A Physics-Constrained Residual Learning Framework for Robust Freeway Traffic Prediction
Abstract
1. Introduction
2. Literature Review
2.1. Deep Learning-Based Traffic State Prediction
2.2. Cell Transmission Models
2.3. Hybrid Traffic Prediction
2.4. Research Gap and Conceptual Framework
3. Methodology
3.1. Problem Formulation
3.2. Model Framework
3.3. Physics-Based Baseline Modelling
3.4. Multi-Scale Residual Modelling
3.4.1. Analysis of the Characteristics of Residual Data
3.4.2. Wavelet Decomposition
3.4.3. GARCH Volatility Modeling
3.4.4. Deep Learning Feature Extraction
4. Experiments
4.1. Dataset
4.2. Prediction Setting
4.2.1. Physics Baseline Configuration
4.2.2. Residual Modelling Setup
4.2.3. Experimental Configuration
5. Experimental Results and Discussion
5.1. Evaluation Metrics and Benchmarking Criteria
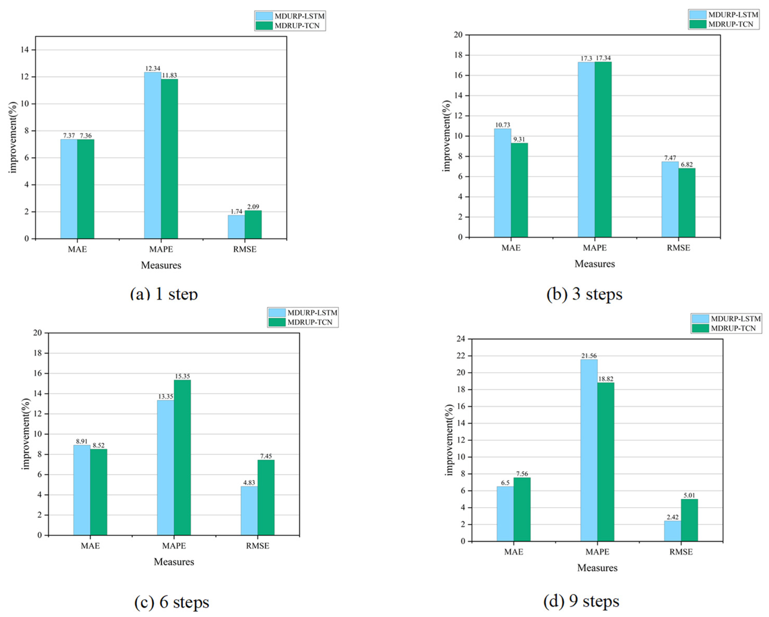
5.2. Performance Comparison and Analysis
6. Discussion
6.1. Interpreting MDURP as Residual-Space Learning Under Physical Constraints
- (1)
- a physics-constrained baseline trajectory generated by the Cell Transmission Model (CTM),
- (2)
- a structured residual component capturing deviations from this trajectory.
6.2. Statistical Structure of Residual Dynamics
6.3. Performance Gains and Error Accumulation Suppression
6.4. Robustness, Generalization, and Sustainability Implications
6.5. Practical Implications
6.6. Limitations and Future Research Directions
7. Conclusions
Author Contributions
Funding
Institutional Review Board Statement
Informed Consent Statement
Data Availability Statement
Conflicts of Interest
References
- Liu, J.; Guan, W. A Summary of Traffic Flow Forecasting Methods. J. Highw. Transp. Res. Dev. 2004, 21, 82–85. [Google Scholar]
- Ahmed, M.; Cook, A. Analysis of Freeway Traffic Timeseries Data by Using Box-Jenkins Techniques. Transp. Res. Rec. 1979, 722, 1–9. [Google Scholar]
- Zhang, X.; Rice, J.A. Short-term travel time prediction. Transp. Res. Part C Emerg. Technol. 2003, 11, 187–210. [Google Scholar] [CrossRef]
- Zhao, Z.; Yang, X.; Hao, Y. A review of hybrid physics-based machine learning approaches in traffic state estimation. Intell. Transp. Infrastruct. 2023, 2, liad002. [Google Scholar] [CrossRef]
- Feng, S.; Hu, S.; Xin, W. A physics-informed machine learning framework for speed-flow prediction: Integrating an S-shaped traffic stream model with deep learning models. Transp. Res. Part C Emerg. Technol. 2025, 166, 105362. [Google Scholar]
- Guo, S.; Lin, Y.; Li, S. Deep Spatial-Temporal 3D Convolutional Neural Networks for Traffic Data Forecasting. IEEE Trans. Intell. Transp. Syst. 2019, 20, 3913–3926. [Google Scholar] [CrossRef]
- Fu, R.; Zhang, Z.; Li, L. Using LSTM and GRU neural network methods for traffic flow prediction. In Proceedings of the 2016 31st Youth Academic Annual Conference of Chinese Association of Automation (YAC), Hubei, China, 11–13 November 2016. [Google Scholar]
- Bharti, N.; Poonam, R.; Kranti, K. MFOA-Bi-LSTM: An optimized bidirectional long short-term memory model for short-term traffic flow prediction. Phys. A Stat. Mech. Appl. 2024, 634, 129448. [Google Scholar]
- Hu, X.; Liu, W.; Huo, H. An intelligent network traffic prediction method based on Butterworth filter and CNN–LSTM. Comput. Netw. 2024, 240, 110172. [Google Scholar] [CrossRef]
- Liu, L.; Wu, M.; Lv, Q. CCNN-former: Combining convolutional neural network and Transformer for image-based traffic time series prediction. Expert Syst. Appl. 2025, 268, 126146. [Google Scholar]
- Manuel, M.; Mercedes, G.; Manuel, N. Long-term traffic flow forecasting using a hybrid CNN-BiLSTM model. Eng. Appl. Artif. Intell. 2023, 121, 106041. [Google Scholar]
- Narmadha, S.; Vijayakuma, V. Spatio-Temporal vehicle traffic flow prediction using multivariate CNN and LSTM model. Mater. Today Proc. 2023, 81, 826–833. [Google Scholar] [CrossRef]
- Zhou, J.; Cui, G.; Hu, S.; Zhang, Z.; Yang, C.; Liu, Z.; Sun, M. Graph neural networks: A review of methods and applications. AI Open 2020, 1, 57–81. [Google Scholar] [CrossRef]
- Ye, J.; Zhao, J.; Ye, K. How to Build a Graph-Based Deep Learning Architecture in Traffic Domain: A Survey. IEEE Trans. Intell. Transp. Syst. 2022, 23, 3904–3924. [Google Scholar] [CrossRef]
- Wang, Q.; Jiang, H.; Qiu, M. TGAE: Temporal Graph Autoencoder for Travel Forecasting. IEEE Trans. Intell. Transp. Syst. 2023, 24, 8529–8541. [Google Scholar] [CrossRef]
- Ma, Q.; Sun, W.; Gao, J. Spatio-temporal adaptive graph convolutional networks fortraffic flow forecasting. IET Intell. Transp. Syst. 2022, 17, 691–703. [Google Scholar] [CrossRef]
- Ta, X.; Liu, Z.; Hu, X. Adaptive Spatio-temporal Graph Neural Network for trafficforecasting. Knowl.-Based Syst. 2022, 242, 108199. [Google Scholar] [CrossRef]
- Zhang, W.; Zhu, F.; Lv, Y. AdapGL: An adaptive graph learning algorithm for trafficprediction based on spatiotemporal neural networks. Transp. Res. Part C Emerg. Technol. 2022, 139, 103659. [Google Scholar] [CrossRef]
- Agnimitra, S.; Sudeepta, M.; Das, A. A Bayesian approach to quantifying uncertainties and improving generalizability in traffic prediction models. Transp. Res. Part C Emerg. Technol. 2024, 162, 104585. [Google Scholar]
- Huipeng, Z.; Honghui, D.; Zhiqiang, Y. TSGDiff: Traffic state generative diffusion model using multi-source information fusion. Transp. Res. Part C Emerg. Technol. 2025, 174, 105081. [Google Scholar]
- Lighthill, M.; Whitham, G. On kinematic waves. II. A theory of traffic flow on long crowded roads. Proc. R. Soc. A Math. Phys. Sci. 1955, 229, 317–345. [Google Scholar] [CrossRef]
- Richards, P.I. Shock waves on the highway. Oper. Res. 1956, 4, 42–51. [Google Scholar] [CrossRef]
- Daganzo, C. The cell transmission model: A dynamic representation of highway traffic consistent with the hydrodynamic theory. Transp. Res. Part B Methodol. 1994, 28, 269–287. [Google Scholar] [CrossRef]
- Wang, J.; Zou, L.; Zhao, J. Dynamic capacity drop propagation in incident-affected networks: Traffic state modeling with SIS-CTM. Phys. A Stat. Mech. Appl. 2024, 599, 127646. [Google Scholar] [CrossRef]
- Hauke, R.; Kübler, J.; Baumann, M.; Vortisch, P. A Vectorized Formulation of the Cell Transmission Model for Efficient Simulation of Large-Scale Freeway Networks. Procedia Comput. Sci. 2024, 238, 143–150. [Google Scholar] [CrossRef]
- Yao, Z.; Jin, Y.; Jiang, H. CTM-based traffic signal optimization of mixed traffic flow with connected automated vehicles and human-driven vehicles. Phys. A Stat. Mech. Appl. 2022, 596, 127193. [Google Scholar] [CrossRef]
- Mingming, Z.; Hongxin, Y.; Yibing, W. Real-time freeway traffic state estimation for inhomogeneous traffic flow. Phys. A Stat. Mech. Appl. 2024, 607, 128248. [Google Scholar]
- Li, W.; Zhu, T.; Feng, Y. A cooperative perception based adaptive signal control under early deployment of connected and automated vehicles. Transp. Res. Part C Emerg. Technol. 2024, 168, 104630. [Google Scholar] [CrossRef]
- Facundo, S.; Roberta, D.; Bart, D. A traffic responsive control framework for signalized junctions based on hybrid traffic flow representation. J. Intell. Transp. Syst. 2023, 27, 547–562. [Google Scholar]
- Fusco, G.; Colombaroni, C. An integrated method for short-term prediction of road traffic conditions for Intelligent Transportation Systems Applications. In Proceedings of the 7th WSEAS European Computing Conference (ECC ’13), Dubrovnik, Croatia, 25–27 June 2013. [Google Scholar]
- Tak, S.; Kim, S.; Oh, S. Development of a data-driven framework for real-time travel time prediction. Comput. Civ. Infrastruct. Eng. 2016, 31, 717–731. [Google Scholar] [CrossRef]
- Fukuda, S.; Uchida, H.; Fujii, H. Short-term prediction of traffic flow under incident conditions using graph convolutional recurrent neural network and traffic simulation. IET Intell. Transp. Syst. 2020, 14, 217–225. [Google Scholar] [CrossRef]
- Shafiei, S.; Mihăiţă, A.; Nguyen, H. Integrating data-driven and simulation models to predict traffic state affected by road incidents. Transp. Lett. 2022, 14, 120–130. [Google Scholar] [CrossRef]
- Ting, W.; Ye, L.; Rongjun, C. Knowledge-data fusion oriented traffic state estimation: A stochastic physics-informed deep learning approach. Transp. Res. Part C Emerg. Technol. 2026, 180, 106983. [Google Scholar]
- Lei, Y.Z.; Gong, Y.; Chen, D.; Cheng, Y.; Yang, X.T. Reconstructing physics-informed machine learning for traffic flow modeling: A multi-gradient descent and pareto learning approach. Transp. Res. Part C Emerg. Technol. 2025, 173, 105021. [Google Scholar] [CrossRef]
- Carlos, C.; Antonella, F. A variable-length Cell Transmission Model for road traffic systems. Transp. Res. Part C Emerg. Technol. 2018, 95, 180–197. [Google Scholar]
- Liu, S.; He, Q.; Chen, Y. Wavelet and VMD enhanced traffic forecasting and scheduling method for edge cloud networks. Comput. Electr. Eng. 2025, 107, 108427. [Google Scholar] [CrossRef]
- Ilya, A.; Peter, R.; Asger, L. A multivariate realized GARCH model. J. Econom. 2025, 254, 106040. [Google Scholar]
- Ma, C.; Hu, Y.; Xu, X. Hybrid deep learning model with VMD-BiLSTM-GRU networks for short-term traffic flow prediction. Data Sci. Manag. 2025, 8, 257–269. [Google Scholar] [CrossRef]
- Ma, X.; Wu, F.; Yue, J. MSE-TCN: Multi-scale temporal convolutional network with channel attention for open-set gas classification. Microchem. J. 2024, 199, 108360. [Google Scholar] [CrossRef]









| Parameter/Operator | Setting/Value |
|---|---|
| Objective function | Minimize MAE between CTM-simulated and observed speeds |
| Population size | 100 |
| Number of generations | 50 |
| Selection | Tournament selection (tournament size = 3) |
| Crossover | Simulated binary crossover (SBX), probability = 0.9 |
| Mutation | Polynomial mutation, rate = 0.1 |
| Search range () | [50, 70] mph |
| Search range () | [600, 900] veh/5 min |
| Search range () | wave speed [12, 20] mph |
| Short-Term Volatility | Kurtosis Coefficient | Local Range | Abrupt Change Density | Autocorrelation Function |
|---|---|---|---|---|
| 72.2585 | 3.7057 | 862 | 0.0378 | 0.0229 |
| TimeStamp | Station | Total Flow (Veh/5 min) | Avg Occupancy (%) | Avg Speed (Mph) |
|---|---|---|---|---|
| 1 May 2012 0:00 | 716674 | 127 | 2.3 | 69.00 |
| 1 May 2012 0:05 | 716674 | 154 | 2.9 | 69.1 |
| 1 May 2012 0:10 | 716674 | 154 | 2.8 | 68.8 |
| 1 May 2012 0:15 | 716674 | 142 | 2.5 | 70.8 |
| Module | Parameter | Value |
|---|---|---|
| CTM | △t | 30 s |
| 65.5 mph (50–70) | ||
| 15 mph (12–20) | ||
| 750 veh/5 min (600–900) | ||
| LSTM | Learning rate | 0.001 |
| Optimization solver | Adam | |
| LSTM layers | 2 layers with 64 hidden units | |
| Time window size | 12 | |
| Batch size | 64 | |
| Training epochs | 100 | |
| Loss function | MAE | |
| TCN | Learning rate | 0.001 |
| Optimization solver | Adam | |
| TCN layers | 4 | |
| Kernel size | 2 | |
| Dilation Rate | {1, 2, 4, 8} | |
| Time window size | 12 | |
| Batch size | 64 | |
| Training epochs | 100 | |
| Loss function | MAE | |
| Wavelet decomposition | Wavelet Family | db4 |
| Decomposition Level | 3 | |
| Extension Mode | Symmetric | |
| GARCH | Order Parameters | (1, 1) |
| residual distribution assumption | Student’s t |
| Model | MAE | MAPE (%) | RMSE | |
|---|---|---|---|---|
| 1 step | ||||
| CTM | 53.50 | 15.57 | 75.24 | |
| LSTM | 33.80 | 9.89 | 45.42 | |
| TCN | 33.58 | 9.72 | 45.40 | |
| MDURP-LSTM | 31.31 | 8.67 | 44.63 | |
| MDURP-TCN | 31.11 | 8.57 | 44.45 | |
| 3 steps | ||||
| CTM | 78.53 | 16.72 | 95.98 | |
| LSTM | 42.41 | 12.89 | 56.22 | |
| TCN | 41.87 | 12.80 | 55.88 | |
| MDURP-LSTM | 37.86 | 10.66 | 52.02 | |
| MDURP-TCN | 37.97 | 10.58 | 52.07 | |
| 6 steps | ||||
| CTM | 76.89 | 19.78 | 105.49 | |
| LSTM | 45.02 | 13.18 | 59.25 | |
| TCN | 47.09 | 14.01 | 63.59 | |
| MDURP-LSTM | 41.01 | 11.42 | 56.39 | |
| MDURP-TCN | 43.08 | 11.86 | 58.85 | |
| 9 steps | ||||
| CTM | 87.92 | 23.96 | 117.89 | |
| LSTM | 51.19 | 16.94 | 67.71 | |
| TCN | 53.07 | 16.79 | 70.78 | |
| MDURP-LSTM | 47.87 | 13.29 | 66.07 | |
| MDURP-TCN | 49.06 | 13.63 | 67.23 |
Disclaimer/Publisher’s Note: The statements, opinions and data contained in all publications are solely those of the individual author(s) and contributor(s) and not of MDPI and/or the editor(s). MDPI and/or the editor(s) disclaim responsibility for any injury to people or property resulting from any ideas, methods, instructions or products referred to in the content. |
© 2026 by the authors. Licensee MDPI, Basel, Switzerland. This article is an open access article distributed under the terms and conditions of the Creative Commons Attribution (CC BY) license.
Share and Cite
Lv, H.; Lou, X.; Mou, J.; Papageorgiou, M.; Huang, Z.; Zheng, P. A Physics-Constrained Residual Learning Framework for Robust Freeway Traffic Prediction. Sustainability 2026, 18, 3228. https://doi.org/10.3390/su18073228
Lv H, Lou X, Mou J, Papageorgiou M, Huang Z, Zheng P. A Physics-Constrained Residual Learning Framework for Robust Freeway Traffic Prediction. Sustainability. 2026; 18(7):3228. https://doi.org/10.3390/su18073228
Chicago/Turabian StyleLv, Haotao, Xiwen Lou, Jingu Mou, Markos Papageorgiou, Zhengfeng Huang, and Pengjun Zheng. 2026. "A Physics-Constrained Residual Learning Framework for Robust Freeway Traffic Prediction" Sustainability 18, no. 7: 3228. https://doi.org/10.3390/su18073228
APA StyleLv, H., Lou, X., Mou, J., Papageorgiou, M., Huang, Z., & Zheng, P. (2026). A Physics-Constrained Residual Learning Framework for Robust Freeway Traffic Prediction. Sustainability, 18(7), 3228. https://doi.org/10.3390/su18073228

