Systemic Carbon Lock-In Dynamics and Optimal Sustainable Reduction Pathways for a Just Industrial Transition in South Africa
Abstract
1. Introduction
2. Literature Review
2.1. Energy-Related Emission Accounting
Genetic Algorithms (GAs)
2.2. The Challenge of Sustainable Energy Transitions
2.2.1. The Empirical Theoretical Limits of Green-Growth
2.2.2. The Rebound Effect (Jevons Paradox), Demand-Side Solutions, and the Degrowth Imperative
2.2.3. The Political Economy of Carbon Lock-In and the Post-Growth Imperative
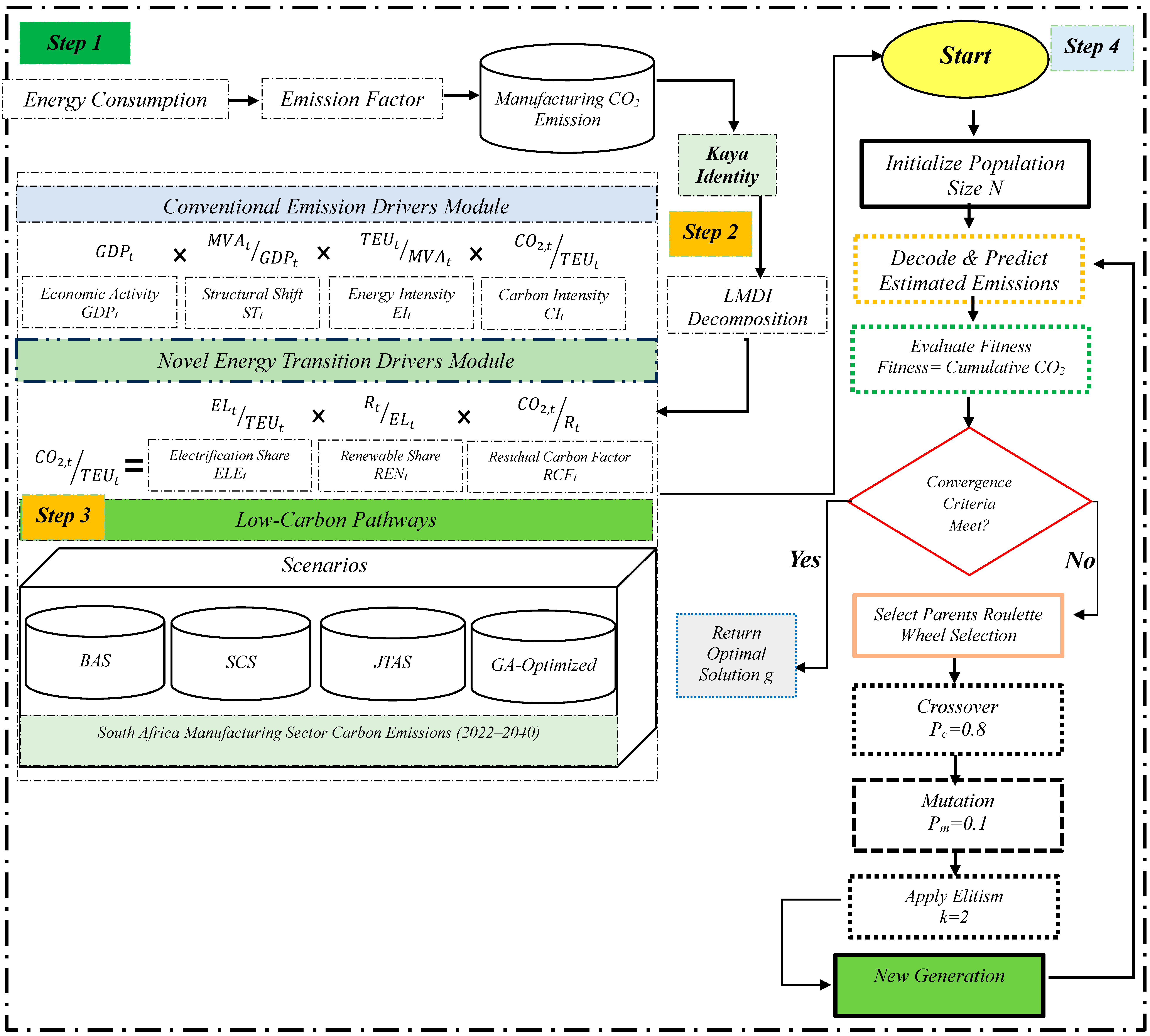
3. Materials and Methods
3.1. Emission Estimation and Formulation of Distinctive Indicators
3.2. CO2 Emissions Projection
3.2.1. Policy Scenario and Parameter Setting
3.2.2. GA-Optimization Scenario
3.2.3. Formulation of Optimal Reduction Trajectory
3.2.4. Optimization Problem
3.2.5. GA Implementation Steps
- Chromosome Encoding: Each candidate solution is a “chromosome” represented by the vector , containing the six growth rates.
- Fitness Function: The fitness of a chromosome is evaluated by computing the negative cumulative emissions:
- Operators and Parameters:
- Selection: Roulette wheel selection, where the probability of selecting chromosome
- Crossover: Arithmetic crossover with probability creates an offspring from two parents :
- Mutation: Uniform mutation with probability per gene replaces with a value drawn uniformly from .
- Elitism: The top solutions are preserved in each generation.
- Population and Termination: A population size of evolves for a maximum of 200 generations, halting early if the best fitness does not improve for 50 generations.
3.2.6. Output and Scenario Comparison
- The cumulative emissions over the projection period;
- The annual emission trajectory;
3.3. Sensitivity Test
3.4. Data Sources
4. Results and Analysis
4.1. Analysis of Energy-Related CO2 Emission Features and Carbon Intensity
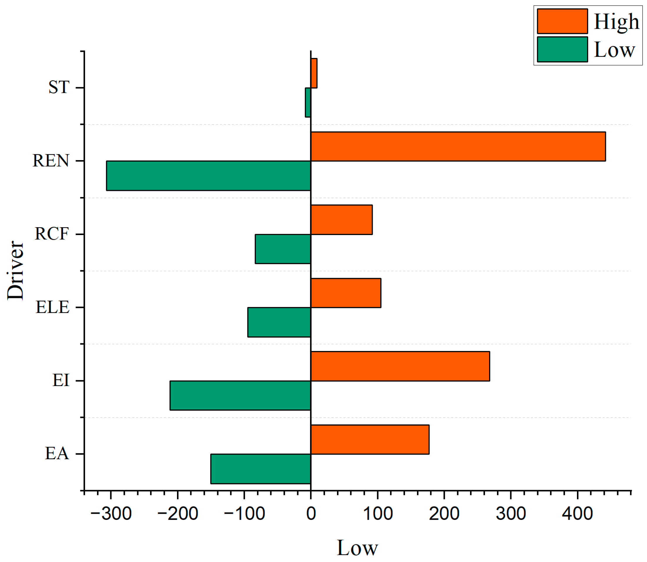
4.2. Additive Decomposition Results of CO2 Emissions Drivers
4.2.1. EA and RCF Effects
4.2.2. EI and REN Effects
4.2.3. ELE and ST Effects
4.3. Scenario Analysis
4.3.1. Baseline (BAS) Scenario
4.3.2. Stagnation and Crisis (SCS) Scenario
4.3.3. Just Transition Accelerated (JTAS) Scenario
4.3.4. Genetic Algorithm Optimization Pathway
4.4. Comparative Analysis
4.4.1. Policy Pathways vs. Mathematical Optimum
4.4.2. Socio-Economic Trade-Offs
4.5. Sensitivity Analysis
4.5.1. Robustness of Decomposition Results Under Renewable Data Uncertainty
4.5.2. Hierarchical Influence of Decarbonization Levers
4.5.3. Evaluation of Policy Intervention Timing
5. Discussion, Key Findings and Their Proposition
5.1. Conclusions and Policy Implications
5.1.1. Conclusions
- From JTAS, it adopts the goal of industrial development but tempers the unrealistically high EA growth to a moderate, sustainable level, reducing the mitigation burden.
- From the GA-optimal pathway, it adopts the imperative of deep decarbonization but achieves it not through contraction, but by channeling political and financial resources toward the core of the problem: aggressive, mandatory action on the RCF.
5.1.2. Policy Recommendations
Mandate Industrial Fuel Switching with Financial De-Risking
Link Grid Investment to Industrial Electrification Through “Green Industrial Hubs”
Implement Differentiated Industrial Policy to Foster Low-Carbon Growth
Supplementary Materials
Author Contributions
Funding
Institutional Review Board Statement
Informed Consent Statement
Data Availability Statement
Acknowledgments
Conflicts of Interest
Abbreviations
| JETP | Just Energy Transition Partnership | REN | Renewable Share |
| LMDI | Logarithmic Mean Divisia Index | EA | Economic Activity |
| GA | Genetic Algorithm | ST | Structural Shift |
| ELE | Electrification Share | BAS | Baseline Scenario |
| JTAS | Just Transition Accelerated Scenario | RCF | Residual Carbon Factor |
| SCS | Stagnation and Crisis Scenario |
Appendix A
Appendix A.1. Contextual Challenges and Model Nomenclature
| Indicator | Value | Implication for JETP |
|---|---|---|
| Sector GDP Contribution | 13% (down from pre-pandemic) | Limited fiscal space for transition |
| Employment Trend | 1.4 million (down from 1.8 m in 2019) | Job preservation concerns paramount |
| Steel Capacity Utilization | 23.5% (February 2022) | Carbon-intensive sectors already distressed |
| Key Constraints | Energy reliability, high costs, skills gaps | Reinforces carbon lock-in without intervention |
| Investment Impact | 8% employment from 10% investment increase | Shows potential with right policy mix |
| Symbol | Description | Unit/Domain |
|---|---|---|
| Time index (a specific year) | Year | |
| Base year for projections and decomposition (2022) | Year | |
| Projection period length (18 years, 2023–2040) | Year | |
| Change in a variable between two periods | - | |
| Logarithmic mean weight function for LMDI | - | |
| i | Index for energy fuel types (coal, petroleum, natural gas, electricity, renewables) | |
| Emission and Energy Variables | ||
| Total emissions from the manufacturing sector | Mt | |
| Total emissions (accounting model) | Mt | |
| Total Energy Use by the Manufacturing Sector | TJ | |
| Total Energy Use of fuel at time | TJ | |
| Emission factor for fuel | t/TJ | |
| Emission factor for grid electricity at time | t/TJ | |
| Kaya-LMDI Drivers (Levels and Changes) | ||
| Economic Activity (Gross Domestic Product, GDP) | ZAR (constant) | |
| Structural Shift (Manufacturing Value Added/GDP) | Dimensionless | |
| Energy Intensity (Total Energy Use/MVA) | TJ/ZAR | |
| Electrification Share (Share of electricity in total final energy) | Dimensionless | |
| Renewable Share (Share of renewables in electricity consumption) | Dimensionless | |
| Residual Carbon Factor (Carbon intensity from direct fossil fuel use) | t/TJ | |
| Contribution of Economic Activity to emission change | Mt | |
| Contribution of Structural Shift to emission change | Mt | |
| Contribution of Energy Intensity to emission change | Mt | |
| Contribution of Electrification Share to emission change | Mt | |
| Contribution of Renewable Share to emission change | Mt | |
| Contribution of the Residual Carbon Factor to emission change | Mt | |
| Scenario Projection Model | ||
| Vector of constant annual driver growth rates | %/year | |
| Annual growth rate of Economic Activity () | %/year | |
| Annual growth rate of Structural Shift () | %/year | |
| Annual growth rate of Energy Intensity () | %/year | |
| Annual growth rate of Electrification Share () | %/year | |
| Annual growth rate of Renewable Share () | %/year | |
| Annual growth rate of Residual Carbon Factor () | %/year | |
| Genetic Algorithm (GA) Optimization | ||
| Optimal vector of growth rates from GA | %/year | |
| Vector of constant annual driver growth rates, | %/year | |
| Objective function (cumulative emissions, 2023–2040) | M | |
| Matrix of time-varying annual growth rates (detailed formulation) | %/year | |
| Lower and upper bound matrices/vectors for growth rates | %/year | |
| GA population size | - | |
| GA crossover probability | - | |
| GA mutation probability (per gene) | - | |
| Fraction of population preserved via elitism (e.g., 0.05) | - | |
| Small positive constants, lower bounds for ST and RCF to avoid undefined math | Dimensionless, t/TJ | |
Appendix A.2. Reconstruction of Pre-2010 Renewable Energy Time Series
- : Reconstructed renewable energy consumption in year t
- : Known renewable energy consumption in the base year 2010 (36,304 TJ, from DMRE, 2023) [41].
- r = 0.1%: is the assumed annual growth rate, selected to reflect the gradual, pre-REIPPPP adoption of renewable energy.
| Year | 2002 | 2003 | 2004 | 2005 | 2006 | 2007 | 2008 | 2009 | 2010 |
|---|---|---|---|---|---|---|---|---|---|
| Renewable Consumption (TJ) | 363,046.75 | 363,046.78 | 363,046.82 | 363,046.85 | 363,046.89 | 363,046.93 | 363,046.96 | 363,047 | 363,047.00 (Actual) |
| Key Findings from This Study | Discussion and Interpretation | Synergy with Related Literature |
|---|---|---|
| The Just Transition Accelerated (JTAS) scenario causes a 469% rise in emissions by 2040. | The rapid economic growth (Δα = 5.0%) and slow fossil fuel phase-out (Δφ = −2.5%) overwhelm the positive contributions from renewables and efficiency. This illustrates the limits of “green growth” in a carbon-intensive system, where absolute decoupling remains unattainable. | Hickel and Kallis [27]; Parrique et al. [26]: These studies provide foundational critiques of green growth, arguing that absolute decoupling is empirically rare and insufficient. This finding offers a rigorous sectoral case study of that phenomenon, reflecting the broader challenge of achieving decarbonization within a growth-oriented framework. |
| The mathematically optimal (GA-optimized) pathway requires deindustrialization ( = −3.41%). | This represents “deindustrialization-led decoupling,” a socio-economically devastating outcome that contradicts the development and justice imperatives of South Africa’s JETP. The model’s suggestion to cut the renewable share ( = −9.25%) indicates that from a pure emissions calculus, direct fossil fuel substitution is a more powerful short-term lever than grid greening. | Keyßer and Lenzen [36]; Jackson [37]: This sectoral result is an analogue to global “degrowth” and “demand-side mitigation” scenarios. It quantifies the potent yet socially painful emissions savings from reducing material throughput. Reference [36] elaborates on the economic models for a ‘post-growth’ challenge, providing the socio-economic theory behind such mathematical findings. |
| Historical volatility was driven by a “fierce interaction” between the REN and RCF effects. | This highlights that the core of the decarbonization challenge lies not in power generation alone, but in industrial process heat. The fierce opposition between RCF and REN quantifies the devastating impact of grid instability: when load-shedding forces reliance on carbon-intensive backup generation, it instantly erases gains from renewable energy investments. This reveals a critical interdependence between the electricity transition and the industrial fuel transition. | This finding empirically confirms that carbon lock-in and regime resistance as theorized by Geels [25] have a precise, measurable variable: the RCF. The volatility of the RCF effect is a numerical signature of the political and economic battles over the future of coal in South Africa’s industrial heartland, demonstrating how power and politics directly shape emission trajectories. |
| The Residual Carbon Factor (RCF) is the dominant and most volatile driver. | The carbon intensity of direct fossil fuel use for process heat represents the critical challenge. Any successful transition strategy must address this factor directly and promptly. | This aligns with the latest IPCC assessment by Creutzig et al. [11], which emphasizes the need for radical technological and demand-side shifts in hard to abate sectors. |
References
- Zhang, Y.J.; Zhang, K.B. The linkage of CO2 emissions for China, EU, and USA: Evidence from the regional and sectoral analyses. Environ. Sci. Pollut. Res. 2018, 25, 20179–20192. [Google Scholar] [CrossRef]
- Wang, Q.; Zhao, M.; Li, R. Decoupling sectoral economic output from carbon emissions on city level: A comparative study of Beijing and Shanghai, China. J. Clean. Prod. 2019, 209, 126–133. [Google Scholar] [CrossRef]
- Winkler, H. South Africa Is Hooked on Fossil Fuels: How It Got Here and How It Can Get Out. The Conversation, 13 November 2022. Available online: https://theconversation.com/south-africa-is-hooked-on-fossil-fuels-how-it-got-here-and-how-it-can-get-out-193750 (accessed on 30 September 2025).
- The Presidency, Republic of South Africa. South Africa’s Just Energy Transition Investment Plan (JET-IP) for the Initial Period 2023–2027; South African Government (SAG): Pretoria, South Africa, 2022.
- Faridzad, A.; Ghadim, M.G. CO2 intensity decomposition analysis in the Netherlands’ manufacturing industry: An application of monetary and physical indicators. Environ. Dev. Sustain. 2023, 25, 8799–8817. [Google Scholar] [CrossRef]
- Inah, O.I.; Abam, F.I.; Nwankwojike, B.N. Exploring the CO2 emissions drivers in the Nigerian manufacturing sector through decomposition analysis and the potential of carbon reduction. Future Bus. J. 2022, 8, 61. [Google Scholar] [CrossRef]
- Abam, F.I.; Inah, O.I.; Nwankwojike, B.N. Impact of asset intensity and other energy-associated CO2 emissions drivers in the Nigerian manufacturing sector: A firm-level decomposition (LMDI) analysis. Heliyon 2024, 10, e28197. [Google Scholar] [CrossRef]
- Liu, J.; Yang, Q.; Zhang, Y.; Sun, W.; Xu, Y. Analysis of CO2 emissions in China’s manufacturing industry based on extended logarithmic mean division index decomposition. Sustainability 2019, 11, 226. [Google Scholar] [CrossRef]
- Zhang, Y.; Zhang, Y.; Zhang, Y.; Gong, C.; Kong, Y. Analysis of the carbon emission driving factors and prediction of a carbon peak scenario: A case study of Xi’an city. Heliyon 2022, 8, e11753. [Google Scholar] [CrossRef]
- Jiang, J.; Zhao, T.; Wang, J. Decoupling analysis and scenario prediction of agricultural CO2 emissions: An empirical analysis of 30 provinces in China. J. Clean. Prod. 2021, 320, 128798. [Google Scholar] [CrossRef]
- Creutzig, F.; Roy, J.; Devine-Wright, P.; Díaz-José, J.; Geels, F.W.; Grubler, A.; Maïzi, N.; Masanet, E.; Mulugetta, Y.; Onyige, C.D.; et al. Demand, services and social aspects of mitigation. In Climate Change 2022: Mitigation of Climate Change. Contribution of Working Group III to the Sixth Assessment Report of the Intergovernmental Panel on Climate Change; Shukla, P.R., Skea, J., Slade, R., Al Khourdajie, A., van Diemen, R., McCollum, D., Pathak, M., Some, S., Vyas, P., Fradera, R., et al., Eds.; Cambridge University Press: Cambridge, UK, 2022; Chapter 7. [Google Scholar]
- Saryazdi, S.M.E.; Etemad, A.; Shafaat, A.; Bahman, A.M. Data-driven performance analysis of a residential building applying artificial neural network (ANN) and multi-objective genetic algorithm (GA). Build. Environ. 2022, 225, 109633. [Google Scholar] [CrossRef]
- Holland, J.H. Adaptation in Natural and Artificial Systems: An Introductory Analysis with Applications to Biology, Control, and Artificial Intelligence; University of Michigan Press: Ann Arbor, MI, USA, 1975. [Google Scholar]
- Schwartz, Y.; Raslan, R.; Mumovic, D. Implementing multi-objective genetic algorithm for life cycle carbon footprint and life cycle cost minimisation: A building refurbishment case study. Energy 2016, 97, 58–68. [Google Scholar] [CrossRef]
- Demir, A.S. Modeling and forecasting of CO2 emissions resulting from air transport with genetic algorithms: The United Kingdom case. Theor. Appl. Climatol. 2022, 150, 777–785. [Google Scholar] [CrossRef] [PubMed]
- Konak, A.; Coit, D.W.; Smith, A.E. Multi-objective optimization using genetic algorithms: A tutorial. Reliab. Eng. Syst. Saf. 2006, 91, 992–1007. [Google Scholar] [CrossRef]
- Fadaee, M.; Radzi, M.A.M. Multi-objective optimization of a stand-alone hybrid renewable energy system by using evolutionary algorithms: A review. Renew. Sustain. Energy Rev. 2012, 16, 3364–3369. [Google Scholar] [CrossRef]
- Kana, K.; Mativenga, P.; Marnewick, A. Understanding energy use in the South African manufacturing industry. Procedia CIRP 2020, 91, 445–451. [Google Scholar] [CrossRef]
- Inglesi-Lotz, R.; Pouris, A. Energy efficiency in South Africa: A decomposition exercise. Energy 2012, 42, 113–120. [Google Scholar] [CrossRef]
- Olanrewaju, O.A. Energy consumption in South African industry: A decomposition analysis using the LMDI approach. Energy Environ. 2018, 29, 180–199. [Google Scholar] [CrossRef]
- Zhang, M.; Dai, S.; Song, Y. Decomposition analysis of energy-related CO2 emissions in South Africa. J. Energy S. Afr. 2015, 26, 67–73. Available online: http://www.scielo.org.za/scielo.php?script=sci_arttext&pid=S1021-447X2015000100008 (accessed on 30 September 2025). [CrossRef][Green Version]
- Lin, S.J.; Beidari, M.; Lewis, C. Energy consumption trends and decoupling effects between carbon dioxide and gross domestic product in South Africa. Aerosol Air Qual. Res. 2015, 15, 2676–2687. [Google Scholar] [CrossRef]
- Beidari, M.; Lin, S.-J.; Lewis, C. Decomposition analysis of CO2 emissions from coal-sourced electricity production in South Africa. Aerosol Air Qual. Res. 2017, 17, 1043–1051. [Google Scholar] [CrossRef]
- Inglesi-Lotz, R. Decomposing the South African CO2 emissions within a BRICS countries context: Signalling potential energy rebound effects. Energy 2018, 147, 648–654. [Google Scholar] [CrossRef]
- Geels, F.W. Regime Resistance against Low-Carbon Transitions: Introducing Politics and Power into the multi-level perspective. Theory Cult. Soc. 2014, 31, 21–40. [Google Scholar] [CrossRef]
- Parrique, T.; Barth, J.; Briens, F.; Kerschner, C.; Kraus-Polk, A.; Kuokkanen, A.; Spangenberg, J.H. Decoupling Debunked: Evidence and Arguments Against Green Growth as a Sole Strategy for Sustainability; European Environmental Bureau: Bruxelles, Belgium, 2019; Available online: https://eeb.org/decoupling-debunked (accessed on 30 September 2025).
- Hickel, J.; Kallis, G. Is green growth possible? New Political Econ. 2019, 25, 469–486. [Google Scholar] [CrossRef]
- Creutzig, F.; Roy, J.; Lamb, W.F.; Azevedo, I.M.L.; Bruine de Bruin, W.; Dalkmann, H.; Edelenbosch, O.Y.; Geels, F.W.; Grübler, A.; Hepburn, C.; et al. Towards demand-side solutions for mitigating climate change. Nat. Clim. Chang. 2018, 8, 260–263. [Google Scholar] [CrossRef]
- Sun, W.; Liu, M. Prediction and analysis of the three major industries and residential consumption CO2 emissions based on least squares support vector machine in China. J. Clean. Prod. 2016, 122, 144–153. [Google Scholar] [CrossRef]
- Shao, F.; Qu, X.; Xi, Y. Carbon emissions and the environmental Kuznets curve factors in Shaanxi province—An empirical analysis based on 1978–2008. J. Arid Land Resour. Environ. 2012, 26, 37–43. [Google Scholar]
- Li, B. Beijing Integrated Assessment Model for Low-Carbon Energy and 2030 Energy Strategy; Beijing University of Technology: Beijing, China, 2014. [Google Scholar]
- Sovacool, B.K. How long will it take? Conceptualizing the temporal dynamics of energy transitions. Energy Res. Soc. Sci. 2016, 13, 202–215. [Google Scholar] [CrossRef]
- Meadowcroft, J. Engaging with the politics of sustainability transitions. Environ. Innov. Soc. Transit. 2011, 1, 70–75. [Google Scholar] [CrossRef]
- Ward, J.D.; Sutton, P.C.; Werner, A.D.; Costanza, R.; Mohr, S.H.; Simmons, C.T. Is decoupling GDP growth from environmental impact possible? PLoS ONE 2016, 11, e0164733. [Google Scholar] [CrossRef]
- Haberl, H.; Wiedenhofer, D.; Virág, D.; Kalt, G.; Plank, B.; Brockway, P.; Fishman, T.; Hausknost, D.; Krausmann, F.; Leon-Gruchalski, B.; et al. A systematic review of the evidence on decoupling of GDP, resource use and GHG emissions, part II: Synthesizing the insights. Environ. Res. Lett. 2020, 15, 065003. [Google Scholar] [CrossRef]
- Keyßer, L.T.; Lenzen, M. 1.5 °C degrowth scenarios suggest the need for new mitigation pathways. Nat. Commun. 2021, 12, 2676. [Google Scholar] [CrossRef]
- Jackson, T. The post-growth challenge: Secular stagnation, inequality and the limits to growth. Ecol. Econ. 2019, 156, 236–246. [Google Scholar] [CrossRef]
- Qi, Y.; Stern, N.; He, J.K.; Lu, J.Q.; Liu, T.L.; King, D.; Wu, T. The policy-driven peak and reduction of China’s carbon emissions. Adv. Clim. Chang. Res. 2020, 11, 65–71. [Google Scholar] [CrossRef]
- Brauers, H.; Oei, P.Y. The political economy of coal in Poland: Drivers and barriers for a shift away from fossil fuels. Energy Policy 2020, 144, 111621. [Google Scholar] [CrossRef]
- IPCC. 2006 IPCC Guidelines for National Greenhouse Gas Inventories; IGES for the IPCC: Hayama, Japan, 2006; Available online: https://www.ipcc-nggip.iges.or.jp/public/2006gl/ (accessed on 30 September 2025).
- Department of Mineral Resources and Energy (DMRE). South African Energy Balances 2002–2023; South African Government: Pretoria, South Africa, 2023.
- Kaya, Y. Impact of Carbon Dioxide Emission Control on GNP Growth: Interpretation of Proposed Scenarios; IPCC Energy and Industry Subgroup, Response Strategies Working Group: Paris, France, 1990. [Google Scholar]
- Inah, O.; Abam, F.; Mbohwa, C. Decarbonization strategies in Nigeria’s industrial firms: Analysis of emissions trends and drivers using LMDI decomposition, ARIMA forecasting, and decay models. Environ. Sci. Pollut. Res. 2025. [Google Scholar] [CrossRef]
- International Energy Agency (IEA). South Africa Energy Policy Review; IEA: Paris, France, 2021; Available online: https://www.iea.org/countries/south-africa (accessed on 1 September 2025).
- Eskom. Eskom and the Just Energy Transition: Discussion Document; Eskom: Johannesburg, South Africa, 2021; Available online: https://cer.org.za/wp-content/uploads/2023/02/Annexure-F-Eskom-and-JET-discussion-document-Aug-2021-1.pdf (accessed on 1 September 2025).
- Council for Scientific and Industrial Research (CSIR). Least Cost Electricity Mix for South Africa; CSIR: Pretoria, South Africa, 2022; Available online: https://www.csir.co.za/csir-releases-statistics-on-power-generation-south-africa-2022 (accessed on 1 September 2025).
- Department of Science and Innovation (DSI). South Africa Hydrogen Society Roadmap; DSI: Pretoria, South Africa, 2021. Available online: https://www.dsti.gov.za/images/South_African_Hydrogen_Society_RoadmapV1.pdf (accessed on 1 September 2025).
- Haupt, S.E. Environmental Optimization: Applications of Genetic Algorithms. In Artificial Intelligence Methods in the Environmental Sciences; Haupt, S.E., Pasini, A., Marzban, C., Eds.; Springer: Dordrecht, The Netherlands, 2009; pp. 259–276. [Google Scholar] [CrossRef]
- R Core Team. R: A Language and Environment for Statistical Computing; R Foundation for Statistical Computing: Vienna, Austria, 2023; Available online: https://www.R-project.org/ (accessed on 1 September 2025).
- Statistics South Africa (StatsSA). Gross Domestic Product (GDP) Time Series; StatsSA: Pretoria, South Africa, 2023. [Google Scholar]
- Department of Mineral Resources and Energy (DMRE). Integrated Resource Plan 2019; DMRE: Pretoria, South Africa, 2019. Available online: https://www.dmre.gov.za/Portals/0/Energy_Website/IRP/2019/IRP-2019.pdf (accessed on 1 September 2025).
- Ang, B.W.; Liu, N. Handling Zero Values in the Logarithmic Mean Divisia Index Decomposition Approach. Energy Policy 2007, 35, 238–246. [Google Scholar] [CrossRef]
- Black, A.; Craig, S.; Dunne, P. Capital Intensity, Employment and Sustainability in the South African Manufacturing Sector. In Proceedings of the TIPS Annual Forum 2017, Pretoria, South Africa, 13–14 June 2017; University of Cape Town: Cape Town, South Africa, 2017. [Google Scholar]
- Mtshali, N.; Eberhard, A.; Walwyn, D.R.; Winkler, H.; Kruger, W. South Africa’s Power Crisis: Five Essential Reads. The Conversation, 15 July 2022. [Google Scholar] [CrossRef]
- Baker, L.; Wlokas, H.L. South Africa’s Renewable Energy Procurement: A New Frontier? Energy Research Centre, University of Cape Town: Cape Town, South Africa, 2015. [Google Scholar]
- Hickel, J. Less Is More: How Degrowth Will Save the World; William Heinemann: London, UK, 2020. [Google Scholar]
- Pan-African Investment & Research Services. Revitalising SA’s Manufacturing Sector. Commissioned by Proudly South African, 2022. Available online: https://proudlysa.co.za/wp-content/uploads/2023/11/Revitalising-SAs-Manufacturing-Sector-2022-Final.pdf (accessed on 13 November 2025).
- Brauers, H.; Oei, P.Y.; Walk, P. Comparing Coal Phase-Out Pathways: The United Kingdom’s and Germany’s Diverging Transitions. Environ. Innov. Soc. Transit. 2020, 37, 238–253. [Google Scholar] [CrossRef] [PubMed]
- Sorrell, S. Jevons’ Paradox Revisited: The Evidence for Backfire from Improved Energy Efficiency. Energy Policy 2009, 37, 1456–1469. [Google Scholar] [CrossRef]
- Xaba, N. Evaluating the implementation of South Africa’s just energy transition in coal regions. Wiley Interdiscip. Rev. Energy Environ. 2025, 14, e70009. [Google Scholar] [CrossRef]
- Phalatse, S. Eskom: Historical Background to Its Current Crises; Institute for Economic Justice Working Paper Series, No. 4; Institute for Economic Justice: Johannesburg, South Africa, 2020. [Google Scholar]










| Author | Region/Sector | Method | Data Span | Key Findings and Suggestions |
|---|---|---|---|---|
| Kana et al. [18] | South Africa/ Manufacturing | Index decomposition analysis (IDA) and historical trends analysis | 1999–2015 | Highlighted energy consumption patterns in the manufacturing sector; identified process inefficiencies and opportunities for targeted energy savings |
| Inglesi-Lotz [19] | South Africa/ National level | LMDI decomposition | 1990–2014 | Decomposed CO2 emissions in a BRICS context; noted potential rebound effects and emphasized the importance of energy efficiency in mitigating emissions |
| Olanrewaju [20] | South Africa/ Industrial | LMDI decomposition | 1970–2016 | Activity significantly promoted industrial energy consumption increase and emphasized the role of energy efficiency and structural changes in reducing emissions. |
| Zhang et al. [21] | South Africa | LMDI decomposition | 1993–2011 | Identified energy intensity and structural factors as key drivers of CO2 emissions. |
| Lin et al. [22] | South Africa | OECD decoupling + Kaya identity | 1990–2012 | South Africa achieved weak to strong decoupling of CO2 emissions from economic growth, with energy efficiency and renewable energy adoption identified as critical drivers |
| Beidari et al. [23] | South Africa | LMDI | 1990–2013 | Improvement of the efficiency of existing electricity power generation plants and expanding more of their renewable energy sources (nuclear included). |
| Inglesi-Lotz and Pouris [24] | South Africa | Index decomposition analysis (IDA) and historical trends analysis | 1993–2006 | The energy intensity of energy use has contributed to the declining trend in energy efficiency. The need to implement differentiated pricing policies to support a more effective energy efficiency strategy is crucial |
| Energy Source | Emission Factor | Carbon Content (kg CO2/TJ) | Conversion Factor (tCO2/TJ) |
|---|---|---|---|
| Coal | 2.2988 kgCO2/kg | 94,600.82 | 94.601 |
| Petroleum | 2.2637 kgCO2/L | 66,190.06 | 66.190 |
| Natural Gas | 2.0086 kgCO2/m3 | 48,990.24 | 48.990 |
| Electricity (purchased) | 0.9264 kgCO2/kWh | 257,333.33 | 257.333 |
| Renewables | 0 | 0.0 | Neutral |
| Notation | Driver | Structure | Definition |
|---|---|---|---|
| Ct | CO2 emissions | CO2 | Total CO2 emissions from manufacturing |
| EA | Economic activity | The scale of the overall economy | |
| ST | Structural shift | The economic importance of the manufacturing sector relative to the whole economy | |
| EI | Energy intensity | The energy required per unit of manufacturing value added | |
| ELE | Electrification share | The proportion of total energy used by purchased electricity. | |
| REN | Renewable share | The proportion of electricity consumption derived from renewable sources | |
| RCF | Residual CO2 factor | The proportion of the energy system’s carbon intensity that remains unaffected by electrification and renewable integration. Practically, it reflects the combined carbon intensity of non-renewable electricity and direct fossil fuel combustion in industrial processes, capturing the residual emissions not yet addressed by decarbonization efforts. |
| Statistic | Emissions (MtCO2) | EA (GDP) | ST (MVA/GDP) | EI (TEU/MVA) | ELE (Share) | REN (Share) | RCF (tCO2/TJ) |
|---|---|---|---|---|---|---|---|
| GA-Optimized | |||||||
| Mean | 70.700 | 682,900 | 0.096 | 1.520 | 0.326 | 0.118 | 0.002 |
| St. Dev. | 47.800 | 108,200 | 0.018 | 0.500 | 0.015 | 0.054 | 0.000 |
| Minimum | 15.400 | 538,426 | 0.067 | 0.760 | 0.303 | 0.039 | 0.002 |
| Maximum | 146.100 | 877,646 | 0.122 | 2.190 | 0.349 | 0.204 | 0.002 |
| 2040 Value | 15.400 | 877,646 | 0.067 | 0.760 | 0.349 | 0.039 | 0.002 |
| BAS | |||||||
| Mean | 169.100 | 772,500 | 0.108 | 1.570 | 0.300 | 0.133 | 0.004 |
| St. Dev. | 1.400 | 168,400 | 0.012 | 0.400 | 0.000 | 0.048 | 0.002 |
| Minimum | 167.000 | 544,412 | 0.089 | 1.020 | 0.300 | 0.067 | 0.002 |
| Maximum | 171.100 | 1,070,909 | 0.123 | 2.220 | 0.300 | 0.210 | 0.008 |
| 2040 Value | 171.100 | 1,070,909 | 0.089 | 1.020 | 0.300 | 0.067 | 0.008 |
| SCS | |||||||
| Mean | 97.200 | 610,200 | 0.095 | 1.870 | 0.300 | 0.104 | 0.003 |
| St. Dev. | 38.100 | 48,600 | 0.017 | 0.240 | 0.000 | 0.048 | 0.001 |
| Minimum | 44.000 | 531,019 | 0.066 | 1.540 | 0.300 | 0.034 | 0.002 |
| Maximum | 154.900 | 683,963 | 0.121 | 2.270 | 0.300 | 0.202 | 0.004 |
| 2040 Value | 44.000 | 683,963 | 0.066 | 1.540 | 0.300 | 0.034 | 0.004 |
| JTAS | |||||||
| Mean | 391.500 | 832,900 | 0.123 | 1.420 | 0.390 | 0.698 | 0.002 |
| St. Dev. | 165.300 | 239,500 | 0.001 | 0.480 | 0.062 | 0.327 | 0.000 |
| Minimum | 184.200 | 549,330 | 0.121 | 0.690 | 0.310 | 0.252 | 0.001 |
| Maximum | 608.400 | 1,259,073 | 0.126 | 2.180 | 0.512 | 1.000 | 0.002 |
| 2040 Value | 574.900 | 1,259,073 | 0.120 | 0.690 | 0.512 | 1.000 | 0.001 |
| Driver | BAS (2002–2022) (%) | SCS (2022–2040) (%) | JTAS (2022–2040) (%) | Key Data Source and Rationale for JTAS |
|---|---|---|---|---|
| EA (Δα) | 4.06 | 1.5 | 5.0 | JET-IP target of green investment-led manufacturing growth, [4]. |
| ST (Δβ) | −1.93 | −3.5 | −0.25 | JET-IP: Policy-driven stabilization and green reindustrialization, [41]. |
| EI (Δγ) | −4.50 | −2.25 | −6.5 | Aggressive efficiency gains from mandated BAT adoption, [44]. |
| ELE (Δδ) | 0.00 | 0.00 | 3.0 | Strategic push for productive electrification of industrial processes [45]. |
| REN (Δ) | −6.54 | −10.0 | 12.0 | Accelerated deployment aligned with the least-cost capacity expansion plans, [46]. |
| RCF (Δ) | 7.82 | 4.00 | −2.5 | Fuel switching mandated by climate policy and supported by green H2/biomass roadmaps [47]. |
| Scenario | Baseline 2022 (MtCO2) | Target Year 2040 (MtCO2) | Change from Baseline (%) | Cumulative Emissions (2023–2040) (MtCO2) |
|---|---|---|---|---|
| BAS | 166.81 | 120.47 | −27.78 | 2539.88 |
| JTAS | 166.81 | 950.05 | 469.54 | 8502.02 |
| SCS | 166.81 | 23.18 | −86.10 | 1239.54 |
| GA-Optimized | 166.81 | 15.36 | −90.79 | 1068.9 |
| JTAS under GA-Optimized | 166.81 | 574.87 | −70.98 | 7603.50 |
| Driver | Variable | GA-Optimized Growth Rate (gx) (Annual) | Policy Scenario Bounds (%) |
|---|---|---|---|
| Economic Activity (EA) | 2.15% | SCS: 1.5 to JTAS: 5.0 | |
| Structural Shift (ST) | −3.41% | SCS: −3.5 to JTAS: −0.25 | |
| Energy Intensity (EI) | −6.04% | SCS: −2.25 to JTAS: −6.5 | |
| Electrification Share (ELE) | 0.82% | SCS: 0.0% to JTAS: 3.0 | |
| Renewable Share (REN) | −9.25% | SCS: −10.0 to JTAS: 12.0 | |
| Residual Carbon Factor (RCF) | −1.01% | SCS: 4.0 to JTAS: −2.5 |
| Period | Description | EA | ST | EI | ELE | REN | RCF | Total CO2 Change |
|---|---|---|---|---|---|---|---|---|
| 2002–2022 | r = 0.001 | 187.54 | −64.58 | −141.81 | −1.59 | −202.23 | 224.07 | 1.40 |
| 2002–2022 | r = 0.002 | 187.54 | −64.58 | −141.81 | −1.59 | −202.23 | 203.82 | 1.40 |
| 2010–2022 | REIPPPP | 142.23 | −45.20 | −113.78 | −7.20 | −198.72 | 226.18 | 3.51 |
| Driver | Emission Range (MtCO2) | Key Interpretation |
|---|---|---|
| REN | 748.23 | The most potent lever. Grid decarbonization is the paramount external factor. |
| EI | 479.71 | A critical internal lever; efficiency gains are a non-negotiable prerequisite. |
| EA | 327.07 | Confirms economic growth as a fundamental, upward pressure on emissions. |
| RCF | 175.60 | Highlights the critical barrier of fossil fuel lock-in in industrial process heat. |
| ELE | 199.54 | Efficacy is conditional and contingent on a decarbonized grid (REN). |
| ST | 17.14 | A weak lever; broad structural change is ineffective for short-term decarbonization. |
| Scenario | 2040 Emissions (MtCO2) | Core Intervention |
|---|---|---|
| Enhanced Renewables and Efficiency | 1115.1 | 25% increase in REN and EI rates from 2023. |
| Maximum Feasible Intervention | 1024.0 | Aggressively improved rates for EI, ELE, REN, and RCF. |
| Delayed Enhanced Intervention | 1002.2 | 25% increase in REN and EI rates from 2035. |
| JTAS (Baseline) | 950.1 | Ambitious policy based on current NDC ambitions. |
| Metric | Value | Key Interpretation |
|---|---|---|
| Avoided Emissions | −112.97 MtCO2 | The delayed intervention results in lower emissions than the Early intervention. |
| Avoided Percent | −11.27% | Early action with a flawed strategy is more detrimental than a delayed version of the same strategy. |
Disclaimer/Publisher’s Note: The statements, opinions and data contained in all publications are solely those of the individual author(s) and contributor(s) and not of MDPI and/or the editor(s). MDPI and/or the editor(s) disclaim responsibility for any injury to people or property resulting from any ideas, methods, instructions or products referred to in the content. |
© 2026 by the authors. Licensee MDPI, Basel, Switzerland. This article is an open access article distributed under the terms and conditions of the Creative Commons Attribution (CC BY) license.
Share and Cite
Inah, O.I.; Sotenga, P.Z.; Akuru, U.B. Systemic Carbon Lock-In Dynamics and Optimal Sustainable Reduction Pathways for a Just Industrial Transition in South Africa. Sustainability 2026, 18, 956. https://doi.org/10.3390/su18020956
Inah OI, Sotenga PZ, Akuru UB. Systemic Carbon Lock-In Dynamics and Optimal Sustainable Reduction Pathways for a Just Industrial Transition in South Africa. Sustainability. 2026; 18(2):956. https://doi.org/10.3390/su18020956
Chicago/Turabian StyleInah, Oliver Ibor, Prosper Zanu Sotenga, and Udochukwu Bola Akuru. 2026. "Systemic Carbon Lock-In Dynamics and Optimal Sustainable Reduction Pathways for a Just Industrial Transition in South Africa" Sustainability 18, no. 2: 956. https://doi.org/10.3390/su18020956
APA StyleInah, O. I., Sotenga, P. Z., & Akuru, U. B. (2026). Systemic Carbon Lock-In Dynamics and Optimal Sustainable Reduction Pathways for a Just Industrial Transition in South Africa. Sustainability, 18(2), 956. https://doi.org/10.3390/su18020956

