Interactive Stress and Synergistic Response of Ecological Security and Environmental Carrying Capacity in the Yangtze River Delta Urban Agglomeration
Abstract
1. Introduction
2. Research Scope, Data Sources, and Evaluation Index System
2.1. Study Area
2.2. Data Sources and Processing
2.3. Evaluation Index System
3. Research Methods
3.1. Comprehensive Evaluation Model
3.2. Interactive Stress Model
3.3. Coupling Coordination Degree Model
3.4. VAR Model
4. Results and Analysis
4.1. Interactive Stress Effect of Ecological Security and Environmental Carrying Capacity
4.1.1. Comprehensive Horizontal Characteristics
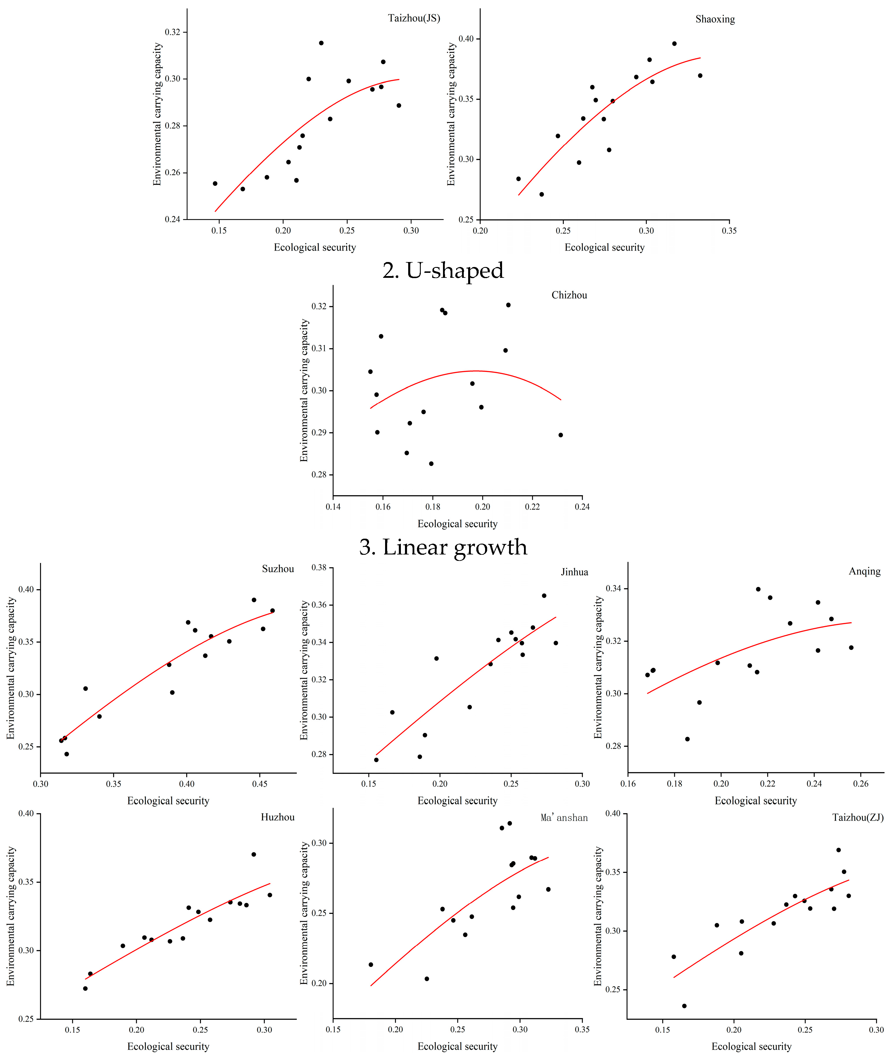
4.1.2. Solution of the Interactive Stress Relationship and Curve Fitting
4.2. Synergistic Response Analysis of Ecological Security Level and Environmental Carrying Capacity
4.2.1. Temporal and Spatial Evolution Characteristics of Synergistic Effect
4.2.2. Spatial Distribution Characteristics
4.3. Interactive Response Analysis of Ecological Security Level and Environmental Carrying Capacity
Impulse Response Relationship
- 1.
- Unit Root Test
- 2.
- Determination of Optimal Lag Order
- 3.
- AR Roots Test
- 4.
- Pulse Response Analysis
5. Conclusions
6. Discussion
Author Contributions
Funding
Institutional Review Board Statement
Informed Consent Statement
Data Availability Statement
Conflicts of Interest
Appendix A
| City Name | Double Exponential Curve Fitting Function | ||||||
|---|---|---|---|---|---|---|---|
| Shanghai | 0.4821 | 3.1284 | 0.5851 | 0.7836 | 0.9606 | 0.4258 | |
| Nanjing | 0.3604 | 3.5265 | 0.5890 | 0.8053 | 0.8595 | 0.5425 | |
| Wuxi | 0.3233 | 1.8431 | 0.5163 | 0.7635 | 0.7970 | 0.8607 | |
| Changzhou | 0.3032 | 1.4865 | 0.5130 | 0.7543 | 0.7971 | 0.8489 | |
| Suzhou | 0.3879 | 1.3179 | 0.5846 | 0.7830 | 0.8971 | 0.8758 | |
| Nantong | 0.3371 | 4.4700 | 0.4877 | 0.7360 | 0.7780 | 0.7958 | |
| Yancheng | 0.2915 | 3.6266 | 0.4463 | 0.7462 | 0.7050 | 0.3945 | |
| Yangzhou | 0.3011 | 3.2521 | 0.4609 | 0.7408 | 0.7348 | 0.7501 | |
| Zhenjiang | 0.2806 | 2.6744 | 0.4002 | 0.8483 | 0.6553 | 0.4352 | |
| Taizhou(JS) | 0.3001 | 1.1491 | 0.4756 | 0.7503 | 0.7459 | 0.6136 | |
| Hangzhou | 0.4046 | 3.6125 | 0.5154 | 0.7261 | 0.9328 | 0.5176 | |
| Ningbo | 0.3401 | 1.6500 | 0.5090 | 0.7427 | 0.8286 | 0.5593 | |
| Wenzhou | 0.3635 | 1.7531 | 0.4829 | 0.7172 | 0.8441 | 0.8757 | |
| Jiaxing | 0.3682 | 1.2870 | 0.5067 | 0.7581 | 0.7834 | 0.8169 | |
| Huzhou | 0.3701 | 0.7502 | 0.5371 | 0.7696 | 0.8054 | 0.8384 | |
| Shaoxing | 0.3861 | 2.2833 | 0.4853 | 0.7026 | 0.9080 | 0.7521 | |
| Jinhua | 0.3832 | 0.8423 | 0.5294 | 0.7479 | 0.8331 | 0.7728 | |
| Zhoushan | 0.3000 | 1.2523 | 0.4558 | 0.7823 | 0.7223 | 0.6993 | |
| Taizhou(ZJ) | 0.3635 | 1.0462 | 0.5044 | 0.7255 | 0.8503 | 0.7390 | |
| Hefei | 0.4221 | 1.9085 | 0.5433 | 0.7512 | 0.8899 | 0.4240 | |
| Wuhu | 0.3880 | 5.6947 | 0.4513 | 0.6664 | 0.9529 | 0.6555 | |
| Ma’anshan | 0.3022 | 1.0753 | 0.5189 | 0.7441 | 0.8368 | 0.5801 | |
| Tongling | 0.3166 | 3.8220 | 0.4271 | 0.6500 | 0.8831 | 0.4040 | |
| Anqing | 0.3278 | 1.2550 | 0.4641 | 0.7568 | 0.7043 | 0.3742 | |
| Chuzhou | 0.3236 | 3.2121 | 0.4252 | 0.7746 | 0.6773 | 0.4301 | |
| Chizhou | 0.3047 | 4.2605 | 0.0034 | 2.9762 | 0.4911 | 0.0670 | |
| Xuancheng | 0.3260 | 2.8625 | 0.3175 | 0.9400 | 0.5997 | 0.3046 |
| Partition | City | Variable | ADF-Fisher Statistics | Threshold | p Value | Conclusion | Variable | PP-Fisher Statistics | Threshold | p Value | Conclusion | ||||
|---|---|---|---|---|---|---|---|---|---|---|---|---|---|---|---|
| 1% | 5% | 10% | 1% | 5% | 10% | ||||||||||
| Northeast | Yancheng | ES | −1.975 | −4.004 | −3.099 | −2.690 | 0.293 | Non-Stability | ES | −1.907 | −4.004 | −3.099 | −2.690 | 0.320 | Non-Stability |
| ΔES | −4.169 | −4.297 | −3.213 | −2.748 | 0.012 | Stability | ΔES | −16.496 | −4.057 | −3.120 | −2.701 | 0.000 | Stability | ||
| ECC | −1.348 | −4.004 | −3.100 | −2.691 | 0.576 | Non-Stability | ECC | −1.097 | −4.004 | −3.099 | −2.690 | 0.685 | Non-Stability | ||
| ΔECC | −4.848 | −4.058 | −3.112 | −2.701 | 0.003 | Stability | ΔECC | −10.22 | −4.058 | −3.120 | −2.701 | 0.000 | Stability | ||
| Nantong | ES | −0.011 | −4.004 | −3.098 | −2.690 | 0.942 | Non-Stability | ES | 0.608 | −4.004 | −3.099 | −2.690 | 0.984 | Non-Stability | |
| ΔES | −5.360 | −4.058 | −3.112 | −2.701 | 0.001 | Stability | ΔES | −5.482 | −4.058 | −3.120 | −2.701 | 0.001 | Stability | ||
| ECC | −2.054 | −4.004 | −3.099 | −2.690 | 0.263 | Non-Stability | ECC | −2.075 | −4.004 | −3.099 | −2.690 | 0.256 | Non-Stability | ||
| ΔECC | −4.091 | −4.058 | −3.120 | −2.701 | 0.009 | Stability | ΔECC | −4.098 | −4.058 | −3.120 | −2.701 | 0.009 | Stability | ||
| Taizhou | ES | 1.235 | −4.200 | −3.175 | −2.729 | 0.996 | Non-Stability | ES | 0.267 | −4.004 | −3.099 | −2.690 | 0.967 | Non-Stability | |
| ΔES | −4.843 | −4.122 | −3.145 | −2.714 | 0.003 | Stability | ΔES | −4.819 | −4.058 | −3.120 | −2.701 | 0.003 | Stability | ||
| ECC | −1.719 | −4.004 | −3.099 | −2.690 | 0.401 | Non-Stability | ECC | −1.627 | −4.004 | −3.099 | −2.690 | 0.444 | Non-Stability | ||
| ΔECC | −4.512 | −4.058 | −3.120 | −2.701 | 0.005 | Stability | ΔECC | −5.024 | −4.058 | −3.120 | −2.701 | 0.002 | Stability | ||
| Yangzhou | ES | −0.130 | −4.004 | −3.099 | −2.690 | 0.928 | Non-Stability | ES | 0.336 | −4.004 | −3.099 | −2.690 | 0.971 | Non-Stability | |
| ΔES | −4.136 | −4.297 | −3.212 | −2.748 | 0.013 | Stability | ΔES | −4.009 | −4.058 | −3.120 | −2.701 | 0.011 | Stability | ||
| ECC | −1.943 | −4.004 | −3.099 | −2.690 | 0.305 | Non-Stability | ECC | −1.928 | −4.004 | −3.099 | −2.690 | 0.311 | Non-Stability | ||
| ΔECC | −3.519889 | −4.058 | −3.120 | −2.701 | 0.025 | Stability | ΔECC | −3.470 | −4.058 | −3.120 | −2.701 | 0.028 | Stability | ||
| Central section | Zhenjiang | ES | −1.269 | −4.121 | −3.145 | −2.714 | 0.202 | Non-Stability | ES | −2.308 | −4.004 | −3.099 | −2.690 | 0.183 | Non-Stability |
| ΔES | −5.715 | −4.015 | −3.254 | −2.621 | 0.002 | Stability | ΔES | −4.712 | −4.058 | −3.120 | −2.701 | 0.003 | Stability | ||
| ECC | −2.121 | −4.004 | −3.099 | −2.690 | 0.240 | Non-Stability | ECC | −2.132 | −4.004 | −3.099 | −2.690 | 0.236 | Non-Stability | ||
| ΔECC | −3.285 | −4.058 | −3.120 | −2.701 | 0.038 | Stability | ΔECC | −3.285 | −4.058 | −3.120 | −2.701 | 0.038 | Stability | ||
| Changzhou | ES | −1.423 | −4.004 | −3.099 | −2.690 | 0.541 | Non-Stability | ES | −2.272 | −4.004 | −3.099 | −2.690 | 0.193 | Non-Stability | |
| ΔES | −4.110 | −4.058 | −3.120 | −2.701 | 0.009 | Stability | ΔES | −4.119 | −4.058 | −3.120 | −2.701 | 0.009 | Stability | ||
| ECC | −2.926 | −4.122 | −3.145 | −2.714 | 0.071 | Non-Stability | ECC | −4.056 | −4.004 | −3.099 | −2.690 | 0.009 | Stability | ||
| ΔECC | −4.973 | −4.058 | −3.120 | −2.701 | 0.002 | Stability | ΔECC | — | — | — | — | — | — | ||
| Wuxi | ES | −3.056 | −4.122 | −3.145 | −2.714 | 0.058 | Non-Stability | ES | −2.505 | −4.004 | −3.099 | −2.690 | 0.1350 | Non-Stability | |
| ΔES | −4.564 | −4.058 | −3.120 | −2.701 | 0.004 | Stability | ΔES | −4.625 | −4.058 | −3.120 | −2.701 | 0.004 | Stability | ||
| ECC | −3.239 | −4.058 | −3.120 | −2.701 | 0.041 | Non-Stability | ECC | −2.845 | −4.004 | −3.099 | −2.690 | 0.077 | Non-Stability | ||
| ΔECC | −4.125 | −4.054 | −3.089 | −2.690 | 0.002 | Stability | ΔECC | −3.838 | −4.058 | −3.120 | −2.701 | 0.015 | Stability | ||
| Suzhou | ES | −0.668 | −4.058 | −3.120 | −2.701 | 0.822 | Non-Stability | ES | −1.840 | −4.004 | −3.099 | −2.690 | 0.348 | Non-Stability | |
| ΔES | −6.635 | −4.058 | −3.120 | −2.701 | 0.000 | Stability | ΔES | −5.482 | −4.058 | −3.120 | −2.701 | 0.001 | Stability | ||
| ECC | −1.393 | −4.004 | −3.099 | −2.690 | 0.411 | Non-Stability | ECC | −1.840 | −4.004 | −3.099 | −2.690 | 0.348 | Non-Stability | ||
| ΔECC | −4.251 | −4.058 | −3.120 | −2.701 | 0.007 | Stability | ΔECC | −5.482 | −4.058 | −3.120 | −2.701 | 0.001 | Stability | ||
| Shanghai | ES | −1.697 | −4.004 | −3.099 | −2.690 | 0.411 | Non-Stability | ES | −1.714 | −4.004 | −3.099 | −2.690 | 0.403 | Non-Stability | |
| ΔES | −2.308 | −2.755 | −1.971 | −1.604 | 0.0254 | Stability | ΔES | −6.126 | −4.122 | −3.145 | −2.714 | 0.000 | Stability | ||
| ECC | 0.004 | −4.122 | −3.145 | −2.714 | 0.941 | Non-Stability | ECC | 0.146 | −4.004 | −3.099 | −2.690 | 0.958 | Non-Stability | ||
| ΔECC | −3.335 | −4.122 | −3.145 | −2.714 | 0.037 | Stability | Δ2ECC | −3.873 | −4.122 | −3.145 | −2.714 | 0.015 | Stability | ||
| Huzhou | ES | −2.343 | −4.122 | −3.145 | −2.714 | 0.175 | Non-Stability | ES | −2.292 | −4.004 | −3.099 | −2.690 | 0.187 | Non-Stability | |
| ΔES | −4.387 | −4.058 | −3.120 | −2.701 | 0.006 | Stability | ΔES | −4.642 | −4.058 | −3.120 | −2.701 | 0.004 | Stability | ||
| ECC | −0.999 | −4.122 | −3.145 | −2.714 | 0.717 | Non-Stability | ECC | −2.151 | −4.004 | −3.099 | −2.690 | 0.230 | Non-Stability | ||
| ΔECC | −5.911 | −4.297 | −3.213 | −2.748 | 0.001 | Stability | ΔECC | −7.886 | −4.058 | −3.120 | −2.701 | 0.000 | Stability | ||
| Jiaxing | ES | −0.250 | −4.200 | −3.175 | −2.729 | 0.904 | Non-Stability | ES | −0.817 | −4.004 | −3.099 | −2.690 | 0.783 | Non-Stability | |
| ΔES | −4.211 | −4.297 | −3.213 | −2.748 | 0.011 | Stability | ΔES | −15.986 | −4.058 | −3.120 | −2.701 | 0.000 | Stability | ||
| ECC | −1.612 | −4.058 | −3.120 | −2.701 | 0.449 | Non-Stability | ECC | −1.826 | −4.004 | −3.099 | −2.690 | 0.354 | Non-Stability | ||
| ΔECC | −6.021 | −4.058 | −3.120 | −2.701 | 0.000 | Stability | ΔECC | −6.021 | −4.058 | −3.120 | −2.701 | 0.000 | Stability | ||
| West | Anqing | ES | −1.332 | −4.004 | −3.099 | −2.690 | 0.584 | Non-Stability | ES | −1.113 | −4.004 | −3.099 | −2.690 | 0.679 | Non-Stability |
| ΔES | −5.292 | −4.058 | −3.120 | −2.701 | 0.001 | Stability | ΔES | −9.458 | −4.058 | −3.120 | −2.701 | 0.000 | Stability | ||
| ECC | −1.144 | −4.004 | −3.099 | −2.690 | 0.891 | Non-Stability | ECC | −1.959 | −4.004 | −3.099 | −2.690 | 0.892 | Non-Stability | ||
| ΔECC | −5.426 | −4.058 | −3.120 | −2.701 | 0.001 | Stability | ΔECC | −4.561 | −4.004 | −3.099 | −2690 | 0.002 | Stability | ||
| Hefei | ES | −2.701 | −4.200 | −3.175 | −2.729 | 0.104 | Non-Stability | ES | −2.631 | −4.004 | −3.099 | −2.690 | 0.110 | Non-Stability | |
| ΔES | −8.776 | −4.200 | −3.175 | −2.729 | 0.000 | Stability | ΔES | −3.741 | −4.058 | −3.120 | −2.701 | 0.017 | Stability | ||
| ECC | −1.096 | −4.004 | −3.099 | −2.690 | 0.686 | Non-Stability | ECC | −1.688 | −4.004 | −3.099 | −2.690 | 0.415 | Non-Stability | ||
| ΔECC | −5.026 | −4.058 | −3.120 | −2.701 | 0.002 | Stability | ΔECC | −5.456 | −4.058 | −3.120 | −2.701 | 0.001 | Stability | ||
| Tongling | ES | −1.645 | −4.004 | −3.099 | −2.690 | 0.435 | Non-Stability | ES | −1.606 | −4.004 | −3.099 | −2.690 | 0.454 | Non-Stability | |
| ΔES | −3.659 | −4.058 | −3.120 | −2.701 | 0.020 | Stability | ΔES | −3.650 | −4.058 | −3.120 | −2.701 | 0.020 | Stability | ||
| ECC | −0.813 | −4.058 | −3.120 | −2.701 | 0.781 | Non-Stability | ECC | −1.141 | −4.004 | −3.099 | −2.690 | 0.667 | Non-Stability | ||
| ΔECC | −5.828 | −4.058 | −3.120 | −2.701 | 0.001 | Stability | ΔECC | −5.974 | −4.058 | −3.120 | −2.701 | 0.000 | Stability | ||
| Chizhou | ES | 1.551 | −4.058 | −3.120 | −2.701 | 0.998 | Non-Stability | ES | 1.349 | −4.004 | −3.099 | −2.690 | 0.997 | Non-Stability | |
| ΔES | −4.547 | −4.058 | −3.120 | −2.701 | 0.004 | Stability | ΔES | −4.505 | −4.058 | −3.120 | −2.701 | 0.005 | Stability | ||
| ECC | −3.005 | −4.122 | −3.145 | −2.714 | 0.063 | Non-Stability | ECC | −1.611 | −4.004 | −3.099 | −2.690 | 0.603 | Non-Stability | ||
| ΔECC | −3.439 | −4.297 | −3.212 | −2.748 | 0.036 | Stability | ΔECC | −4.652 | −4.058 | −3.120 | −2.701 | 0.006 | Stability | ||
| Chuzhou | ES | −1.666 | −4.004 | −3.099 | −2.690 | 0.426 | Non-Stability | ES | −1.604 | −4.004 | −3.099 | −2.690 | 0.454 | Non-Stability | |
| ΔES | −4.595 | −4.058 | −3.120 | −2.701 | 0.004 | Stability | ΔES | −4.808 | −4.058 | −3.120 | −2.701 | 0.003 | Stability | ||
| ECC | −1.717 | −4.004 | −3.099 | −2.690 | 0.017 | Non-Stability | ECC | −1.754 | −4.004 | −3.099 | −2.690 | 0.016 | Non-Stability | ||
| ΔECC | −4.568 | −4.012 | −3.145 | −2.714 | 0.001 | Stability | ΔECC | −4.845 | −4.058 | −3.099 | −2.690 | 0.003 | Stability | ||
| Nanjing | ES | −2.103 | −4.004 | −3.099 | −2.690 | 0.246 | Non-Stability | ES | −2.087 | −4.004 | −3.099 | −2.690 | 0.252 | Non-Stability | |
| ΔES | −3.362 | −4.058 | −3.120 | −2.701 | 0.033 | Stability | ΔES | −3.362 | −4.058 | −3.120 | −2.701 | 0.033 | Stability | ||
| ECC | −0.649 | −4.058 | −3.120 | −2.701 | 0.823 | Non-Stability | ECC | −1.074 | −4.004 | −3.099 | −2.690 | 0.695 | Non-Stability | ||
| ΔECC | −5.322 | −4.058 | −3.120 | −2.701 | 0.001 | Stability | ΔECC | −6.446 | −4.058 | −3.120 | −2.701 | 0.000 | Stability | ||
| Wuhu | ES | 0.051 | −4.122 | −3.145 | −2.714 | 0.946 | Non-Stability | ES | −1.424 | −4.004 | −3.099 | −2.690 | 0.540 | Non-Stability | |
| ΔES | −4.578 | −4.122 | −3.145 | 2.714 | 0.005 | Stability | ΔES | −12.952 | −4.058 | −3.120 | −2.701 | 0.000 | Stability | ||
| ECC | −1.278 | −4.004 | −3.099 | −2.690 | 0.608 | Non-Stability | ECC | −1.701 | −4.004 | −3.099 | −2.690 | 0.409 | Non-Stability | ||
| ΔECC | −4.313 | −4.297 | −3.212 | −2.748 | 0.010 | Stability | ΔECC | −5.533 | −4.058 | −3.120 | −2.701 | 0.001 | Stability | ||
| Ma’anshan | ES | −1.764 | −4.004 | −3.099 | −2.690 | 0.381 | Non-Stability | ES | −1.561 | −4.004 | −3.099 | −2.690 | 0.475 | Non-Stability | |
| ΔES | −5.500 | −4.058 | −3.120 | −2.701 | 0.001 | Stability | ΔES | −5.617 | −4.058 | −3.120 | −2.701 | 0.001 | Stability | ||
| ECC | −2.038 | −4.004 | −3.099 | −2.690 | 0.269 | Non-Stability | ECC | −2.167 | −4.004 | −3.099 | −2.690 | 0.225 | Non-Stability | ||
| ΔECC | −4.349 | −4.297 | −3.213 | −2.748 | 0.010 | Stability | ΔECC | −6.502 | −4.058 | −3.120 | −2.701 | 0.000 | Stability | ||
| Southeast | Hangzhou | ES | −2.488 | −4.122 | −3.145 | 2.714 | 0.142 | Non-Stability | ES | 0.615 | −2.741 | −1.968 | −1.604 | 0.837 | Non-Stability |
| ΔES | −2.717 | −2.792 | −1.978 | −1.602 | 0.012 | Stability | ΔES | −5.996 | −2.755 | −1.971 | −1.604 | 0.000 | Stability | ||
| ECC | 2.058 | −2.741 | −1.969 | −1.604 | 0.985 | Non-Stability | ECC | 3.102 | −2.741 | −1.968 | −1.604 | 0.998 | Non-Stability | ||
| ΔECC | −3.445 | −2.755 | −1.971 | −1.604 | 0.002 | Stability | ΔECC | −3.443 | −2.755 | −1.971 | −1.604 | 0.002 | Stability | ||
| Shaoxing | ES | 1.612 | −2.741 | −1.968 | −1.604 | 0.967 | Non-Stability | ES | −3.169 | −4.200 | −3.175 | −2.729 | 0.051 | Non-Stability | |
| ΔES | −3.080 | −2.755 | −1.971 | −1.604 | 0.005 | Stability | ΔES | −4.162 | −4.122 | −3.145 | −2.714 | 0.010 | Stability | ||
| ECC | 2.269 | −2.755 | −1.971 | −1.604 | 0.989 | Non-Stability | ECC | −2.765 | −4.004 | −3.099 | −2.690 | 0.088 | Non-Stability | ||
| ΔECC | −4.162 | −4.122 | −3.145 | −2.714 | 0.010 | Stability | ΔECC | −7.631 | −4.058 | −3.120 | −2.701 | 0.000 | Stability | ||
| Ningbo | ES | −1.202 | −4.004 | −3.099 | −2.690 | 0.642 | Non-Stability | ES | −1.076 | −4.004 | −3.099 | −2.690 | 0.693 | Non-Stability | |
| ΔES | −2.572 | −2.755 | −1.971 | −1.603 | 0.015 | Stability | ΔES | −2.567 | −2.755 | −1.971 | −1.604 | 0.015 | Stability | ||
| ECC | 3.265 | −2.755 | −1.971 | −1.604 | 0.998 | Non-Stability | ECC | −1.478 | −4.004 | −3.099 | −2.690 | 0.515 | Non-Stability | ||
| ΔECC | −6.691 | −2.755 | −1.971 | −1.603 | 0.000 | Stability | ΔECC | −11.693 | −4.058 | −3.120 | −2.701 | 0.000 | Stability | ||
| Zhoushan | ES | 0.524 | −4.122 | −3.145 | −2.714 | 0.980 | Non-Stability | ES | 1.3378 | −4.004 | −3.099 | −2.690 | 0.997 | Non-Stability | |
| ΔES | −4.877 | −4.217 | −3.282 | −2.601 | 0.005 | Stability | ΔES | −16.379 | −4.058 | −3.120 | −2.701 | 0.000 | Stability | ||
| ECC | 0.311 | −2.741 | −1.968 | −1.604 | 0.761 | Non-Stability | ECC | −1.657 | −4.004 | −3.098 | −2.690 | 0.430 | Non-Stability | ||
| ΔECC | −4.405 | −4.058 | −3.120 | −2.701 | 0.006 | Stability | ΔECC | −4.536 | −4.058 | −3.120 | −2.701 | 0.005 | Stability | ||
| Jinhua | ES | −1.416 | −4.004 | −3.099 | −2.690 | 0.544 | Non-Stability | ES | −1.539 | −4.004 | −3.099 | −2.690 | 0.486 | Non-Stability | |
| ΔES | −6.628 | −4.058 | −3.120 | −2.701 | 0.000 | Stability | ΔES | −6.142 | −4.058 | −3.120 | −2.701 | 0.000 | Stability | ||
| ECC | −2.160 | −4.122 | −3.145 | −2.714 | 0.228 | Non-Stability | ECC | −2.130 | −4.004 | −3.099 | −2.690 | 0.237 | Non-Stability | ||
| ΔECC | −8.826 | −4.058 | −3.120 | −2.701 | 0.000 | Stability | ΔECC | −8.826 | −4.058 | −3.120 | −2.701 | 0.000 | Stability | ||
| Taizhou | ES | −1.789 | −4.122 | −3.145 | −2.714 | 0.673 | Non-Stability | ES | −2.505 | −4.004 | −3.099 | −2.690 | 0.135 | Non-Stability | |
| ΔES | −4.452 | −4.122 | −3.145 | −2.714 | 0.000 | Stability | ΔES | −4.608 | −4.058 | −3.120 | −2.701 | 0.004 | Stability | ||
| ECC | −2.458 | −4.058 | −3.120 | −2.701 | 0.147 | Non-Stability | ECC | −2.563 | −4.004 | −3.099 | −2.690 | 0.062 | Non-Stability | ||
| ΔECC | −6.030 | −4.058 | −3.120 | −2.701 | 0.000 | Stability | ΔECC | −4.528 | −4.058 | −3.120 | −2.701 | 0.003 | Stability | ||
| Xuancheng | ES | −0.941 | −4.058 | −3.120 | −2.701 | 0.740 | Non-Stability | ES | 3.435 | −2.741 | −1.968 | −1.604 | 0.999 | Non-Stability | |
| ΔES | −13.550 | −4.122 | −3.145 | −2.714 | 0.000 | Stability | ΔES | −4.069 | −2.755 | −1.971 | −1.604 | 0.001 | Stability | ||
| ECC | −2.602 | −4.004 | −3.099 | −2.690 | 0.116 | Non-Stability | ECC | 0.111 | −2.741 | −1.968 | −1.604 | 0.702 | Non-Stability | ||
| ΔECC | −3.003 | −2.755 | −1.971 | −1.603 | 0.006 | Stability | ΔECC | −2.780 | −2.755 | −1.971 | −1.604 | 0.010 | Stability | ||
| Wenzhou | ES | 3.270 | −2.741 | −1.968 | −1.604 | 0.999 | Non-Stability | ES | 1.566 | −4.004 | −3.099 | −2.690 | 0.998 | Non-Stability | |
| ΔES | −5.189 | −4.058 | −3.120 | −2.701 | 0.002 | Stability | ΔES | −5.189 | −4.058 | −3.120 | −2.701 | 0.002 | Stability | ||
| ECC | −2.038 | −4.122 | −3.145 | −2.714 | 0.269 | Non-Stability | ECC | −2.392 | −4.004 | −3.099 | −2.690 | 0.161 | Non-Stability | ||
| ΔECC | −6.101 | −4.058 | −3.120 | −2.701 | 0.000 | Stability | ΔECC | −6.512 | −4.058 | −3.120 | −2.701 | 0.000 | Stability | ||
References
- Ohl, C.; Krauze, K.; Grünbühel, C. Towards an understanding of long-term ecosystem dynamics by merging socio-economic and environmental research: Criteria for long-term socio-ecological research sites selection. Ecol. Econ. 2007, 63, 383–391. [Google Scholar] [CrossRef]
- Fu, J.; Zang, C.; Zhang, J. Economic and resource and environmental carrying capacity trade-off analysis in the Haihe River basin in China. J. Clean. Prod. 2020, 270, 122271. [Google Scholar] [CrossRef]
- Zhao, Y.; Feng, Y.; Liu, Q.; Mo, Y.; Zhuo, S.; Zhou, P. Ecological Security Assessment Based on Sensitivity, Connectivity, and Ecosystem Service Value and Pattern Construction: A Case Study of Chengmai County, China. Sustainability 2025, 17, 10724. [Google Scholar] [CrossRef]
- Zhao, Y.Z.; Zou, X.Y.; Cheng, H.; Jia, H.K.; Wu, Y.Q.; Wang, G.Y.; Zhang, C.L.; Gao, S.Y. Assessing the ecological security of the Tibetan plateau: Methodology and a case study for Lhaze County. J. Environ. Manag. 2006, 80, 120–131. [Google Scholar] [CrossRef]
- Świąder, M. The implementation of the concept of environmental carrying capacity into spatial management of cities: A review. Manag. Environ. Qual. Int. J. 2018, 29, 1059–1074. [Google Scholar] [CrossRef]
- Xiao, D.; Chen, W. On the basic concepts and contents of ecological security. Ying Yong Sheng Tai Xue Bao=J. Appl. Ecol. 2002, 13, 354–358. [Google Scholar]
- Zhang, H.; Xu, E. An evaluation of the ecological and environmental security on China’s terrestrial ecosystems. Sci. Rep. 2017, 7, 811. [Google Scholar] [CrossRef]
- Zeng, W. Environmental Carrying Capacity Theory, Methods, and Applications; Chemical Industry Press: Beijing, China, 2014. [Google Scholar]
- Zhou, X.-Y.; Zheng, B.; Khu, S.-T. Validation of the hypothesis on carrying capacity limits using the water environment carrying capacity. Sci. Total Environ. 2019, 665, 774–784. [Google Scholar] [CrossRef]
- Zeng, R.; Zhang, K.; Zeng, W.; Ma, J. Research on the early-warning method of water environment carring capacity based on BP neural network: A case study of Beiyunhe River Basin. Acta Sci. Circumstantiae 2021, 41, 2005–2017. [Google Scholar]
- Wang, S.; Zhang, Y.; Fan, J.; Zhang, H.; Fang, H. Comprehensive sustainability indicator for land resource-carrying capacity in a farming-pastoral region. Remote Sens. 2023, 15, 3726. [Google Scholar] [CrossRef]
- Shi, W.; Sun, Y.; Wang, J.; Lin, X. Spatial-temporal coordination analysis between resource-environmental carrying capacity and social development under multifunctional pointing in Fujian. Acta Ecol. Sin. 2025, 45, 4803–4817. [Google Scholar]
- Costanza, R.; Daly, L.; Fioramonti, L.; Giovannini, E.; Kubiszewski, I.; Mortensen, L.F.; Pickett, K.E.; Ragnarsdottir, K.V.; De Vogli, R.; Wilkinson, R. Modelling and measuring sustainable wellbeing in connection with the UN Sustainable Development Goals. Ecol. Econ. 2016, 130, 350–355. [Google Scholar] [CrossRef]
- Peng, J.; Du, Y.; Liu, Y.; Hu, X. How to assess urban development potential in mountain areas? An approach of ecological carrying capacity in the view of coupled human and natural systems. Ecol. Indic. 2016, 60, 1017–1030. [Google Scholar] [CrossRef]
- Xu, X. A Study on the Transformation of Old Neighborhoods in Beijing from the Perspective of Environmental Carrying Capacity: Shichahai Area as a Case Study. Archit. Sci. Eng. 2024, 3, 14–20. [Google Scholar]
- Cheng, C.; Liu, Y.; Chen, Y.; Liu, Y.; Zhang, Y.; Shen, S.; Yang, R.; Xu, Z.; Hong, Y. Diagnosing cropland’s allowable range and spatial allocation in China’s typical mountainous plateau area: An evaluation framework based on ecological carrying capacity. Sci. Total Environ. 2019, 685, 1255–1268. [Google Scholar]
- Zhang, W.; Du, C.; Shi, Y.; Liu, X. Study on the Evolution of Landscape Patterns in Industrial Cities Based on the Evaluation of Ecological Security Levels—A Case Study of Haining City. Sustainability 2025, 17, 9539. [Google Scholar] [CrossRef]
- Shi, S.; Hu, B.; Yan, Y.; Li, X.; Zhou, K.; Tang, C.; Xie, B. Dynamic evolution of the ecological carrying capacity of poverty-stricken karst counties based on ecological footprints: A case study in Northwestern Guangxi, China. Int. J. Environ. Res. Public Health 2020, 17, 991. [Google Scholar] [CrossRef]
- Chu, X.; Deng, X.; Jin, G.; Wang, Z.; Li, Z. Ecological security assessment based on ecological footprint approach in Beijing-Tianjin-Hebei region, China. Phys. Chem. Earth Parts A/B/C 2017, 101, 43–51. [Google Scholar]
- Ye, X.; Zou, C.; Liu, G.; Lin, N.; Xu, M. Main research contents and advances in the ecological security pattern. ACTA Ecol. Sin. 2018, 38, 3382–3392. [Google Scholar]
- Li, Y.; Cao, M. Spatial and Temporal Evolution of Urban Comprehensive Carrying Capacity and Its Influencing Factors in the Yellow River Basin. Ecol. Econ. 2022, 38, 72–88. [Google Scholar]
- Gutiérrez, L.; Garbisu, C.; Ciprián, E.; Becerril, J.M.; Soto, M.; Etxebarria, J.; Madariaga, J.M.; Antigüedad, I.; Epelde, L. Application of ecological risk assessment based on a novel TRIAD-tiered approach to contaminated soil surrounding a closed non-sealed landfill. Sci. Total Environ. 2015, 514, 49–59. [Google Scholar]
- Jahandari, A. Pollution status and human health risk assessments of selected heavy metals in urban dust of 16 cities in Iran. Environ. Sci. Pollut. Res. 2020, 27, 23094–23107. [Google Scholar] [CrossRef]
- Liu, S.; Xu, L.; Zhang, J. Spatiotemporal change of land ecological security in Xinjiang. ACTA Ecol. Sin. 2019, 39, 3871–3884. [Google Scholar]
- Xiao, L.; Deng, Q.; Lin, Y.; Mao, Y.; Liu, J. Dynamic Analysis on Multifunctionality of Land Use and Obstacle Factors in Jiangxi Province Based on Weight TOPSIS Model. Bull. Soil Water Conserv. 2020, 40, 176–183. [Google Scholar]
- Li, Z.; Wang, S.; Ma, L.; Jiang, A. Evaluation of Land Ecological Security and Influencing Factors in Yimeng Mountain Area Based on Entropy Weight Matter Element Model. Chin. J. Soil Sci. 2021, 52, 425–433. [Google Scholar]
- Zhao, C.; Wu, S.; Yang, L.; Wu, Y.; Xiao, P.; Xu, J.; Liu, Y. Evaluating ecological conservation effectiveness of security patterns under multiple scenarios: A case study of Hubei Province. Ecol. Indic. 2024, 166, 112528. [Google Scholar] [CrossRef]
- Yu, S. Evaluation of Ecological Security of River Valley Type Cities Based on PSR Modeling—Taking Lanzhou City as an Example. Intell. Build. Smart City 2025, 5, 126–129. [Google Scholar] [CrossRef]
- Zeng, W.; He, Z.; Bai, W.; He, L.; Chen, X.; Chen, J. Identification of ecological security patterns of alpine wetland grasslands based on landscape ecological risks: A study in Zoigê County. Sci. Total Environ. 2024, 928, 172302. [Google Scholar] [CrossRef]
- Wu, T.; Lu, S.; Ding, Y. Ecological security evaluation system integrated with circuit theory for regional ecological security pattern construction: A coordinated study of Chang-Zhu-Tan metropolitan area in China. Land 2025, 14, 257. [Google Scholar] [CrossRef]
- Luo, X.; Le, F.; Zhang, Y.; Zhang, H.; Zhai, J.; Luo, Y. Multi-scenario analysis and optimization strategy of ecological security pattern in the Weihe river basin. J. Environ. Manag. 2024, 366, 121813. [Google Scholar] [CrossRef]
- Liu, X.; Su, Y.; Li, Z.; Zhang, S. Constructing ecological security patterns based on ecosystem services trade-offs and ecological sensitivity: A case study of Shenzhen metropolitan area, China. Ecol. Indic. 2023, 154, 110626. [Google Scholar] [CrossRef]
- Ding, T.; Chen, J.; Fang, L.; Ji, J. Identifying and optimizing ecological security patterns from the perspective of the water-energy-food nexus. J. Hydrol. 2024, 632, 130912. [Google Scholar] [CrossRef]
- Wu, S.; Zhao, C.; Yang, L.; Huang, D.; Wu, Y.; Xiao, P. Spatial and temporal evolution analysis of ecological security pattern in Hubei Province based on ecosystem service supply and demand analysis. Ecol. Indic. 2024, 162, 112051. [Google Scholar] [CrossRef]
- Cao, C.; Luo, Y.; Xu, L.; Xi, Y.; Zhou, Y. Construction of ecological security pattern based on InVEST-Conefor-MCRM: A case study of Xinjiang, China. Ecol. Indic. 2024, 159, 111647. [Google Scholar] [CrossRef]
- Dang, Z.; Hu, B.; Gao, C.; Wen, S.; Ren, J.; Liang, Y. Construction and Optimization of the Ecological Security Pattern of Pinglu Canal Economic Zone Based on the InVEST-Circuit Theory Model. Land 2025, 14, 1103. [Google Scholar] [CrossRef]
- Rahman, A.; Ramli, I.; Irwansyah, M.; Achmad, A. Prediction of Settlement Growth in Meulaboh Urban Area (MUA) and Its Implication for Carrying Capacity. In Proceedings of the IOP Conference Series: Earth and Environmental Science, 2022, Banda Aceh, Indonesia, 9–10 August 2022; p. 012086. [Google Scholar]
- Wu, Z.; Su, Y.; Xiong, M. Land comprehensive carrying capacity and spatio-temporal analysis of the guangdong-Hong Kong-Macau Greater Bay Area. Front. Environ. Sci. 2022, 10, 964211. [Google Scholar] [CrossRef]
- Wang, Z.; Zhu, D.; Wang, L. The Evaluation of Urban Comprehensive Carrying Capacity of Beijing-Tianjin-Hebei Urban Agglomeration Under Regional Collaboration. J. Cap. Univ. Econ. Bus. 2018, 20, 73–81. [Google Scholar]
- Wang, Z.; Chen, Q. Study on the Verification and Coordination Effect of the Interactive Stress of Tourism Industry and Ecological Environment in the Yangtze River Economic Belt. Resour. Environ. Yangtze Basin 2021, 30, 2581–2594. [Google Scholar]
- Li, Z.; Feng, X.; Zuo, W.; Xia, Z. Interactive stress effect and collaborative response of urban resilience level and tourism environmental carrying capacity: A case study of the Yangtze River Economic Belt. Sci. Geogr. Sin. 2024, 44, 660–669. [Google Scholar] [CrossRef]
- Qiu, J. Analysis of Ecological Environmental Carrying Capacity of Yidu City Based on Ecological Security Perspective. Anhui Agric. Sci. Bull. 2017, 23, 90–93. [Google Scholar] [CrossRef]
- Zhang, Y.; Fan, J.; Wang, S. Assessment of ecological carrying capacity and ecological security in China’s typical eco-engineering areas. Sustainability 2020, 12, 3923. [Google Scholar] [CrossRef]
- Nathwani, J.; Lu, X.; Wu, C.; Fu, G.; Qin, X. Quantifying security and resilience of Chinese coastal urban ecosystems. Sci. Total Environ. 2019, 672, 51–60. [Google Scholar] [CrossRef]
- Ruan, W.; Li, Y.; Zhang, S.; Liu, C.-H. Evaluation and drive mechanism of tourism ecological security based on the DPSIR-DEA model. Tour. Manag. 2019, 75, 609–625. [Google Scholar] [CrossRef]
- Zhao, B.; Huang, J.; Li, Z.; Li, J.; Zhou, C. Comprehensive evaluation and influencing factor analysis of urban ecological water security in Gansu Province based on AHP-entropy method. Bull. Soil Water Conserv. 2023, 43, 167–173+213. [Google Scholar] [CrossRef]
- Huang, J.; Fang, C. Analysis of coupling mechanism and rules between urbanization and eco-environment. Geogr. Res. 2003, 22, 211–220. [Google Scholar]
- Zhou, Y. On the necessity of the urban developingstrategy of stages. Acta Geogr. Sin. 1984, 39, 359–368. [Google Scholar]
- Sun, T.; Sun, B.; Xue, J. Research on Interactive Stress and Coupling Coordination between Urban-Rural Integration and Eco-environment of Urban Agglomerations in Yellow River Basin. J. N. China Univ. Water Resour. Electr. Power Nat. Sci. Ed. 2025, 46, 10–22. [Google Scholar] [CrossRef]
- Gao, K.; Zhou, F. Analysis of Coupling Coordination Degree of Industrial Economic Development in Xizang. J. Plateau Agric. 2025, 9, 133–140. [Google Scholar] [CrossRef]
- Wang, Q.; Mao, Z.; Xian, L.; Liang, Z. A study on the coupling coordination between tourism and the low-carbon city. Asia Pac. J. Tour. Res. 2019, 24, 550–562. [Google Scholar] [CrossRef]
- Wang, Z.; Liang, L.; Zhu, X. Examining the coordination effect and interactive stress between tourism economy and ecoenvironment in the Tibetan Plateau. J. Geo-Inf. Sci. 2019, 21, 1352–1366. [Google Scholar] [CrossRef]
- Li, Y.; Li, H.; Shen, B. Dynamic Evolution and Spatial Coupling Characteristics of Construction Land Allocation and Urban Economic Resilience. Econ. Geogr. 2024, 44, 91–100. [Google Scholar] [CrossRef]
- Zhao, X.; Shuai, H. Spatio-temporal Evolution and Influencing Factors Analysis of Carbon Emission Intensity and New Urbanization Level Coupling Coordination in the Chengdu-Chongqing Urban Agglomeration. J. Nat. Sci. Hunan Norm. Univ. 2024, 48, 37–46. Available online: https://oversea.cnki.net/KCMS/detail/detail.aspx?dbcode=CJFD&dbname=CJFDLAST2025&filename=HNSZ202501005&uniplatform=OVERSEA&v=xkItqKGJegsCNiU2g3CtH0PPxh_OWVWwAiRGmFr-1DtRdzBeNDUjkzw2sTz2FCv6 (accessed on 3 October 2024).
- Li, P.; Zhang, J. Research on the Long-term and Short-term Dynamic Relationship Between Carbon Forestry Development and Economic Growth—Based on the Provincial Panel Data of China in 1998–2010. J. Nat. Resour. 2013, 28, 1835–1845. [Google Scholar] [CrossRef]









| Target Layer | Criterion Layer | Indicator Layer | Meaning and Characterization of Indicators | Index Weight |
|---|---|---|---|---|
| Ecological security | Driving force (D) | D1—GDP per capita | Characterize the regional economic development | 0.0492 (+) |
| D2—Night Light Index | Representing the degree of population aggregation to cities | 0.1269 (+) | ||
| D3—Natural population growth rate | Representing the trend of population growth | 0.0263 (−) | ||
| D4—Proportion of agriculture, forestry, animal husbandry, and fishery in regional GDP | Reflect the scale of agricultural production | 0.0772 (+) | ||
| Pressure (P) | P2—Population density | Representing the distribution of population | 0.0570 (−) | |
| P3—Density (intensity) of land development | Reflect the regional land use degree and its cumulative carrying density | 0.1016 (−) | ||
| P6—Per capita daily domestic water consumption in urban areas | Characterize the water pressure of residents | 0.0429 (−) | ||
| State (S) | S1—Proportion of tertiary industry | Characterize the state of industrial structure | 0.0308 (+) | |
| S2—Per capita disposable income of urban residents | Indicate the state of economic consumption level | 0.0525 (+) | ||
| S3—Per capita disposable income of rural residents | Indicate the state of economic consumption level | 0.0566 (+) | ||
| S4—Per capita road area | Representing the average road area occupied by each resident in a city | 0.0321 (+) | ||
| Impact (I) | I1—Per capita park green area | Reflect the quality of resources in the Yangtze River Delta region | 0.0278 (+) | |
| I2—Green coverage rate of built-up area | Reflect the quality of resources in the Yangtze River Delta region | 0.0144 (+) | ||
| I3—Proportion of construction land | Reflect the state of urban construction | 0.0750 (−) | ||
| Response (R) | R1—Excellent rate of environmental quality | Indicate regional policy governance | 0.0155 (+) | |
| R2—Doctors per 10,000 population (persons) | It shows the regional medical level and social response | 0.0330 (+) | ||
| R3—Harmless treatment rate of domestic garbage | Indicate the residents’ life response | 0.0131 (+) | ||
| R4—Number of students in ordinary colleges and universities | Long-term and indirect response capacity | 0.1516 (+) | ||
| R5—Comprehensive utilization rate of industrial solid waste | Indicates the regional response to ecological security | 0.0163 (+) | ||
| Environmental carrying capacity | Resources | Average annual temperature | Characterize the situation of atmospheric resources | 0.0308 (−) |
| Average annual precipitation | Urban precipitation status | 0.0571 (+) | ||
| Normalized Vegetation Index | Urban ecological renewal ability | 0.0305 (+) | ||
| Available construction land area per capita | Status of urban planning and development | 0.0370 (+) | ||
| Energy consumption per 10,000 yuan of GDP | Energy consumption per unit GDP of a city | 0.0166 (−) | ||
| Environment | Discharge of industrial wastewater | Urban environmental pollution pressure | 0.0227 (−) | |
| Industrial sulfur dioxide emissions | Urban environmental pollution pressure | 0.0158 (−) | ||
| Industrial soot emissions | Urban environmental pollution pressure | 0.0215 (−) | ||
| Centralized treatment rate of industrial sewage | Response of urban pollution remediation | 0.0197 (+) | ||
| Society | Urbanization rate | Degree of economic development | 0.0481 (−) | |
| Number of hospital beds per 1000 people | Indicate the level of public construction | 0.0745 (+) | ||
| Economy | GDP index | Urban economic scale | 0.0298 (+) | |
| Investment in fixed assets | Social investment level | 0.0961 (+) | ||
| potential | Proportion of investment in education | Level of investment in education | 0.0500 (+) | |
| The proportion of investment in scientific research and development | Investment level of science and technology | 0.0780 (+) | ||
| Expenditure on energy conservation and environmental protection (10,000) | Environmental protection investment level | 0.2062 (+) | ||
| Medical security level | Medical security level | 0.1656 (+) |
| Main Category | Degree of Coordinated Development, D | Subcategory | and Contrast | Subcategory | Category |
|---|---|---|---|---|---|
| Coordination type (acceptable interval) | ≤ 1.00 | Superior coordination | Ecological security lags behind | I1 | |
| Balanced development of system | I2 | ||||
| Environmental bearing lag | I3 | ||||
| ≤ 0.80 | Intermediate coordination | Ecological security lags behind | II1 | ||
| Balanced development of system | II2 | ||||
| Environmental bearing lag | II3 | ||||
| ≤ 0.70 | Primary coordination | Ecological security lags behind | III1 | ||
| Balanced development of system | III2 | ||||
| Environmental bearing lag | III3 | ||||
| Transition type (transition interval) | ≤ 0.60 | Reluctant coordination | Ecological security lags behind | IV1 | |
| Balanced development of system | IV2 | ||||
| Environmental bearing lag | IV3 | ||||
| ≤ 0.50 | On the verge of a disorder | Ecological security lags behind | V1 | ||
| Balanced development of system | V2 | ||||
| Environmental bearing lag | V3 | ||||
| Offset type (unacceptable interval) | ≤ 0.40 | Mild disorder | Ecological security lags behind | VI1 | |
| Balanced development of system | VI2 | ||||
| Environmental bearing lag | VI3 | ||||
| ≤ 0.30 | Intermediate disorder | Ecological security lags behind | VII1 | ||
| Balanced development of system | VII2 | ||||
| Environmental bearing lag | VII3 | ||||
| ≤ 0.20 | Severe disorder | Ecological security lags behind | VIII1 | ||
| Balanced development of system | VIII2 | ||||
| Environmental bearing lag | VIII3 |
| Vintage | 2008 | 2009 | 2010 | 2011 | 2012 | 2013 | 2014 | 2015 | 2016 | 2017 | 2018 | 2019 | 2020 | 2021 | 2022 |
|---|---|---|---|---|---|---|---|---|---|---|---|---|---|---|---|
| Shanghai | III1 | III2 | III1 | II1 | II2 | ||||||||||
| Nanjing | IV1 | III1 | III2 | III1 | |||||||||||
| Wuxi | V2 | IV2 | III2 | IV2 | III2 | ||||||||||
| Changzhou | V2 | IV2 | |||||||||||||
| Suzhou | IV2 | III2 | |||||||||||||
| Nantong | IV2 | ||||||||||||||
| Yancheng | V3 | V2 | V3 | V2 | IV2 | IV3 | IV2 | ||||||||
| Yangzhou | V2 | IV2 | |||||||||||||
| Zhenjiang | V2 | IV2 | |||||||||||||
| Taizhou | V2 | V3 | V2 | IV2 | |||||||||||
| Hangzhou | IV2 | III2 | |||||||||||||
| Ningbo | V2 | IV2 | III2 | IV2 | III2 | ||||||||||
| Wenzhou | V2 | IV2 | IV3 | IV2 | III2 | ||||||||||
| Jiaxing | V3 | IV2 | III2 | IV2 | III2 | ||||||||||
| Huzhou | V3 | IV2 | V3 | IV2 | |||||||||||
| Shaoxing | IV2 | III2 | IV2 | ||||||||||||
| Jinhua | V3 | V2 | V3 | IV3 | IV2 | IV3 | IV2 | ||||||||
| Zhoushan | V2 | V3 | V2 | IV2 | |||||||||||
| Taizhou | V2 | V3 | V2 | IV3 | IV2 | ||||||||||
| Hefei | IV2 | III2 | |||||||||||||
| Wuhu | V2 | IV2 | IV3 | IV2 | IV3 | IV2 | IV3 | IV2 | |||||||
| Ma’anshan | V2 | IV2 | V2 | IV2 | |||||||||||
| Tongling | V2 | IV2 | IV3 | V3 | IV2 | IV3 | |||||||||
| Anqing | V3 | V2 | V3 | V2 | IV3 | V2 | IV3 | IV2 | |||||||
| Chuzhou | V3 | V2 | IV2 | IV3 | V2 | IV3 | IV2 | ||||||||
| Chizhou | V3 | V2 | IV3 | V3 | IV2 | ||||||||||
| Xuancheng | V3 | V2 | V3 | IV3 | IV2 | ||||||||||
Disclaimer/Publisher’s Note: The statements, opinions and data contained in all publications are solely those of the individual author(s) and contributor(s) and not of MDPI and/or the editor(s). MDPI and/or the editor(s) disclaim responsibility for any injury to people or property resulting from any ideas, methods, instructions or products referred to in the content. |
© 2026 by the authors. Licensee MDPI, Basel, Switzerland. This article is an open access article distributed under the terms and conditions of the Creative Commons Attribution (CC BY) license.
Share and Cite
Chen, M.; Chen, P.; Xu, C. Interactive Stress and Synergistic Response of Ecological Security and Environmental Carrying Capacity in the Yangtze River Delta Urban Agglomeration. Sustainability 2026, 18, 443. https://doi.org/10.3390/su18010443
Chen M, Chen P, Xu C. Interactive Stress and Synergistic Response of Ecological Security and Environmental Carrying Capacity in the Yangtze River Delta Urban Agglomeration. Sustainability. 2026; 18(1):443. https://doi.org/10.3390/su18010443
Chicago/Turabian StyleChen, Meihong, Peng Chen, and Chunhui Xu. 2026. "Interactive Stress and Synergistic Response of Ecological Security and Environmental Carrying Capacity in the Yangtze River Delta Urban Agglomeration" Sustainability 18, no. 1: 443. https://doi.org/10.3390/su18010443
APA StyleChen, M., Chen, P., & Xu, C. (2026). Interactive Stress and Synergistic Response of Ecological Security and Environmental Carrying Capacity in the Yangtze River Delta Urban Agglomeration. Sustainability, 18(1), 443. https://doi.org/10.3390/su18010443
