferences model is specified as

Utility depends on self-regarding preferences u(.) over private income y, which results from some action a. Utility also depends on self-image that arises from compliance with a norm g, i.e., on whether or not some relevant behavioral consequence g(.) of action a deviates from the norm g. More specifically, if the individual does not comply with the norm, i.e., if g ≠ g(.), overall utility is reduced. This is the case if and only if the individual actually wishes to comply with the norm, i.e., if γ ≥ 0 does not equal zero. The model assumes that self-regarding preferences and the norm are independent from each other: a change in g does not change the utility level derived from income according to self-regarding preferences u(.).
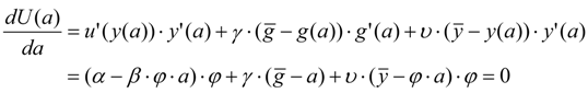
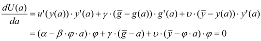
We specify and adjust this model in four ways: firstly, we specify that action a reflects the extent of farm management, i.e., to what extent the farmer pursues each of the six management strategies introduced in Section 2.3 []. Secondly, we include not one but two behavioral consequences, namely the actual ecosystem condition g(.) and the actual income y(.). The model then captures how actual ecosystem condition and actual income depend on farm management a. Thirdly, and correspondingly to the second adjustment, we include not one but two norms, namely the personal ecosystem norm that specifies how good the ecosystem condition should be; and the personal income norm that specifies how high income should be. The model thus captures whether actual ecosystem condition and actual income (as a result of management) comply with the ecosystem norm and the income norm, respectively. In this context, we also specify that the farmer be only penalized (i.e., has his overall utility reduced) for not complying with his personal norms if actual ecosystem condition and actual income are below the respective personal norms []. And fourthly, we include not one but two factors that specify whether the farmer actually wishes to comply with his personal norms: a factor γ ≥ 0 that denotes whether the farmer wishes to comply with the ecosystem norm, and a factor υ ≥ 0 that denotes whether the farmer wishes to comply with the income norm.
This last adjustment is of crucial importance, as we will later estimate whether the optimal extent a* of farm management depends in any way on the personal norms that a farmer holds, i.e., whether γ or υ are different from zero. In order to derive an equation that we can estimate empirically, we assume specific functional forms (see Appendix A for details). We finally arrive at
with constants ψ1, ψ2, ψ3 > 0.
a* = ψ1 + γ·ψ2·g + υ·ψ3 · y
Hence, the optimal extent a* of management depends in principle on the personal ecosystem norm g and the personal income norm y. Thus, a change in one of the personal norms will lead to a change in management. However, this is true if and only if a farmer is concerned with the norms, that is if γ or υ are different from zero. Conversely, if a farmer is not concerned with either or both of the personal norms, that is, if γ or υ equal zero, then these norms will not affect management. This latter case may be interpreted in line with the norm-activation model: the farmer has distinct personal norms, but the norms are not activated.
3. Data and Methods
3.1. Description of Data Collection
In August 2008, we elicited personal norms of sustainability, management strategies and socio-demographic characteristics of commercial cattle farmers in Namibia through a mail-in questionnaire. A detailed description of the survey can be found in [,].
We sent out questionnaires to a group of 2119 farmers, which consisted of members of the Namibia Agricultural Union (NAU), the main interest group of commercial farmers, and of farmers that deliver cattle to MeatCo, the largest slaughterhouse in Namibia. This group essentially comprises the whole population of commercial cattle farmers in Namibia [,]. We mailed out a first batch of questionnaires in the period of 19–21 August 2008, and a second batch as a follow up on 15 September 2008. Three hundred and ninety-eight questionnaires were returned, equaling a return rate of 19% [].
In addition to the quantitative data collection, we conducted qualitative interviews with farmers, local scientists, and decision makers in the agricultural, political, and financial sector during four research visits in March/April 2007, October 2007, July/August 2008 and February/March 2010.
3.2. Elicitation of Personal Norms
To elicit farmers’ personal ecosystem norms and personal income norms, we used an adaptation of the format proposed in [,] as an elicitation format. More specifically, we elicited the personal ecosystem norm as the threshold above which grazing capacity should be sustained [], using the question:
“Sustaining the natural environment by sustaining the grazing capacity of your rangeland: How high should the grazing capacity of your rangeland, expressed in hectares per Large Stock Unit, be during your own and future generations?”
Likewise, we elicited the personal income norm as the threshold above which net annual income from cattle farming in the unit N$ should be sustained, using the question:
“Sustaining the livelihood of farmers by sustaining income: How much annual net income (gross revenues from farming minus operating expenses, taxes and interest on loans), expressed in today’s N$, should you yourself and future generations at least derive from cattle farming?”
Finally, we note that an implicit assumption holds for personal norms as elicited with our elicitation format, namely that they are independent of the respective self-regarding preferences. While we did not elicit self-regarding preferences for ecosystem condition and for income and, therefore, cannot compare them to the personal ecosystem and income norm, respectively, we can show that other personal norms elicited in the survey with the same format—namely norms for risk and time—are indeed independent of the respective self-regarding preferences [].
3.3. Management Strategies, Ecosystem Condition, Income, and Further Characteristics
For each management strategy—rangeland size increase, spatial diversification, resting rangeland, additional feed, breed adaptation, and production system adaptation (see Section 2.3)—we asked farmers to self-report the extent to which they applied this strategy on a six-item Likert-scale ranging from “not at all important” to “very important”. We collected information on the actual ecosystem condition as grazing capacity in the unit ha/LSU (which we inverted to LSU/ha for our subsequent analysis). We collected information on net annual income from cattle farming through two separate questions. The first question asked for total net annual income as interval data where farmers indicated which of the following income intervals they belonged to: [N$ 0, N$ 50,000], [N$ 50,001, N$ 150,000], [N$ 150,001, N$ 250,000], [N$ 250,001, N$ 350,000], [N$ 350,001, ∞]. We converted this data to discrete point data by using the interval mid-points of the closed intervals and the value N$ 400,000 for the open interval. The second question asked for the fraction of total net annual income that was derived from cattle farming. Then, by multiplying total net annual income by the fraction that was derived from cattle farming, we obtained a total net annual income from cattle farming (we also used alternative definitions of income in robustness checks, see Appendix C).
The extent of management that farmers employ may depend on their general capacity for management. We control for this capacity by using education (high school graduation at most vs. some sort of apprenticeship/college/university education) as a proxy. We also control for the general interest in sustainability by using as a proxy the number of generations that farmers think that cattle farming should be sustained.
We also collected information on a variety of socio-demographic characteristics: gender, age, farm experience (i.e., number of years spent farming), ethnicity (Afrikaans, German or other ethnicity), living off-farm (as a proxy for part-time farming vs. full-time farming), area of rangeland, and cattle quantity. Finally, we elicited as additional environmental characteristics the regional location of the farm in Namibia (Erongo, Hardap/Karas, Khomas, Kunene, Omaheke, Oshikoto or Otjozondjupa) to cover a variety of environmental characteristics that are not captured in the grazing capacity. A list of all variables along with their summary statistics is given in Table 1.

Table 1.
Summary statistics, N = 276 [].
Variable | Definition | Mean | Std. dev. | Min | Max |
---|---|---|---|---|---|
Personal norms | |||||
Ecosystem norm | Minimum threshold above which grazing capacity should be sustained, in Large Stock Unit per hectare | 0.08 | 0.03 | 0.01 | 0.33 |
Income norm | Minimum threshold above which annual net income from cattle farming should be sustained, in N$ | 271,550 | 202,595 | 4000 | 2,000,000 |
Socio-demographic characteristics | |||||
Income | Annual net income from cattle farming; calculated as mid-points of six intervals of total annual income, corrected for fraction derived from cattle farming, in N$ | 111,911 | 95,313 | 0 | 360,000 |
Female | Female | 0.04 | 0.19 | 0.00 | 1.00 |
Age | Age in years | 54.0 | 11.5 | 27.0 | 90.0 |
Farm experience | Experience in farming in years | 24.5 | 12.8 | 1.5 | 70.0 |
Afrikaans | Of Afrikaans ethnicity | 0.52 | 0.50 | 0.00 | 1.00 |
German | Of German ethnicity | 0.43 | 0.50 | 0.00 | 1.00 |
Other ethnicity | Of English or indigenous ethnicity | 0.04 | 0.20 | 0.00 | 1.00 |
Low education | No apprenticeship, college or university education | 0.36 | 0.48 | 0.00 | 1.00 |
Living off farm | Farmer lives off farm during week, proxy for part-time farming | 0.22 | 0.41 | 0.00 | 1.00 |
Rangeland area | Area of rangeland in hectares | 8158 | 5385 | 0 | 44,244 |
Cattle quantity | Number of cattle in April 2008 | 473 | 392 | 0 | 3200 |
Sustainability interest | Number of generations over which cattle farming should be sustainable | 3.40 | 3.21 | 0.00 | 10.00 |
Environmental characteristics | |||||
Ecosystem condition | Ecosystem condition measured as Large Stock Unit per hectare | 0.08 | 0.03 | 0.01 | 0.33 |
Erongo | Farm located in Erongo | 0.05 | 0.23 | 0.00 | 1.00 |
Hardap/Karas | Farm located in Hardap or Karas | 0.04 | 0.20 | 0.00 | 1.00 |
Khomas | Farm located in Khomas | 0.20 | 0.40 | 0.00 | 1.00 |
Kunene | Farm located in Kunene | 0.10 | 0.30 | 0.00 | 1.00 |
Omaheke | Farm located in Omaheke | 0.23 | 0.42 | 0.00 | 1.00 |
Oshikoto | Farm located in Oshikoto | 0.02 | 0.14 | 0.00 | 1.00 |
Otjozondjupa | Farm located in Otjozondjupa | 0.36 | 0.48 | 0.00 | 1.00 |
Management strategies [1 = not at all important, 6 = very important] | |||||
Rangeland size increase | Purchase/lease of extra rangeland for scale effects | 3.3 | 1.7 | 1.0 | 6.0 |
Spatial diversification | Purchase/lease of extra rangeland in areas with different rainfall patterns | 3.2 | 1.7 | 1.0 | 6.0 |
Resting rangeland | Resting part of rangeland in good rainy seasons as buffer for bad seasons | 4.6 | 1.5 | 1.0 | 6.0 |
Additional feed | Purchase of supplementary feed | 4.6 | 1.6 | 1.0 | 6.0 |
Breed adaptation | Choice of breed adapted to high variability in grass production | 4.5 | 1.4 | 1.0 | 6.0 |
Production system adaptation | Choice of cattle production system | 4.4 | 1.4 | 1.0 | 6.0 |
3.4. Statistical Specification
We analyze three questions: (1) What personal ecosystem and income norms do commercial cattle farmers in Namibia hold? (2) What determines these norms? (3) Do these norms impact on actual management?
We approach Question 1 (characterization of personal norms) through descriptive statistics and through correlating both personal norms in a Pearson correlation. We approach Question 2 (determinants of personal norms) by regression analysis where we model personal norm as being dependent on actual income, actual ecosystem condition, and on the other socio-demographic and environmental characteristics. Thus, for each of the two elicited personal norms, we estimate
where Nj is one of the j = 1, 2 elicited personal norms (i.e., the personal ecosystem or income norm), Z is a vector of socio-demographic and environmental characteristics, εi are unobserved factors, and the index i denotes the i-th observation. Even though each personal norm may also be a determinant of the other, we do not include the respective other norm in the equation since we then would incur an endogeneity problem that we cannot adequately address due to the lack of suitable instrumental variables. However, we perform robustness checks in which we include the respective other norm and show that its inclusion does not change our results (see Equation 3a in Appendix C). Thus, we conclude that we do not incur an omitted variables bias by not including the respective other norm in Equation (3).
Nj = λ0 + λzZ + εi
We analyze Question 3 (impact of personal norms on management) by modeling each of the six management strategies as a function of the personal ecosystem and income norm while controlling for socio-demographic and environmental characteristics. For each strategy we estimate the equation
with
where Sk is the self-reported extent of management strategy k = 1, …, 6, g is the personal ecosystem norm, g is the actual ecosystem condition, is the personal income norm, y is the actual income, X is a vector of socio-demographic and environmental characteristics, χi are unobserved factors, and the index i denotes the i-th observation. Similar to Equation (3), the different management strategies may determine each other but we do not include the respective other strategies in Equation (4) since we then incur an endogeneity problem that we likewise cannot adequately address due to the lack of suitable instrumental variables. However, we perform robustness checks in which we include the respective other strategies and show that their inclusion does not change our results (Appendix C, Equation 4b). Thus, we conclude that we do not incur an omitted variables bias by not including the respective other strategies in Equation (4).
Ski = v0 + vgG(gi) + vyY(yi) + vxXi + χi

With the term G(.) and Y(.) we achieve a piecewise regression over the personal ecosystem norm g and income norm y, respectively, which is a reduced form of the standard piecewise regression function (for proof, see Appendix B). For farmers who do not comply with the ecosystem (income) norm, i.e., for whom the actual ecosystem condition (income) is lower than the ecosystem (income) norm, G(.) (Y(.)) is positive. Conversely, for farmers who comply with the ecosystem (income) norm, i.e., for whom actual ecosystem condition (income) is at least as high as the ecosystem (income) norm, G(.) (Y(.)) is zero. This corresponds to our specification of the behavioral model in Section 2.4, namely that personal norms only impact on utility if the actual values are below the respective norms. Finally, rescaling g and y by subtracting the actual values g and y ensures that the pieces are joined together at the respective breakpoints.
We are especially interested in the coefficients vg and vy that describe the effect of a change in the ecosystem and income norms on the extent of management for a given strategy (conditional on the actual ecosystem condition and income being lower than the respective norms). In order to interpret these coefficients we draw on the result for optimal management a* in the dual-preferences model that we have developed in Equation (2) in Section 2.4. Specifically, we see that non-zero values for these coefficients imply that the weighting factors γ and υ in the dual-preferences model are non-zero, i.e., that farmers are actually concerned with compliance to their personal norms. Conversely, if one of the coefficients is zero, this implies that γ or υ equals zero, i.e., that the corresponding norm is not activated. In that latter case, farmers may have distinct personal norms, but they do not factor into their management behavior.
As a regression model to estimate Equation (4), we chose ordered probit regressions due to the Likert-scale nature of the dependent variables (with only six possible values). In addition, we perform several robustness checks concerning potential omitted variable biases as discussed above, different definitions of income, stability of results if different regression models are applied, and outliers. These checks are presented in Appendix C.
4. Results
In this section, we start with the analysis of Question 1 (characterization of personal norms), followed by Question 2 (determinants of personal norms) and finally by Question 3 (impact of personal norms on management). Out of the 398 farmers who returned a questionnaire, only 276 were retained in the analyses since the others had missing entries in some of the analyzed characteristics.
4.1. Characterization of Personal Norms
For the personal ecosystem norm we find that grazing condition should on average be sustained above 0.08 LSU/ha with a standard deviation of 0.03 LSU/ha (Figure 1a, Table 1). For the personal income norm farmers indicated on average that annual net income from cattle farming should be sustained above N$ 271,550 with a standard deviation of N$ 202,595 (Figure 1b, Table 1). Thus, we find personal norms of sustainability that are heterogeneous across individuals with both norms unimodally distributed and clustered around intermediate values. Heterogeneity of personal norms is a prediction of the norm-activation theory, as this theory postulates that individuals differ in the concrete specification of personal norms. Indeed, such heterogeneity has previously been demonstrated for a variety of personal norms such as those pertaining to littering [], recycling [,] and environmentally friendly transportation [,].

Figure 1.
(a) Personal ecosystem norm, measured in Large Stock Units per hectare [LSU/ha], N = 276; (b) Personal income norm, measured in 1000 Namibian Dollar [N$1000], N = 276.
When analyzing both personal norms jointly with a Pearson correlation, we find that they are uncorrelated (r = 0.03, p = 0.62, N = 276). This (linear) independency supports our assumption in the dual preferences model, i.e., that the personal ecosystem norm and the personal income norm are independent from each other. Only few previous studies have analyzed the interrelation between personal norms. In contrast to our results they find that different norms are positively correlated [,]. John Thørgersen examined the underlying reason for this correlation and hypothesized that the “correlation may indeed be caused by them (i.e., personal norms) having shared (mental) antecedents” [] (p. 67). Such antecedents may be a person’s values, which Thørgersen could indeed demonstrate, but a person’s values explain only a small share of variability in personal norms. This suggests that the determination of norms through mental antecedents is much more complex. We are therefore not surprised that the specific personal norms we elicited are not correlated. However, our survey was not designed to examine in depth the relationship between different norms and their antecedents, and we thus cannot infer the reasons of the personal ecosystem and income norm being uncorrelated.
4.2. Determinants of Personal Norms
Both the personal ecosystem norm and the personal income norm are significantly positively related to actual ecosystem condition and actual income, respectively (Table 2): for each unit increase in actual ecosystem condition the ecosystem norm increases by 0.57 LSU/ha, and for each unit increase in actual income the income norm increases by N$ 0.71.
These results are complemented by results on other determinants of the personal norms. On the one hand, compared to farmers in the reference region Otjozondjupa—which has a mix of favorable environmental conditions such as high rainfall and low risk of bush fire, cattle diseases, and predation []—farmers in most other regions (with less favorable environmental conditions) have ecosystem norms that are 0.0089 LSU/ha to 0.021 LSU/ha lower. On the other hand, farmers who have more rangeland, a proxy for wealth, have a higher income norm as denoted by the significant and positive coefficient of 7.0 []. Altogether, these results suggest that farmers who are better off with respect to the environmental or financial condition of their farm business also have a more demanding personal ecosystem or income norm, respectively.

Table 2.
Determinants of personal norms, ordinary least squares (OLS) regression.
Dependent variables | Ecosystem norm | Income norm |
---|---|---|
Ecosystem | 5.7 × 10−1 *** | 4.8 × 104 |
condition | (5.35 × 10−2) | (3.93 × 105) |
Income | 1.6 × 10−8 | 7.1 × 10−1 *** |
(1.87 × 10−8) | (1.37 × 10−1) | |
Female | −9.7 × 10−3 | −2.1 × 104 |
(8.43 × 10−3) | (6.18 × 104) | |
Age | 2.1 × 10−4 | 1.3 × 103 |
(1.98 × 10−4) | (1.45 × 103) | |
Farm experience | −2.8 × 10−4 | −2.7 × 103 ** |
(1.79 × 10−4) | (1.31 × 103) | |
Afrikaans | 4.3 × 10−3 | −1.2 × 104 |
(7.77 × 10−3) | (5.70 × 104) | |
German | 6.8 × 10−4 | −5.3 × 104 |
(7.84 × 10−3) | (5.74 × 104) | |
Low education | −1.6 × 10−4 | −7.7 × 102 |
(3.49 × 10−3) | (2.56 × 104) | |
Living off farm | 9.5 × 10−4 | −6.9 × 103 |
(4.07 × 10−3) | (2.98 × 104) | |
Rangeland area | −1.1 × 10−6 ** | 7.0 ** |
(4.68 × 10−7) | (3.43) | |
Cattle quantity | 8.1 × 10−6 | −18.0 |
(6.51 × 10−6) | (47.70) | |
Sustainability | −7.0 × 10−6 | −1.2 × 103 |
interest | (4.95 × 10−4) | (3.63 × 103) |
Erongo | −1.9 × 10−2 *** | 1.4 × 104 |
(7.47 × 10−3) | (5.48 × 104) | |
Hardap/Karas | −2.1 × 10−2 ** | 1.5 × 105 ** |
(8.53 × 10−3) | (6.26 × 104) | |
Khomas | −8.9 × 10−3 ** | −1.5 × 104 |
(4.44 × 10−3) | (3.25 × 104) | |
Kunene | −7.9 × 10−3 | −7.7 × 104 * |
(5.66 × 10−3) | (4.15 × 104) | |
Omaheke | −1.2 × 10−2 *** | 2.3 × 103 |
(4.23 × 10−3) | (3.10 × 104) | |
Oshikoto | −1.5 × 10−2 | −6.6 × 104 |
(1.09 × 10−2) | (8.00 × 104) | |
Constant | 3.8 × 10-2 *** | 1.8 × 105 * |
(1.28 × 10−2) | (9.35 × 104) | |
Adjusted R2 | 0.404 | 0.180 |
F-statistic | 11.145 | 4.287 |
Model significance | 0.000 | 0.000 |
Observations | 270 | 270 |
Notes: Standard errors in brackets; Significance levels are denoted as *** p < 0.01, ** p < 0.05, * p < 0.1
Among the remaining socio-demographic or environmental characteristics we find that only farm experience is a significant determinant of personal norms: for each additional year of experience, the income norm decreases by N$ 2700.
4.3. Impact of Personal Norms on Management
For none of the six management strategies we find a significant interaction, at the 10% level, between the personal norms and the extent to which the respective strategy is applied. This result holds regardless of whether covariates are excluded (Table 3) or included (Table 4). Thus, we find no evidence that the factors weighting norms versus self-regarding preferences in the dual-preferences model are different from zero. This means that there is no evidence that personal norms impact on actual behavior. These results agree with previous findings that even distinct norms may have little or no impact on behavior, as for example demonstrated for helping behavior [] or car use [,].

Table 3.
Impact of personal norms on management, no covariates, ordered probit regression.
Dependent variables | Rangeland size increase | Spatial diversification | Resting rangeland | Additional feed | Breed adaptation | Production system adaptation |
---|---|---|---|---|---|---|
Ecosystem norm | −1.525 | 3.083 | −0.840 | 1.185 | 1.068 | −0.401 |
(3.279) | (3.321) | (3.444) | (3.445) | (3.345) | (3.272) | |
Income norm | 3.8 × 10−7 | 8.7 × 10−8 | 3.8 × 10−8 | −1.5 × 10−8 | −9.6 × 10−8 | 1.9 × 10−7 |
(3.4 × 10−7) | (3.4 × 10−7) | (3.7 × 10−7) | (3.5 × 10−7) | (3.6 × 10−7) | (3.5 × 10−7) | |
Cutoff 1 | −0.795 *** | −0.709 *** | −1.665 *** | −1.522 *** | −1.840 *** | −1.534 *** |
(0.107) | (0.106) | (0.148) | (0.135) | (0.161) | (0.136) | |
Cutoff 2 | −0.262 *** | −0.171 * | −1.079 *** | −1.155 *** | −1.207 *** | −1.136 *** |
(0.101) | (0.101) | (0.117) | (0.117) | (0.120) | (0.118) | |
Cutoff 3 | 0.059 | 0.194 * | −0.730 *** | −0.781 *** | −0.809 *** | −0.762 *** |
(0.100) | (0.101) | (0.108) | (0.108) | (0.109) | (0.108) | |
Cutoff 4 | 0.708 *** | 0.668 *** | −0.323 *** | −0.322 *** | −0.231 ** | −0.056 |
(0.105) | (0.105) | (0.103) | (0.103) | (0.101) | (0.100) | |
Cutoff 5 | 1.254 *** | 1.307 *** | 0.242 ** | 0.187 * | 0.640 *** | 0.708 *** |
(0.120) | (0.122) | (0.103) | (0.102) | (0.105) | (0.105) | |
Log-likelihood | −474 | −476 | −422 | −415 | −427 | −435 |
Observations | 270 | 270 | 270 | 270 | 270 | 270 |
Notes: Standard errors in brackets; Significance levels are denoted as *** p < 0.01, ** p < 0.05, * p < 0.1.
Among the socio-demographic characteristics, we find that personal characteristics of the farmer have some influence on management, specifically gender on the strategies Resting rangeland (coefficient: 0.920) and Breed adaptation (1.075), farm experience on Resting rangeland (0.014), ethnicity on Spatial diversification (0.621), Resting rangeland (−0.617) and Breed adaptation (−0.701), education on Production system adaptation (−0.253), and interest in sustainability on Resting rangeland (−0.043). More influence on management originates from farm specific and environmental characteristics. Rangeland area is positively related to Spatial diversification (4.6 × 10−5) whereas cattle quantity is negatively related (–4.6 × 10−4). Thus, presumably, diversification is only viable if the resulting farm parts are large enough, but larger cattle herds hamper diversification possibly due to increasing transport costs between farm parts. Cattle quantity relates negatively to Resting rangeland (–6.0 × 10−4) presumably because larger cattle herds allow for fewer land to be set aside for resting. Rangeland size is positively related to Production system adaptation (6.9 × 10−5) whereas cattle quantity is negatively related (–5.6 × 10−4) for which we do not have a conclusive explanation. Finally, as opposed to the reference regions Otjozondjupa, the strategy Additional feed is applied less in Erongo (coefficient: −8.555) and more in Omaheke (coefficient: 0.820), and the strategy Breed adaptation is applied less in Hardap (coefficient: −0.740), but we again see not obvious explanation for these results.

Table 4.
Impact of personal norms on management, with covariates, ordered probit regressions.
Dependent variables | Rangeland size increase | Spatial diversification | Resting rangeland | Additional feed | Breed adaptation | Production system adaptation |
---|---|---|---|---|---|---|
Ecosystem norm | −2.611 | 2.541 | −1.098 | 1.604 | 1.302 | 1.092 |
(3.443) | (3.491) | (3.667) | (3.665) | (3.528) | (3.452) | |
Income norm | 3.2 × 10−7 | −5.1 × 10−8 | 5.4 × 10−8 | −1.5 × 10−7 | −2.7 × 10−8 | 2.6 × 10−7 |
(3.7 × 10−7) | (3.7 × 10−7) | (3.9 × 10−7) | (3.8 × 10−7) | (3.7 × 10−7) | (3.8 × 10−7) | |
Female | −0.105 | −0.116 | 0.920 ** | 0.290 | 1.075 *** | 0.558 |
(0.348) | (0.348) | (0.430) | (0.389) | (0.410) | (0.370) | |
Age | −0.009 | −0.005 | 0.002 | 0.005 | 0.002 | 0.004 |
(0.008) | (0.008) | (0.009) | (0.009) | (0.008) | (0.008) | |
Farm experience | −0.005 | −0.002 | 0.014 * | −0.006 | 0.003 | 0.010 |
(0.008) | (0.008) | (0.008) | (0.008) | (0.008) | (0.008) | |
Afrikaans | 0.410 | 0.621 * | −0.064 | −0.249 | −0.478 | −0.127 |
(0.330) | (0.335) | (0.350) | (0.354) | (0.345) | (0.333) | |
German | 0.156 | 0.419 | −0.617 * | −0.462 | −0.701 ** | −0.418 |
(0.333) | (0.337) | (0.355) | (0.358) | (0.350) | (0.338) | |
Low education | −0.145 | −0.239 | −0.195 | 0.187 | −0.087 | −0.253 * |
(0.146) | (0.146) | (0.151) | (0.155) | (0.147) | (0.147) | |
Living off farm | 5.3 × 10−2 | 1.6 × 10−1 | 1.9 × 10−1 | 2.7 × 10−1 | 1.2 × 10−1 | −8.2 × 10−3 |
(1.7 × 10−1) | (1.7 × 10−1) | (1.8 × 10−1) | (1.8 × 10−1) | (1.7 × 10−1) | (1.7 × 10−1) | |
Rangeland area | 9.2 × 10−6 | 4.6 × 10−5 ** | 2.4 × 10−5 | 1.8 × 10−5 | 3.0 × 10−5 | 6.9 × 10−5 *** |
(1.9 × 10−5) | (1.9 × 10−5) | (1.9 × 10−5) | (1.9 × 10−5) | (1.9 × 10−5) | (2.1 × 10−5) | |
Cattle quantity | 2.3 × 10−4 | −4.6 × 10−4 * | −6.0 × 10−4 ** | −9.0 × 10−5 | −2.4 × 10−4 | −5.6 × 10−4 ** |
(2.6 × 10−4) | (2.6 × 10−4) | (2.7 × 10−4) | (2.7 × 10−4) | (2.6 × 10−4) | (2.8 × 10−4) | |
Sustainability | −0.014 | −0.029 | −0.043 ** | 0.002 | 0.008 | 0.022 |
interest | (0.021) | (0.021) | (0.022) | (0.022) | (0.021) | (0.021) |
Erongo | 0.407 | −0.051 | 0.144 | −0.855 *** | 0.396 | 0.225 |
(0.309) | (0.311) | (0.334) | (0.319) | (0.331) | (0.317) | |
Hardap/Karas | −0.533 | −0.250 | −0.556 | −0.473 | −0.740 ** | −0.589 |
(0.360) | (0.359) | (0.365) | (0.359) | (0.359) | (0.360) | |
Khomas | −0.025 | 0.059 | −0.059 | −0.239 | −0.049 | 0.226 |
(0.185) | (0.185) | (0.194) | (0.190) | (0.187) | (0.188) | |
Kunene | −0.075 | 0.225 | 0.114 | −0.232 | 0.219 | 0.120 |
(0.237) | (0.239) | (0.255) | (0.244) | (0.243) | (0.238) | |
Omaheke | −0.182 | −0.144 | −0.130 | 0.820 *** | −0.063 | −0.072 |
(0.179) | (0.179) | (0.186) | (0.206) | (0.180) | (0.181) | |
Oshikoto | 0.067 | −0.076 | 0.134 | −0.340 | −0.163 | 0.021 |
(0.452) | (0.446) | (0.464) | (0.453) | (0.443) | (0.443) | |
Cutoff 1 | −1.128 ** | −0.580 | −1.939 *** | −1.666 *** | −2.119 *** | −1.048 ** |
(0.512) | (0.510) | (0.553) | (0.558) | (0.543) | (0.523) | |
Cutoff 2 | −0.570 | −0.015 | −1.290 ** | −1.270 ** | −1.468 *** | −0.637 |
(0.509) | (0.510) | (0.541) | (0.554) | (0.532) | (0.518) | |
Cutoff 3 | −0.232 | 0.370 | −0.910 * | −0.854 | −1.057 ** | −0.242 |
(0.508) | (0.510) | (0.537) | (0.553) | (0.529) | (0.516) | |
Cutoff 4 | 0.449 | 0.872 * | −0.467 | −0.340 | −0.455 | 0.514 |
(0.509) | (0.509) | (0.535) | (0.553) | (0.528) | (0.517) | |
Cutoff 5 | 1.008 ** | 1.530 *** | 0.146 | 0.232 | 0.467 | 1.335 ** |
(0.512) | (0.514) | (0.537) | (0.553) | (0.527) | (0.521) | |
Log-likelihood | −464 | −466 | −403 | −388 | −414 | −420 |
Observations | 270 | 270 | 270 | 270 | 270 | 270 |
Notes: Standard errors in brackets; Significance levels are denoted as *** p < 0.01, ** p < 0.05, * p < 0.1.
5. Discussion and Conclusions
For the case of commercial cattle farming in semi-arid rangelands of Namibia, where farmers as the main economic actors are closely linked to the environment, we have conceptualized personal norms of sustainability according to the norm-activation theory, operationalized them under the notion of strong ecological-economic sustainability, and analyzed them with an adapted dual-preferences model. We find that (1) farmers have personal norms of sustainability in the form of a personal ecosystem norm and a personal income norm that are heterogeneous across individuals and that are (linearly) independent from each other; (2) farmers who are better off with respect to the environmental or financial condition of their farm business hold a more demanding personal ecosystem or income norm, respectively; and (3) there is no evidence that these personal norms have an impact on actual management.
The last result is of particular relevance, as it may explain the observed degradation of rangelands in Namibia. Some discussion is needed, however. Firstly, it is theoretically impossible to demonstrate that an impact of personal norms on management does not exist: We cannot accept the null hypothesis but only fail to reject it. In reality, personal norms may impact on management but a sample bias or an inappropriate choice of econometric methods might preclude the detection of this impact. We have no indication that our sample might be biased in characteristics that are relevant for this study [,], and rerunning our analysis with common alternative regression models as well as with alternative specifications of variables demonstrates that results are robust. Secondly, we cannot estimate management strategies jointly in a simultaneous equation model, even though strategies are significantly interrelated due to the lack of suitable instrumental variables. Instead, we estimate each management strategy separately without including the respective other management strategies. Robustness checks show that we do not incur an unobserved variable bias for the coefficients of primary interest, that is the personal norm coefficients, and we thus conclude that this approach is justified. Thirdly, we formulate the dual-preferences model under certainty and may thus only consider deterministic sustainability. Given that semi-arid rangelands are subject to a variety of risks [], a more realistic approach would be the use of a dual-preferences model that describes behavior under uncertainty where we then would consider sustainability under uncertainty. We also note that sustainability is, in principle, a dynamic concept, whereas the dual-preferences model is a static model. However, we cannot estimate a dynamic model under uncertainty, as we could not collect all the required information with our cross-sectional survey, specifically the individual on-farm distributions of ecosystem condition and income. Fourthly, recent findings by [] suggest that the norms held by an individual’s peer group impact on the individual’s engagement in environmentally relevant behavior. The subjects they study are embedded in a social network of relatives, neighbors, and co-workers. By contrast, cattle farming in Namibia takes place on isolated farms where farmers have few contacts to relatives and neighbors and where differences in social standing between farmers and their farm workers are pronounced. As such, we consider the impact of peer groups as analyzed by [] to be negligible. Fifthly, our results show that socio-demographic and environmental characteristics impact on some management strategies, but we cannot identify any prominent determinant that is strongly related to the majority of strategies. Based on the dual-preferences model we assume that norms and self-regarding preferences are independent determinants of behavior, the latter of which we did not elicit and thus could not include in the analyses. Naturally, it is these self-regarding preferences that we expect to be major determinants of management. And lastly, our analysis is based on a specific theoretical model, i.e., the dual-preferences model. Other explanations that do not employ this specific model—and that do not trade off norms versus self-regarding preferences—are in principle possible. However, we feel that the dual-preferences model is particularly suitable for the context of our study, and the model we use has successfully been employed in similar studies [,,].
Our analysis provides novel insights into why farmers’ management behavior may contribute to the extensive land degradation in Namibia: Farmers have personal norms of sustainability but these do not impact on behavior, presumably because they are not activated. This in turn suggests that activation may promote behavioral changes that may entail sustainability of cattle farming, which is similar to suggestions voiced in the environmental psychology literature for promoting pro-environmental behavior []. To this end, one first has to clarify why norms are not activated. From our qualitative interviews we have anecdotic evidence that farmers are aware that inadequate management degrades the environment and thus has adverse consequences for future generations [,]. However, farmers may feel incapable of averting adverse consequences of their management []. We hypothesize that this is the reason why sustainability norms are not activated. A next question then is how farmers could gain the capability of averting adverse consequences of their management. This information is required to decide whether taking measures for norm activation is justified (farmers may have ethically sound reasons for not feeling capable) and exactly what measures to take. Clearly, this requires more study, and we consider it worthwhile. Further investigating norms of sustainability and their activation is a promising approach to promote sustainability of livestock farming in semi-arid rangelands.
Acknowledgments
We thank Maik Heinemann, Christian Pfeiffer, Daan van Soest, Joachim Wagner, and two anonymous reviewers for helpful comments. We also thank our cooperating organizations Namibia Agricultural Union, Namibian Agricultural Trade Board, and Agra Co-operative Ltd. Finally, we are grateful to the German Federal Ministry of Education and Research (BMBF) for financial support under grant No. 01UN0607. The BMBF was not involved in the study design, the collection, analysis and interpretation of the data, the writing of the report and the decision to submit this article for publication.
Author Contributions
Roland Olbrich, Stefan Baumgärtner and Martin F. Quaas designed the research and developed the theoretical model; Roland Olbrich reviewed the literature, conducted the empirical survey and performed the statistical analysis, and discussed the results and revised the analysis together with Stefan Baumgärtner and Martin F. Quaas; Roland Olbrich wrote the first draft of the manuscript and revised it together with Stefan Baumgärtner and Martin F. Quaas.
Conflicts of Interest
The research reported in this paper it is not the result of a for-pay consulting relationship. The authors, their employers, and the BMBF do not have any financial interest in the topic of the paper, which might constitute a conflict of interest.
Appendix A. Dual-Preferences Model
We adapt the original dual-preferences model (Equation 1) to commercial cattle farming in Namibia by including the two relevant personal norms of sustainability discussed in Section 2.2 []. Utility function U(a) then expands to

The self-image (i.e., compliance with norms) now captures the deviation of behavioral consequences from two norms that pertain to ecosystem condition and income from cattle farming. We realize this by two separate terms. For the term denoting the self-image in respect to ecosystem condition, we consider as a specific behavioral consequence g(.) the actual ecosystem condition of the rangeland which depends on the farmer’s extent a of management. Here, management could be any of the six management strategies detailed in the previous subsection. g is in this case the farmer’s personal ecosystem norm, i.e., how good the ecosystem condition should be, and the weighting factor γ ≥ 0 captures how, whether, and how strongly the farmer wishes to comply with the personal ecosystem norm. For the term denoting the self-image with respect to income from cattle farming, we consider as a specific behavioral consequence y(.) the actual net income a farmer receives form cattle farming that likewise depends on the extent a of management. y is the farmer’s personal income norm, i.e., how high net income should be, and the weighting factor υ ≥ 0 captures whether and how strongly the farmer wishes to comply with the personal income norm. We can rewrite income as a function of cattle production f(.) sold at market price p minus costs c(.) that are incurred during the production process. Furthermore, cattle production may be viewed to depend only indirectly on a, through ecosystem condition as a direct input. Thus, f(.) becomes a function of g(a).
Following our conceptualization of personal norms of sustainability, we allow for heterogeneity of both personal norms across farmers. We also capture two crucial aspects of strong ecological-economic sustainability. Firstly, we implement the idea that the thresholds above which ecosystem condition and net income should be sustained are determined independently by modeling the personal ecosystem norm and personal income norm as independent from each other. Secondly, as ecosystem condition and net income should be sustained above given thresholds, we model compliance with the norms in a piecewise manner: farmers only receive a penalty to overall utility if the actual ecosystem condition or actual net income is below the respective personal norms, not if it is above.
With this model, we study how a change in the norms g and y impacts on the optimal extent a* of management. We approach this by calculating the first order condition with respect to the extent a of management and solving for a. To this end, we need to specify the involved functions. We specify a quadratic utility function as
with α > 0, β > 0. Then u'(y) = α − β·y > 0 which is increasing and concave in y. We specify the grazing capacity as linear and increasing in extent a of management, i.e., g(a) = g·a with g > 0. We further assume constant returns to scale in production, i.e., f(g(a)) = f·g(a) = ϕ·a with ϕ > 0 and constant marginal costs, i.e., c(a) = c·a with c > 0 []. Furthermore, we normalize market price p to unity. Net income y(a) may then be rewritten as y(a) = f(a) − c(a) = (ϕ−c)·a = φ·a where φ = ϕ−c, and is increasing for all a if we assume that ϕ>c>0 and thus φ> 0.

We then calculate the first order condition. Assuming that g − g(a) > 0 and y − y(a) > 0 and differentiating Equation (1a) with respect to a yields the first order condition:

Rearranging the equation yields
and finally the equation already displayed in Section 2.4, namely
with
(υ·φ2 + γ + β·φ2)·a = α·φ + γ·g + υ·φ·y
a* = ψ1 + γ·ψ2·g + υ·ψ3·y

The change in optimal management is thus characterized by the following result:
- Proposition 1:
- A change in optimal extent a* of management for a change in the norm g;− is zero if and only if γ equals zero.
- Proposition 2:
- A change in optimal extent a* of management for a change in the norm y;− is zero if and only if υ equals zero.
Appendix B. Piecewise Regression
In Section 3.4 we introduced in Equation (4) the piece-wise regression equation that we later estimate. For sake of clarity, we only displayed a reduced form of this equation and will detail here how we arrived at the reduced form.
The full form for the piecewise regression of Equation (4) is
with
and



Rescaling the norms g and y by subtracting the actual values g and y ensures that the pieces are joined together at the respective breakpoints.
The dual-preferences model in Equation (1a) (see Appendix A) states that personal norms do not influence utility if farmers comply with the norms, i.e., if actual values exceed the respective norms. For the regression equation this implies that the coefficients vgc and vyc are zero for the terms Gc(.) and Yc(.), respectively, which describe the pieces where norms are complied with.
Thus, Equation (4a) can be reduced to
where vg, vy, G(.) and Y(.) correspond to vgn, vyn, Gn(.) and Yn(.), respectively.
Ski = v0 + vgG(gi) + vyY(yi) + vxXi + χi
Appendix C. Robustness Checks
We perform several robustness checks for Research Question 2 (determinants of personal norms) and Research Question 3 (impact of personal norms on management). If indicated, we have provided estimation results of the checks in tables at the end of this appendix. Tables with estimation results for the other checks are available upon request.
C.1. Robustness Check for Analysis of Research Question 2 (Determinants of Personal Norms)
As previously noted, Nj, that is one of the j = 1, 2 elicited personal norms, may also depend on the respective other norm, but including the other norm may create an endogeneity problem. We cannot adequately address this problem in a simultaneous equation model, as we do not have suitable instrument variables. Instead, we here augment Equation (3) by also including the other norm as a covariate and estimate
where ONi is the respective other norm and θi is the error term. All other variables are defined as in Equation (3). Results show that all coefficients that are significant (insignificant) in Equation (3) remain significant (insignificant) in Equation (3a) (Table A1). Furthermore, all coefficients that are significant in Equation (3) retain sign and order of magnitude in Equation (3a), and vice versa. We thus conclude that we can exclude the respective other norms without incurring an omitted variable bias.
Nji = τ0 + τONONi + τzZ + θi

Table A1.
Determinants of personal norms of sustainability with the respective other personal norm included, ordinary least square (OLS) regression.
Dependent variables | Ecosystem norm | Income norm |
---|---|---|
Ecosystem norm | 5.5 × 105 | |
(4.62 × 105) | ||
Income norm | 1.0 × 10−8 | |
(8.60 × 10−9) | ||
Ecosystem condition | 5.7 × 10−1 *** | −2.7 × 105 |
(5.35 × 10−2) | (4.73 × 105) | |
Income | 8.3 × 10−9 | 7.0 × 10−1 *** |
(1.96 × 10−8) | (1.37 × 10−1) | |
Female | −9.5 × 10−3 | −1.5 × 104 |
(8.42 × 10−3) | (6.19 × 104) | |
Age | 2.0 × 10−4 | 1.2 × 103 |
(1.98 × 10−4) | (1.45 × 103) | |
Farm experience | −2.5 × 10−4 | −2.6 × 103 * |
(1.81 × 10−4) | (1.32 × 103) | |
Afrikaans | 4.4 × 10−3 | −1.5 × 104 |
(7.76 × 10−3) | (5.70 × 104) | |
German | 1.2 × 10−3 | −5.4 × 104 |
(7.84 × 10−3) | (5.74 × 104) | |
Low education | −1.5 × 10−4 | −6.9 × 102 |
(3.48 × 10−3) | (2.55 × 104) | |
Living off farm | 1.0 × 10−3 | −7.5 × 103 |
(4.07 × 10−3) | (2.98 × 104) | |
Rangeland area | −1.2 × 10−6 ** | 7.6 ** |
(4.72 × 10−7) | (3.47) | |
Cattle quantity | 8.3 × 10−6 | −23.0 |
(6.51 × 10−6) | (47.90) | |
Sustainability interest | 5.6 × 10−6 | −1.2 × 103 |
(4.95 × 10−4) | (3.63 × 103) | |
Erongo | −2.0 × 10−2 *** | 2.4 × 104 |
(7.47 × 10−3) | (5.55 × 104) | |
Hardap/Karas | −2.3 × 10−2 *** | 1.6 × 105 ** |
(8.62 × 10−3) | (6.33 × 104) | |
Khomas | −8.7 × 10−3 * | −1.0 × 104 |
(4.43 × 10−3) | (3.28 × 104) | |
Kunene | −7.1 × 10−3 | −7.3 × 104 * |
(5.70 × 10−3) | (4.16 × 104) | |
Omaheke | −1.2 × 10−2 *** | 8.8 × 103 |
(4.23 × 10−3) | (3.15 × 104) | |
Oshikoto | −1.4 × 10−2 | −5.8 × 104 |
(1.09 × 10−2) | (8.02 × 104) | |
Constant | 3.6 × 10−2 *** | 1.6 × 105 |
(1.28 × 10−2) | (9.51 × 104) | |
Adjusted R2 | 0.405 | 0.182 |
F-statistic | 10.650 | 4.143 |
Model significance | 0.000 | 0.000 |
Observations | 270 | 270 |
Notes: Standard errors in bracket; Significance levels are denoted as *** p < 0.01, ** p < 0.05, * p < 0.1.
C.2. Robustness Checks for Analysis of Research Question 3 (Impact of Personal Norms on Management)
We expect that Sk, i.e., the self–reported extent of management strategy k = 1, …, 6, also depends on the extent of the respective five other management strategies, but, similar to above, we cannot adequately address the ensuing endogeneity problem. Instead, we here augment Equation (4) by including the respective five other strategies as covariates and estimate
where OSi is a vector of the respective five other management strategies and oi is the error term. All other variables are defined as in Equation (4). Estimation results of Equation (4b) show that the coefficients of personal norms remain insignificant (Table A2). We thus conclude that we do not incur an omitted variables bias for the coefficients of primary interest, i.e., the personal norm coefficients, by excluding these other strategies.
Ski = δ0 + δgG(gi) + δyY(yi) + δosOSi + δxXi + oi
We perform three robustness checks in which we employ alternative specification of the income variable to estimate Equation (4). In the first, we substitute both the personal income norm and actual income by their respective logarithms. In the second and third check we address the fact that we did not ask for the precise level for actual income but rather income intervals. Previously, we use interval mid–points as an approximation to precise actual income. We now instead use the lower bound of the income interval in the second robustness check, and the upper bound of the income interval in the third check. Estimation results for all checks confirm our previous results in that we do not find evidence that personal norms impact on management.

Table A2.
Impact of personal norms on management with respective other management strategies included, ordered probit regression.
Dependent variables | Rangeland size increase | Spatial diversification | Resting rangeland | Additional feed | Breed adaptation | Production system adaptation | |
---|---|---|---|---|---|---|---|
Ecosystem norm | −5.027 | 4.702 | −1.056 | 0.819 | 1.041 | 0.434 | |
(3.550) | (3.622) | (3.742) | (3.683) | (3.587) | (3.496) | ||
Income norm | 4.8 × 10−7 | −3.9 × 10−7 | 6.4 × 10−8 | −1.5 × 10−7 | −1.6 × 10−7 | 2.7 × 10−7 | |
(3.7 × 10−7) | (3.8 × 10−7) | (3.9 × 10−7) | (3.9 × 10−7) | (3.8 × 10−7) | (3.8 × 10−7) | ||
Female | −0.072 | −0.244 | 0.830 * | 0.216 | 0.805 * | 0.343 | |
(0.362) | (0.364) | (0.436) | (0.399) | (0.413) | (0.376) | ||
Age | −0.006 | −0.001 | 0.003 | 0.006 | 0.001 | 0.005 | |
(0.009) | (0.009) | (0.009) | (0.009) | (0.008) | (0.008) | ||
Farm experience | −0.005 | 0.003 | 0.015 * | −0.006 | 0.000 | 0.010 | |
(0.008) | (0.008) | (0.008) | (0.008) | (0.008) | (0.008) | ||
Afrikaans | 0.116 | 0.559 | −0.049 | −0.334 | −0.504 | −0.088 | |
(0.342) | (0.357) | (0.356) | (0.357) | (0.354) | (0.337) | ||
German | −0.071 | 0.588 | −0.578 | −0.473 | −0.539 | −0.321 | |
(0.349) | (0.361) | (0.361) | (0.363) | (0.361) | (0.344) | ||
Low education | −0.010 | −0.204 | −0.173 | 0.248 | 0.009 | −0.206 | |
(0.152) | (0.154) | (0.154) | (0.158) | (0.151) | (0.149) | ||
Living off farm | −1.3 × 10−1 | 1.4 × 10−1 | 1.4 × 10−1 | 2.1 × 10−1 | 1.2 × 10−1 | −7.8 × 10−2 | |
(1.7 × 10−1) | (1.8 × 10−1) | (1.8 × 10−1) | (1.8 × 10−1) | (1.8 × 10−1) | (1.7 × 10−1) | ||
Rangeland area | −2.5 × 10−5 | 4.7 × 10−5 ** | 1.9 × 10−5 | 3.2 × 10−6 | 1.3 × 10−5 | 5.5 × 10−5 *** | |
(2.0 × 10−5) | (1.9 × 10−5) | (2.0 × 10−5) | (2.0 × 10−5) | (2.0 × 10−5) | (2.1 × 10−5) | ||
Cattle quantity | 0.001 ** | −0.001 *** | −0.001 ** | 0.000 | −0.000 | −0.000 | |
(0.000) | (0.000) | (0.000) | (0.000) | (0.000) | (0.000) | ||
Sustainability | 0.008 | −0.035 | −0.040 * | 0.009 | 0.009 | 0.027 | |
interest | (0.021) | (0.022) | (0.022) | (0.023) | (0.021) | (0.021) | |
Erongo | 0.591 * | −0.353 | 0.129 | −0.895 *** | 0.253 | 0.149 | |
(0.319) | (0.327) | (0.345) | (0.325) | (0.337) | (0.327) | ||
Hardap/Karas | −0.439 | 0.243 | −0.443 | −0.333 | −0.504 | −0.403 | |
(0.374) | (0.375) | (0.371) | (0.365) | (0.363) | (0.364) | ||
Khomas | −0.035 | 0.120 | −0.034 | −0.249 | −0.111 | 0.246 | |
(0.192) | (0.193) | (0.197) | (0.191) | (0.190) | (0.191) | ||
Kunene | −0.360 | 0.322 | 0.072 | −0.321 | 0.220 | 0.009 | |
(0.248) | (0.249) | (0.260) | (0.247) | (0.249) | (0.242) | ||
Omaheke | −0.096 | −0.132 | −0.125 | 0.881 *** | −0.071 | −0.039 | |
(0.188) | (0.191) | (0.191) | (0.209) | (0.187) | (0.187) | ||
Oshikoto | 0.157 | −0.103 | 0.143 | −0.341 | −0.264 | 0.037 | |
(0.463) | (0.457) | (0.464) | (0.453) | (0.446) | (0.446) | ||
Spatial | 0.528 *** | 0.071 | 0.143 ** | −0.031 | 0.127 ** | ||
diversification | (0.049) | (0.056) | (0.058) | (0.054) | (0.054) | ||
Resting | 0.005 | 0.031 | 0.032 | 0.108 ** | −0.015 | ||
rangeland | (0.047) | (0.047) | (0.048) | (0.045) | (0.046) | ||
Additional feed | −0.007 | 0.123 ** | 0.006 | 0.057 | −0.018 | ||
(0.048) | (0.048) | (0.050) | (0.048) | (0.048) | |||
Breed | 0.067 | 0.015 | 0.148 *** | 0.069 | 0.264 *** | ||
adaptation | (0.054) | (0.055) | (0.054) | (0.055) | (0.051) | ||
Production | −0.038 | 0.131 ** | −0.054 | −0.006 | 0.252 *** | ||
system adapt. | (0.053) | (0.053) | (0.055) | (0.056) | (0.050) | ||
Rangeland size | 0.537 *** | 0.005 | −0.003 | 0.076 | −0.027 | ||
increase | (0.049) | (0.056) | (0.058) | (0.053) | (0.054) | ||
Cutoff 1 | 0.246 | 2.429 *** | −1.239 * | −0.871 | −0.412 | 0.233 | |
(0.646) | (0.666) | (0.644) | (0.658) | (0.647) | (0.639) | ||
Cutoff 2 | 1.015 | 3.218 *** | −0.588 | −0.463 | 0.295 | 0.666 | |
(0.647) | (0.673) | (0.634) | (0.654) | (0.642) | (0.634) | ||
Cutoff 3 | 1.488 ** | 3.780 *** | −0.200 | −0.027 | 0.748 | 1.092 * | |
(0.649) | (0.680) | (0.631) | (0.653) | (0.643) | (0.633) | ||
Cutoff 4 | 2.364 *** | 4.456 *** | 0.250 | 0.510 | 1.399 ** | 1.906 *** | |
(0.655) | (0.687) | (0.630) | (0.655) | (0.645) | (0.638) | ||
Cutoff 5 | 3.066 *** | 5.304 *** | 0.881 | 1.099* | 2.382 *** | 2.800 *** | |
(0.661) | (0.700) | (0.633) | (0.656) | (0.649) | (0.647) | ||
Log-likelihood | −397 | −389 | −397 | −381 | −396 | −402 | |
Observations | 270 | 270 | 270 | 270 | 270 | 270 |
Notes: Standard errors in brackets; Significance levels are denoted as *** p < 0.01, ** p < 0.05, * p < 0.1.
We perform three robustness checks in which we employ alternative regression models to estimate Equation (4). In the first check we run an ordered logit model instead of an ordered probit model. In the second check, we define Sk, the self–reported extent of management strategy k = 1, …, 6, as a continuous variable whereas we previously defined it as an ordinal variable. We then estimate Equation (4) as an OLS regression. For the third check, we estimate the previously separate equations for the six management strategies jointly in a seemingly unrelated regression system []. We thereby allow for correlation of the error terms across equations, essentially assuming that unspecified factors impact equally on all six strategies. Again, estimate results for all checks confirm our previous results in that we do not find evidence that personal norms impact on management.
Finally, some farmers indicated extreme values for either of the personal norms (Figure 1). We therefore performed robustness checks in which we checked whether outliers biased our results. Specifically, we conducted robust ordered probit and robust OLS regressions [,]. Estimation results for both checks confirmed our previous results in that we did not find evidence that personal norms impacted on management.
References and Notes
- Howarth, R.B. Towards an operational sustainability criterion. Ecol. Econ. 2007, 63, 656–663. [Google Scholar] [CrossRef]
- Solow, R. Sustainability: An economist’s perspective. In Economics of the Environment, Selected Readings, 3rd ed.; Dorfman, R., Dorfman, N.S., Eds.; Norton: New York, NY, USA, 1993. [Google Scholar]
- Anand, S.; Sen, A. Human development and economic sustainability. World Dev. 2000, 28, 2029–2049. [Google Scholar] [CrossRef]
- Brekke, K.A.; Kverndokk, S.; Nyborg, K. An economic model of moral motivation. J. Public Econ. 2003, 87, 1967–1983. [Google Scholar] [CrossRef]
- Conlin, M.; Lynn, M.; O’Donoghue, T. The norm of restaurant tipping. J. Econ. Behav. Organ. 2003, 52, 297–321. [Google Scholar] [CrossRef]
- Young, H.P. Social norms. In The New Palgrave Dictionary of Economics, 2nd ed.; Durlauf, S.N., Blume, L., Eds.; Macmillan: London, UK, 2008. [Google Scholar]
- Young, H.P.; Burke, M. Norms, customs and conventions. In Handbook of Social Economics, 1st ed.; Benhabib, J., Bisin, A., Jackson, M.O., Eds.; North Holland: Amsterdam, Netherlands, 2010. [Google Scholar]
- Harland, P.; Staats, H.; Wilke, H.A. Explaining proenvironmental intention and behavior. J. Appl. Soc. Psychol. 1999, 29, 2505–2528. [Google Scholar] [CrossRef]
- Stern, P.C. New environmental theories: Toward a coherent theory of environmentally significant behavior. J. Soc. Issues 2000, 56, 407–424. [Google Scholar] [CrossRef]
- Nordlund, A.M.; Garvill, J. Value structures behind proenvironmental behavior. Environ. Behav. 2002, 34, 740–756. [Google Scholar] [CrossRef]
- Schwartz, S.H. Normative explanations of helping behavior: A critique, proposal and empirical test. J. Exp. Soc. Psychol. 1973, 9, 349–364. [Google Scholar] [CrossRef]
- Schwartz, S.H. Normative influences on altruism. Adv. Exp. Soc. Psychol. 1977, 10, 221–279. [Google Scholar]
- Stern, P.C.; Dietz, T.; Abel, T.; Guagnano, G.A.; Kalof, L. A value-belief-norm theory of support for social movements: The case of environmentalism. Res. Hum. Ecol. 1999, 6, 81–97. [Google Scholar]
- Hopper, J.R.; Nielsen, J.M. Recycling as altruistic behavior: Normative and behavioral strategies to expand participation in a community recycling program. Environ. Behav. 1991, 23, 195–220. [Google Scholar] [CrossRef]
- Thørgersen, J. Spillover processes in the development of a sustainable consumption pattern. J. Econ. Psychol. 1999, 20, 53–81. [Google Scholar] [CrossRef]
- Ek, K.; Söderholm, P. Norms and economic motivation in the Swedish green electricity market. Ecol. Econ. 2008, 68, 169–182. [Google Scholar] [CrossRef]
- Pearce, D.W.; Marandya, A.; Barbier, E.B. Blueprint for a Green Economy, 1st ed.; Eartgscan: London, UK, 1989. [Google Scholar]
- Daly, H.E.; Cobb, J.B.; Cobb, C.W. For the Common Good: Redirecting the Economy toward Community, the Environment, and a Sustainable Future, 2nd ed.; Beacon Press: Boston, MA, USA, 1994. [Google Scholar]
- Ekins, P.; Simon, S.; Deutsch, L.; Folke, C.; Groot, R. A framework for the practical application of the concepts of critical natural capital and strong sustainability. Ecol. Econ. 2003, 44, 165–185. [Google Scholar] [CrossRef]
- Baumgärtner, S.; Quaas, M.F. Ecological-economic viability as a criterion of strong sustainability under uncertainty. Ecol. Econ. 2009, 68, 2008–2020. [Google Scholar] [CrossRef]
- Quaas, M.F.; Baumgärtner, S.; Becker, C.; Frank, K.; Müller, B. Uncertainty and sustainability in the management of rangelands. Ecol. Econ. 2007, 62, 251–266. [Google Scholar] [CrossRef]
- Olbrich, R.; Quaas, M.F.; Baumgärtner, S. Risk and risk management in Namibian commercial cattle farming. 2011; unpublished work. [Google Scholar]
- Quaas, M.F.; Baumgärtner, S. Optimal grazing management rules in semi-arid rangelands with uncertain rainfall. Nat. Resour. Model. 2012, 25, 364–387. [Google Scholar] [CrossRef]
- De Klerk, J. Bush Encroachment in Namibia. Report on Phase 1 of the Bush Encroachment Research, Monitoring and Management Project, 1st ed.; Ministry of Environment and Tourism: Windhoek, Namibia, 2004. [Google Scholar]
- Olbrich, R.; Quaas, M.F.; Baumgärtner, S. Sustainable Use of Ecosystem Services under Multiple Risks—A Survey of Commercial Cattle Farmers in Semi-Arid Rangelands in Namibia; Working Paper Series in Economics No. 137; Leuphana University Lüneburg: Lüneburg, Germany, 2009. [Google Scholar]
- Olbrich, R.; Quaas, M.F.; Baumgärtner, S. A survey of commercial cattle farmers in semi-arid rangelands of Namibia on risk,sustainability and management. J. Appl. Soc. Sci. Stud. 2012, 132, 463–471. [Google Scholar]
- Elster, J. Social norms and economic theory. J. Econ. Perspect. 1989, 3, 99–117. [Google Scholar] [CrossRef]
- Hausman, D.M.; McPherson, M.S. Economic Analysis, Moral Philosophy, and Public Policy, 2nd ed.; Cambridge University Press: New York, NY, USA, 2006. [Google Scholar]
- Ajzen, I. The theory of planned behavior. Organ. Behav. Hum. Dec. 1991, 50, 179–211. [Google Scholar] [CrossRef]
- Bamberg, S.; Schmidt, P. Incentives, morality, or habit? Predicting students’ car use for university routes with the models of Ajzen, Schwartz, and Triandis. Envion. Behav. 2003, 35, 264–285. [Google Scholar] [CrossRef]
- Widegren, O. The new environmental paradigm and personal norms. Envion. Behav. 1998, 30, 75–100. [Google Scholar] [CrossRef]
- Kallgren, C.A.; Reno, R.R.; Cialdini, R.B. A focus theory of normative conduct: When norms do and do not affect behavior. Pers. Soc. Psychol. B. 2000, 26, 1002–1012. [Google Scholar] [CrossRef]
- Brekke, K.A.; Kipperberg, G.; Nyborg, K. Social interaction in responsibility ascription: The case of household recycling. Land Econ. 2010, 86, 766–784. [Google Scholar]
- Individuals balance compliance with the norms with fulfillment of egoistic needs. As such, they may not feel capable of complying with the norm (and thus not feel capable of averting adverse consequences) for ethically more or less sound reasons.
- Faber, M.; Frank, K.; Klauer, B.; Manstetten, R.; Schiller, J.; Wissel, C. On the foundation of a general theory of stocks. Ecol. Econ. 2005, 55, 155–172. [Google Scholar] [CrossRef]
- Olbrich, R. Environmental Risk and Sustainability: The Case of Commercial Livestock Farming in Semi-Arid Rangelands. Ph.D. Thesis, Leuphana University Lüneburg, Lüneburg, Germany, 2012. [Google Scholar]
- Mendelsohn, J. Farming Systems in Namibia, 1st ed.; Research & Information Services in Namibia: Windhoek, Namibia, 2006. [Google Scholar]
- Hager, C.; Marggraff, M.; Namibia Agricultural Union, Windhoek, Namibia. Interview, 2 April 2007.
- Ministry of Agriculture, Water and Forestry (MAWF). Agricultural Statistics Bulletin (2000–2007), 1st ed.Ministry of Agriculture, Water and Forestry: Windhoek, Namibia, 2000.
- Ward, D.; Saltz, D.; Ngairorue, B. Spatio-temporal rainfall variation and stock management in arid Namibia. Rangeland Eco. Manag. 2004, 57, 130–140. [Google Scholar]
- Wiegand, K.; Ward, D.; Saltz, D. Multi-scale patterns and bush encroachment in an arid savanna with a shallow soil layer. J. Veg. Sci. 2005, 16, 311–320. [Google Scholar] [CrossRef]
- Ministry of Environment and Tourism (MET). Atlas of Namibia Project, 1st ed.Ministry of Environment and Tourism: Windhoek, Namibia, 2002.
- A Large Stock Unit (LSU) is a standard measure for livestock quantity in Namibia. In the case of cattle, one cattle equals one LSU.
- Lubbe, L.; Ministry of Agriculture, Water and Forestry, Windhoek, Namibia. Interview, 19 October 2007.
- Peltzer, T.; Farm Onjossa, Okahandja, Namibia. Interview, 18–19 October 2007.
- Many other ecosystem features are related negatively to bush encroachment such as biodiversity or groundwater availability.
- On 1 August 2008, N$ 1000 equaled € 88.14 or US$ 137.50.
- Postlewaite, A. Social norms and preferences. In Handbook of Social Economics, 1st ed.; Benhabib, J., Bisin, A., Jackson, M.O., Eds.; North Holland: Amsterdam, Netherlands, 2010; pp. 31–67. [Google Scholar]
- In our statistical analyses, we will estimate the model separately for each of the six strategies.
- Thus, compliance with the personal norms is assured if actual ecosystem condition and income are equal to or above the ecosystem norm and income norm, respectively.
- To our knowledge, there exists no other comprehensive survey of commercial cattle farmers in Namibia. We thus cannot validate the representativeness of our sample by comparison with independently collected data sets.
- In the question we asked for grazing capacity we used the unit ha/LSU, since this is the commonly used unit in Namibia. For our subsequent analysis, we inverted the answers to the unit LSU/ha.
- Spearman correlation for personal norm for time horizon vs. time preferences: ρ = 0.02, p = 0.80, N = 270. Spearman correlation for personal norm for income risk vs. risk preferences: ρ = −0.05, p = 0.44, N = 261. Information on how these norms and preferences were measured is provided in [].
- Statistics are calculated for all those farmers who did not display missing values for any variable used in the estimation of management strategies in Equation.
- Based on further data we collected in the survey [], Otjozondjupa had—out of the five regions Erongo, Hardap/Karas, Khomas, Omaheke, and Otjozondjupa—the highest rainfall in the rainy seasons 2006/07 and 2007/08 as well as the second lowest risk rating (as reported by farmers) for each of the bush fire, cattle diseases, and predation risk categories.
- They also have a lower ecosystem norm as denoted by a significant negative coefficient of −1.1 × 10−6.
- In contrast, Park and Ha [], who also employ the norm activation model, find a significant positive effect of personal norms on recycling. However, they study only the intention to recycle, not actual recycling behavior.
- No database exists that contains all commercial cattle farmers and their key socio-demographic characteristics. We thus compared samples from two subpopulations, NAU members and MeatCo customers, but found no difference in important socio-demographic characteristics []. We add here that samples also do not differ in personal norms and on-farm management strategies (t-tests, p > 0.1 for all personal norms and management strategies).
- Videras, J.; Owen, A.L.; Conover, E.; Wu, S. The influence of social relationships on pro-environmental behaviors. J. Envion. Econ. Manag. 2012, 63, 35–50. [Google Scholar] [CrossRef]
- Joubert, D.; Polytechnic of Namibia, Windhoek, Namibia. Interview, 21 July 2008.
- Neumann, N.; Ministry of Agriculture, Windhoek, Namibia. Interview, 30 July 2008.
- Pack, W.; Farm Grünental, Gobabis, Namibia. Interview, 26 July 2008.
- Even though we were inspired in the formulation of our model by the dual preferences model of [], we have adopted a different concept of a moral norm. In [], the moral norm is essentially defined as the morally ideal effort that maximizes social welfare if all members of a society act accordingly. In contrast, our concept of a personal norm defines what is ideal independent of what other members of the society consider as ideal or of how they act (see Section 2.1).
- We tested the validity of the specifications regarding the grazing capacity function and production function in our data using robust regressions (to account for potential outliers). Regarding the grazing capacity function we cannot reject a linear relationship between extent of the strategy and the actual grazing capacity at the 10% significance level for three out of the six management strategies described in Section 2.3 (i.e., for spatial diversification, resting rangeland, and additional feed). In regards to the production function, we cannot reject a linear relationship between actual grazing capacity and number of cattle at the 10% significance level. Thus, we deem our specifications to be realistic concerning those two functions. We could not perform a similar analysis for the cost function, as we do not have sufficient data on production costs.
- Zellner, A. An efficient method of estimating seemingly unrelated regressions and tests for aggregation bias. J. Am. Stat. Assoc. 1962, 57, 348–368. [Google Scholar] [CrossRef]
- Li, G. Robust regression. In Exploring Data Tables, Trends, and Shapes, 1st ed.; Hoaglin, F.M., Tukey, J.W., Eds.; Wiley: Washington, DC, USA, 1985; pp. 281–340. [Google Scholar]
- Specifically, we employ the version of an OLS robust regression as implemented in Stata’s rreg command.
- Park, J.; Ha, S. Understanding consumer recycling behavior: Combining the Theory of Planned Behavior and the Norm Activation Model. Fam. Consum. Sci. 2014, 42, 278–291. [Google Scholar] [CrossRef]
© 2014 by the authors; licensee MDPI, Basel, Switzerland. This article is an open access article distributed under the terms and conditions of the Creative Commons Attribution license (http://creativecommons.org/licenses/by/3.0/).