The Dynamics Between Green Innovation and Environmental Quality in the UAE: New Evidence from Wavelet Correlation Methods
Abstract
1. Introduction
2. Literature Review
2.1. GI and EQ
2.2. FG and EQ
2.3. GDP and EQ
2.4. FDI and EQ
2.5. Gap in the Literature
3. Data and Methodology
3.1. Data
3.2. WQR and WQC
4. Results and Discussions
4.1. Descriptive Statistics
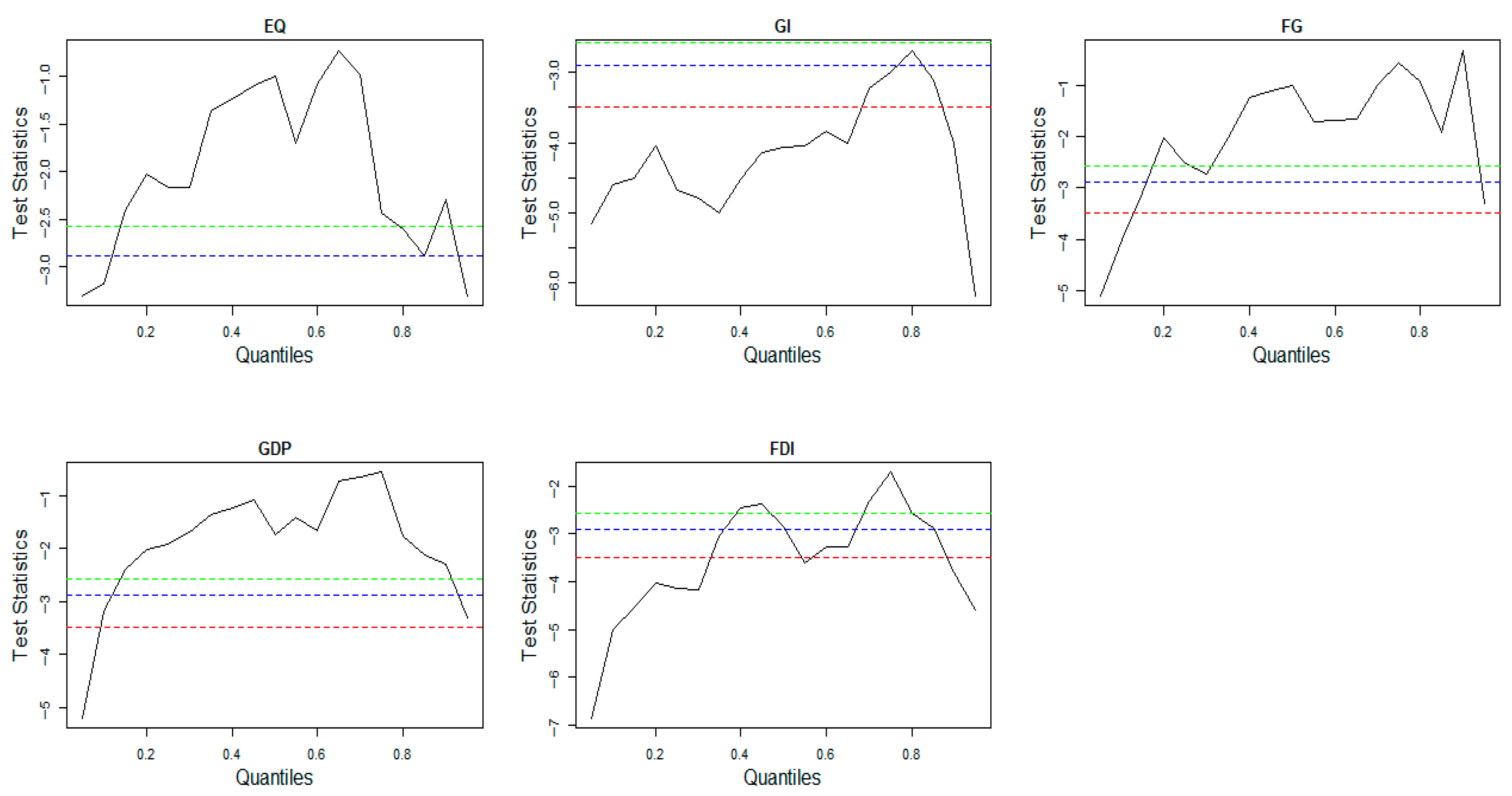
4.2. QADF Unit Root Test
4.3. Non-Linearity Test
4.4. Wavelet Quantile Regression (WQR)
4.5. Wavelet Quantile Correlation (WQC)
4.6. QQGC
4.7. Discussion
4.8. Policy Recommendations
- The UAE is on the right track regarding its green investments and towards its SDGs. For GI to continuously drive EQ, more spending on Research and Development (R&D) is needed. Additionally, the UAE government and other stakeholders ought to promote a system of green finance, prioritize green initiatives during approval processes, and expedite the application process for environmentally conscious, low-carbon, and green enterprises;
- It is irrational to suggest that the UAE government pass legislation to slow the growth of the economy because economic growth hurts its environment. As a result, the UAE should examine its national growth strategy from a green growth perspective. Green growth is simply growth that occurs without or with reduced environmental degradation. To achieve this, the UAE should promote ecologically friendly production and consumption practices by reducing its dependency on fossil fuels and increasing its use of renewable resources;
- Regarding the FDI and EQ nexus, enforcing strict ecological norms and laws pertaining to foreign investments should be a top priority for the UAE policymakers. This means that to support investment, it is necessary to require adherence to emission reduction targets, clean industrial methods, and eco-friendly programs. Establishing policies and procedures to help investors prioritize and assess projects according to their environmental impact is also crucial;
- Lastly, in addition to FG being one of the major drivers of FDI, the UAE will need to adopt a stringent green financial regulation. Under this policy, all internationally integrated financial institutions doing business in the United Arab Emirates would have to reveal and stress-test their portfolios against climate-related risks. Additionally, a mandatory portion of foreign capital flows would have to go toward approved green and sustainable projects in the UAE’s economy. This will bring global capital into line with national sustainability objectives, like the UAE’s 2050 net-zero objective.
5. Conclusions and Future Research Suggestions
Author Contributions
Funding
Institutional Review Board Statement
Informed Consent Statement
Data Availability Statement
Conflicts of Interest
References
- Farooq, U.; Gillani, S.; Subhani, B.H.; Shafiq, M.N. Economic Policy Uncertainty and Environmental Degradation: The Moderating Role of Political Stability. Environ. Sci. Pollut. Res. 2022, 30, 18785–18797. [Google Scholar] [CrossRef]
- Guo, J.; Zhou, Y.; Ali, S.; Shahzad, U.; Cui, L. Exploring the Role of Green Innovation and Investment in Energy for Environmental Quality: An Empirical Appraisal from Provincial Data of China. J. Environ. Manag. 2021, 292, 112779. [Google Scholar] [CrossRef]
- Rihal, J.; Alzubi, A.; Aljuhmani, H.Y.; Berberoğlu, A. From Ethics to Ecology: How Ethical Leadership Drives Environmental Performance through Green Organizational Identity and Culture. PLoS ONE 2025, 20, e0336608. [Google Scholar] [CrossRef]
- Kirikkaleli, D.; Sowah, J.K.; Addai, K.; Altuntaş, M. Energy Productivity and Environmental Quality in Sweden: Evidence from Fourier and Non-linear Based Approaches. Geol. J. 2023, 58, 3452–3465. [Google Scholar] [CrossRef]
- Kumar, P.; Fatima, N.; Khan, M.K.; Alnafisah, H. Deciphering the Drivers of CO2 Emissions in Haryana: A Comprehensive Analysis from 2005 to 2023. Front. Environ. Sci. 2025, 13, 1391418. [Google Scholar] [CrossRef]
- Akash, M.A.; Riaz, M.H.; Uddin, M.N.; Ridwan, M.; Akinpelu, A.A.; Akter, R. Analyzing the Drivers of Ecological Footprint Toward Sustainability in BRICS+. Environ. Innov. Mgmt. 2025, 1, 2550017. [Google Scholar] [CrossRef]
- Waaje, A.; Roshid, M.M.; Islam, S.; Chandra Bhowmik, R.; Rahaman, M.A.; Hassan, M.M. Tourism, Trade, Energy, and Economic Development: Drivers of Ecological Footprint in the World’s Top Tourist Destinations. Innov. Green Dev. 2025, 4, 100249. [Google Scholar] [CrossRef]
- Raihan, A.; Rashid, M.; Voumik, L.C.; Akter, S.; Esquivias, M.A. The Dynamic Impacts of Economic Growth, Financial Globalization, Fossil Fuel, Renewable Energy, and Urbanization on Load Capacity Factor in Mexico. Sustainability 2023, 15, 13462. [Google Scholar] [CrossRef]
- Somoye, O.A.; Akinwande, T.S.; Mar’I, M.; Ozdeser, H. The Determinants of Load Capacity Factor: Evidence from GCC Countries. Sustain. Econ. 2025, 3, 1424. [Google Scholar] [CrossRef]
- Lamb, W.F.; Wiedmann, T.; Pongratz, J.; Andrew, R.; Crippa, M.; Olivier, J.G.J.; Wiedenhofer, D.; Mattioli, G.; Khourdajie, A.A.; House, J.; et al. A Review of Trends and Drivers of Greenhouse Gas Emissions by Sector from 1990 to 2018. Environ. Res. Lett. 2021, 16, 073005. [Google Scholar] [CrossRef]
- Khalifa, R.; Aljuhmani, H.Y. Interplay of Industrial Robots, Education, and Environmental Sustainability in United States: A Quantile-Based Investigation. Sustainability 2025, 17, 10255. [Google Scholar] [CrossRef]
- Mehmood, K.; Saifullah; Qiu, X.; Abrar, M.M. Unearthing Research Trends in Emissions and Sustainable Development: Potential Implications for Future Directions. Gondwana Res. 2023, 119, 227–245. [Google Scholar] [CrossRef]
- IEA. Global Energy Review, 2025; IEA: Paris, France, 2025. [Google Scholar]
- Kemp, R. Eco-innovation: Definition, Measurement and Open Research Issues. Econ. Politica 2010, 27, 397–420. [Google Scholar] [CrossRef]
- Beise, M.; Rennings, K. Lead Markets and Regulation: A Framework for Analyzing the International Diffusion of Environmental Innovations. Ecol. Econ. 2005, 52, 5–17. [Google Scholar] [CrossRef]
- Chen, Y.-S. The Driver of Green Innovation and Green Image—Green Core Competence. J. Bus. Ethics 2008, 81, 531–543. [Google Scholar] [CrossRef]
- Antonioli, D.; Mancinelli, S.; Mazzanti, M. Is Environmental Innovation Embedded within High-Performance Organisational Changes? The Role of Human Resource Management and Complementarity in Green Business Strategies. Res. Policy 2013, 42, 975–988. [Google Scholar] [CrossRef]
- Wen, J.; Ali, W.; Hussain, J.; Khan, N.A.; Hussain, H.; Ali, N.; Akhtar, R. Dynamics between Green Innovation and Environmental Quality: New Insights into South Asian Economies. Econ. Polit. 2022, 39, 543–565. [Google Scholar] [CrossRef]
- Younes, S.; Adedokun, M.W.; Alzubi, A.B.; Aljuhmani, H.Y. Impact of Supply Chain Management on Energy Transition and Environmental Sustainability: The Role of Knowledge Management and Green Innovations. Sustainability 2025, 17, 9249. [Google Scholar] [CrossRef]
- Enbaia, E.; Alzubi, A.; Iyiola, K.; Aljuhmani, H.Y. The Interplay Between Environmental Ethics and Sustainable Performance: Does Organizational Green Culture and Green Innovation Really Matter? Sustainability 2024, 16, 10230. [Google Scholar] [CrossRef]
- Ageli, R.; Alzubi, A.B.; Aljuhmani, H.Y.; Iyiola, K. How and When Entrepreneurial Leadership Drives Sustainable Bank Performance: Unpacking the Roles of Employee Creativity and Innovation-Oriented Climate. Sustainability 2025, 17, 9259. [Google Scholar] [CrossRef]
- Dhingra, V.S. Financial Development, Economic Growth, Globalisation and Environmental Quality in BRICS Economies: Evidence from ARDL Bounds Test Approach. Econ. Change Restruct. 2023, 56, 1651–1682. [Google Scholar] [CrossRef]
- Gaies, B.; Nakhli, M.S.; Sahut, J.-M. What are the Effects of Economic Globalization on CO2 Emissions in MENA Countries? Econ. Model. 2022, 116, 106022. [Google Scholar] [CrossRef]
- Huang, Y.; Chen, F.; Wei, H.; Xiang, J.; Xu, Z.; Akram, R. The Impacts of FDI Inflows on Carbon Emissions: Economic Development and Regulatory Quality as Moderators. Front. Energy Res. 2022, 9, 820596. [Google Scholar] [CrossRef]
- Sivalogathasan, V.; Wu, X. The Effect of Foreign Direct Investment on Innovation in South Asian Emerging Markets. Glob. Bus. Organ. Excell. 2014, 33, 63–76. [Google Scholar] [CrossRef]
- Ali, N.; Xialing, L. Foreign Direct Investment, International Trade and Economic Growth in Pakistan’s Economic Perspective. Am. J. Econ. 2017, 7, 211–215. [Google Scholar]
- Olorogun, L.A.; Salami, M.A.; Bekun, F.V. Revisiting the Nexus between FDI, Financial Development and Economic Growth: Empirical Evidence from Nigeria. J. Public Aff. 2022, 22, e2561. [Google Scholar] [CrossRef]
- Demena, B.A.; Van Bergeijk, P.A.G. Observing FDI Spillover Transmission Channels: Evidence from Firms in Uganda. Third World Q. 2019, 40, 1708–1729. [Google Scholar] [CrossRef]
- Grossman, G.; Krueger, A. Environmental Impacts of a North American Free Trade Agreement; National Bureau of Economic Research: Cambridge, MA, USA, 1991; p. w3914. [Google Scholar]
- Climate Action Tracker. UAE; Climate Action Tracker: Berlin, Germany, 2024. [Google Scholar]
- Adebayo, T.S.; Özkan, O. Evaluating the Role of Financial Globalization and Oil Consumption on Ecological Quality: A New Perspective from Quantile-on-Quantile Granger Causality. Heliyon 2024, 10, e24636. [Google Scholar] [CrossRef] [PubMed]
- Li, X.; Aghazadeh, S.; Liaquat, M.; Nassani, A.A.; Sunday Eweade, B. Transforming Costa Rica’s Environmental Quality: The Role of Renewable Energy, Rule of Law, Corruption Control, and Foreign Direct Investment in Building a Sustainable Future. Renew. Energy 2025, 239, 121993. [Google Scholar] [CrossRef]
- Somoye, O.A.; Ayobamiji, A.A. Can Energy Intensity, Clean Energy Utilization, Economic Expansion, and Financial Development Contribute to Ecological Progress in Iceland? A Quantile-on-quantile KRLS Analysis. Nat. Resour. Forum 2024. [Google Scholar] [CrossRef]
- Liu, L.; Adebayo, T.S.; Hu, J.; Irfan, M.; Abbas, S. Exploring Resource Blessing Hypothesis within the Coffin of Technological Innovation and Economic Risk: Evidence from Wavelet Quantile Regression. Energy Econ. 2024, 137, 107802. [Google Scholar] [CrossRef]
- Kumar, A.S.; Padakandla, S.R. Testing the Safe-Haven Properties of Gold and Bitcoin in the Backdrop of COVID-19: A Wavelet Quantile Correlation Approach. Financ. Res. Lett. 2022, 47, 102707. [Google Scholar] [CrossRef] [PubMed]
- Khan, K.A.; Cong, P.T.; Thang, P.D.; Uyen, P.T.M.; Anwar, A.; Abbas, A. From Brown to Green: Are Asian Economies on the Right Path? Assessing the Role of Green Innovations and Geopolitical Risk on Environmental Quality. Environ. Sci. Pollut. Res. 2024, 32, 19225–19237. [Google Scholar] [CrossRef] [PubMed]
- Ali, N.; Phoungthong, K.; Techato, K.; Ali, W.; Abbas, S.; Dhanraj, J.A.; Khan, A. FDI, Green Innovation and Environmental Quality Nexus: New Insights from BRICS Economies. Sustainability 2022, 14, 2181. [Google Scholar] [CrossRef]
- Kirikkaleli, D.; Adebayo, T.S. Political Risk and Environmental Quality in Brazil: Role of Green Finance and Green Innovation. Int. J. Financ. Econ. 2024, 29, 1205–1218. [Google Scholar] [CrossRef]
- Wei, S.; Jiandong, W.; Saleem, H. The Impact of Renewable Energy Transition, Green Growth, Green Trade and Green Innovation on Environmental Quality: Evidence from Top 10 Green Future Countries. Front. Environ. Sci. 2023, 10, 1076859. [Google Scholar] [CrossRef]
- Ben Belgacem, S.; Khatoon, G.; Alzuman, A. Role of Renewable Energy and Financial Innovation in Environmental Protection: Empirical Evidence from UAE and Saudi Arabia. Sustainability 2023, 15, 8684. [Google Scholar] [CrossRef]
- Zhang, H.; Khan, K.A.; Eweade, B.S.; Adebayo, T.S. Role of Eco-Innovation and Financial Globalization on Ecological Quality in China: A Wavelet Analysis. Energy Environ. 2024, 36, 0958305X241228518. [Google Scholar] [CrossRef]
- Islam, M.S. Linking Green Innovation to Environmental Quality in Saudi Arabia: An Application of the NARDL Approach. Environ. Dev. Sustain. 2025, 27, 19741. [Google Scholar] [CrossRef]
- Adebayo, T.S. Transforming Environmental Quality: Examining the Role of Green Production Processes and Trade Globalization through a Kernel Regularized Quantile Regression Approach. J. Clean. Prod. 2025, 501, 145232. [Google Scholar] [CrossRef]
- Almuammari, K.; Iyiola, K.; Alzubi, A.; Aljuhmani, H.Y. AI-Powered Insights: How Digital Supply Networks and Public–Private Alliances Shape Socio-Economic Paths to Sustainability. Systems 2025, 13, 691. [Google Scholar] [CrossRef]
- Mostepaniuk, A.; Nasr, E.; Awwad, R.I.; Hamdan, S.; Aljuhmani, H.Y. Managing a Relationship between Corporate Social Responsibility and Sustainability: A Systematic Review. Sustainability 2022, 14, 11203. [Google Scholar] [CrossRef]
- Ahmad, S. The Role of Government Support in Advancing Green Innovation and Achieving SDGs in SMEs: Evidence from GCC Nations. MSAR 2025. [Google Scholar] [CrossRef]
- Ulucak, Z.Ş.; İlkay, S.Ç.; Özcan, B.; Gedikli, A. Financial Globalization and Environmental Degradation Nexus: Evidence from Emerging Economies. Resour. Policy 2020, 67, 101698. [Google Scholar] [CrossRef]
- Adebayo, T.S. Impact of Financial Globalization on Environmental Degradation in the E7 Countries: Application of the Hybrid Nonparametric Quantile Causality Approach. Probl. Ekorozwoju 2022, 17, 148–160. [Google Scholar] [CrossRef]
- Kihombo, S.; Vaseer, A.I.; Ahmed, Z.; Chen, S.; Kirikkaleli, D.; Adebayo, T.S. Is There a Tradeoff between Financial Globalization, Economic Growth, and Environmental Sustainability? An Advanced Panel Analysis. Environ. Sci. Pollut. Res. 2022, 29, 3983–3993. [Google Scholar] [CrossRef] [PubMed]
- Wang, J.; Ramzan, M.; Salahodjaev, R.; Hafeez, M.; Song, J. Does Financial Globalisation Matter for Environmental Quality? A Sustainability Perspective of Asian Economies. Econ. Res.-Ekon. Istraživanja 2023, 36, 2153152. [Google Scholar] [CrossRef]
- Ahmad, M.; Dai, J.; Mehmood, U.; Abou Houran, M. Renewable Energy Transition, Resource Richness, Economic Growth, and Environmental Quality: Assessing the Role of Financial Globalization. Renew. Energy 2023, 216, 119000. [Google Scholar] [CrossRef]
- Adebayo, T.S.; Saeed Meo, M.; Eweade, B.S.; Özkan, O. Examining the Effects of Solar Energy Innovations, Information and Communication Technology and Financial Globalization on Environmental Quality in the United States via Quantile-On-Quantile KRLS Analysis. Sol. Energy 2024, 272, 112450. [Google Scholar] [CrossRef]
- Akadiri, S.S.; Olasehinde-Willams, G.; Haouas, I.; Lawal, G.O.; Fatigun, A.S.; Sadiq-Bamgbopa, Y. Natural Resource Rent, Financial Globalization, and Environmental Degradation: Evidence from a Resource Rich Country. Energy Environ. 2024, 35, 2911–2934. [Google Scholar] [CrossRef]
- Zhang, Y.; Radmehr, R.; Baba Ali, E.; Samour, A. Natural Resources, Financial Globalization, Renewable Energy, and Environmental Quality: Novel Findings from Top Natural Resource Abundant Countries. Gondwana Res. 2025, 145, 170–182. [Google Scholar] [CrossRef]
- Shahbaz, M.; Haouas, I.; Sohag, K.; Ozturk, I. The Financial Development-Environmental Degradation Nexus in the United Arab Emirates: The Importance of Growth, Globalization and Structural Breaks. Environ. Sci. Pollut. Res. 2020, 27, 10685–10699. [Google Scholar] [CrossRef]
- Yang, B.; Jahanger, A.; Usman, M.; Khan, M.A. The Dynamic Linkage between Globalization, Financial Development, Energy Utilization, and Environmental Sustainability in GCC Countries. Environ. Sci. Pollut. Res. 2021, 28, 16568–16588. [Google Scholar] [CrossRef] [PubMed]
- Shahbaz, M.; Sbia, R.; Hamdi, H.; Ozturk, I. Economic Growth, Electricity Consumption, Urbanization and Environmental Degradation Relationship in United Arab Emirates. Ecol. Indic. 2014, 45, 622–631. [Google Scholar] [CrossRef]
- Salim Omar, S.A.; Khalifa, W.M.S.; Kareem, P.H. The Influence of Trade, Technology and Economic Growth on Environmental Sustainability in the Gulf Cooperation Countries—New Evidence with the MMQR Method. Sustainability 2025, 17, 419. [Google Scholar] [CrossRef]
- Ulussever, T.; Kartal, M.T.; Kılıç Depren, S. Effect of Income, Energy Consumption, Energy Prices, Political Stability, and Geopolitical Risk on the Environment: Evidence from GCC Countries by Novel Quantile-Based Methods. Energy Environ. 2025, 36, 979–1004. [Google Scholar] [CrossRef]
- Adebayo, T.S.; Kartal, M.T.; Ağa, M.; Al-Faryan, M.A.S. Role of Country Risks and Renewable Energy Consumption on Environmental Quality: Evidence from MINT Countries. J. Environ. Manag. 2023, 327, 116884. [Google Scholar] [CrossRef]
- Boussaidi, R.; Hakimi, A. Financial Inclusion, Economic Growth, and Environmental Quality in the MENA Region: What Role Does Institution Quality Play? Nat. Resour. Forum 2025, 49, 425–444. [Google Scholar] [CrossRef]
- Alakbarov, N.; Gündüz, M.; Şaşmaz, M.Ü. Exploring the Link between Economic Growth, Energy Consumption, and Environmental Pollution in G20. Nat. Resour. Forum 2025, 49, 1445–1461. [Google Scholar] [CrossRef]
- Achuo, E.; Ojong, N. Foreign Direct Investment, Economic Growth and Environmental Quality in Africa: Revisiting the Pollution Haven and Environmental Kuznets Curve Hypotheses. JES 2025, 52, 673–691. [Google Scholar] [CrossRef]
- Le Quoc, D. Reassessing the Impact of Foreign Direct Investment on Environmental Quality in 112 Countries: A Bayesian Quantile Regression Approach. Int. Soc. Sci. J. 2025, 75, 641–659. [Google Scholar] [CrossRef]
- Al Numan, A.; Tahrim, F.; Esquivias, M.A.; Biswas, M.K.; Primanthi, M.R. Testing the Pollution Haven and Inverted N-Shaped EKC Hypotheses in the ASEAN Region: The Impact of FDI and Energy Mix on Environmental Quality. Environ. Sustain. Indic. 2025, 26, 100698. [Google Scholar] [CrossRef]
- Ganda, F.; Panicker, M. Does Access to Energy Matter? Understanding the Complex Nexus among Energy Consumption, ICT, Foreign Direct Investment and Economic Growth on Carbon Emissions in Sub-Saharan Africa. Energy Nexus 2025, 17, 100346. [Google Scholar] [CrossRef]
- Tabash, M.I.; Farooq, U.; Hassen, M.; El Refae, G.A. Do Technological Innovation and Financial Development Determine Environmental Quality? Empirical Evidence from Arab Countries. RAF 2025, 24, 177–192. [Google Scholar] [CrossRef]
- World Bank. World Bank Open Data; World Bank: Washington, DC, USA, 2025. [Google Scholar]
- Energy Institute. Emissions (MTCO2); Energy Institute: London, UK, 2025. [Google Scholar]
- OECD. Patents: Development of Environment-Related Technologies (Index); OECD: Paris, France, 2025. [Google Scholar]
- KOF. KOF Globalization Index; KOF: Osaka, Japan, 2025. [Google Scholar]
- Satrovic, E.; Somoye, O.A.; Olaleye, B.R.; Lekunze, J.N. Reconciling Fiscal Decentralization, Environmental Protection Expenditures, and Stringent Regulations with the Ecological Priorities of the European Union. Front. Environ. Sci. 2025, 13, 1600303. [Google Scholar] [CrossRef]
- Jalal, R.; Gopinathan, R. Time-Frequency Relationship between Energy Imports, Energy Prices, Exchange Rate, and Policy Uncertainties in India: Evidence from Wavelet Quantile Correlation Approach. Financ. Res. Lett. 2023, 55, 103980. [Google Scholar] [CrossRef]
- Hasan, M.M.; Li, L. Do Supply Chain and Digitalization Foster China’s Advancement in Green Development? An Evidence from Wavelet Quantile Regression and Wavelet Quantile Correlation Analysis. Energy Econ. 2025, 142, 108099. [Google Scholar] [CrossRef]
- Adebayo, T.S.; Özkan, O. Investigating the Influence of Socioeconomic Conditions, Renewable Energy and Eco-Innovation on Environmental Degradation in the United States: A Wavelet Quantile-Based Analysis. J. Clean. Prod. 2024, 434, 140321. [Google Scholar] [CrossRef]
- Sim, N.; Zhou, H. Oil Prices, US Stock Return, and the Dependence between Their Quantiles. J. Bank. Financ. 2015, 55, 1–8. [Google Scholar] [CrossRef]
- Zaman, U.; Chishti, M.Z.; Hameed, T.; Akhtar, M.S. Exploring the Nexus between Green Innovations and Green Growth in G-7 Economies: Evidence from Wavelet Quantile Correlation and Continuous Wavelet Transform Causality Methods. Environ. Sci. Pollut. Res. 2023. [Google Scholar] [CrossRef]
- Chishti, M.Z.; Iqbal, J.; Mahmood, F.; Azeem, H.S.M. The Implication of the Oscillations in Exchange Rate for the Commodity-Wise Trade Flows between Pakistan and China: An Evidence from ARDL Approach. Rev. Pac. Basin Financ. Mark. Policies 2020, 23, 2050030. [Google Scholar] [CrossRef]
- Phillips, P.C.B.; Perron, P. Testing for a Unit Root in Time Series Regression. Biometrika 1988, 75, 335–346. [Google Scholar] [CrossRef]
- Dickey, D.A.; Fuller, W.A. Distribution of the Estimators for Autoregressive Time Series with a Unit Root. J. Am. Stat. Assoc. 1979, 74, 427–431. [Google Scholar] [CrossRef] [PubMed]
- Broock, W.A.; Scheinkman, J.A.; Dechert, W.D.; LeBaron, B. A Test for Independence Based on the Correlation Dimension. Econom. Rev. 1996, 15, 197–235. [Google Scholar] [CrossRef]
- Tiwari, A.K.; Mutascu, M.I.; Albulescu, C.T. Continuous Wavelet Transform and Rolling Correlation of European Stock Markets. Int. Rev. Econ. Financ. 2016, 42, 237–256. [Google Scholar] [CrossRef]
- Jiang, Q.; Rahman, Z.U.; Zhang, X.; Islam, M.S. An Assessment of the Effect of Green Innovation, Income, and Energy Use on Consumption-Based CO2 Emissions: Empirical Evidence from Emerging Nations BRICS. J. Clean. Prod. 2022, 365, 132636. [Google Scholar] [CrossRef]
- Irwin, D. Globalization Enabled Nearly All Countries to Grow Richer in Recent Decades. Peterson Inst. Int. Econ. 2022, 16, 2022. [Google Scholar]
- Dharmapriya, N.; Gunawardena, V.; Methmini, D.; Jayathilaka, R.; Rathnayake, N. Carbon Emissions across Income Groups: Exploring the Role of Trade, Energy Use, and Economic Growth. Discov. Sustain. 2025, 6, 621. [Google Scholar] [CrossRef]
- Somoye, O.A. Assessing the Link between Energy Intensity, Renewable Energy, Economic Growth, and Carbon Dioxide Emissions: Evidence from Turkey. Environ. Qual. Mgmt. 2024, 34, e22220. [Google Scholar] [CrossRef]
- Acharyya, J. FDI, Growth and the Environment: Evidence from India on CO2 Emission during the Last Two Decades. J. Econ. Dev. 2009, 34, 43. [Google Scholar] [CrossRef]
- Mamash, A.; Iyiola, K.; Aljuhmani, H.Y. The Role of Circular Economy Entrepreneurship, Cleaner Production, and Green Government Subsidy for Achieving Sustainability Goals in Business Performance. Sustainability 2025, 17, 3990. [Google Scholar] [CrossRef]






| Symbols | Variables | Description | Sources |
|---|---|---|---|
| GDP | Economic Growth | GDP (Constant 2015 USD) | [68] |
| FDI | Foreign Direct Investment | Net Inflows (% of GDP) | [68] |
| EQ | Emissions (MTCO2) | Measures Environmental Quality | [69] |
| GI | Green Innovation | Development of Environment-Related Technologies (Patents) | [70] |
| FG | Financial Globalization | Real flows, which include FDI, Portfolio Investment, income payments to foreign nationals, and trade | [71] |
| EQ | FDI | FG | GDP | GI | |
|---|---|---|---|---|---|
| Mean | 0.559302 | 0.030565 | 0.457046 | 2.850945 | 0.044408 |
| Median | 0.560904 | 0.090595 | 0.468043 | 2.864742 | 0.030182 |
| Maximum | 0.615922 | 0.216445 | 0.484024 | 2.912042 | 0.228524 |
| Minimum | 0.496971 | −0.398833 | 0.426563 | 2.775178 | −0.120130 |
| Std. Dev. | 0.038818 | 0.146689 | 0.021522 | 0.041303 | 0.082103 |
| Skewness | −0.116398 | −0.817918 | −0.195031 | −0.345078 | 0.550630 |
| Kurtosis | 1.453765 | 2.797896 | 1.272221 | 1.791908 | 2.813455 |
| Jarque–Bera | 13.04019 | 14.48964 | 16.73264 | 10.32428 | 6.653711 |
| Probability | 0.001474 | 0.000714 | 0.000233 | 0.005729 | 0.035906 |
| Dimensions | EQ | GI | FG | GDP | FDI |
|---|---|---|---|---|---|
| M2 | 0.203851 * | 0.169952 * | 0.200226 * | 0.205573 * | 0.161282 * |
| (0.0000) | (0.0000) | (0.0000) | (0.0000) | (0.0000) | |
| M3 | 0.345322 * | 0.281472 * | 0.337828 * | 0.348750 * | 0.261803 * |
| (0.0000) | (0.0000) | (0.0000) | (0.0000) | (0.0000) | |
| M4 | 0.443714 * | 0.351014 * | 0.432132 * | 0.448777 * | 0.321508 * |
| (0.0000) | (0.0000) | (0.0000) | (0.0000) | (0.0000) | |
| M5 | 0.512556 * | 0.392301 * | 0.497318 * | 0.519058 * | 0.355730 * |
| (0.0000) | (0.0000) | (0.0000) | (0.0000) | (0.0000) | |
| M6 | 0.560980 * | 0.414668 * | 0.543945 * | 0.569206 * | 0.376081 * |
| (0.0000) | (0.0000) | (0.0000) | (0.0000) | (0.0000) |
Disclaimer/Publisher’s Note: The statements, opinions and data contained in all publications are solely those of the individual author(s) and contributor(s) and not of MDPI and/or the editor(s). MDPI and/or the editor(s) disclaim responsibility for any injury to people or property resulting from any ideas, methods, instructions or products referred to in the content. |
© 2026 by the authors. Licensee MDPI, Basel, Switzerland. This article is an open access article distributed under the terms and conditions of the Creative Commons Attribution (CC BY) license (https://creativecommons.org/licenses/by/4.0/).
Share and Cite
Omar, Y.S.; Alzubi, A.B. The Dynamics Between Green Innovation and Environmental Quality in the UAE: New Evidence from Wavelet Correlation Methods. Sustainability 2026, 18, 713. https://doi.org/10.3390/su18020713
Omar YS, Alzubi AB. The Dynamics Between Green Innovation and Environmental Quality in the UAE: New Evidence from Wavelet Correlation Methods. Sustainability. 2026; 18(2):713. https://doi.org/10.3390/su18020713
Chicago/Turabian StyleOmar, Yahya Sayed, and Ahmad Bassam Alzubi. 2026. "The Dynamics Between Green Innovation and Environmental Quality in the UAE: New Evidence from Wavelet Correlation Methods" Sustainability 18, no. 2: 713. https://doi.org/10.3390/su18020713
APA StyleOmar, Y. S., & Alzubi, A. B. (2026). The Dynamics Between Green Innovation and Environmental Quality in the UAE: New Evidence from Wavelet Correlation Methods. Sustainability, 18(2), 713. https://doi.org/10.3390/su18020713
