Display Slot Competition and Multi-Homing in Ride-Hailing Aggregator Platforms: A Game-Theoretic Analysis of Profit and Welfare Implications
Abstract
1. Introduction
2. Literature Review
2.1. Multi-Homing Behavior in the Platform Economy
2.2. Non-Price Competition Mechanisms in Digital Platforms
2.3. Ride-Hailing Platform Competition and Aggregation Models
3. Method
3.1. Model Setup
3.1.1. Game Theory Model
3.1.2. Assumptions and Notions
3.2. Display Slots and Supply Mechanism
3.2.1. Display Slot Attraction
3.2.2. Driver Supply
3.2.3. Waiting Time Function
3.2.4. Passenger Utility Function
3.3. Platform Profit and Game Solution
3.3.1. Platform Profit Function
3.3.2. Solution via Reverse Induction
3.4. Theoretical Analysis and Hypotheses
3.4.1. Display Slot Competition
3.4.2. Effect of Multi-Homing Rate
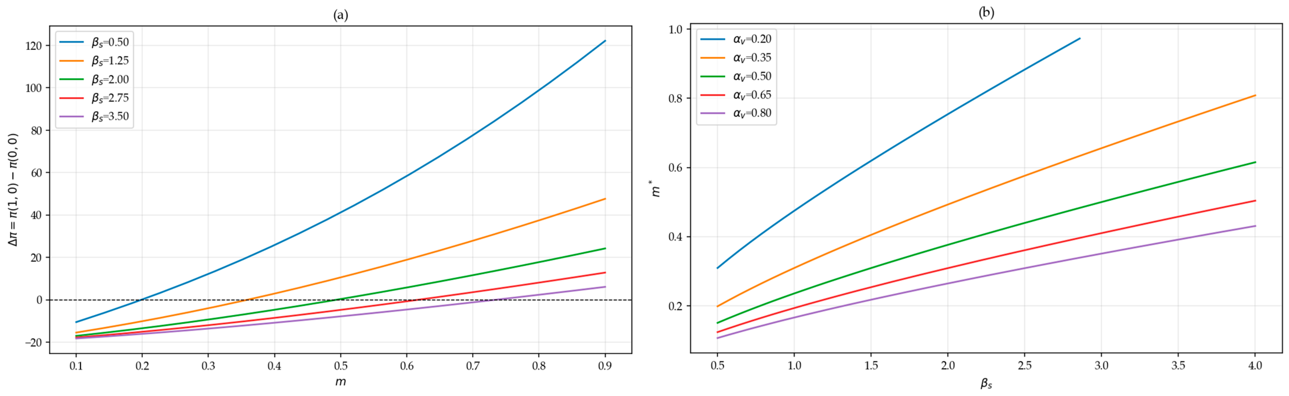
3.4.3. Critical Conditions
4. Numerical Simulation Results
4.1. Equilibrium Results in Symmetric Cases
4.1.1. Baseline Parameters and Specifications
- (1)
- F is set at approximately 1.3% of the platform’s daily profit, in line with industry operating practices. Under the symmetric setting, the base attraction is 0.5; to highlight the impact of the display slot’s attraction, it is set at 70% of the base attraction.
- (2)
- Drivers are highly sensitive to income incentives. Referring Yu et al. [6], βs with moderate elasticity is set at 2. Referring to Jiang et al. [37], approximately 25% of drivers in Chicago and 26% of drivers in Hangzhou used multiple platforms in 2021. Among drivers already registered on the Didi, approximately 70% chose to switch to the Shouyue; among drivers registered on the Shouyue, about 80% chose to switch to Didi. This indicates that the m is influenced by market conditions, regulatory policies, and other factors. There is no single “standard value.” In the work, m reflects the “mobile” portion of effective supply affected by display slots; we set m = 0.6 to examine market equilibrium characteristics under moderately high multi-homing levels.
- (3)
- Referring to the studies by Wang et al. [38] based on Didi order data and Menno et al. [39] based on Uber data, γ, representing passengers’ high sensitivity to waiting time, is set to 2. Set t = 2 to maintain a reasonable rate with the price level (), ensuring that the market coverage condition in the Hotelling model holds. V is standardized: the base utility is set to 10 to ensure that passenger utility is positive at the equilibrium price. Combining data on Didi’s commission rate (approximately 20%) from a 2025 Tsinghua University survey, this paper defines c = 4 to include driver commissions, insurance, customer service, and other operational costs. When c = 4, the corresponding cost ratio is approximately 44%. To maintain proportional relationships, the number of drivers per unit of effective supply is set to account for approximately 1–3% of platform profits, with setting δ = 0.1.
- (4)
- According to data from Guangzhou city, China, in September 2025, the average order number per vehicle per was 12.67; data from Datong City indicates an average of 13.72 orders per vehicle per day. To align with empirical data, this study adopts Q = 1000 and N = 10 to consider daily orders in a small region, as a standardized simplification, maintaining a supply-to-demand ratio of 1:10. L is set to 50 to ensure that waiting times remain non-negative and monotonically decreasing within a reasonable parameter range.
4.1.2. Equilibrium Results
4.2. Verification of Hypothesis 1
4.3. Verification of Hypothesis 2
4.4. Verification of Hypothesis 3
4.5. Sensitivity Analysis
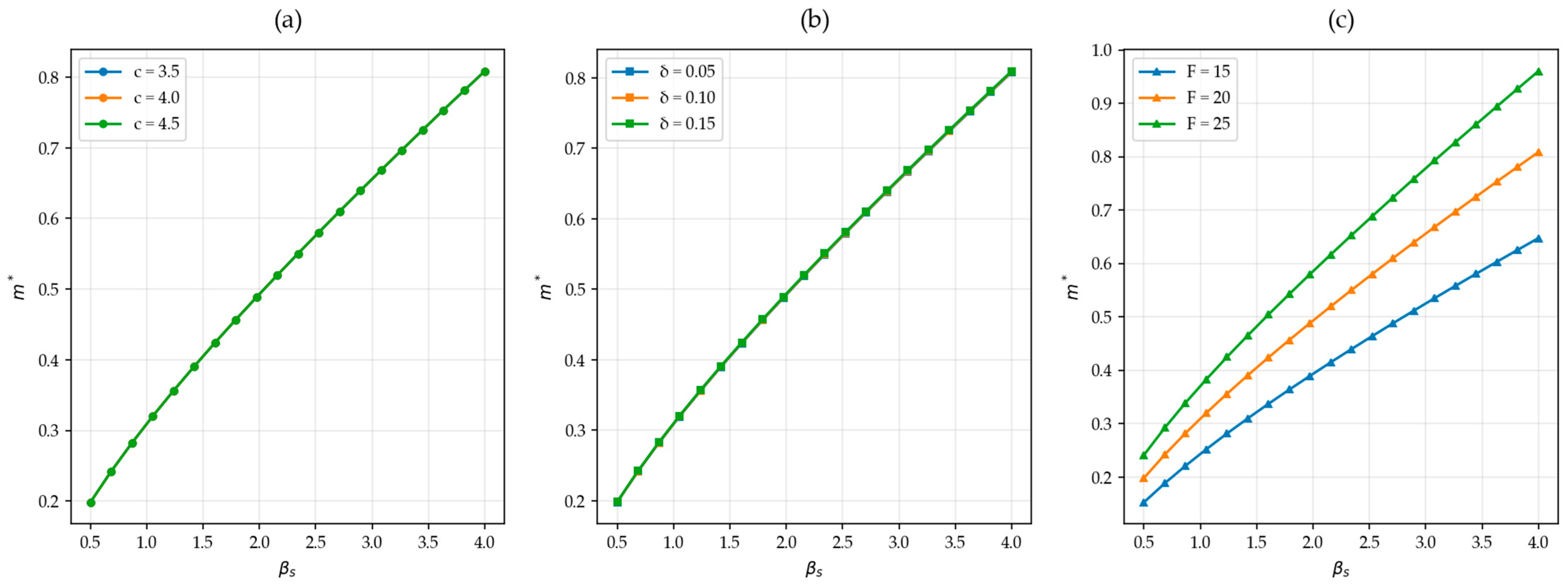
4.5.1. Cost Parameter Sensitivity
4.5.2. Supply-Side Parameter Sensitivity
4.5.3. Sensitivity of Display Slot Strength
4.5.4. Demand-Side Parameter Sensitivity
5. Platform Heterogeneity and Social Welfare Analysis
5.1. Analysis of Platform Heterogeneity
5.1.1. Asymmetric Condition
5.1.2. Numerical Verification of Propositions 1 and 2
5.2. Social Welfare Analysis
5.2.1. Components of Social Welfare
5.2.2. Numerical Simulation of Social Welfare
5.2.3. Display Slot and Its Impact on Social Welfare
6. Conclusions
6.1. Research Findings
6.2. Managerial Implications
6.3. Research Limitations and Future Directions
Author Contributions
Funding
Institutional Review Board Statement
Informed Consent Statement
Data Availability Statement
Conflicts of Interest
Appendix A
Appendix A.1. Existence and Uniqueness of Nash Equilibrium
Appendix A.2. Proof of Proposition 1
Appendix A.3. Proof of Proposition 2
Appendix A.4. Numerical Solution Algorithm
References
- Zhan, Y.; Kumar, A.; Hosany, S.; Xia, Y.; Schoenherr, T.; Xia, L. Market competition in the platform economy: New insights, integrative framework and research agenda. J. Bus. Res. 2025, 200, 115648. [Google Scholar] [CrossRef]
- Wang, H.; Yang, H. Ridesourcing systems: A framework and review. Transp. Res. Part B Methodol. 2019, 129, 122–155. [Google Scholar] [CrossRef]
- Rochet, J.C.; Tirole, J. Two-sided markets: A progress report. RAND J. Econ. 2006, 37, 645–667. [Google Scholar] [CrossRef]
- Armstrong, M. Competition in two-sided markets. RAND J. Econ. 2006, 37, 668–691. Available online: https://www.jstor.org/stable/25046266 (accessed on 3 April 2026). [CrossRef]
- Kwon, H.E.; Oh, W.; Kim, T. Platform structures, homing preferences, and homophilous propensities in online social networks. J. Manag. Inf. Syst. 2017, 34, 768–802. [Google Scholar] [CrossRef]
- Yu, J.; Mo, D.; Xie, N.; Hu, S.; Chen, X. Exploring multi-homing behavior of ride-sourcing drivers via real-world multiple platforms data. Transp. Res. Part F Traffic Psychol. Behav. 2021, 80, 61–78. [Google Scholar] [CrossRef]
- Yu, J.; Mo, D.; Zhu, Z.; Chen, X. A high-order hidden Markov model for dynamic decision analysis of multi-homing ride-sourcing drivers. Transp. Res. Part C Emerg. Technol. 2023, 148, 104031. [Google Scholar] [CrossRef]
- Zhuang, C.; Gu, T.; Kim, I.; Chung, H.; Zhang, K. Platform-induced time-space trade-offs in ride-hailing: Multi-homing as a response to operational constraints. J. Transp. Geogr. 2026, 131, 104533. [Google Scholar] [CrossRef]
- Bryan, K.A.; Gans, J.S. A theory of multihoming in rideshare competition. J. Econ. Manag. Strategy 2018, 28, 89–96. [Google Scholar] [CrossRef]
- Loginova, O.; Wang, X.H.; Liu, Q.H. The impact of multi-homing in a ride-sharing market. Ann. Reg. Sci. 2022, 69, 239–254. [Google Scholar] [CrossRef]
- Belleflamme, P.; Peitz, M. Platform competition: Who benefits from multihoming? Int. J. Ind. Organ. 2019, 64, 1–26. [Google Scholar] [CrossRef]
- Jeitschko, T.D.; Tremblay, M.J. Platform competiton with endogenous homing. Int. Econ. Rev. 2020, 61, 1281–1305. [Google Scholar] [CrossRef]
- Bernstein, F.; DeCroix, G.A.; Keskin, N.B. Competition between two-sided platforms under demand and supply congestion effects. Manuf. Serv. Oper. Manag. 2021, 23, 1043–1061. [Google Scholar] [CrossRef]
- Liu, B.; Zhao, X.; Gu, Q. Pricing strategy and platform competition with partial multi-homing agents: When the aggregation platform exists in ride-sharing market. Transp. Res. Part E Logist. Transp. Rev. 2024, 184, 103483. [Google Scholar] [CrossRef]
- Amaldoss, W.; Desai, P.S.; Shin, W. Keyword search advertising and first-page bid estimates: A strategic analysis. Manag. Sci. 2015, 61, 507–519. [Google Scholar] [CrossRef]
- Korula, N.; Mirrokni, V.; Nazerzadeh, H. Optimizing display advertising markets challenges and directions. IEEE Internet Comput. 2016, 20, 28–35. [Google Scholar] [CrossRef]
- Balseiro, S.R.; Feldman, J.; Mirrokni, V.; Muthukrishnan, S. Yield optimization of display advertising with ad exchange. Manag. Sci. 2014, 60, 2886–2907. [Google Scholar] [CrossRef]
- Andrei, H.; Bruno, J. Why do intermediaries divert search? RAND J. Econ. 2011, 42, 337–362. [Google Scholar] [CrossRef]
- Andrei, H.; Bruno, J. Search diversion and platform competition. Int. J. Ind. Organ. 2014, 33, 48–60. [Google Scholar] [CrossRef]
- Mahsa, D.; Negin, G.; Vahideh, M.; Vahab, M. Product ranking on online platforms. Manag. Sci. 2022, 68, 4024–4041. [Google Scholar] [CrossRef]
- Ghose, A.; Yang, S. An empirical analysis of search engine advertising: Sponsored search in electronic markets. Manag. Sci. 2009, 55, 1605–1622. [Google Scholar] [CrossRef]
- Eliaz, K.; Spiegler, R. A simple model of search engine pricing. Econ. J. 2011, 121, F329–F339. [Google Scholar] [CrossRef]
- Oh, J.; Glaeser, C.; Su, X. Food ordering and delivery: How platforms and restaurants should split the pie. SSRN J. 2023, 72, 1748–1768. [Google Scholar] [CrossRef]
- Banerjee, S.; Riquelme, C.; Johari, R. Pricing in ride-share platforms: A queueing-theoretic approach. SSRN J. 2015, 639, 1–54. [Google Scholar] [CrossRef]
- Sun, L.; Teunter, R.H.; Babai, M.Z.; Hua, G. Optimal pricing for ride-sourcing platforms. Eur. J. Oper. Res. 2019, 278, 783–795. [Google Scholar] [CrossRef]
- Zha, L.T.; Yin, Y.F.; Du, Y.C. Surge pricing and labor supply in the ride-sourcing market. Transp. Res. Part B-Methodol. 2018, 117, 708–722. [Google Scholar] [CrossRef]
- Ming, L.; Tunca, T.; Xu, Y.; Zhu, W.M. Market formation, pricing, and value generation in ride-hailing services. Manuf. Serv. Oper. Manag. 2025, 27, 1551–1570. [Google Scholar] [CrossRef]
- Feng, S.W.; Lin, C. Algorithmic personalized pricing, passergers’ order compliance rates and regulatory countermeasures for online taxi-hailing platforms. J. South China Univ. Technol. (Nat. Sci. Ed.) 2024, 52, 104–112. (In Chinese) [Google Scholar]
- Cohen, M.C.; Zhang, R.Y. Competition and coopetition for two-sided platforms. Prod. Oper. Manag. 2022, 31, 1997–2014. [Google Scholar] [CrossRef]
- Liu, H.; Guo, J.L. Research on co-opetition relationship of ride-hailing platform based on Stackelberg Game. Intell. Comput. Appl. 2020, 10, 171–173+177. (In Chinese) [Google Scholar]
- Zhou, Y.; Ke, J.; Yang, H.; Guo, P. Platform integration in ride-sourcing markets with heterogeneous passengers. Transp. Res. Part B Methodol. 2024, 188, 103041. [Google Scholar] [CrossRef]
- Zhou, Y.; Yang, H.; Ke, J.; Wang, H.; Li, X. Competition and third-party platform-integration in ride-sourcing markets. Transp. Res. Part B Methodol. 2022, 159, 76–103. [Google Scholar] [CrossRef]
- Cao, Y.; Li, X.; Li, Q.S. The Integration strategy selection of ride-hailing platform under the two-sided market. Chin. J. Manag. Sci. 2022, 33, 142–153. [Google Scholar] [CrossRef]
- Zhang, K.Y.; Fang, S.N. Evolution game analysis of online car-hailing regulation with multi-agent participation under aggregation mode. Econ. Probl. 2023, 74–83. [Google Scholar] [CrossRef]
- Bao, Y.; Zang, G.; Yang, H.; Gao, Z.; Long, J. Mathematical modeling of the platform assignment problem in a ride-sourcing market with a third-party integrator. Transp. Res. Part B Methodol. 2023, 178, 102833. [Google Scholar] [CrossRef]
- Hou, L.; Geng, S.; Kong, W. Competition and cooperation in ride-sharing platforms: A game theoretic analysis of C2C and B2C aggregation strategies. Sustainability 2025, 17, 398. [Google Scholar] [CrossRef]
- Jiang, X.; Tian, L.; Yang, H.; Liu, P. Modeling and regulating a competitive ride-sourcing market with multihoming drivers. Transp. Res. Part C Emerg. Technol. 2026, 182, 105392. [Google Scholar] [CrossRef]
- Wang, G.; Singh, V.K.; Zhang, D. A mixed-methods study of wait time perception and discrepancy in technology-mediated mobility systems. Proc. ACM Hum.-Comput. Interact. 2025, 9, CSCW023. [Google Scholar] [CrossRef]
- Yap, M.; Cats, O. Ride-hailing vs. public transport: Comparing travel time perceptions using revealed preference data from Washington DC. Travel Behav. Soc. 2025, 41, 101069. [Google Scholar] [CrossRef]
- Xiao, Y.; Xiao, G.; Li, J. Photovoltaic-energy storage systems empowered: Low-carbon and economic scheduling for electric buses. Transp. Res. Part D Transp. Environ. 2026, 150, 105082. [Google Scholar] [CrossRef]
- Rosen, J.B. Existence and uniqueness of equilibrium points for concave N-person Games. Econometrica 1965, 33, 520–534. [Google Scholar] [CrossRef]














| Notations | Description | Notations | Description |
|---|---|---|---|
| c | Marginal cost per order for platform | Passenger utility for platform | |
| Demand for Platform | Display slot purchase decision; indicates purchase of the display slot, | ||
| F | Fixed cost of display slot | Waiting time for passengers on platform | |
| Index of the underlying platform, | Baseline attractiveness | ||
| L | Market scale parameter | Incremental attractiveness of display slot | |
| m | Proportion of multi-homing drivers, | Comprehensive attractiveness of platform to multi-homing drivers | |
| Dispatchable drivers supply on platform | βs | Driver sensitivity to platform pricing | |
| N | Total number of drivers in the market | γ | Waiting time sensitivity coefficient |
| Price the platform charges passengers | δ | Driver maintenance cost per unit | |
| Q | Daily order volume for the platform | θ | Proportion of single-homing drivers to Platform 1, |
| t | Hotelling differentiation parameter | Profit for Platform |
| Parameter Category | Parameter Symbol | Default Value | Basis for Setting |
|---|---|---|---|
| (1) Display slot | F | 20 | Approximately 1–3% of the platform’s daily profit |
| 0.5 | Evenly distributed; symmetric baseline scenario | ||
| 0.35 | Approximately 70% of the baseline attractiveness | ||
| (2) Driver Behavior | βs | 2 | Moderate sensitive |
| m | 0.6 | Intermediate to advanced level | |
| θ | 0.5 | Evenly distributed; symmetric baseline scenario | |
| (3) Passenger Behavior | V | 10 | Standardized treatment |
| t | 2 | Moderate differences | |
| γ | 2 | Highly sensitive | |
| (4) Cost Structure | c | 4 | Average ride-hailing operating cost |
| δ | 0.1 | Maintenance cost ratio settings | |
| (5) Market Characteristics | Q | 1000 | Scale of travel demand in a given region |
| N | 100 | Active drivers in the region; supply-to-demand ratio is 1:10 | |
| L | 50 | Standardized treatment |
| p1* | p2* | D1 | D2 | W1 | W2 | |||
|---|---|---|---|---|---|---|---|---|
| (0, 0) | 7.11 | 7.11 | 500.00 | 500.00 | 1.00 | 1.00 | 50.00 | 50.00 |
| (1, 0) | 7.10 | 7.07 | 510.52 | 489.48 | 0.98 | 1.02 | 50.90 | 49.10 |
| (0, 1) | 7.07 | 7.10 | 489.48 | 510.52 | 1.02 | 0.98 | 49.10 | 50.90 |
| (1, 1) | 7.05 | 7.05 | 500.00 | 500.00 | 1.00 | 1.00 | 50.00 | 50.00 |
| (1500.71, 1500.71) | (1555.18, 1495.62) | |
| (1495.62, 1555.18) | (1549.36, 1549.36) |
| p1 | p2 | π1 | π2 | D1 | D2 | |
|---|---|---|---|---|---|---|
| (0, 0) | 7.61 | 7.03 | 2365.83 | 1062.64 | 623.20 | 376.80 |
| (1, 0) | 7.61 | 7.01 | 2391.30 | 1024.62 | 633.76 | 366.24 |
| (0, 1) | 7.53 | 6.99 | 2267.95 | 1062.23 | 610.06 | 389.94 |
| (1, 1) | 7.54 | 6.96 | 2291.34 | 1024.43 | 620.44 | 379.56 |
| CS | π1 | π2 | SW | |
|---|---|---|---|---|
| (0, 0) | 78.26 | 2365.83 | 1062.64 | 3506.74 |
| (1, 0) | 73.01 | 2411.30 | 1024.62 | 3508.92 |
| (0, 1) | 153.58 | 2267.95 | 1082.23 | 3503.75 |
| (1, 1) | 149.81 | 2311.34 | 1044.43 | 3505.58 |
Disclaimer/Publisher’s Note: The statements, opinions and data contained in all publications are solely those of the individual author(s) and contributor(s) and not of MDPI and/or the editor(s). MDPI and/or the editor(s) disclaim responsibility for any injury to people or property resulting from any ideas, methods, instructions or products referred to in the content. |
© 2026 by the authors. Licensee MDPI, Basel, Switzerland. This article is an open access article distributed under the terms and conditions of the Creative Commons Attribution (CC BY) license.
Share and Cite
Guo, X.; Xiao, G. Display Slot Competition and Multi-Homing in Ride-Hailing Aggregator Platforms: A Game-Theoretic Analysis of Profit and Welfare Implications. Sustainability 2026, 18, 3625. https://doi.org/10.3390/su18073625
Guo X, Xiao G. Display Slot Competition and Multi-Homing in Ride-Hailing Aggregator Platforms: A Game-Theoretic Analysis of Profit and Welfare Implications. Sustainability. 2026; 18(7):3625. https://doi.org/10.3390/su18073625
Chicago/Turabian StyleGuo, Xuepan, and Guangnian Xiao. 2026. "Display Slot Competition and Multi-Homing in Ride-Hailing Aggregator Platforms: A Game-Theoretic Analysis of Profit and Welfare Implications" Sustainability 18, no. 7: 3625. https://doi.org/10.3390/su18073625
APA StyleGuo, X., & Xiao, G. (2026). Display Slot Competition and Multi-Homing in Ride-Hailing Aggregator Platforms: A Game-Theoretic Analysis of Profit and Welfare Implications. Sustainability, 18(7), 3625. https://doi.org/10.3390/su18073625

