Evaluating Heap Composting as a Low-Input Alternative to Aerobic Turning for Manure Stabilization
Abstract
1. Introduction
2. Materials and Methods
2.1. Composting Materials
2.2. Composting Experiments and Sample Collection
2.3. Analysis of Composting Physicochemical Properties
2.4. Statistical Analysis
3. Results and Discussion
3.1. Compost Temperature and Oxygen Dynamics
3.2. Carbon Transformation and Humification
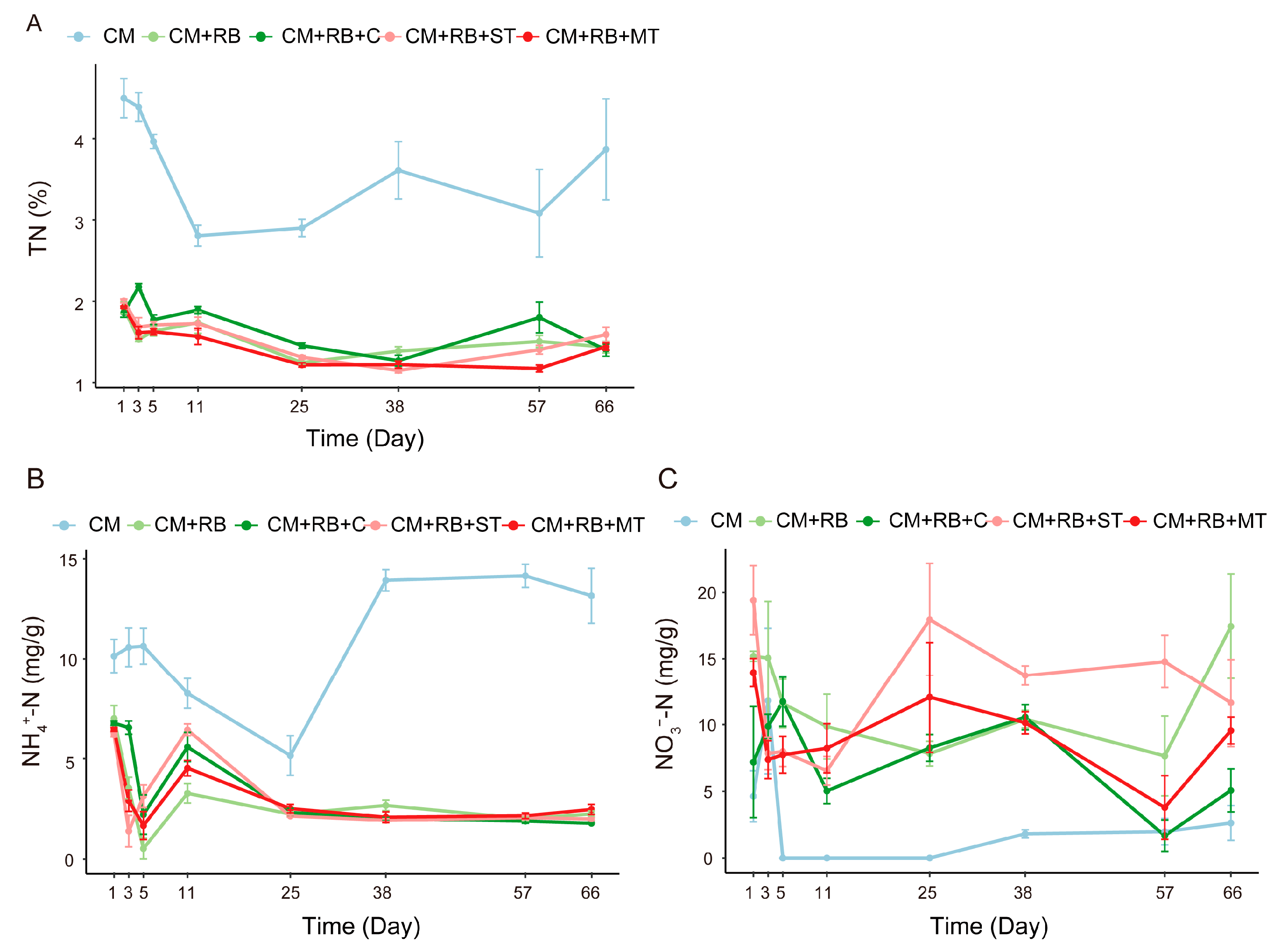
3.3. Nitrogen Transformation
3.4. Compost Maturity
3.5. Integrated Evaluation and Process Trade-Offs
4. Conclusions
Author Contributions
Funding
Institutional Review Board Statement
Informed Consent Statement
Data Availability Statement
Conflicts of Interest
Abbreviations
| TOC | Total organic carbon |
| TN | Total nitrogen |
| EC | Electrical conductivity |
| GI | Germination index |
| NH4+-N | Ammonium nitrogen |
| NO3−-N | Nitrate nitrogen |
| HA | Humic acid |
| FA | Fulvic acid |
References
- Denoncourt, C.; Chantigny, M.H.; Angers, D.A.; Maillard, É.; Halde, C. Animal manure application promotes nitrogen and organic carbon accumulation in soil organic matter fractions: A global meta-analysis. Sci. Total Environ. 2025, 996, 180097. [Google Scholar] [CrossRef]
- Niles, M.T.; Wiltshire, S.; Lombard, J.; Branan, M.; Vuolo, M.; Chintala, R.; Tricarico, J. Manure management strategies are interconnected with complexity across U.S. dairy farms. PLoS ONE 2022, 17, e0267731. [Google Scholar]
- Sefeedpari, P.; Vellinga, T.; Rafiee, S.; Sharifi, M.; Shine, P.; Pishgar-Komleh, S.H. Technical, environmental and cost-benefit assessment of manure management chain: A case study of large scale dairy farming. J. Clean. Prod. 2019, 233, 857–868. [Google Scholar] [CrossRef]
- Wang, F.; Zhao, S.; Sun, Y.; Song, G.; Sun, Y.; Zhao, K.; Liu, R.; Li, Y.-Y. Strategies optimization to improve environmental benefit of chicken manure anaerobic digestion in China: Insight from life cycle assessment. J. Clean. Prod. 2025, 508, 145589. [Google Scholar] [CrossRef]
- Lin, H.; Jiao, H.; Lin, H.; Xu, X. The evolution of policies for the resource utilization of livestock manure in China. Agriculture 2025, 15, 153. [Google Scholar] [CrossRef]
- Ministry of Agriculture and Rural Affairs (MARA). Action Plan for Zero Growth of Fertilizer Use; Ministry of Agriculture and Rural Affairs (MARA): Beijing, China, 2015. (In Chinese)
- General Office of the State Council (GOSC). Guidance of Accelerating the Utilization of Livestock Manure; General Office of the State Council (GOSC): Beijing, China, 2017. (In Chinese) [Google Scholar]
- Wei, S.; Zhu, Z.; Zhao, J.; Chadwick, D.R.; Dong, H. Policies and regulations for promoting manure management for sustainable livestock production in China: A review. Front. Agr. Sci. Eng. 2021, 8, 45–57. [Google Scholar] [CrossRef]
- Goldan, E.; Nedeff, V.; Barsan, N.; Culea, M.; Panainte-Lehadus, M.; Mosnegutu, E.; Tomozei, C.; Chitimus, D.; Irimia, O. Assessment of manure compost used as soil amendment: A review. Processes 2023, 11, 1167. [Google Scholar] [CrossRef]
- Zhang, Z.; Wu, H.; Zhao, Y.; Wu, Y.; Ming, R.; Liu, D.; Qiao, Y.; Xiao, Z.; Ren, J.; Chen, Y.; et al. Biochar effectively reduced N2O emissions during heap composting and NH3 emissions during aerobic composting. Agriculture 2025, 15, 1907. [Google Scholar] [CrossRef]
- Barrington, S.; Choinière, D.; Trigui, M.; Knight, W. Compost convective airflow under passive aeration. Bioresour. Technol. 2003, 86, 259–266. [Google Scholar] [CrossRef]
- Yang, Y.; Wang, J.; Yin, J.; Cui, Z.; Li, G.; Liu, G.; Jiang, J.; Yuan, J. Risk level and removal performance of antibiotic resistance genes and bacterial pathogens in static composting with different temperatures. Bioresour. Technol. 2024, 412, 131420. [Google Scholar] [CrossRef]
- Zhou, H.; Ding, J.; Meng, H.; Zhang, X.; Li, Y. Survey and development analysis of resource utilization technology of livestock and poultry wastes in China. Trans. Chin. Soc. Agric. Eng. 2022, 38, 237–246. (In Chinese) [Google Scholar]
- Chen, X.; Niu, Q.; Li, J.; Zhou, Z.; Wu, Y.; Song, G.; Liu, R. Anaerobic digestion of high-solid chicken manure at different temperature: Intestinal microbiome efficiency, inhibition, and microbial community evolution. Microorganisms 2025, 13, 724. [Google Scholar] [CrossRef] [PubMed]
- Manogaran, M.D.; Shamsuddin, R.; Yusoff, M.H.M.; Lay, M.; Siyal, A.A. A review on treatment processes of chicken manure. Clean. Circ. Bioecon. 2022, 2, 100013. [Google Scholar] [CrossRef]
- Awasthi, M.K.; Pandey, A.K.; Bundela, P.S.; Khan, J. Co-composting of organic fraction of municipal solid waste mixed with different bulking waste: Characterization of physicochemical parameters and microbial enzymatic dynamics. Bioresour. Technol. 2015, 182, 200–207. [Google Scholar] [CrossRef]
- Kazemi, K.; Zhang, B.; Lye, L.M.; Lin, W. Performance of locally available bulking agents in Newfoundland and Labrador during bench-scale municipal solid waste composting. Environ. Syst. Res. 2014, 3, 22. [Google Scholar] [CrossRef]
- Yun, M.; Li, C.; Duan, Y.; Chi, X.; Zhu, X.; Ma, J.; Shen, B.; Feng, S.; Zhang, Z. Classification of bulking agents and their regulations on composting: A review. J. Environ. Chem. Eng. 2025, 13, 117318. [Google Scholar] [CrossRef]
- Sun, X.P.; Lu, P.; Jiang, T.; Schuchardt, F.; Li, G.X. Influence of bulking agents on CH4, N2O, and NH3 emissions during rapid composting of pig manure from the Chinese Ganqinfen system. J. Zhejiang Univ. Sci. B 2014, 15, 353–364. [Google Scholar] [CrossRef]
- Zhang, B.; Fu, T.; Guan, C.-Y.; Cui, S.; Fan, B.; Tan, Y.; Luo, W.; Wei, Q.; Li, G.; Peng, Y. Environmental life cycle assessments of chicken manure compost using tobacco residue, mushroom bran, and biochar as additives. Sustainability 2022, 14, 4976. [Google Scholar] [CrossRef]
- Alarefee, H.A.; Ishak, C.F.; Karam, D.S.; Othman, R. Efficiency of rice husk biochar with poultry litter co-composts in oxisols for improving soil physico-chemical properties and enhancing maize performance. Agronomy 2021, 11, 2409. [Google Scholar] [CrossRef]
- Noor, R.S.; Shah, A.N.; Tahir, M.B.; Umair, M.; Nawaz, M.; Ali, A.; Ercisli, S.; Abdelsalam, N.R.; Ali, H.M.; Yang, S.H.; et al. Recent trends and advances in additive-mediated composting technology for agricultural waste resources: A comprehensive review. ACS Omega 2024, 9, 8632–8653. [Google Scholar] [CrossRef]
- Das, P.P.; Gul, M.Z.; Weber, A.M.; Srivastava, R.K.; Marathi, B.; Ryan, E.P.; Ghazi, I.A. Rice bran extraction and stabilization methods for nutrient and phytochemical biofortification, nutraceutical development, and dietary supplementation. Nutr. Rev. 2025, 83, 692–712. [Google Scholar] [CrossRef] [PubMed]
- Maeda, K.; Morioka, R.; Osada, T. Effect of covering composting piles with mature compost on ammonia emission and microbial community structure of composting process. J. Environ. Qual. 2009, 38, 598–606. [Google Scholar] [CrossRef] [PubMed]
- Ma, Y.; Liu, L.; Zhou, X.; Tian, T.; Xu, S.; Li, D.; Li, C.; Li, Y. Optimizing straw-rotting cultivation for sustainable edible mushroom production: Composting spent mushroom substrate with straw additions. J. Fungi 2023, 9, 925. [Google Scholar] [CrossRef] [PubMed]
- Kong, Y.; Zhang, J.; Yang, Y.; Liu, Y.; Zhang, L.; Wang, G.; Liu, G.; Dang, R.; Li, G.; Yuan, J. Determining the extraction conditions and phytotoxicity threshold for compost maturity evaluation using the seed germination index method. Waste Manag. 2023, 171, 502–511. [Google Scholar] [CrossRef]
- Li, M.-X.; He, X.-S.; Tang, J.; Li, X.; Zhao, R.; Tao, Y.-Q.; Wang, C.; Qiu, Z.-P. Influence of moisture content on chicken manure stabilization during microbial agent-enhanced composting. Chemosphere 2021, 264, 128549. [Google Scholar] [CrossRef]
- Zhou, J.M. The effect of different C/N ratios on the composting of pig manure and edible fungus residue with rice bran. Compost Sci. Util. 2016, 25, 120–129. [Google Scholar] [CrossRef]
- Cook, K.L.; Ritchey, E.L.; Loughrin, J.H.; Haley, M.; Sistani, K.R.; Bolster, C.H. Effect of turning frequency and season on composting materials from swine high-rise facilities. Waste Manag. 2015, 39, 86–95. [Google Scholar] [CrossRef]
- Zhou, J.M. Effect of turning frequency on co-composting pig manure and fungus residue. J. Air Waste Manag. Assoc. 2016, 67, 313–321. [Google Scholar] [CrossRef]
- Haug, R.T. The Practical Handbook of Compost Engineering, 2nd ed.; CRC Press: Boca Raton, FL, USA, 2018. [Google Scholar]
- Wang, K.; Li, W.; Li, X.; Ren, N. Spatial nitrifications of microbial processes during composting of swine, cow and chicken manure. Sci. Rep. 2015, 5, 14932. [Google Scholar] [CrossRef]
- Zhao, B.; Wang, Y.; Sun, H.; Xu, Z. Analysis of humus formation and factors for driving the humification process during composting of different agricultural wastes. Front. Environ. Sci. 2022, 10, 954158. [Google Scholar] [CrossRef]
- Chang, Y.-T.; Lee, C.-H.; Hsieh, C.-Y.; Chen, T.-C.; Jien, S.-H. Using fluorescence spectroscopy to assess compost maturity degree during composting. Agronomy 2023, 13, 1870. [Google Scholar] [CrossRef]
- Nguyen, T.-P.; Koyama, M.; Nakasaki, K. Effect of oxygen deficiency on organic matter decomposition during the early stage of composting. Waste Manag. 2023, 160, 43–50. [Google Scholar] [CrossRef] [PubMed]
- Xie, T.; Zhang, Z.; Yu, Y.; Tian, Y.; Wang, F.; Li, D.; Nan, J.; Feng, Y. Aeration intensity drives dissolved organic matter transformation and humification during composting by regulating the organics metabolic functions of microbiome. Chem. Eng. J. 2023, 476, 146645. [Google Scholar] [CrossRef]
- Zhu, L.; Tan, C.; Wang, X.; Liu, L.; Dong, C.; Qi, Z.; Zhang, M.; Hu, B. Low-intensity alternating ventilation achieves effective humification during food waste composting by enhancing the intensity of microbial interaction and carbon metabolism. Chemosphere 2024, 357, 142099. [Google Scholar] [CrossRef]
- Plachá, D.; Raclavská, H.; Kučerová, M.; Kuchařová, J. Volatile fatty acid evolution in biomass mixture composts prepared in open and closed bioreactors. Waste Manag. 2013, 33, 1104–1112. [Google Scholar] [CrossRef]
- Cáceres, R.; Malinska, K.; Marfà, O. Nitrification within composting: A review. Waste Manag. 2018, 72, 119–137. [Google Scholar] [CrossRef]
- Ma, Q.; Li, Y.; Xue, J.; Cheng, D.; Li, Z. Effects of turning frequency on ammonia emission during the composting of chicken manure and soybean straw. Molecules 2022, 27, 472. [Google Scholar] [CrossRef]
- Nordahl, S.L.; Preble, C.V.; Kirchstetter, T.W.; Scown, C.D. Greenhouse gas and air pollutant emissions from composting. Environ. Sci. Technol. 2023, 57, 2235–2247. [Google Scholar] [CrossRef]
- Ba, S.; Qu, Q.; Zhang, K.; Groot, J.C.J. Meta-analysis of greenhouse gas and ammonia emissions from dairy manure composting. Biosyst. Eng. 2020, 193, 126–137. [Google Scholar] [CrossRef]
- Harrison, B.P.; Gao, S.; Thao, T.; Gonzales, M.L.; Williams, K.L.; Scott, N.; Hale, L.; Ghezzehei, T.; Diaz, G.; Ryals, R.A. Methane and nitrous oxide emissions during biochar-composting are driven by biochar application rate and aggregate formation. GCB Bioenergy 2023, 16, e13121. [Google Scholar] [CrossRef]
- Huang, W.; Sun, X.; Sun, H.; Feng, Y.; Gong, X.; Ma, Y.; Jiang, J.; Xue, L. Effects of biochar and wood vinegar co-application on composting ammonia and nitrous oxide losses and fertility. Bioresour. Technol. 2024, 412, 131388. [Google Scholar] [CrossRef]
- Kong, Y.; Zhang, J.; Zhang, X.; Gao, X.; Yin, J.; Wang, G.; Li, J.; Li, G.; Cui, Z.; Yuan, J. Applicability and limitation of compost maturity evaluation indicators: A review. Chem. Eng. J. 2024, 489, 151386. [Google Scholar] [CrossRef]
- Sossa, E.L.; Agbangba, C.E.; Koura, T.W.; Ayifimi, O.J.; Houssoukpèvi, I.A.; Bouko, N.D.B.; Yalinkpon, F.; Amadji, G.L. Dynamics of co-composting of pineapple harvest and processing residues with poultry litter and compost quality. Sci. Rep. 2024, 14, 17194. [Google Scholar] [CrossRef] [PubMed]
- Zhang, J.; Fan, B.; Zhao, L.; Zhao, C.; Yang, F. Biochar promotes compost humification by regulating bacterial and fungal communities. Front. Microbiol. 2024, 15, 1470930. [Google Scholar] [CrossRef] [PubMed]
- Sayara, T.; Sánchez, A. Gaseous emissions from the composting process: Controlling parameters and strategies of mitigation. Processes 2021, 9, 1844. [Google Scholar] [CrossRef]
- Jamroz, E.; Bekier, J.; Medynska-Juraszek, A.; Kaluza-Haladyn, A.; Cwielag-Piasecka, I.; Bednik, M. The contribution of water extractable forms of plant nutrients to evaluate MSW compost maturity: A case study. Sci. Rep. 2020, 10, 12842. [Google Scholar] [CrossRef]
- Lončarić, Z.; Galić, V.; Nemet, F.; Perić, K.; Galić, L.; Ragályi, P.; Uzinger, N.; Rékási, M. The evaluation of compost maturity and ammonium toxicity using different plant species in a germination test. Agronomy 2024, 14, 2636. [Google Scholar] [CrossRef]
- Xiong, J.; Su, Y.; He, X.; Han, L.; Huang, G. Effects of functional membrane coverings on carbon and nitrogen evolution during aerobic composting: Insight into the succession of bacterial and fungal communities. Bioresour. Technol. 2023, 369, 128463. [Google Scholar] [CrossRef]
- Morales-Vera, R.; Echeverría-Vega, A.; Ríos-Rozas, H.; Barrera-Valenzuela, F.; Mellado-Quintanilla, D.; Piesche, M.; Roa-Roco, R.; Tramon, S. A comparison of static aeration and conventional turning windrow techniques: Physicochemical and microbial dynamics in wine residue composting. Fermentation 2025, 11, 197. [Google Scholar] [CrossRef]
- Assandri, D.; Pampuro, N.; Zara, G.; Bianco, A.; Cavallo, E.; Budroni, M. Co-composting of brewers’ spent grain with animal manures and wheat straw: Influence of two composting strategies on compost quality. Agronomy 2021, 11, 1349. [Google Scholar] [CrossRef]





| pH | Moisture (%) | TOC a (%) | TN a (%) | TP a (%) | TK a (%) | C/N | |
|---|---|---|---|---|---|---|---|
| Chicken manure | 8.47 | 76.78 | 32.58 | 3.21 | 1.34 | 1.90 | 10.15 |
| Rice bran | 8.61 | 10.15 | 52.15 | 0.55 | 0.15 | 0.43 | 94.81 |
| Mature compost | 9.62 | 21.47 | 20.44 | 2.03 | 1.52 | 2.65 | 10.07 |
| Treatment | Chicken Manure | Rice Bran | Surface Covering | Number of Turnings |
|---|---|---|---|---|
| CM | + | − | − | 0 |
| CM+RB | + | + | − | 0 |
| CM+RB+C | + | + | + | 0 |
| CM+RB+ST | + | + | − | 1 |
| CM+RB+MT | + | + | − | 4 |
Disclaimer/Publisher’s Note: The statements, opinions and data contained in all publications are solely those of the individual author(s) and contributor(s) and not of MDPI and/or the editor(s). MDPI and/or the editor(s) disclaim responsibility for any injury to people or property resulting from any ideas, methods, instructions or products referred to in the content. |
© 2026 by the authors. Licensee MDPI, Basel, Switzerland. This article is an open access article distributed under the terms and conditions of the Creative Commons Attribution (CC BY) license.
Share and Cite
Xu, M.; Fan, H.; Zhan, Y.; Xu, J.; Yu, R.; Chen, Y. Evaluating Heap Composting as a Low-Input Alternative to Aerobic Turning for Manure Stabilization. Sustainability 2026, 18, 1622. https://doi.org/10.3390/su18031622
Xu M, Fan H, Zhan Y, Xu J, Yu R, Chen Y. Evaluating Heap Composting as a Low-Input Alternative to Aerobic Turning for Manure Stabilization. Sustainability. 2026; 18(3):1622. https://doi.org/10.3390/su18031622
Chicago/Turabian StyleXu, Min, Hao Fan, Yabin Zhan, Jingang Xu, Ran Yu, and Yunfeng Chen. 2026. "Evaluating Heap Composting as a Low-Input Alternative to Aerobic Turning for Manure Stabilization" Sustainability 18, no. 3: 1622. https://doi.org/10.3390/su18031622
APA StyleXu, M., Fan, H., Zhan, Y., Xu, J., Yu, R., & Chen, Y. (2026). Evaluating Heap Composting as a Low-Input Alternative to Aerobic Turning for Manure Stabilization. Sustainability, 18(3), 1622. https://doi.org/10.3390/su18031622
