Next Article in Journal
Bridging or Widening? Configurational Pathways of Digitalization for Income Inequality: A Global Perspective
Previous Article in Journal
The Use of GIS Techniques for Land Use in a South Carpathian River Basin—Case Study: Pesceana River Basin, Romania
 
 
Font Type:
Arial Georgia Verdana
Font Size:
Aa Aa Aa
Line Spacing:
Column Width:
Background:
Article

Digital Siphoning and Resource Lock-In: The Distortion and Spatial Divergence of the Digital Economy’s Green Effects

1
School of Economics, Sichuan University of Science and Engineering, Yibin 644000, China
2
Sichuan Key Provincial Research Base of Intelligent Tourism, Sichuan University of Science and Engineering, Yibin 644000, China
3
School of Economics and Business Administration, Yibin University, Yibin 644000, China
*
Author to whom correspondence should be addressed.
Sustainability 2026, 18(2), 1136; https://doi.org/10.3390/su18021136
Submission received: 12 December 2025 / Revised: 15 January 2026 / Accepted: 20 January 2026 / Published: 22 January 2026

Abstract

As digital technologies increasingly permeate urban governance and economic systems, the digital economy (DE) is widely regarded as a key driver of green urban transformation. However, its environmental effects remain complex under the dual constraints of resource dependence (RD) and spatial structure. Drawing on panel data from 277 Chinese prefecture-level cities from 2011 to 2019, this study systematically evaluates the green impacts of the DE across varying resource conditions and urban lifecycle stages. The results reveal a dual-effect pattern: while digitalization significantly promotes local green sustainable development (GSD), it simultaneously suppresses the green performance of neighboring cities through siphoning effects, creating spatial divergence. Cities with lower levels of RD are more likely to benefit from digital dividends, whereas in high-dependence settings, the green effects of digitalization reverse beyond a critical threshold. Grouped regressions for resource-based (RBCs) and non-resource-based cities (NRBCs) further confirm this moderating mechanism. Moreover, lifecycle heterogeneity among RBCs leads to differentiated green outcomes. By introducing the dual mechanisms of “resource lock-in” and “digital siphoning” into the framework of GSD, this study expands the theoretical understanding of the interaction between digitalization and RD. The findings provide empirical support for interpreting the structural divergence in DE–GSD linkages and offer a quantitative basis for differentiated policy strategies in resource-intensive urban contexts.

1. Introduction

China’s rapid urbanization has entered a critical phase marked by intensifying environmental degradation, resource exhaustion, and widening regional disparities [1]. In this context, the challenge of sustaining economic momentum while steering cities toward low-carbon, efficient, and inclusive development has become a defining issue—not only for China, but for global urban policy at large [1]. The DE, emblematic of the current technological revolution, is increasingly positioned as a key lever for promoting sustainable urban growth. However, evidence suggests that digitalization’s environmental impact is far from uniform. Its green potential is often complicated by conflicting forces—particularly in RBCs, where spatial inequality and resource dependency constrain digital dividends and deepen systemic distortions.
Previous research has identified a range of drivers behind urban green transitions, including institutional quality [2], technological advancement [3], macroeconomic cycles [4], policy interventions [5] and energy structure [6]. More recently, attention has turned to the role of digital infrastructure and platforms in supporting GSD. Digital tools, by enhancing efficiency, accelerating information flows, and enabling green innovation, are often seen as general-purpose technologies capable of achieving both economic growth and environmental goals [7]. Yet, this optimism is tempered by growing concerns over digital rebound effects. High energy consumption from data centers and carbon-intensive logistics linked to digital services highlight the contradictions of “green digitalization” [8]. Moreover, fragmented metrics and methodological inconsistencies in the literature make it difficult to generalize digitalization’s environmental consequences at the urban scale [9,10].
Despite the growing consensus that digitalization can support green urban transformation, the conditions under which the digital economy promotes or undermines green sustainable development remain insufficiently specified [11]. Existing studies often treat digitalization as a universally green-enhancing force, overlooking the structural constraints imposed by resource endowments and spatial asymmetries. To address this gap, this study focuses on two key constructs: resource lock-in and digital siphoning. Resource lock-in refers to a structural dependence whereby resource-based cities, constrained by industrial composition, fiscal reliance, and institutional inertia, channel digital investment toward extractive and carbon-intensive sectors, thereby inhibiting green transformation. Digital siphoning denotes a spatial mechanism through which digitally advanced cities attract talent, capital, and innovation resources from neighboring regions, enhancing local green performance while weakening the sustainable development capacity of surrounding cities [12]. Together, these constructs provide an analytical lens for understanding the uneven and sometimes counterproductive green effects of digitalization in rapidly urbanizing economies.
A more fundamental issue is that digital development unfolds unevenly in space. While some cities benefit from positive externalities via technology diffusion and knowledge spillovers [13], others experience negative effects from talent, investment, and green capital being siphoned off by digital core regions. This spatial divergence is compounded by local resource endowments. In resource-dependent cities, digital investments may reinforce extractive industries rather than catalyze cleaner alternatives, exacerbating path dependence and locking cities into high-carbon trajectories [13]. While digital technologies can, in theory, support smart mining and circular practices, their actual deployment is often shaped by fiscal incentives and institutional inertia.
Despite these complexities, the existing literature rarely integrates the dual forces of digital siphoning and resource lock-in into a coherent analytical framework. Nor has it paid adequate attention to how these dynamics vary across city types and developmental stages, particularly for resource-based cities, whose capacity to benefit from digitalization varies systematically across different stages of the urban lifecycle, including growth, maturity, decline, and regeneration. These lifecycle effects have been largely overlooked. Furthermore, while digitalization is assumed to be green in principle, the conditions under which it turns from an environmental “booster” to a “burden” remain poorly defined. Identifying such nonlinear thresholds of resource dependency is crucial for recognizing critical points of policy intervention and designing adaptive strategies for green–digital transitions.
Building on this, this study adopts the dual-channel mechanism of “resource lock-in and digital siphoning” to systematically evaluate the spatial divergence of the DE’s impact on urban GSD. It further uncovers the critical moderating role of resource endowments and city types in shaping this relationship. The research addresses key questions: Does the DE exhibit green promotion effects in Chinese cities? If so, how do these effects spill over spatially? Is there a systematic differentiation in green effects between RBCs and NRBCs? Furthermore, how do the green adaptation and digital effect of RBCs vary across different lifecycle stages?
To explore these questions, this study uses panel data from 277 Chinese prefecture-level cities between 2011 and 2019. It first constructs a comprehensive GSD index based on economic, social, and environmental dimensions. Then, it employs a spatial Durbin model to identify both local and spillover effects of the DE, followed by heterogeneity testing across RBCs and NRBCs and different lifecycle stages. To further capture the critical structural thresholds of RD, a dynamic threshold model is introduced for mechanism validation. The results show that in NRBCs, the DE exhibits a significant positive local effect and negative spatial spillover, manifesting as a paradox of “local dividends–regional siphoning”. In contrast, RBCs show an overall suppression of green effects, with stronger negative impacts in later lifecycle stages. Additionally, the threshold test reveals that when RD exceeds a critical level, the green effects of the DE shift from positive to negative, indicating that the “accelerator” is transforming into an “amplifier”.
This study’s theoretical contribution lies in the development of a dual-channel framework that integrates spatial mechanisms and resource structures, enriching the understanding of the causes of the DE’s green paradox. Empirically, it identifies the spatial divergence of urban green effects under the combined influence of RD and spatial siphoning, providing quantitative support and phased guidance for the formulation of differentiated digitalization policies in RBCs.

2. Literature Review and Research Hypotheses

2.1. Digital Economy and Green Sustainable Development

Digital technologies are widely regarded as key general-purpose technologies that can achieve a “win-win” scenario, balancing both economic growth and environmental sustainability. On the one hand, digital infrastructure enhances resource allocation efficiency, reduces information transmission lags, and promotes the diffusion of green innovation, significantly lowering energy consumption and emissions per unit of output [7]. Numerous multinational and Chinese studies have reported positive effects of the DE on carbon productivity and green total factor productivity [14,15]. On the other hand, the academic community has also pointed out the phenomena of “rebound energy consumption” and “high energy consumption by data centers”. While digitalization enhances consumer convenience, it may simultaneously stimulate the demand for logistics associated with hidden carbon emissions. Moreover, the infrastructure needed for computing itself is energy-intensive [8]. Therefore, the question of whether the “digital dividend” transforms into a “green dividend” remains contentious in different contexts.
In summary, the literature largely agrees that digitalization may promote greener urban development through information efficiency, factor reallocation, and green innovation diffusion. However, two limitations remain. First, many studies implicitly assume that the marginal green benefits of digitalization are stable across heterogeneous cities, overlooking the possibility that structural constraints can alter the direction of digital impacts [16]. Second, evidence on spatial externalities is mixed: while some studies report positive knowledge spillovers, others highlight negative externalities associated with factor concentration. These gaps suggest that the green effects of the digital economy should be evaluated under explicit structural and spatial conditions rather than treated as universally positive [17].

2.2. Resource Dependence and Green Sustainable Development

The “resource curse” theory in resource economics posits that economies highly dependent on natural resources often neglect institutional development and industrial diversification due to the “easy income” generated by resource rents. This neglect leads to institutional degradation, structural lock-in, and insufficient innovation investment, all of which hinder the green transformation of the economy [18]. Empirical studies in China have found similar results, with RBCs generally facing a “dual trap” of high carbon emissions and low resource utilization efficiency, meaning that while economic growth continues, ecological environment and energy efficiency improvements lag behind [19]. However, other research emphasizes that resource rents can provide funding for green infrastructure projects, and that “resource dividends” and “green dividends” can coexist during certain stages of development [20]. This “fiscal stimulus–environmental drag” duality leads to a nonlinear relationship between RD and GSD.
Existing research on resource dependence and green development emphasizes that resource rents can simultaneously generate fiscal capacity and institutional inertia. This duality implies that resource dependence is not merely an “industrial structure” variable but a deeper structural constraint shaping governance incentives, innovation allocation, and environmental regulation effectiveness [21]. Consequently, the interaction between resource dependence and digitalization may exhibit nonlinear patterns: digital investment can support greener governance under low dependence, but may reinforce extractive trajectories when dependence is high. This motivates our focus on resource dependence as both a moderating and threshold condition.

2.3. Spatial Spillover Effects and Digital Siphoning

In this study, the concept of digital siphoning is distinguished from general negative spatial spillover effects, which have been variously described as the “siphon effect” of the digital economy on surrounding regions’ development and environmental performance [22]. While negative spatial spillovers may arise through multiple channels—such as interregional competition, pollution transfer, or industrial relocation—digital siphoning specifically refers to the asymmetric reallocation of digitally enabled production factors driven by agglomeration economies and network externalities. Recent evidence suggests that digital development strengthens factor concentration in core cities through platformization and data-driven scale effects, thereby reinforcing spatial asymmetries [23].
It is important to clarify that the digital siphoning effect proposed in this study does not simply rebrand traditional agglomeration effects, core–periphery dynamics, or generic talent outflows. While classical agglomeration theories emphasize efficiency gains arising from spatial concentration [24,25], digital siphoning highlights an asymmetric and technology-mediated reallocation process driven by platform dominance, data scale effects, and network externalities. Unlike conventional factor concentration, digital siphoning operates through intangible digital infrastructures and algorithmic coordination, which selectively attract digitally compatible and green-related factors while weakening peripheral regions’ capacity to retain innovation and sustainability-oriented resources. In this sense, digital siphoning represents a distinct spatial mechanism embedded in the digital economy rather than a mere extension of classical agglomeration logic [26].
Furthermore, digital siphoning in this study is conceptualized as a coupled process rather than a mechanism restricted exclusively to green factors. The accumulation of digital capital and high-skilled labor primarily follows market and platform logic; however, this concentration simultaneously polarizes green capabilities, as green innovation, environmental governance capacity, and low-carbon investment increasingly depend on digital infrastructure and data-driven coordination. Consequently, digital siphoning intensifies spatial differentiation through the joint accumulation of digital capital and green development potential, rather than through the selective outflow of environmental factors alone [27].
Digital siphoning occurs when digitally advanced core cities attract high-skilled labor, green investment, and innovation capacity from peripheral regions, improving their own green performance while constraining the sustainable development potential of neighboring cities. This pattern has been documented in empirical studies showing that digital development enhances local resilience and environmental quality but simultaneously exerts a siphoning effect on surrounding areas [22]. Unlike pollution spillovers, which involve the physical relocation of emissions, digital siphoning operates primarily through intangible channels such as information flows, platform dominance, and talent mobility. This mechanism resonates with broader concerns about “digital colonization” and uneven smart-city development raised in recent urban studies [28]. Importantly, digital siphoning does not preclude the existence of positive knowledge spillovers. The digital economy may simultaneously generate radiation effects and siphon effects, and the net spatial outcome depends on local absorptive capacity, regional innovation systems, and institutional quality. Recent studies indicate that regions with stronger innovation capacity and governance frameworks are better positioned to internalize positive spillovers, whereas structurally weaker regions are more vulnerable to factor outflows and green divergence [12]. Therefore, identifying whether spatial externalities are predominantly “siphoning-like” is essential for interpreting spatial divergence in green outcomes and for designing differentiated digitalization policies.

2.4. Interaction Mechanism Between the DE and RD

Recent studies have explored whether digitalization can help “unlock” the resource curse by introducing intelligent mining, recycling technologies, and precise environmental monitoring into resource-based industries, thereby reducing environmental externalities and improving production efficiency [29]. However, when local governments and employment are heavily reliant on resource sectors, digital investments are often directed toward upstream extractive industries rather than energy-saving and emissions-reducing areas, leading to a phenomenon in which digital lock-in does not simply replace, but rather reinforces and technologically upgrades traditional resource lock-in by embedding digital tools within existing extractive and carbon-intensive structures [30]. This contradiction is reflected at the mechanism level: while digital technologies promote the diffusion of clean technologies, institutional inertia induced by resource rents weakens regulatory effectiveness, causing digital projects to continue supporting the expansion of traditional energy sectors [31]. This contradiction suggests that RD may determine the direction and intensity of the DE’s green effects, but empirical evidence is still limited, especially with regard to the quantification of threshold effects.
From a theoretical perspective, the interaction between the digital economy and green sustainable development is unlikely to be linear [32]. In the early stages of digital adoption or under low levels of resource dependence, digital technologies tend to enhance efficiency, improve environmental monitoring, and facilitate green innovation diffusion [23]. However, as resource dependence deepens, institutional inertia, rent-seeking behavior, and path dependence become increasingly dominant, redirecting digital investment toward reinforcing existing extractive structures rather than promoting low-carbon transformation [33].
This dynamic implies the existence of critical thresholds beyond which the marginal green benefits of digitalization diminish or even reverse. Such nonlinear patterns are consistent with resource curse theory, path dependence theory, and rebound effect arguments, all of which suggest that technological progress may generate qualitatively different environmental outcomes under varying structural and institutional conditions. Accordingly, identifying threshold effects of resource dependence is essential for understanding when the digital economy shifts from a green accelerator to an environmental burden [16].
From a deeper theoretical perspective, the reinforcing effect of the digital economy on resource dependence in resource-based cities can be explained by the interaction of industrial structure, policy incentives, and market mechanisms [34]. First, resource-dependent cities are typically characterized by a highly concentrated industrial structure, where extractive sectors dominate employment, fiscal revenue, and local investment priorities. Under such conditions, digital technologies are more likely to be applied to improve extraction efficiency, logistics coordination, and production monitoring, rather than to support green diversification or clean technology development. Second, local government incentives play a crucial role. In resource-dependent regions, fiscal pressure and employment stability concerns often incentivize policymakers to prioritize short-term output and revenue generation. Digital investment is therefore frequently embedded within existing resource-based industries, reinforcing path dependence instead of facilitating structural upgrading. Third, market mechanisms further amplify this tendency: private capital in these cities tends to follow established profit channels, leading digital capital to concentrate in upstream extractive activities rather than in high-risk green innovation.

2.5. Resource Lock-In and Digital Siphoning

The digital economy generates two simultaneous effects on urban green sustainable development: a local promotion effect through efficiency gains and innovation diffusion, and a spatial suction effect through digital siphoning [35]. Resource dependence conditions both effects by acting as a moderator that alters the strength of digital impacts and as a nonlinear threshold that can reverse their direction. This framework directly motivates the subsequent empirical strategy, which combines spatial econometric models to capture spillover mechanisms and threshold models to identify regime-switching effects.
To systematically explain the heterogeneous and spatially divergent green effects of the digital economy, this study proposes a dual-channel mechanism framework integrating resource lock-in and digital siphoning, echoing recent discussions on digitalization and carbon lock-in in urban and industrial systems [36]. These two mechanisms operate simultaneously but through distinct transmission pathways, jointly shaping the impact of digitalization on urban GSD, and are consistent with evidence that digital transformation can both alleviate and reinforce carbon-intensive development trajectories depending on factor allocation and institutional context [37].
Resource lock-in represents an internal structural mechanism. In cities with high resource dependence, fiscal revenues, employment structures, and political incentives remain heavily tied to extractive industries, a pattern widely observed in resource-based cities worldwide [38,39]. Under such conditions, digital investment is more likely to be directed toward upstream resource sectors—such as intelligent mining, logistics optimization for raw materials, or production monitoring—rather than toward clean technologies or green innovation. This misallocation reinforces existing carbon-intensive trajectories and weakens the potential of digital technologies to facilitate green transformation [36].
Digital siphoning, by contrast, constitutes an external spatial mechanism. Owing to increasing returns to scale, network effects, and agglomeration economies, digitally advanced cities tend to attract disproportionate shares of high-skilled labor, green capital, and innovation resources from surrounding areas [37,40]. While such agglomeration may enhance local GSD, it simultaneously suppresses the green development capacity of neighboring cities by draining their critical production factors, thereby generating negative spatial spillovers that have been documented as a siphon effect of the digital economy on green manufacturing and productivity [17].
Importantly, these two mechanisms are interrelated. High resource dependence not only amplifies internal lock-in effects but also weakens a city’s ability to retain digitally enabled green resources, making it more vulnerable to external siphoning. As a result, the digital economy may generate local green dividends in low-dependence cities while producing spatial divergence and green suppression in resource-intensive regions.

2.6. Urban Lifecycle Theory and Green Transformation of Resource-Based Cities

Urban lifecycle theory suggests that cities evolve through distinct stages—growth, maturity, decline, and regeneration—characterized by changing industrial structures, demographic dynamics, and institutional capacities [41,42]. In resource-based cities, these stages critically shape environmental outcomes and transformation pathways [41,43]. Existing studies indicate that early-stage resource cities may still leverage resource rents to finance infrastructure and environmental improvements [44], whereas mature and declining cities often face intensified path dependence, fiscal stress, and environmental degradation [43].
Recent research has increasingly applied lifecycle perspectives to analyze green transformation and industrial restructuring in resource-dependent regions [39], emphasizing that policy effectiveness and technological adaptation vary substantially across development stages [44,45]. Incorporating the urban lifecycle framework, therefore, provides a crucial theoretical foundation for understanding heterogeneous digital–green interactions among resource-based cities.

2.7. Research Hypotheses

Building on the proposed dual-mechanism framework, this study expects that the digital economy improves urban green sustainable development primarily through efficiency enhancement, innovation diffusion, and smarter governance, thereby generating a positive local green effect. At the same time, given the networked and agglomerative nature of digital development, we expect that digital advancement in one city may reduce the green development capacity of neighboring cities by attracting scarce talents, capital, and innovation resources, producing a siphoning-dominant negative spatial externality.
These effects are expected to be strongly conditional on resource dependence. When resource dependence is low, digital investment is more likely to complement green upgrading and environmental governance. When resource dependence is high, institutional inertia and path dependence may redirect digital investment toward reinforcing extractive industries, weakening or even reversing the green effects of digitalization through a resource lock-in channel. Accordingly, the relationship between the digital economy and green sustainable development is expected to exhibit nonlinear regime-switching behavior, with resource dependence serving as a critical threshold condition.
Finally, because resource endowments and transformation capacities differ systematically across city types, we expect the magnitude and direction of digital economy effects to vary between resource-based and non-resource-based cities. Moreover, within resource-based cities, the effectiveness of digitalization in supporting green transition is expected to differ across lifecycle stages, reflecting stage-dependent constraints and opportunities.

3. Research Design

3.1. Variable Description

3.1.1. Dependent Variable: Green Sustainable Development (GSD)

Following the approach of Song et al. [46], this study selects 16 indicators based on three dimensions of sustainability—economic, social, and environmental sustainability—to quantify the level of urban GSD using the entropy weight method. This multidimensional approach reflects the consensus that green development is not limited to environmental outcomes alone, but also encompasses inclusive growth and social well-being. By incorporating these dimensions, the constructed GSD index provides a comprehensive measure of urban sustainability performance. The specific indicators are listed in Table 1 below.

3.1.2. Core Explanatory Variable: Digital Economy (DE)

This study follows the approach of Ma et al. [47] and Gao and Li [48], and, considering data availability, constructs a DE evaluation index system composed of three primary indicators, namely digital infrastructure, digital industrialization, and industrial digitization, along with eight secondary indicators. The specific indicator settings are shown in Table 2. Building on the method of Xu et al. [49], the entropy-weighted TOPSIS comprehensive evaluation method is used to calculate the DE index for each prefecture-level city.

3.1.3. Moderating and Threshold Variable: Resource Dependence (RD)

In this study, RD serves as both a moderating and threshold variable, reflecting the extent of economic growth’s reliance on natural resources and resource-based industries. Following the approach of Wang and Gao [50], the degree of RD is measured by the proportion of employment in the mining sector relative to total urban employment. While this indicator may not fully capture the fiscal or energy-based dimensions of resource dependence, it effectively reflects labor allocation and industrial structure, which are central to the lock-in mechanism emphasized in this study. Its limitations are explicitly acknowledged in the discussion of robustness and future research.

3.1.4. Control Variables

To account for the influence of exogenous factors on urban GSD, this study includes the following control variables based on previous research: (1) Economic Development Level (pgdp): Measured by GDP per capita. Regions with higher levels of economic development are more likely to provide the necessary financial resources for urban GSD [51]. (2) Openness (open): Measured by the ratio of foreign direct investment to GDP. FDI may promote economic growth through technology diffusion, demonstration effects, and industrial linkages [52]. However, it may also influence the environment through pollution halo effects and pollution haven effects [53]. (3) Urbanization Rate (url): Measured by the ratio of the urban population to the total population. The agglomeration effect of urbanization absorbs human and material capital from surrounding areas, exerting both positive and negative effects on economic growth and environmental quality [54]. (4) Green Technological Innovation (gti): Measured by the number of green patent applications per 10,000 people. Green technologies are key to minimizing environmental degradation, optimizing resource use, and improving overall productivity [55].

3.2. Data Sources

Given the availability and continuity of data, this study uses a balanced panel dataset from 277 prefecture-level cities in China for the period 2011–2019. The primary data sources are the China Statistical Yearbook and the China Urban Statistical Yearbook. Missing values in the dataset were handled using linear interpolation to preserve temporal continuity while minimizing data loss. In addition, all continuous variables were winsorized at the 1st and 99th percentiles to mitigate the influence of extreme outliers. Although more recent data would be desirable, the study period of 2011–2019 is determined by the availability and consistency of key city-level indicators related to digital economy development and green sustainable development. Importantly, this period captures the formative and acceleration phases of China’s digital economy, during which critical institutional and structural patterns were established. These patterns—including resource lock-in and spatial siphoning—tend to exhibit strong path dependence, implying that their mechanisms remain relevant for understanding current and future digital–green interactions. Nevertheless, future research may extend the analysis as more recent and comparable data become available. Descriptive statistics for all variables are shown in Table 3 below.
To ensure the robustness and explanatory power of the empirical models, we conducted both correlation analysis and multicollinearity tests prior to regression estimation. Table 4 reports the variance inflation factors (VIFs) and the correlation matrix among the key variables. The results indicate that all pairwise correlation coefficients are below 0.8, and all VIF values are well below the critical threshold of 10, suggesting that multicollinearity is not a serious concern in our models.

3.3. Model Selection

Based on the theoretical analysis presented earlier, it is evident that the level of urban GSD may exhibit spatial dependence across regions. Ignoring spatial effects could lead to biased model estimates. Additionally, DE development, by promoting information flow, interregional allocation of factors, and diffusion of green technologies, has both direct and indirect effects on local and surrounding regions. Therefore, we adopted a spatial econometric model, as proposed by Elhorst [56], which includes spatial lag models (SLMs), spatial error models (SEMs), and spatial Durbin models (SDMs). Among these, the SDM is a general form of spatial econometric models and can be transformed into both the SLM and SEM under certain conditions. Compared with other spatial econometric models, the SDM is capable of capturing the spatial effects of both the dependent and explanatory variables. It includes not only the lagged terms of the dependent variable but also the spatial terms of the independent variables. Thus, we constructed the following SDM model for empirical testing:
G E i t = α + ρ   j = 1 N W i j d e G E j t + β D i g i t + φ   j = 1 N W i j d e D i g j t + θ ε i t + λ   j = 1 N W i j d e ε j t + μ i + δ t + η i t
In Equation (1), G E i t represents the urban sustainability level in city i in year   t ; D i g i t denotes the DE development level in city i in year t ; ε i t represents control variables;   W i j d e is the geographic–economic nested spatial weight matrix; ρ , φ   and λ   are spatial lag regression coefficients; β   and   θ   are the regression coefficients for the explanatory variables; μ i   and   δ t   represent spatial and time fixed effects, respectively; and η i t is the random disturbance term.
However, in the SDM, the impact of local explanatory variables on the dependent variable includes not only direct effects but also spatial spillovers through feedback from neighboring regions. Therefore, the regression coefficients do not accurately reflect the true marginal effects between variables. To address this, following LeSage and Pace [57], we used a partial derivative decomposition technique to divide the total effect into direct effects, indirect effects, and total effects, providing a comprehensive explanation of the DE’s impact on local and surrounding regions’ GSD. Thus, the spatial Durbin model can be rewritten as follows:
Y i t = 1 ρ W i j d e 1   X i t β + W i j d e X i t θ + 1 ρ W i j d e 1 i   +   1 ρ W i j d e 1 γ i +   1 ρ W i j d e 1 λ i
The effect of changes in the explanatory variable   X k   in region   i   on the dependent variable   Y in region N   is represented as
Y X i k Y X n k = Y 1 1 k Y 1 n k             Y n Y 1 k Y n Y n k = 1 ρ W i j d e 1 β k w 21 θ k   w i 1 θ k     w 12 θ k β k     w i 2 θ k       w 1 j θ k     w 2 j θ k     β k  
In Equation (3), W i j d e   represents the geographic–economic nested spatial weight matrix, with i   and j   representing different regional units. The direct effect is the average sum of the diagonal elements in the right-most matrix, while the indirect effect is the average sum of the off-diagonal elements.
Prior to conducting empirical regressions, we performed a series of diagnostic tests to determine the most appropriate model specification. Specifically, we employed the LM, Robust LM, Wald, LR, and Hausman tests. The results are presented in Table 5. Under the geographic–economic nested weight matrix, both the LM and Robust LM tests reject the null hypothesis of no spatial lag (or error) effects at the 1% significance level, indicating that spatial dependence exists and that a spatial econometric model is appropriate. Among the competing models, the spatial Durbin model (SDM) offers the best fit as it accounts for both the spatial lags of the dependent and independent variables. Moreover, the Wald and LR tests further confirm that the SDM does not simplify to either a spatial lag model (SLM) or spatial error model (SEM), as both tests are significant at the 1% level. The Hausman test also produces a statistically significant positive value, rejecting the null hypothesis of random effects. Therefore, we adopted a fixed-effect SDM framework for subsequent estimations.
The combination of the spatial Durbin model and the dynamic panel threshold model serves complementary analytical purposes. The SDM captures spatial dependence and spillover effects under the assumption of linear marginal impacts, allowing us to identify whether digital development generates local and neighboring effects. The threshold model, by contrast, focuses on structural nonlinearity by identifying regime shifts in the digital economy–green development relationship as resource dependence crosses critical levels. Together, these approaches enable us to disentangle spatial heterogeneity from nonlinear structural constraints, providing a more comprehensive understanding of how digitalization operates across space and resource regimes.

4. Results and Analysis

4.1. Spatial Correlation Analysis

Given that the impact of the DE on green urban growth may be driven by both geographical and economic proximity, we constructed three types of spatial weight matrices based on the approach of Case et al. [58]:
1. Inverse Geographic Distance Matrix (W1):
W i j d = 1 d i j ,   i j 0 ,   i = j
where d i j denotes the Euclidean distance between cities   i and j . A smaller distance implies a higher spatial weight.
2. Economic Distance Matrix (W2):
W i j e = 1 p g d p i p g d p j
Here, a smaller difference in GDP per capita indicates stronger economic similarity and greater spatial influence.
3. Nested Geographic–Economic Matrix (W3):
W i j d e = α × W i j d   + 1 α × W i j e ,   i j   0 ,   i j
where α is a weighting coefficient reflecting the balance between geographic and economic proximity. The nested matrix captures the compound effect of spatial closeness and economic similarity.
To examine the spatial clustering of urban GSD, we applied the global Moran’s I statistic, calculated as follows:
M o r a n s   I = n i = 1 n j = 1 n W i j x i x ¯ x j x ¯ S 2 i = 1 n j = 1 n w i j
where S 2 = i = 1 n ( x i x ¯ ) 2 ,     x ¯ = 1 n i = 1 n x i .
In addition to global patterns, local spatial clustering was assessed using Local Moran’s I:
I i = Z i × j = 1 n w i z j
where z i = x i x ¯ , z j = x j x ¯ .
Using the above spatial matrices, we computed global Moran’s I for GSD across Chinese cities to test for spatial dependence. The results are reported in Table 6:
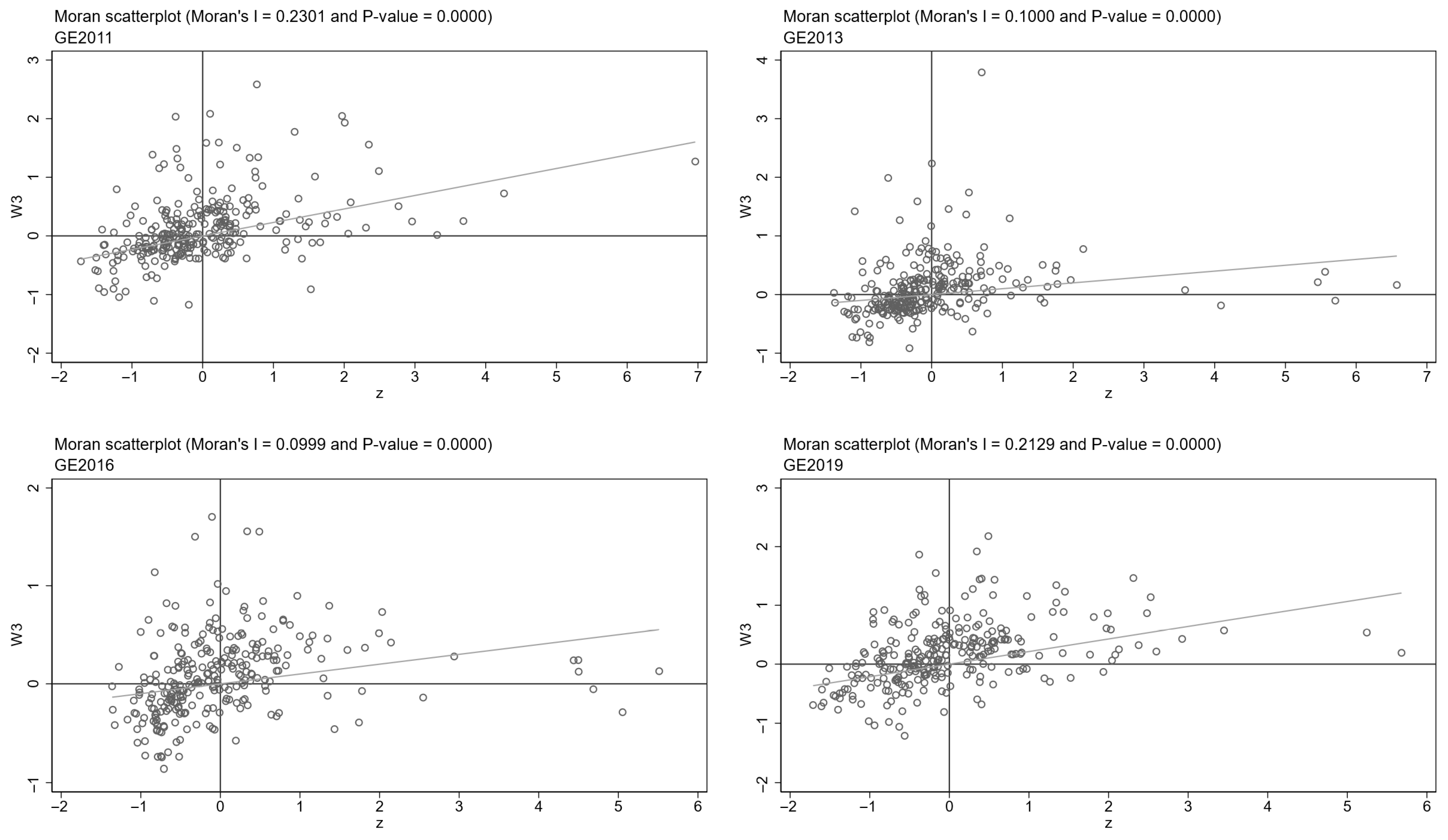
To further examine spatial heterogeneity, we used Local Moran’s I scatterplots (Figure 1) to detect patterns of localized spatial clustering in urban GSD. These visualizations reveal significant clustering effects, with high-GSD cities tending to be spatially proximate to one another, indicating the presence of regional agglomeration.

4.2. Baseline Spatial Regression Results

Table 7 presents the baseline regression results. Columns (1) and (2) report estimates from standard OLS and fixed-effect models without accounting for spatial interactions. Columns (3) and (4) show the results of the spatial Durbin model (SDM). Consistent with the model specification tests in Table 5, we adopt the SDM with both city and time fixed effects to account for unobserved heterogeneity and temporal shocks. This is particularly important given that urban sustainability may follow long-run structural trends.
Across specifications, the coefficient on the DE index remains significantly positive at the 5% or 1% level, ranging between 0.15 and 0.22. This indicates that higher levels of digitalization are robustly associated with improved local green development. However, once spatial dependence is introduced in Columns (3) and (4), the magnitude of the DE coefficient decreases, highlighting the necessity of using spatial models to avoid overestimation of localized effects. Crucially, both the spatial lag of DE and the spatial autoregressive coefficient are statistically significant at the 1% level. This implies that not only does digital development in a city enhance its own sustainability, but it also has significant spatial spillover effects on surrounding cities—though the direction and nature of these spillovers warrant closer inspection.
The negative and significant coefficient on the DE*RD interaction term suggests that the green dividends of digitalization are substantially weakened—and may even be reversed—in regions with high RD. This supports the hypothesis that in resource-intensive cities, digital investments tend to flow into upstream extractive activities rather than low-carbon innovations, reinforcing a “resource lock-in” effect. The decomposition of SDM effects offers further insights. The direct effect of DE is positive and significant at the 1% level, confirming its pro-sustainability role within cities. However, the indirect effect is significantly negative, indicating that digital development siphons off talent, capital, and innovation capacity from neighboring cities, thereby undermining their green efforts—a phenomenon consistent with digital “siphoning” [59]. Consequently, the total effect turns negative, highlighting the structural paradox of local gains and regional divergence. These findings robustly validate the hypothesized dual-channel mechanism: the spatial siphoning of benefits and the resource-modulated reversal of digital effects in high-dependence zones.

4.3. Robustness Check

4.3.1. Alternative Spatial Weight Matrices

To verify the robustness of our results to the choice of spatial structure, we re-estimated the model using two alternative spatial weight matrices introduced earlier: the inverse geographic distance matrix (Equation (4)) and the economic distance matrix (Equation (5)). Columns (1) and (2) of Table 8 report the results. Across both specifications, the coefficient of the DE index remains significantly positive, and spatial spillovers persist, confirming consistency with the baseline findings in Table 7.

4.3.2. Exclusion of Municipalities

Given the administrative and economic distinctiveness of China’s four directly governed municipalities (Beijing, Tianjin, Shanghai, and Chongqing), we excluded them from the sample and re-estimated the model. Column (3) of Table 8 shows that the positive impact of DE on urban GSD remains statistically significant. This suggests that the baseline results are not driven by sample selection bias or large-city effects.

4.3.3. Endogeneity Tests

We acknowledge the potential endogeneity concerns arising from the bidirectional relationship between the DE and Urban GSD, as well as from omitted variable bias. To address these issues, we employed the generalized spatial two-stage least squares (GS2SLS) estimator, which effectively accounts for spatial dependence while correcting for endogeneity [60]. Following Wang et al. [61], we used the spatial lag of DE (W*DE) as an instrumental variable, under the assumption that while spatially lagged digital activity affects local DE, it does not directly determine GSD outcomes. Column (1) of Table 9 confirms the validity of this approach: the coefficient of DE remains significantly positive, reinforcing the robustness of our baseline findings. Furthermore, drawing on the shift-share IV strategy by Nunn and Qian [62], we constructed an alternative instrument by interacting the number of post offices per million people in each city (measured in 1984) with the national fixed investment in the information and software industry from the previous year. The historical number of post offices in 1984 reflects pre-digital communication infrastructure and is plausibly exogenous to contemporary green development outcomes. Its interaction with national software industry investment captures exogenous variation in local digital exposure driven by national policy trends rather than local environmental conditions. First-stage regression results indicate that the instrumental variables are sufficiently strong, with F-statistics (103.501) exceeding conventional thresholds, alleviating concerns regarding weak instruments. As shown in Column (2) of Table 9, the DE coefficient remains positive and significant, further confirming the consistency of our results.

4.4. Heterogeneity Analysis

To assess heterogeneity in DE effects under varying resource dependencies, we classified the 277 Chinese prefecture-level cities into two groups: 113 RBCs and 164 NRBCs, based on the official guideline Plan for the Sustainable Development of Resource-Based Cities (2013–2020). The lifecycle classification of resource-based cities strictly follows official policy documents and is treated as time-invariant over the sample period. Regression results are presented in Table 10, columns (1) and (2). We found that in RBCs, the DE has a significantly negative effect on local GSD. In contrast, in NRBCs, the effect is significantly positive.
Decomposition further shows that, in RBCs, the negative effect is entirely driven by the local (direct) channel, while no significant spillover is observed toward neighboring areas; In NRBCs, the positive effect also stems from local development, but there exists a significantly negative spatial spillover—indicating a “green siphoning” effect, whereby local digitalization draws away talent, capital, and green investment from adjacent regions, suppressing their GSD performance. The total effect in RBCs amplifies the local suppression, whereas in NRBCs, the positive local gains are partially offset by negative spillovers, resulting in a net negative total effect.
These results highlight two important mechanisms: Resource Lock-In in RBCs: High dependence on natural resource sectors causes both capital and talent to be channeled into upstream extractive industries, leading to poor synergy between digital infrastructure and green transformation. Lack of External Spillovers: The non-significant indirect effects suggest that digitalization in RBCs evolves in isolation, failing to diffuse benefits to neighboring regions. By contrast, NRBCs benefit from a local digital green dividend, but at the cost of environmental equity due to regional siphoning. These findings underscore the crucial role of resource endowment heterogeneity in explaining the structural divergence of the DE’s green effects across cities.
To further unpack lifecycle-based heterogeneity among RBCs, we categorized them into four types—growing, mature, declining, and regenerating—based on their development stages. Regression results are presented in Table 11, columns (1) through (4). The interpretation should be approached with caution, as city-level variations and policy contexts may further mediate these patterns.
For growing resource cities (e.g., Karamay, Ordos), the coefficient for the local DE is negative but statistically insignificant, while the positive spillover effect is large and significant, rendering the total effect significantly positive. This suggests that early-stage digital infrastructure in these cities may have been developed with regional sharing in mind, generating more external benefits than internal absorption. For mature resource cities (e.g., Daqing, Panzhihua), the direct local effect is significantly negative, and while the spillover is positive, it is insignificant, yielding a net effect close to zero. This implies that digital dividends are offset by intensive resource extraction pressures. Declining resource cities (e.g., Hegang, Fuxin) show consistently negative local, spillover, and total effects, suggesting that the DE is poorly aligned with obsolete industrial structures and may even amplify externalities. In regenerating resource cities (e.g., Jiyuan, Tongling), the DE also shows a negative total effect, possibly due to the transition still being in its adaptation phase. While investments in digitalization may support transformation, the synergy with green development has not yet materialized.
It should be noted that the subsample sizes for certain lifecycle categories—particularly growing resource-based cities—are relatively small. As a result, these findings should be interpreted with caution and viewed as exploratory rather than definitive. The results primarily indicate potential stage-dependent patterns that warrant further validation with extended data or alternative empirical strategies in future research.

4.5. Threshold Effect of RD

The dynamic panel threshold model is estimated using the system GMM approach to address potential endogeneity arising from reverse causality, omitted variables, and the persistence of green sustainable development. The inclusion of the lagged dependent variable (L.GSD) captures dynamic adjustment effects and long-term path dependence in urban green development. Threshold significance is tested using a bootstrap procedure with repeated resampling to construct confidence intervals. In addition to a single-threshold specification, multiple-threshold tests were conducted; however, only one statistically significant threshold was identified, indicating a dominant regime-switching effect of resource dependence.
While the SDM model captures spatial spillover heterogeneity, it assumes linear marginal effects. To uncover possible nonlinear interactions between RD and the DE-GSD relationship, we further implemented a dynamic panel threshold model. The RD was used as the threshold variable. The linearity test (p = 0.000) strongly rejects the null of no threshold effect, and the model identifies a significant threshold value at RD = 0.025 (95% CI: [0.005, 0.044]). All post-estimation diagnostics (AR(2), Sargan) confirm model validity, as detailed in Table 12, which presents the threshold regression results.
In the low-dependence regime (RD < 0.025), the coefficient of DE is positive and significant at the 5% level, indicating that when RD is minimal, the DE significantly enhances urban green productivity; In the high-dependence regime (RD ≥ 0.025), the coefficient for DE becomes strongly negative, suggesting that once the threshold is crossed, digital investments are locked into high-emission sectors, thus undermining sustainable outcomes. The overall effect remains negative at the 1% level, consistent with our earlier SDM findings of “local gains, regional losses”. Interestingly, the RD variable itself also exhibits a dual effect: at low levels, RD positively contributes to GSD (possibly via fiscal surpluses), but at high levels, the effect turns negative or insignificant as environmental degradation outweighs financial gains.

4.6. Discussion

The discussion highlights that the empirical results provide consistent evidence that the digital economy is associated with improved local green sustainable development. This finding supports theoretical arguments that digitalization enhances resource allocation efficiency, strengthens environmental governance capacity, and facilitates the diffusion of green innovation [63]. It also aligns with a growing body of empirical research showing that digital infrastructure development and digital industrial upgrading contribute to greener productivity growth and lower emission intensity in urban systems [64].
At the same time, the significantly negative indirect effects indicate that digital development may generate spatial divergence rather than shared green gains. Compared with studies emphasizing positive knowledge spillovers and regional diffusion effects [65], our results suggest that siphoning-dominant mechanisms may prevail when digital development exhibits strong agglomeration economies and when peripheral cities lack sufficient absorptive capacity. This interpretation is consistent with the conceptual distinction proposed in this study: negative spatial effects in the digital context are not necessarily driven by pollution transfer, but may arise from the reallocation of high-quality production factors toward digital cores.
Furthermore, the moderation and threshold results provide additional support for the resource lock-in argument [66]. Specifically, when resource dependence is low, digitalization is more likely to complement green upgrading and environmental governance. However, beyond a critical level of resource dependence, digital investment may be redirected toward reinforcing extractive structures, weakening regulatory effectiveness and suppressing green outcomes. This regime-switching pattern helps explain why the “digital dividend” does not automatically translate into a “green dividend” across heterogeneous cities. Overall, these findings suggest that the green effects of the digital economy are conditional, spatially asymmetric, and structurally constrained, underscoring the necessity of differentiated digital and environmental policy designs.

5. Conclusions

5.1. Key Findings

Drawing on panel data from 277 Chinese prefecture-level cities between 2011 and 2019, this study employs spatial Durbin models, resource-based city subgroup regressions, and a dynamic threshold system GMM approach to examine the green impacts of the digital economy under varying levels of resource dependence. The main findings are summarized below.
First, the digital economy exhibits a dual effect on urban green sustainable development. While digitalization significantly improves local green performance, it also generates negative spatial externalities by siphoning off talent, capital, and innovation resources from neighboring cities, resulting in a pattern of local green gains alongside regional divergence.
Second, resource dependence critically conditions the green effects of digitalization. In resource-based cities, digital development tends to reinforce existing extractive structures and fails to generate significant green dividends, whereas non-resource-based cities benefit more from digitalization locally but still experience negative spatial spillovers.
Third, the relationship between the digital economy and green sustainable development is characterized by a significant threshold effect. When resource dependence remains below a critical level, digitalization promotes green development; beyond this threshold, its effect reverses and intensifies in the negative direction.
Finally, the lifecycle stage of resource-based cities further shapes digital–green interactions. Growing cities exhibit relatively favorable spillover patterns, while mature, declining, and regenerating cities face stronger structural constraints that limit the green effectiveness of digital investment.

5.2. Policy Implications

The policy implications can be interpreted along two dimensions: the degree of resource dependence and the urban development stage, forming a structured matrix that links city characteristics to differentiated digital–green strategies. Based on the empirical results and identified mechanisms, we propose differentiated strategies to promote synergistic evolution between digitalization and green transformation across urban types:
For cities with low RD, further integration of the digital and green sectors should be prioritized. These cities benefit from both positive local impacts and moderate spillovers. Digital infrastructure investment should be steered toward decarbonization scenarios, such as green manufacturing, smart logistics, and eco-mobility. In parallel, green finance instruments should be strengthened to ensure capital flows toward sustainable technologies rather than energy-intensive rebound paths.
For cities at the RD threshold, close attention must be paid to the structural risks of digital reversal—where digitalization shifts from facilitating to hindering green outcomes. We recommend setting up dedicated fiscal instruments that link resource rents to green transformation funds, and promoting interregional benefit-sharing mechanisms to mitigate spatial siphoning and foster positive environmental externalities.
For highly resource-dependent cities, a “green scenario first, digital retrofit second” strategy is advised. Priority should be given to initiatives such as mine tailing remediation, waste recovery, and environmental monitoring, which provide a green foundation for subsequent digital application. Digital tools should not be directed toward upstream extractive sectors, which may entrench lock-in effects. A gradual industrial diversification roadmap must also be implemented to reduce dependence on resource sectors and unlock future digital dividends.
For RBCs at different lifecycle stages, tailored policies are essential. Growing cities should enhance local green absorption capacity to avoid underutilization of positive spillovers. Mature and declining cities must pursue industrial diversification and attract high-end services to improve digital–green compatibility. Regenerating cities can experiment with “digital governance + ecological restoration” models, such as smart environmental surveillance or AI-powered ecosystem management, to stabilize transformation gains and prevent regression.
In summary, the impact of the DE on urban green transformation is structurally differentiated. Only by aligning digital development strategies with resource endowment and development stage can cities avoid falling into a “digital trap” and truly convert digital dividends into sustainable green gains.

5.3. Limitations and Future Research

This study contributes by proposing a dual-channel framework (resource lock-in and digital siphoning) and empirically identifying spatially asymmetric and threshold-dependent digital–green effects across Chinese cities. Several limitations remain. First, data availability constrains the study period, which may limit the immediacy of some policy implications. Second, while a range of robustness checks is conducted, unobserved institutional factors may still influence digital–green interactions. Third, lifecycle classification necessarily simplifies complex urban dynamics.
Future research may extend the analysis using more recent data as they become available, explore cross-country or cross-region comparisons, and employ micro-level data (e.g., firm innovation and investment flows) to further validate and unpack the resource lock-in and digital siphoning channels. Additionally, future work may explicitly model moderators (e.g., lifecycle stage, institutional quality) in unified interaction frameworks to complement subsample evidence.

Author Contributions

Conceptualization, X.G. and H.L.; Methodology, X.G., Y.W. and H.L.; Software, X.G. and Y.W.; Validation, X.G.; Formal analysis, X.G. and H.L.; Resources, Y.W.; Data curation, Y.W. and H.L.; Writing – original draft, X.G. and Y.W.; Writing – review & editing, X.G. and H.L.; Visualization, Y.W.; Funding acquisition, X.G. and H.L. All authors have read and agreed to the published version of the manuscript.

Funding

This study was financially supported by Sichuan Key Provincial Research Base of Intelligent Tourism, Sichuan University of Science and Engineering (Grant No. ZHYR24-05), Talent Recruitment Project of Sichuan University of Science and Engineering (Grant Nos. 2024RC096 and 2024RC098), Key Research Base of Humanities and Social Sciences, Sichuan Provincial Department of Education, Research Center for Science, Technology Finance and Entrepreneurial Finance (Grant No. KJJR202508) and Chengdu Center for Philosophy and Social Sciences—Research Center for Refined Governance of Mega-cities (Grant No. TD2025Z5).

Institutional Review Board Statement

Not applicable.

Informed Consent Statement

Not applicable.

Data Availability Statement

The original contributions presented in this study are included in the article. Further inquiries can be directed to the corresponding author.

Conflicts of Interest

The authors declare no conflicts of interest.

References

  1. Li, H. Uniting Geo-Energy and Environment Science for a Sustainable Future. J. Geo-Energy Environ. 2025, 1, 1–7. [Google Scholar] [CrossRef]
  2. Citaristi, I. United nations human settlements programme—UN-habitat. In The Europa Directory of International Organizations 2022; Routledge: Abingdon, UK, 2022; pp. 240–243. [Google Scholar]
  3. Guo, D.; Qiao, L. Government environmental concern and urban green development efficiency: Structural and technological perspectives. J. Clean. Prod. 2024, 450, 142016. [Google Scholar] [CrossRef]
  4. Zhang, J.; Chang, Y.; Zhang, L.; Li, D. Do technological innovations promote urban green development?—A spatial econometric analysis of 105 cities in China. J. Clean. Prod. 2018, 182, 395–403. [Google Scholar] [CrossRef]
  5. Jin, P.; Peng, C.; Song, M. Macroeconomic uncertainty, high-level innovation, and urban green development performance in China. China Econ. Rev. 2019, 55, 1–18. [Google Scholar] [CrossRef]
  6. Qiu, S.; Wang, Z.; Liu, S. The policy outcomes of low-carbon city construction on urban green development: Evidence from a quasi-natural experiment conducted in China. Sustain. Cities Soc. 2021, 66, 102699. [Google Scholar] [CrossRef]
  7. Du, X.; Zhou, J.; Xiao, C. Spatial effects and influencing factors of urban sustainable development: An analysis of urban agglomerations in China. Econ. Anal. Policy 2024, 81, 556–575. [Google Scholar] [CrossRef]
  8. Pan, W.; Xie, T.; Wang, Z.; Ma, L. Digital economy: An innovation driver for total factor productivity. J. Bus. Res. 2022, 139, 303–311. [Google Scholar] [CrossRef]
  9. Masanet, E.; Shehabi, A.; Lei, N.; Smith, S.; Koomey, J. Recalibrating global data center energy-use estimates. Science 2020, 367, 984–986. [Google Scholar] [CrossRef]
  10. Tan, L.; Yang, Z.; Irfan, M.; Ding, C.J.; Hu, M.; Hu, J. Toward low-carbon sustainable development: Exploring the impact of digital economy development and industrial restructuring. Bus. Strategy Environ. 2024, 33, 2159–2172. [Google Scholar] [CrossRef]
  11. Jiang, H.; Elahi, E.; Gao, M.; Huang, Y.; Liu, X. Digital economy to encourage sustainable consumption and reduce carbon emissions. J. Clean. Prod. 2024, 443, 140867. [Google Scholar] [CrossRef]
  12. Bie, F.; Yang, Y.; Shen, H.; Zhao, Q. Inclusive digital economy, resource dependence and changes in the urban energy mix: City level analysis from China. Resour. Policy 2024, 92, 105027. [Google Scholar] [CrossRef]
  13. Wan, G.; Yang, L.; Hao, Y.; Geng, Y. Assessing the impacts of digital economy on urban green development efficiency. Sustain. Futures 2025, 10, 100910. [Google Scholar] [CrossRef]
  14. Crescenzi, R.; Gagliardi, L. The innovative performance of firms in heterogeneous environments: The interplay between external knowledge and internal absorptive capacities. Res. Policy 2018, 47, 782–795. [Google Scholar] [CrossRef]
  15. Li, H.; He, S.; Radwand, A.E.; Xie, J.; Qin, Q. Quantitative analysis of pore complexity in lacustrineorganic-rich shale and comparison to marine shale: Insights from experimental tests and fractal theory. Energy Fuels 2024, 38, 16171–16188. [Google Scholar] [CrossRef]
  16. Huang, Y.; Chen, Z.; Li, H.; Yin, S. The impact of digital economy on green total factor productivity considering the labor-technology-pollution factors. Sci. Rep. 2023, 13, 22902. [Google Scholar] [CrossRef] [PubMed]
  17. Fan, J.; Yan, L.; Chen, H. The Impact of the Digital Economy on Provincial Carbon Productivity: Empirical Evidence from China. SAGE Open 2024, 14, 21582440241253760. [Google Scholar] [CrossRef]
  18. Feng, L.; Lu, J.; Hu, J.; Irfan, M.; Wu, K. Divergent carbon emission mitigation pathways toward sustainable development: Heterogeneous effects of the digital economy in urban centers versus boundary regions. Sustain. Cities Soc. 2025, 132, 106808. [Google Scholar] [CrossRef]
  19. Liu, Y.; Pu, X.; Zhang, G. Spatial spillover effect and heterogeneity of digital economy on agricultural carbon emissions. Sci. Rep. 2025, 15, 37693. [Google Scholar] [CrossRef]
  20. Sachs, J.D.; Warner, A.M. The curse of natural resources. Eur. Econ. Rev. 2001, 45, 827–838. [Google Scholar] [CrossRef]
  21. Wang, Y.; Chen, H.; Long, R.; Sun, Q.; Jiang, S.; Liu, B. Has the sustainable development planning policy promoted the green transformation in China’s resource-based cities? Resour. Conserv. Recycl. 2022, 180, 106181. [Google Scholar] [CrossRef]
  22. Cust, J.; Poelhekke, S. The local economic impacts of natural resource extraction. Annu. Rev. Resour. Econ. 2015, 7, 251–268. [Google Scholar] [CrossRef]
  23. Lyu, Y.; Wang, W.; Wu, Y.; Zhang, J. Breaking mineral resource curse through digital economy: Resource-based regions’ sustainable path in the age of digitalization. Resour. Policy 2024, 99, 105379. [Google Scholar] [CrossRef]
  24. Tian, Y.; Guo, L. Digital development and the improvement of urban economic resilience: Evidence from China. Heliyon 2023, 9, e21087. [Google Scholar] [CrossRef] [PubMed]
  25. Zhao, K.; Xu, H.; Wu, W. Digital Economy and Urban Innovation Ability: From the Spatial Nonlinear Perspective. SAGE Open 2024, 14, 21582440241296219. [Google Scholar] [CrossRef]
  26. Ferreira, A.; Oliveira, F.P.; von Schönfeld, K.C. Planning cities beyond digital colonization? Insights from the periphery. Land Use Policy 2022, 114, 105988. [Google Scholar] [CrossRef]
  27. Zhou, J.; Xu, W.; Yan, D. Breaking the resource curse: The impact of digital economy on the sustainable transformation of resource-based cities. Sustain. Cities Soc. 2024, 113, 105707. [Google Scholar] [CrossRef]
  28. Shapiro, J.S.; Walker, R. Why is pollution from US manufacturing declining? The roles of environmental regulation, productivity, and trade. Am. Econ. Rev. 2018, 108, 3814–3854. [Google Scholar] [CrossRef]
  29. Xiang, J.; He, Z.; Lei, G.; Chen, C. Life Cycle Assessment of Iridium Production: Environmental Impact Analysis Based on Brightway2. J. Geo-Energy Environ. 2025, 1, 70–75. [Google Scholar] [CrossRef]
  30. He, Z.; Wang, H.; Xiang, J.; Chen, C. Enhancing the Sustainability of Underground Battery Storage: A Robust SOC Estimation Model Against Thermal Variations for Green Energy Systems. J. Geo-Energy Environ. 2025, 1, 88–95. [Google Scholar] [CrossRef]
  31. Xu, X.; Cai, H. The impacts on regional “resource curse” by digital economy: Based on panel data analysis of 262 resource-based cities in China. Resour. Policy 2024, 95, 105152. [Google Scholar] [CrossRef]
  32. Yang, G.; Deng, F.; Wang, F.; Mao, Z.; Wu, X.; Zhang, F. Digital economy, resource distortion and low-carbon inclusive development-Evidence from the perspectives of a threshold effect and knowledge spillover effect. PLoS ONE 2024, 19, e0302402. [Google Scholar] [CrossRef]
  33. Dong, H.; Tao, M.; Wen, L.; Poletti, S.; Sheng, M.S. Does natural resource dependence restrict green development? An investigation from the “Belt and road” countries. Environ. Res. 2024, 255, 119108. [Google Scholar] [CrossRef] [PubMed]
  34. Xiao, S.; Zhou, P.; Zhou, L.; Wong, S. Digital economy and urban economic resilience: The mediating role of technological innovation and entrepreneurial vitality. PLoS ONE 2024, 19, e0303782. [Google Scholar] [CrossRef]
  35. Zhao, C.; Zhong, C.; Liu, C.; Xing, P. How the digital economy is empowering green strategies for breaking carbon lock-in. J. Environ. Manag. 2024, 365, 121670. [Google Scholar] [CrossRef]
  36. Qiu, Y.; Gao, C.; Song, N. Trickle-down or siphon: The spillover effects of the digital economy on green innovation from the perspective of the circular economy. Socio-Econ. Plan. Sci. 2025, 102, 102328. [Google Scholar] [CrossRef]
  37. Zhu, X. Features and spatial effects of urban development and decline in resource-oriented cities: The case of Jilin, China. PLoS ONE 2023, 18, e0289804. [Google Scholar] [CrossRef]
  38. Gong, Q. Green transformation paths of resource-based cities in China from the configuration perspective. Reg. Sustain. 2024, 5, 100158. [Google Scholar] [CrossRef]
  39. Sun, X.; Zhang, W.; Kuang, X. Radiation effect or siphon effect? Coupled coordination and spatial effects of digital economy and green manufacturing efficiency—Evidence from spatial Durbin modelling. PLoS ONE 2024, 19, e0313654. [Google Scholar] [CrossRef]
  40. Zhang, M.; Tan, F.; Lu, Z. Resource-based cities (RBC): A road to sustainability. Int. J. Sustain. Dev. World Ecol. 2014, 21, 465–470. [Google Scholar] [CrossRef]
  41. Yang, Y.; Cheng, D.; Zhang, B.; Guan, C.; Cheng, X.; Cheng, T. Coal resource-based cities at the crossroads: Towards a sustainable urban future. Cities 2023, 140, 104424. [Google Scholar] [CrossRef]
  42. Song, W.; Yin, S.; Zhang, Y.; Qi, L.; Yi, X. Spatial-temporal evolution characteristics and drivers of carbon emission intensity of resource-based cities in China. Front. Environ. Sci. 2022, 10, 972563. [Google Scholar] [CrossRef]
  43. Yang, Y.; Guo, H.; Chen, L.; Liu, X.; Gu, M.; Ke, X. Regional analysis of the green development level differences in Chinese mineral resource-based cities. Resour. Policy 2019, 61, 261–272. [Google Scholar] [CrossRef]
  44. Tong, T.; Zhang, T. Do sustainable development policies in resource-based cities contribute to industrial structure upgrading? empirical evidence from China. Front. Environ. Sci. 2025, 13, 1660843. [Google Scholar] [CrossRef]
  45. Song, Y.; Huang, H.; Li, Y.; Xia, J. Towards inclusive green growth in China: Synergistic roles and mechanisms of new infrastructure construction. J. Environ. Manag. 2024, 353, 120281. [Google Scholar] [CrossRef]
  46. Ma, X.; Feng, X.; Fu, D.; Tong, J.; Ji, M. How does the digital economy impact sustainable development?—An empirical study from China. J. Clean. Prod. 2024, 434, 140079. [Google Scholar]
  47. Gao, X.; Li, J. China’s digital economy: A dual mission of carbon-emission reduction and efficiency enhancement. Sustainability 2024, 16, 2351. [Google Scholar]
  48. Xu, W.; Zhou, J.; Liu, C. The impact of digital economy on urban carbon emissions: Based on the analysis of spatial effects. Geogr. Res. 2022, 41, 111–129. [Google Scholar]
  49. Wang, Y.; Gao, X. Mineral resource dependence and green transformation: The impact and challenges of green finance in Chinese cities. Humanit. Soc. Sci. Commun. 2024, 11, 1450. [Google Scholar] [CrossRef]
  50. Dian, J.; Song, T.; Li, S. Facilitating or inhibiting? Spatial effects of the digital economy affecting urban green technology innovation. Energy Econ. 2024, 129, 107223. [Google Scholar]
  51. Iamsiraroj, S. The foreign direct investment–economic growth nexus. Int. Rev. Econ. Financ. 2016, 42, 116–133. [Google Scholar] [CrossRef]
  52. Adeel-Farooq, R.M.; Riaz, M.F.; Ali, T. Improving the environment begins at home: Revisiting the links between FDI and environment. Energy 2021, 215, 119150. [Google Scholar] [CrossRef]
  53. Cheng, M.; Wu, S.; Zeng, C.; Yu, X.; Wang, J. Can economic growth and urban greenness achieve positive synergies during rapid urbanization in China? Ecol. Indic. 2023, 150, 110250. [Google Scholar] [CrossRef]
  54. Suki, N.M.; Suki, N.M.; Afshan, S.; Sharif, A.; Kasim, M.A.; Hanafi, S.R.M. How does green technology innovation affect green growth in ASEAN-6 countries? Evidence from advance panel estimations. Gondwana Res. 2022, 111, 165–173. [Google Scholar] [CrossRef]
  55. Elhorst, J.P. Spatial Econometrics: From Cross-Sectional Data to Spatial Panels; Springer: Berlin/Heidelberg, Germany, 2014; Volume 479. [Google Scholar]
  56. LeSage, J.; Pace, R.K. Introduction to Spatial Econometrics; Chapman and Hall/CRC: Boca Raton, FL, USA, 2009. [Google Scholar]
  57. Case, A.C.; Rosen, H.S.; Hines, J.R., Jr. Budget spillovers and fiscal policy interdependence: Evidence from the states. J. Public Econ. 1993, 52, 285–307. [Google Scholar] [CrossRef]
  58. Ma, Z.; Xiao, H.; Li, J.; Chen, H.; Chen, W. Study on how the digital economy affects urban carbon emissions. Renew. Sustain. Energy Rev. 2025, 207, 114910. [Google Scholar] [CrossRef]
  59. Drukker, D.M.; Prucha, I.R.; Raciborski, R. Maximum likelihood and generalized spatial two-stage least-squares estimators for a spatial-autoregressive model with spatial-autoregressive disturbances. Stata J. 2013, 13, 221–241. [Google Scholar] [CrossRef]
  60. Wang, Q.; Guo, J.; Li, R.; Mikhaylov, A.; Moiseev, N. Does technical assistance alleviate energy poverty in sub-Saharan African countries? A new perspective on spatial spillover effects of technical assistance. Energy Strategy Rev. 2023, 45, 101047. [Google Scholar]
  61. Nunn, N.; Qian, N. US food aid and civil conflict. Am. Econ. Rev. 2014, 104, 1630–1666. [Google Scholar] [CrossRef]
  62. Xiao, Y.; Wu, S.; Liu, Z.Q.; Lin, H.J. Digital economy and green development: Empirical evidence from China’s cities. Front. Environ. Sci. 2023, 11, 1124680. [Google Scholar] [CrossRef]
  63. Li, G.; Li, X.; Huo, L. Digital economy, spatial spillover and industrial green innovation efficiency: Empirical evidence from China. Heliyon 2023, 9, e12875. [Google Scholar] [CrossRef] [PubMed]
  64. Zhang, H.; Zhang, K.; Yan, T.; Cao, X. The impact of digital infrastructure on regional green innovation efficiency through industrial agglomeration and diversification. Humanit. Soc. Sci. Commun. 2025, 12, 220. [Google Scholar] [CrossRef]
  65. Lu, K.; Qiu, Y.; Zhang, J.; Li, C.; Xie, J. Digital industry agglomeration and inclusive green growth: Synergies and path exploration. Front. Environ. Sci. 2025, 13, 1552159. [Google Scholar] [CrossRef]
  66. Li, Z.; Zhou, Q.; Wang, K. The impact of the digital economy on industrial structure upgrading in resource-based cities: Evidence from China. PLoS ONE 2024, 19, e0298694. [Google Scholar] [CrossRef] [PubMed]
Figure 1. Moran scatterplots for the years 2011, 2013, 2016, and 2019.
Figure 1. Moran scatterplots for the years 2011, 2013, 2016, and 2019.
Sustainability 18 01136 g001
Table 1. Urban GSD evaluation system.
Table 1. Urban GSD evaluation system.
Primary IndicatorSecondary IndicatorDescription
Economic SustainabilityEconomic Development LevelPer capita GDP (yuan)
GDP growth rate (%)
Income LevelUrban per capita disposable income (yuan)
Rural per capita disposable income (yuan)
Ratio of urban to rural per capita disposable income (%)
Social SustainabilityBasic EducationNumber of primary schools per 10,000 people
Number of secondary schools per 10,000 people
Healthcare LevelNumber of hospital beds per 10,000 people
Number of health technicians per 10,000 people
Social SecurityNumber of unemployed insured individuals (10,000)
Number of urban workers participating in pension insurance (10,000)
Environmental SustainabilitySustainable ProductionPer capita S O 2 emissions (tons)
Per capita industrial dust emissions (tons)
Sustainable ConsumptionPer capita wastewater emissions (tons)
Sustainable Living EnvironmentGreen coverage rate in urban areas (%)
Rate of harmless treatment of domestic waste (%)
Table 2. DE evaluation index system for Chinese cities.
Table 2. DE evaluation index system for Chinese cities.
Primary IndicatorSecondary IndicatorDescription
Digital EconomyDigital InfrastructureNumber of broadband internet access ports (ten thousand)
Number of broadband internet users (ten thousand)
Mobile phone penetration rate (phones per 100 people)
Digital IndustrializationProportion of employees in information transmission, computer services, and software industries (%)
Number of legal entities in information transmission, computer services, and software industries
Per capita telecommunications business volume (10,000 yuan)
Industrial DigitizationDigital inclusive finance index
Number of industrial–internet integration development projects
Table 3. Descriptive statistics.
Table 3. Descriptive statistics.
VariablesNMeanSDMaxMin
GSD24930.3100.1241.1770.116
DE24930.0080.0950.9970.000
RD24930.0130.0890.5630.000
pgdp249310.6690.57513.0568.773
open24930.0120.0230.7240.000
url249352.35014.75010021.400
gti24930.1581.65823.7710.000
Note: Median and mode statistics are omitted for brevity, as the primary purpose of Table 3 is to present dispersion and range characteristics relevant for panel regression analysis.
Table 4. Correlation matrix and multicollinearity diagnostics.
Table 4. Correlation matrix and multicollinearity diagnostics.
VIFGSDDERDpgdpopenurlgti
GSD 1.0000
DE2.560.2213 *1.0000
RD2.41−0.1768 *−0.1357 *1.0000
pgdp2.410.3200 *0.3853 *−0.0370 *1.0000
open2.120.03230.1921 *−0.0634 *0.2261 *1.0000
url1.070.1652 *0.4198 *−0.00440.7440 *0.1853 *1.0000
gti1.040.2784 *0.7217 *−0.1598 *0.5297 *0.1810 *0.5349 *1.0000
Mean VIF1.93
Note: * represents p < 0.1.
Table 5. Model specification tests.
Table 5. Model specification tests.
TestsMatrix: Geographic-Economic Nested Weight Matrix
LMRobust LMWaldLR
SEM429.535 ***209.793 ***46.55 ***84.57 ***
SAR243.560 ***23.818 ***29.20 ***78.41 ***
Hausman test11.27 **
Note: *** p < 0.01; ** p < 0.05.
Table 6. Global Moran’s I for GSD.
Table 6. Global Moran’s I for GSD.
YearVariable: GSD
Moran’s IZ-ValueYearMoran’s IZ-Value
20110.23019.849220160.09994.3634
20120.15386.662520170.17737.6662
20130.10004.423320180.18938.0935
20140.11004.835820190.21299.0607
20150.15876.8627
Table 7. Spatial effects of the DE on urban green sustainability.
Table 7. Spatial effects of the DE on urban green sustainability.
VariablesOLSSDM
(1)(2)(3)(4)
DE0.144 **0.218 ***0.140 ***0.196 ***
(2.282)(3.323)(2.874)(3.835)
RD−0.184 ***−0.060−0.198 ***−0.122 **
(−7.402)(−0.872)(−4.375)(−2.434)
DE*RD −14.486 *** −12.325 ***
(−4.018) (−3.839)
pgdp0.047 ***0.054 ***0.122 ***0.129 ***
(4.511)(5.140)(11.620)(12.094)
open0.070 ***0.0830.0290.041
(0.872)(1.036)(0.374)(0.526)
url−0.001 ***−0.002 ***−0.003 ***−0.003 ***
(−2.325)(−2.871)(−7.223)(−7.499)
gti0.011 ***0.009 ***0.013 ***0.011 ***
(5.485)(4.519)(6.146)(5.311)
_cons−0.096−0.1550.260 **0.262 **
(−0.897)(−1.445)(2.470)(2.442)
W*DE −0.463 ***−0.527 ***
(−5.328)(−5.281)
W*RD −0.027−0.089
(−0.305)(−0.854)
W*DE*RD 11.657 *
(1.723)
Spatial rho 0.236 ***0.241 ***
(6.145)(6.307)
Direct effect
DE 0.133 ***0.188 ***
(2.674)(3.580)
Indirect effect
DE −0.557 ***−0.611 ***
(−5.266)(−4.809)
Total effect
DE −0.424 ***−0.423 ***
(−3.736)(−3.018)
Year FENoYesYesYes
City FEYesYesYesYes
N2493249324932493
R20.7550.7570.1850.181
F15.32215.530
Note: *** p < 0.01; ** p < 0.05; * p < 0.1. Robust standard errors in parentheses.
Table 8. Robustness checks.
Table 8. Robustness checks.
VariablesInverse DistanceEconomic DistanceExcluding
Municipalities
(1)(2)(3)
DE0.144 ***0.093 *0.284 ***
(2.951)(1.924)(4.154)
RD−0.159 ***−0.217 ***−0.197 ***
(−3.509)(−4.882)(−4.382)
pgdp0.113 ***0.104 ***0.123 ***
(11.392)(10.406)(11.625)
open0.0280.0330.036
(0.370)(0.421)(0.459)
url−0.003 ***−0.002 ***−0.003 ***
(−7.389)(−5.557)(−6.959)
gti0.014 ***0.014 ***0.011 ***
(6.819)(7.062)(4.438)
_cons1.880 ***0.0040.270 **
(5.891)(0.054)(2.534)
W*DE−1.971 ***−0.306 ***−0.521 ***
(−5.222)(−6.154)(−4.604)
Spatial rho0.426 ***0.069 ***0.247 ***
(4.028)(3.957)(6.464)
Direct effect
DE0.137 ***0.086 *0.277 ***
(2.741)(1.743)(3.956)
Indirect effect
DE−3.388 ***−0.314 ***−0.593 ***
(−4.206)(−6.362)(−4.240)
Total effect
DE−3.251 ***−0.228 ***−0.317 **
(−4.028)(−3.252)(−2.041)
N249324932457
R20.2080.1680.196
Note: *** p < 0.01; ** p < 0.05; * p < 0.1. Robust standard errors in parentheses.
Table 9. Endogeneity tests using IVs.
Table 9. Endogeneity tests using IVs.
Variables(1)(2)
DE (lag)0.587 **
(2.363)
DE (ssi) 0.786 ***
(0.014)
ID FEYESYES
Year FEYESYES
ControlYESYES
N24932493
R20.1250.252
Note: *** p < 0.01; ** p < 0.05. Robust standard errors in parentheses.
Table 10. Heterogeneous effects in RBCs vs. NRBCs.
Table 10. Heterogeneous effects in RBCs vs. NRBCs.
VariablesRBCsNRBCs
(1)(2)
DE−0.925 ***0.153 ***
(−2.615)(2.860)
RD−0.189 ***−0.453 ***
(−3.737)(−4.029)
pgdp0.172 ***0.054 ***
(12.259)(3.519)
open0.099−0.137
(1.270)(−0.828)
url−0.003 ***−0.001 **
(−6.839)(−2.272)
gti0.0020.012 ***
(0.228)(5.509)
_cons0.0370.210
(0.258)(1.416)
W*DE−0.209−0.538 ***
(−0.309)(−5.687)
Spatial rho0.138 ***0.219 ***
(3.105)(4.596)
Direct effect
DE−0.919 **0.143 ***
(−2.548)(2.609)
Indirect effect
DE−0.406−0.636 ***
(−0.535)(−5.679)
Total effect
DE−1.325 *−0.493 ***
(−1.657)(−4.082)
N10171476
R20.1940.127
Note: *** p < 0.01; ** p < 0.05; * p < 0.1; robust standard errors in parentheses.
Table 11. Subsample analysis by lifecycle stage of RBCs.
Table 11. Subsample analysis by lifecycle stage of RBCs.
VariableGrowingMatureDecliningRegenerating
(1)(2)(3)(4)
DE−0.454−0.854 *−1.770 **−0.413
(−0.337)(−1.825)(−1.967)(−0.700)
RD−0.151−0.147 *−0.115 ***−0.047
(−0.609)(−1.659)(−2.855)(−0.453)
pgdp0.122 ***0.170 ***0.073 ***0.053 ***
(2.773)(8.581)(4.294)(2.746)
open0.4110.2670.119 ***−0.334 *
(0.163)(0.612)(2.748)(−1.745)
url−0.001−0.004 ***−0.001 *0.001
(−0.517)(−4.951)(−1.807)(0.783)
gti−0.0110.0000.000−0.010
(−0.108)(0.031)(0.008)(−1.584)
_cons0.039−0.2680.151−0.168
(0.079)(−1.192)(0.632)(−0.735)
W*DE8.246 **1.097−1.453−1.991 ***
(2.445)(0.841)(−1.154)(−2.789)
Spatial rho0.0900.082 *0.419 ***0.359 ***
(1.003)(1.718)(7.540)(4.695)
Direct effect
DE−0.084−0.817 *−2.184 **−0.702
(−0.060)(−1.708)(−2.308)(−1.127)
Indirect effect
DE8.671 **1.050−3.383 *−3.018 ***
(2.359)(0.743)(−1.857)(−2.892)
Total effect
DE8.587 **0.233−5.566 **−3.720 ***
(1.970)(0.163)(−2.479)(−2.684)
N126540216135
R20.3170.1070.2360.125
Note: *** p < 0.01; ** p < 0.05; * p < 0.1. Robust standard errors in parentheses.
Table 12. Dynamic threshold model results.
Table 12. Dynamic threshold model results.
VariableLower
Regime
Upper
Regime
Overall Post-Estimation Tests
(1)(2)(3)
Threshold Variable: RD
L.GSD0.222 ***0.055 **0.363 ***Kink1.469 **
(0.020)(0.028)(0.010) (0.675)
DE0.536 **−6.726 ***−0.166 ***Threshold indicator0.025 ***
(0.245)(0.754)(0.021) (0.010)
RD14.425 ***−14.250−1.608 ***95% Conf. Interval[0.005, 0.044]
(2.927)(2.636)(0.669)AR(1) (p-value)0.004
_cons0.025 *** AR(2) (p-value)0.338
(0.030) Sargan (p-value)0.000
Linearity test (p-value)0.000
Note: *** p < 0.01; ** p < 0.05. Robust standard errors in parentheses.
Disclaimer/Publisher’s Note: The statements, opinions and data contained in all publications are solely those of the individual author(s) and contributor(s) and not of MDPI and/or the editor(s). MDPI and/or the editor(s) disclaim responsibility for any injury to people or property resulting from any ideas, methods, instructions or products referred to in the content.

Share and Cite

MDPI and ACS Style

Gao, X.; Wang, Y.; Li, H. Digital Siphoning and Resource Lock-In: The Distortion and Spatial Divergence of the Digital Economy’s Green Effects. Sustainability 2026, 18, 1136. https://doi.org/10.3390/su18021136

AMA Style

Gao X, Wang Y, Li H. Digital Siphoning and Resource Lock-In: The Distortion and Spatial Divergence of the Digital Economy’s Green Effects. Sustainability. 2026; 18(2):1136. https://doi.org/10.3390/su18021136

Chicago/Turabian Style

Gao, Xiaodan, Yinhui Wang, and Hu Li. 2026. "Digital Siphoning and Resource Lock-In: The Distortion and Spatial Divergence of the Digital Economy’s Green Effects" Sustainability 18, no. 2: 1136. https://doi.org/10.3390/su18021136

APA Style

Gao, X., Wang, Y., & Li, H. (2026). Digital Siphoning and Resource Lock-In: The Distortion and Spatial Divergence of the Digital Economy’s Green Effects. Sustainability, 18(2), 1136. https://doi.org/10.3390/su18021136

Note that from the first issue of 2016, this journal uses article numbers instead of page numbers. See further details here.

Article Metrics

Back to TopTop