Modeling Impacts of Climate Change and Adaptation Measures on Rice Growth in Hainan, China
Abstract
1. Introduction
2. Data and Method
2.1. Study Area and Agricultural Meteorological Stations
2.2. The Introduction of CERES-Rice Model
2.3. Input Data
2.3.1. Historical Meteorological Data
2.3.2. Future Climate Scenario Data
2.3.3. Soil Data
2.3.4. Field Management Data
2.4. Model Calibration, Validation
2.5. Evaluation of Climate Change Impacts
2.6. Evaluation of Adaptative Measures
3. Results
3.1. Climate Change Scenarios
3.2. Model Calibration and Validation
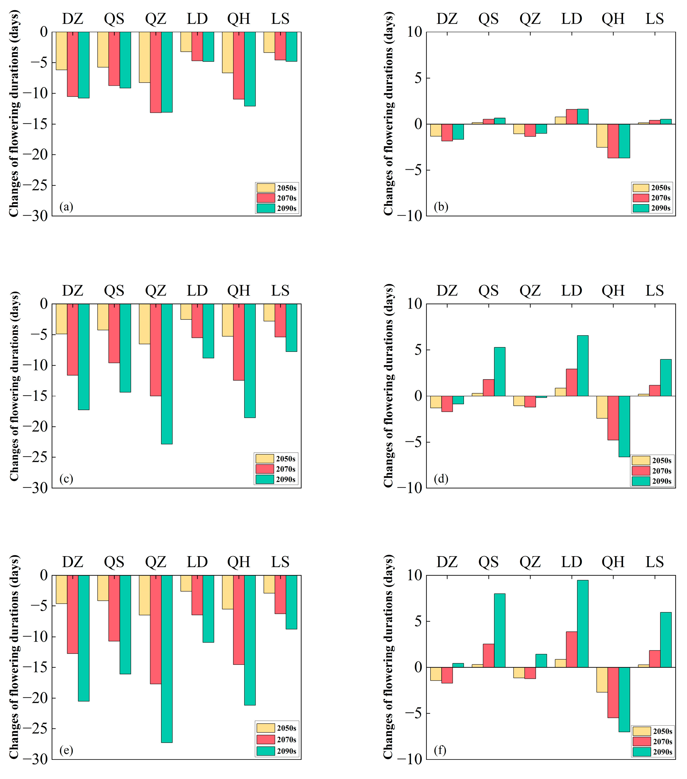
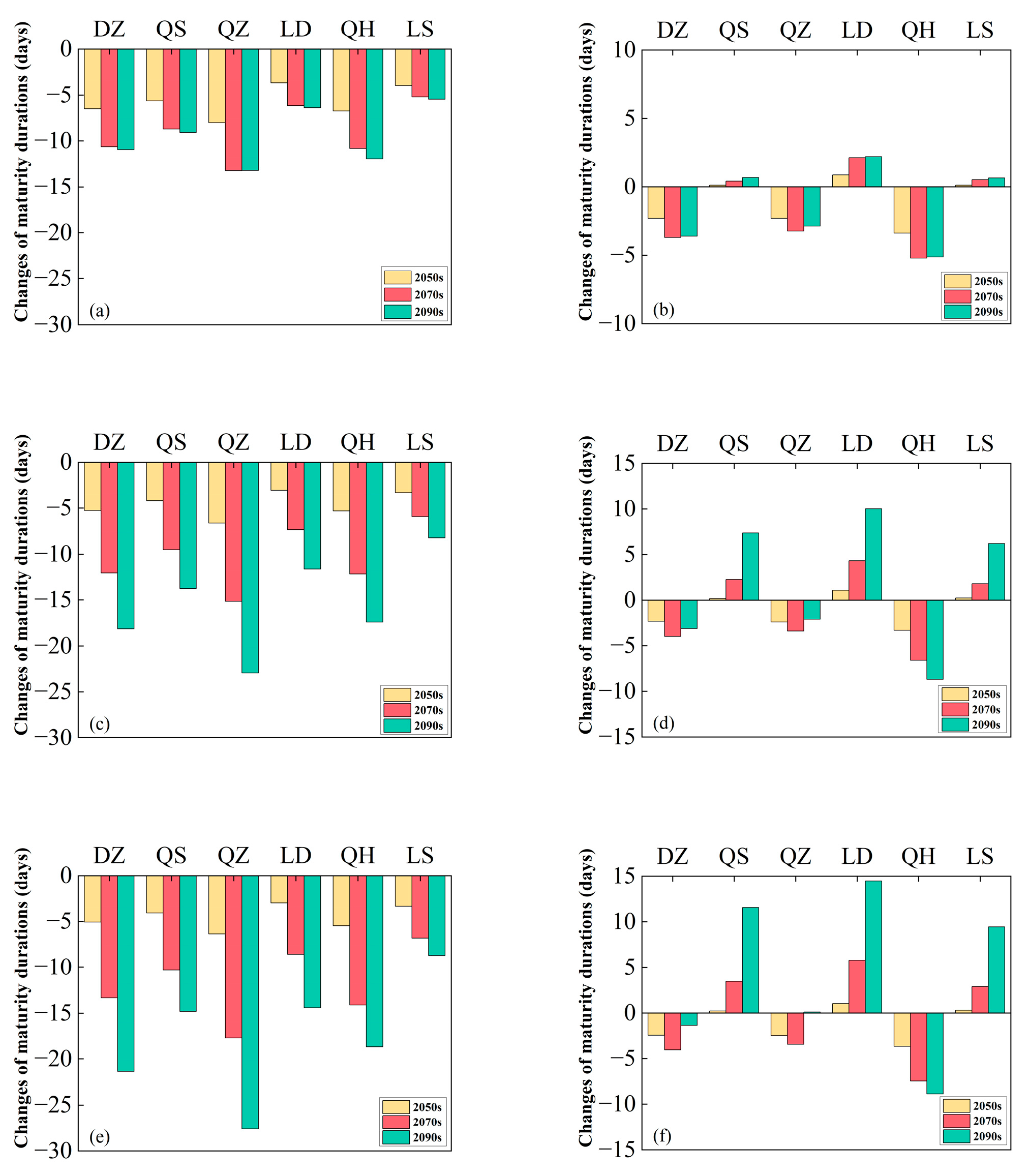
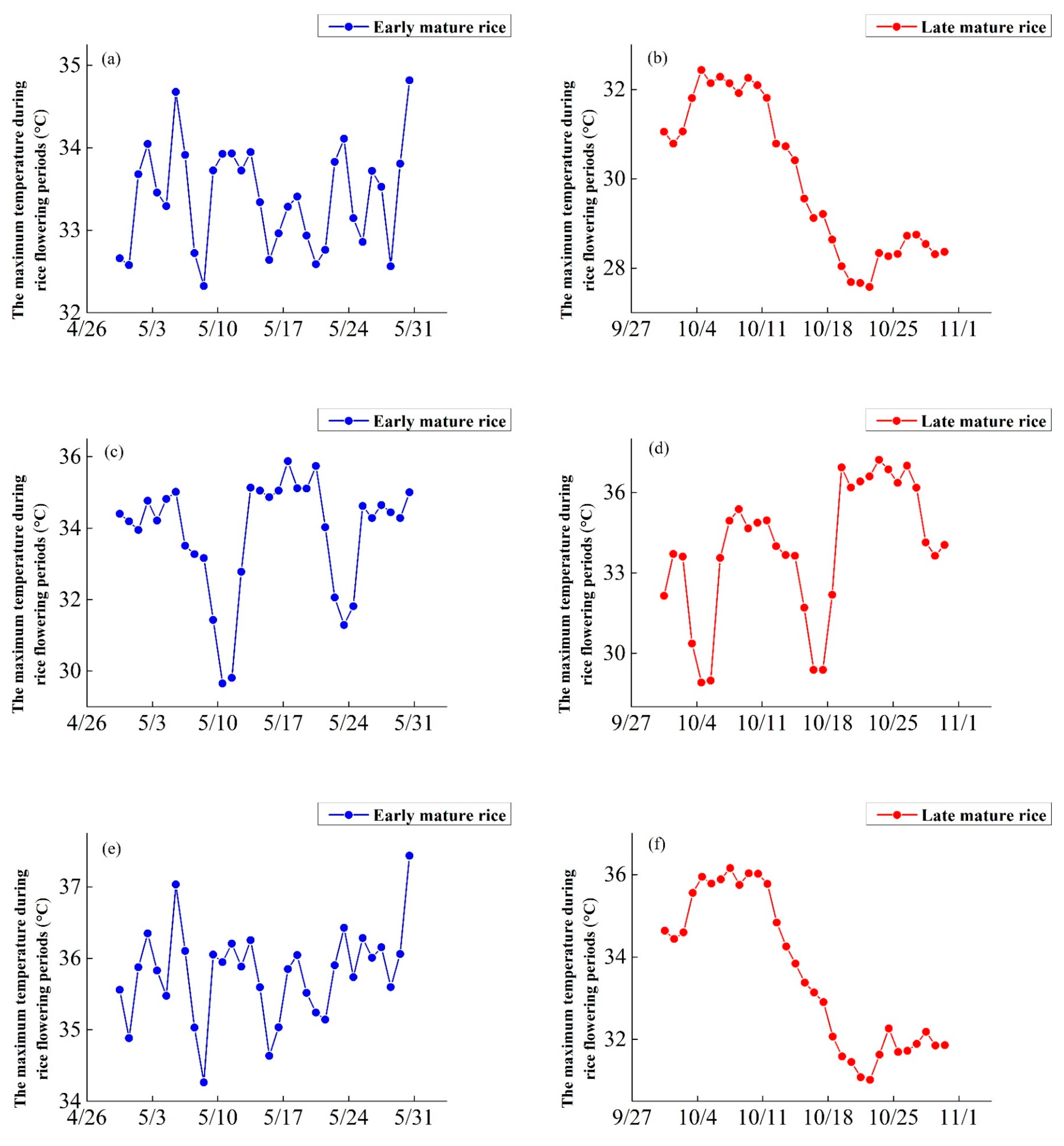
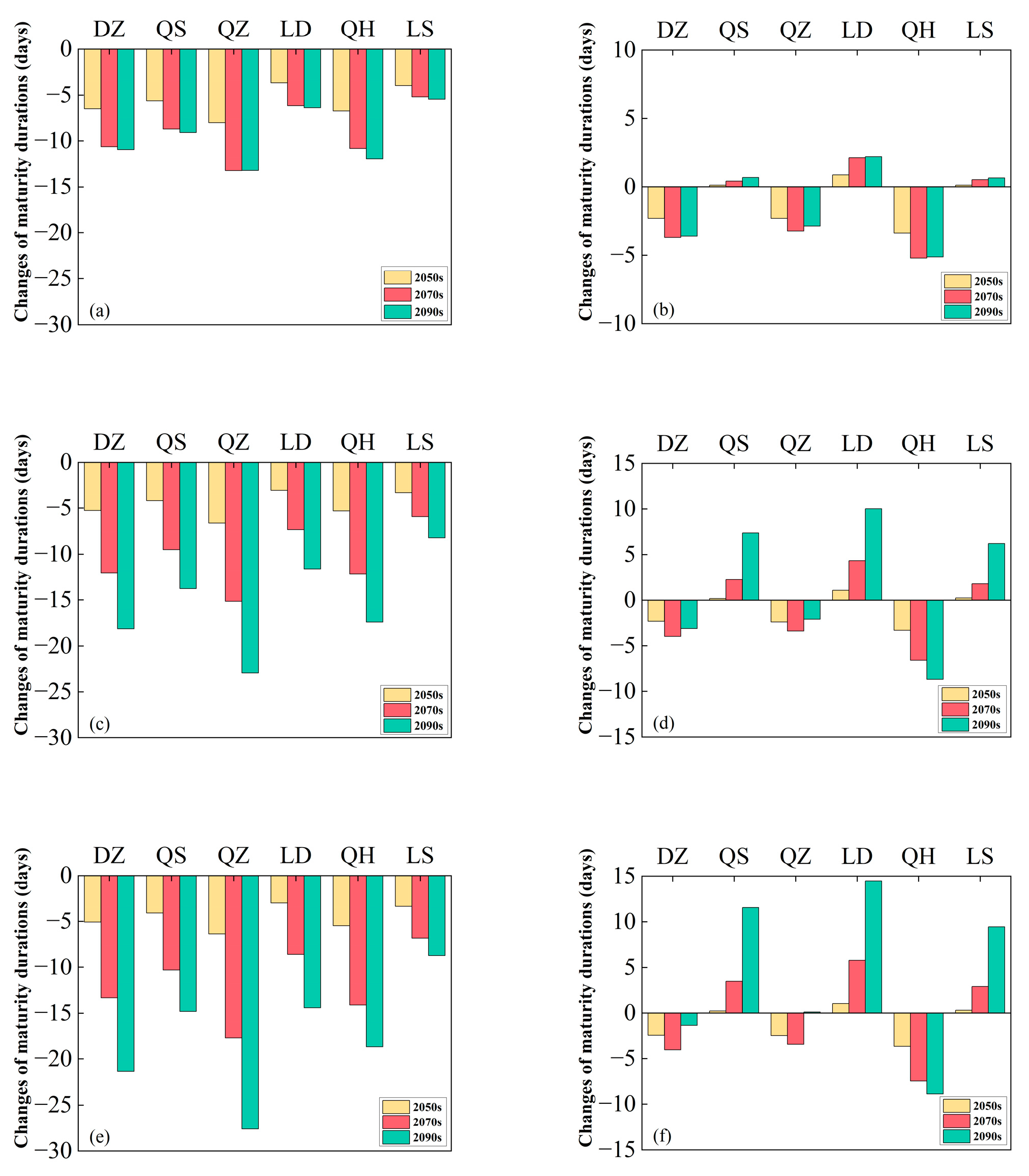
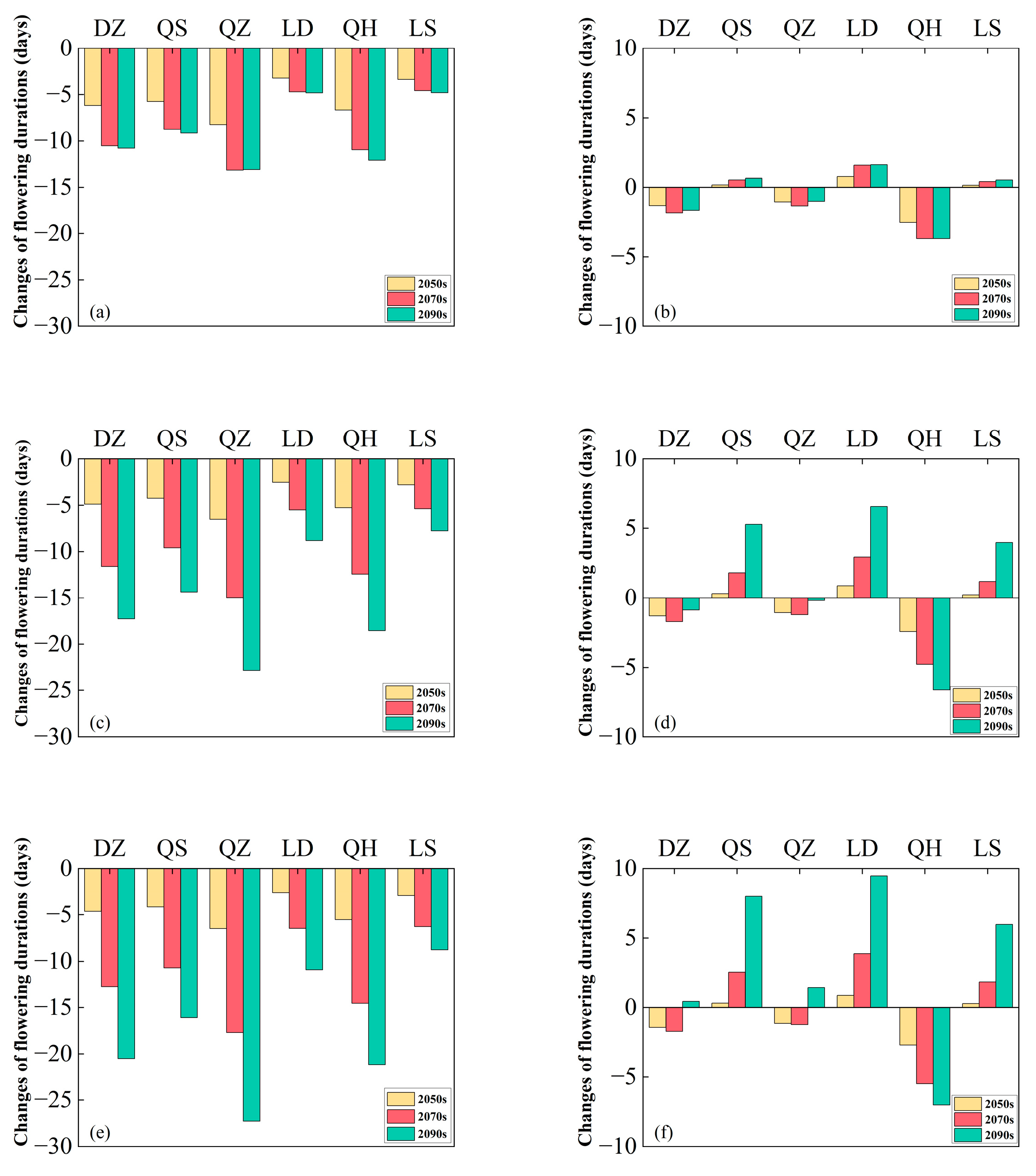
3.3. Impacts of Climate Change on Rice Phenology
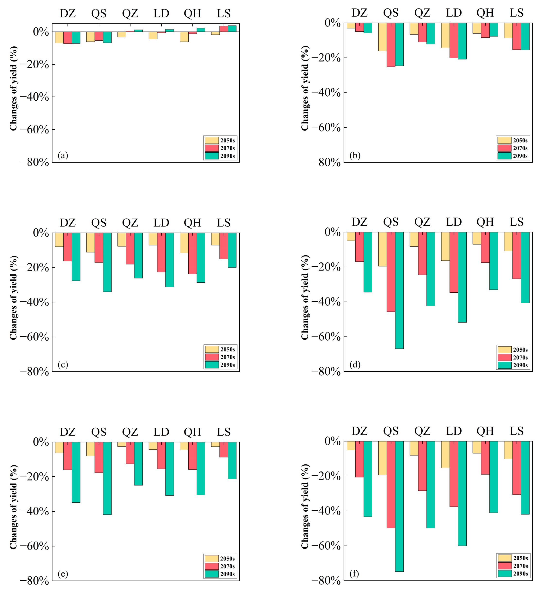
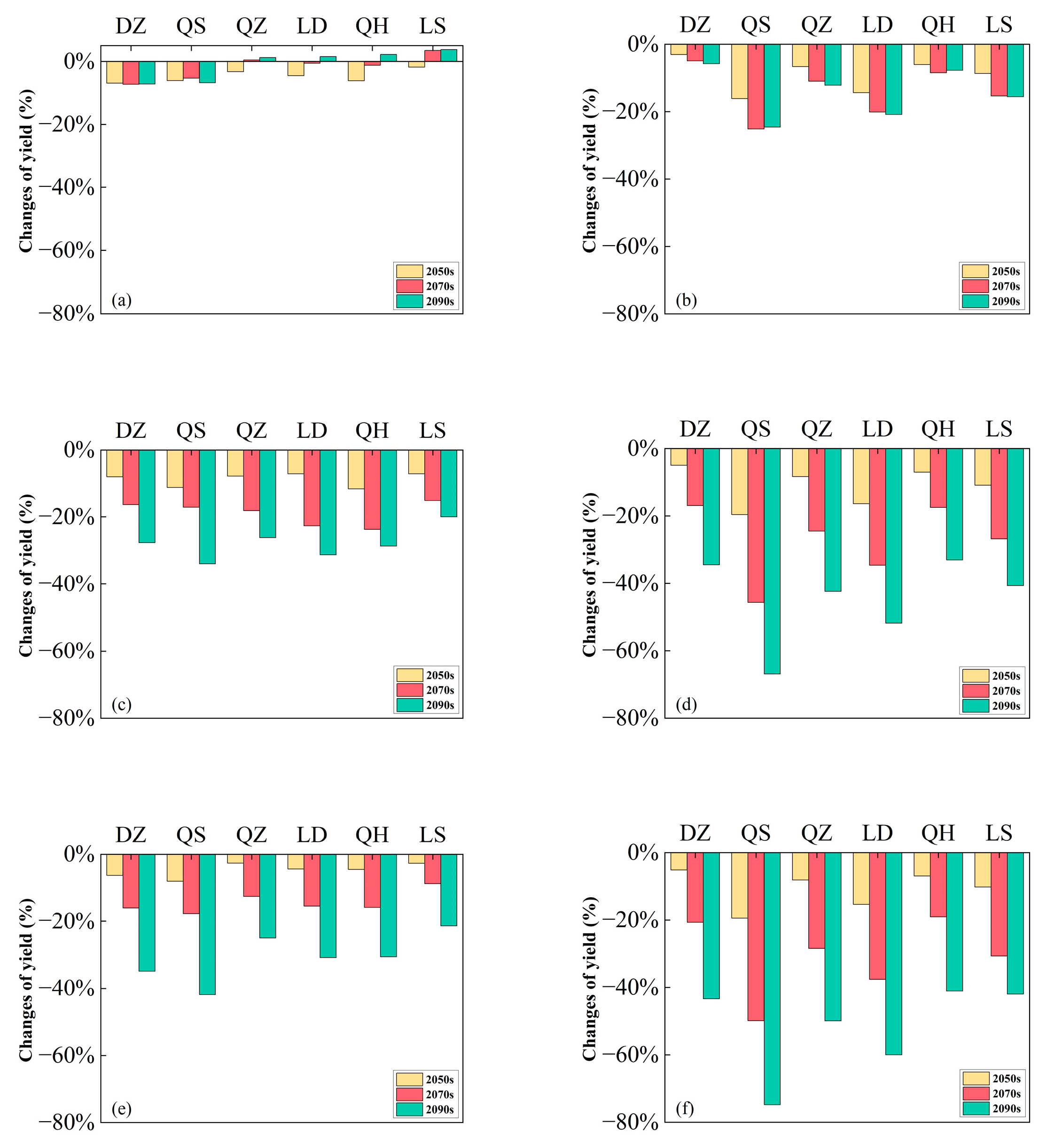
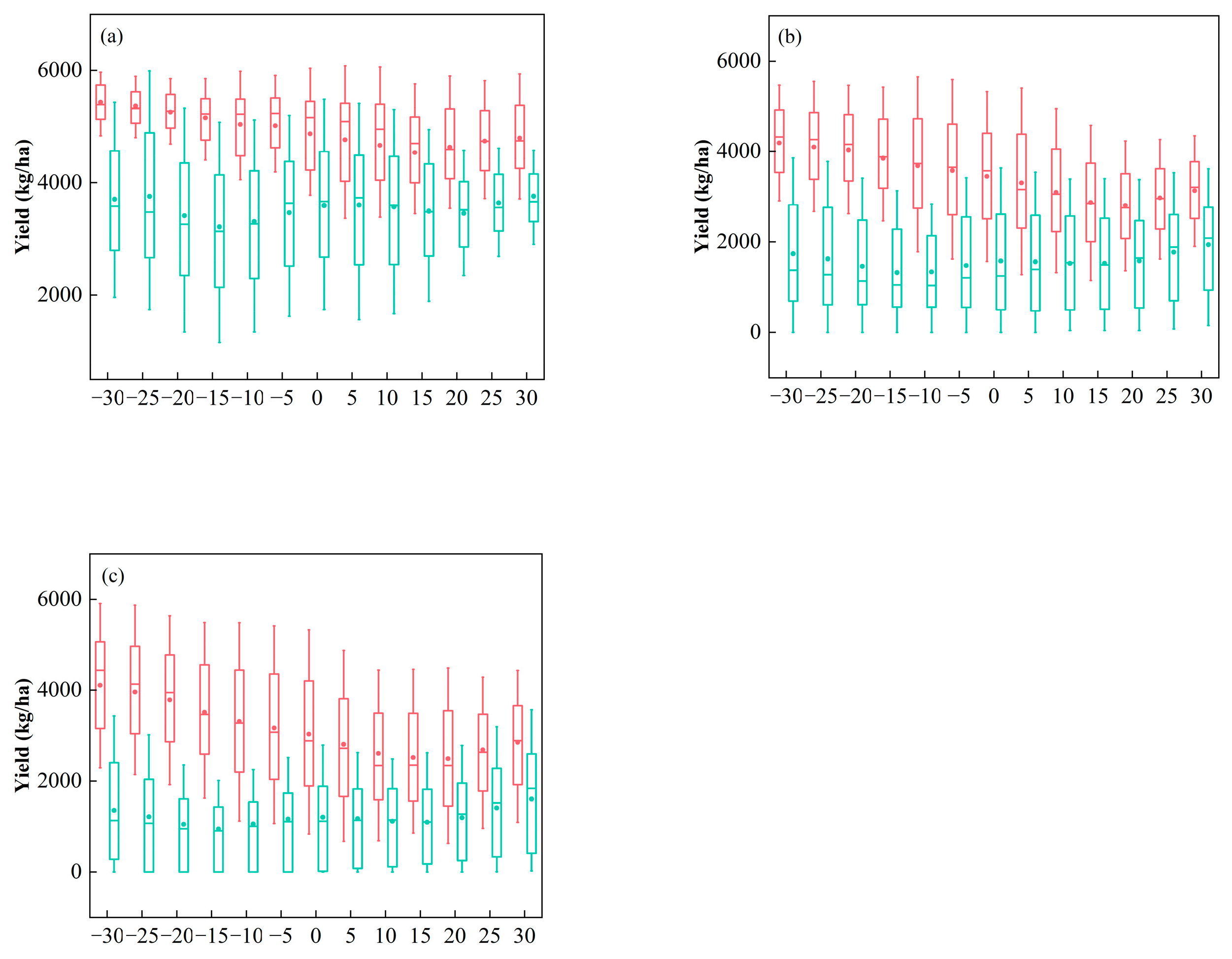
3.4. Future Climate Change Impacts on Rice Yields
3.5. Impacts of CO2 Fertilization Effect on Rice Yield
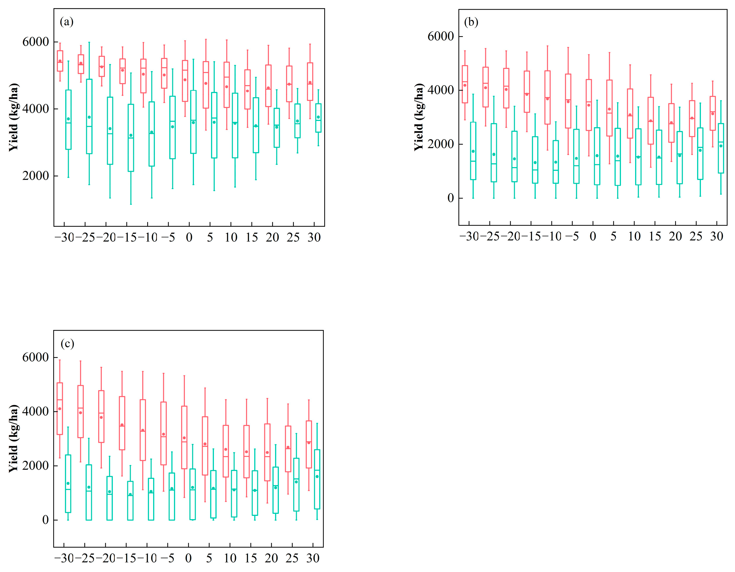
3.6. Simulation of Adaptation Measures
4. Discussion
4.1. Climate Change Impact Analysis
4.2. Effectiveness of Adaptative Measures
4.3. Uncertainty and Prospective
5. Conclusions
Author Contributions
Funding
Institutional Review Board Statement
Informed Consent Statement
Data Availability Statement
Conflicts of Interest
Appendix A
| Model | Research Institution | Resolution Ratio |
|---|---|---|
| GFDL-ESM4 | Geophy Fluid Dynamics Laboratory | 288 × 180 |
| IPSL-CM6A-LR | Institute Pierre-Simon Laplace | 144 × 143 |
| MPI-ESM1-2-HR | Max Planck Institute for Meteorology | 384 × 192 |
| MRI-ESM2-0 | Meteorologocal Research Institute, Japan Meteorologocal Agency | 320 × 160 |
| UKESM1-0-LL | National Centre for Atmospheric Science, and Met Office Hadley Center | 192 × 144 |
Appendix B

References
- Huang, J.; Zhang, X.; Zhang, Q.; Lin, Y.; Hao, M.; Luo, Y.; Zhao, Z.; Yao, Y.; Chen, X.; Wang, L. Recently amplified arctic warming has contributed to a continual global warming trend. Nat. Clim. Change 2017, 7, 875–879. [Google Scholar] [CrossRef]
- Lobell, D.B.; Schlenker, W.; Costa-Roberts, J. Climate trends and global crop production since 1980. Science 2011, 333, 616–620. [Google Scholar] [CrossRef]
- Zhao, C.; Liu, B.; Piao, S.; Wang, X.; Lobell, D.B.; Huang, Y.; Huang, M.T.; Yao, Y.T.; Bassu, S.; Ciais, P.; et al. Temperature increase reduces global yields of major crops in four independent estimates. Proc. Natl. Acad. Sci. USA 2017, 114, 9326–9331. [Google Scholar] [CrossRef]
- He, G.; Zhao, Y.; Wang, L.; Jiang, S.; Zhu, Y. China’s food security challenge: Effects of food habit changes on requirements for arable land and water. J. Clean. Prod. 2019, 229, 739–750. [Google Scholar] [CrossRef]
- Yan, D.; Wu, S.; Tang, Y.; Zhu, J.; Zhou, S.; Xu, Z. Arable land and water footprints for food consumption in China: From the perspective of urban and rural dietary change. Sci. Total Environ. 2022, 838, 155749. [Google Scholar] [CrossRef]
- Liu, Y.; Zhou, W.; Ge, Q. Spatiotemporal changes of rice phenology in China under climate change from 1981 to 2010. Clim. Change 2019, 157, 261–277. [Google Scholar] [CrossRef]
- Zhang, S.; Tao, F. Modeling the response of rice phenology to climate change and variability in different climatic zones: Comparisons of five models. Eur. J. Agron. 2013, 45, 165–176. [Google Scholar] [CrossRef]
- Wang, R.; Jiang, Y.; Su, P.; Wang, J.A. Global spatial distributions of and trends in rice exposure to high temperature. Sustainability 2019, 11, 6271. [Google Scholar] [CrossRef]
- Das, S.; Kumar, A.; Barman, M.; Pal, S.; Bandopadhyay, P. Impact of climate variability on phenology of rice. In Agronomic Crops: Volume 3: Stress Responses and Tolerance; Springer: Singapore, 2020; pp. 13–28. [Google Scholar] [CrossRef]
- Suepa, T.; Qi, J.; Lawawirojwong, S.; Messina, J.P. Understanding spatio-temporal variation of vegetation phenology and rainfall seasonality in the monsoon Southeast Asia. Environ. Res. 2016, 147, 621–629. [Google Scholar] [CrossRef]
- Iizumi, T.; Yokozawa, M.; Nishimori, M. Parameter estimation and uncertainty analysis of a large-scale crop model for paddy rice: Application of a Bayesian approach. Agric. For. Meteorol. 2009, 149, 333–348. [Google Scholar] [CrossRef]
- Keith, B.D.A. Sampling designs, field techniques and analytical methods for systematic plant population surveys. Ecol. Manag. Restor. 2000, 1, 125–139. [Google Scholar] [CrossRef]
- McCravy, K.W. A review of sampling and monitoring methods for beneficial arthropods in agroecosystems. Insects 2018, 9, 170. [Google Scholar] [CrossRef]
- Sarker, M.A.R.; Alam, K.; Gow, J. Exploring the relationship between climate change and rice yield in Bangladesh: An analysis of time series data. Agric. Syst. 2012, 112, 11–16. [Google Scholar] [CrossRef]
- Attia, A.; El-Hendawy, S.; Al-Suhaibani, N.; Tahir, M.U.; Mubushar, M.; dos Santos Vianna, M.; Ullah, H.; Mansour, E.; Datta, A. Sensitivity of the DSSAT model in simulating maize yield and soil carbon dynamics in arid Mediterranean climate: Effect of soil, genotype and crop management. Field Crops Res. 2021, 260, 107981. [Google Scholar] [CrossRef]
- Guo, Y.; Wu, W.; Liu, Y.; Wu, Z.; Geng, X.; Zhang, Y.; Bryant, C.R.; Fu, Y. Impacts of climate and phenology on the yields of early mature rice in China. Sustainability 2020, 12, 10133. [Google Scholar] [CrossRef]
- Pasquel, D.; Cammarano, D.; Roux, S.; Castrignanò, A.; Tisseyre, B.; Rinaldi, M.; Troccoli, A.; Taylor, J.A. Downscaling the APSIM crop model for simulation at the within-field scale. Agric. Syst. 2023, 212, 103773. [Google Scholar] [CrossRef]
- Darikandeh, D.; Shahnazari, A.; Khoshravesh, M.; Yousefian, M.; Porter, C.H.; Hoogenboom, G. Optimizing rice management to reduce methane emissions and maintain yield with the CSM-CERES-rice model. Agric. Syst. 2025, 224, 104248. [Google Scholar] [CrossRef]
- Guo, Y.; Wu, W.; Bryant, C.R. Quantifying spatio-temporal patterns of rice yield gaps in double-cropping systems: A case study in pearl river delta, China. Sustainability 2019, 11, 1394. [Google Scholar] [CrossRef]
- Jha, P.K.; Ines, A.V.; Han, E.; Cruz, R.; Prasad, P.V. A comparison of multiple calibration and ensembling methods for estimating genetic coefficients of CERES-Rice to simulate phenology and yields. Field Crops Res. 2022, 284, 108560. [Google Scholar] [CrossRef]
- Montesino-San Martín, M.; Olesen, J.E.; Porter, J.R. A genotype, environment and management (GxExM) analysis of adaptation in winter wheat to climate change in Denmark. Agric. For. Meteorol. 2014, 187, 1–13. [Google Scholar] [CrossRef]
- Ren, G.; Zhou, Y. Urbanization effect on trends of extreme temperature indices of national stations over mainland China, 1961–2008. J. Clim. 2014, 27, 2340–2360. [Google Scholar] [CrossRef]
- Wu, W.; Fang, Q.; Ge, Q.; Zhou, M.; Lin, Y. CERES-Rice model-based simulations of climate change impacts on rice yields and efficacy of adaptive options in Northeast China. Crop Pasture Sci. 2014, 65, 1267–1277. [Google Scholar] [CrossRef]
- Yao, F.; Xu, Y.; Lin, E.; Yokozawa, M.; Zhang, J. Assessing the impacts of climate change on rice yields in the main rice areas of China. Clim. Change 2007, 80, 395–409. [Google Scholar] [CrossRef]
- Zhang, J.; Miao, Y.; Batchelor, W.D.; Lu, J.; Wang, H.; Kang, S. Improving high-latitude rice nitrogen management with the CERES-rice crop model. Agronomy 2018, 8, 263. [Google Scholar] [CrossRef]
- Alejo, L.A. Assessing the impacts of climate change on aerobic rice production using the DSSAT-CERES-Rice model. J. Water Clim. Change 2021, 12, 696–708. [Google Scholar] [CrossRef]
- Ansari, A.; Lin, Y.P.; Lur, H.S. Evaluating and adapting climate change impacts on rice production in Indonesia: A case study of the Keduang subwatershed, Central Java. Environments 2021, 8, 117. [Google Scholar] [CrossRef]
- Habib-Ur-Rahman, M.; Ahmad, A.; Raza, A.; Hasnain, M.U.; Alharby, H.F.; Alzahrani, Y.M.; Bamagoos, A.A.; Hakeem, K.R.; Ahmad, S.; Nasim, W.; et al. Impact of climate change on agricultural production; Issues, challenges, and opportunities in Asia. Front. Plant Sci. 2022, 13, 925548. [Google Scholar] [CrossRef]
- Gunawat, A.; Sharma, D.; Sharma, A.; Dubey, S.K. Assessment of climate change impact and potential adaptation measures on wheat yield using the DSSAT model in the semi-arid environment. Nat. Hazards 2022, 111, 2077–2096. [Google Scholar] [CrossRef]
- Sreeshna, T.R.; Athira, P.; Soundharajan, B. Impact of climate change on regional water availability and demand for agricultural production: Application of water footprint concept. Water Resour. Manag. 2024, 38, 3785–3817. [Google Scholar] [CrossRef]
- Guo, Y.; Wu, W.; Du, M.; Bryant, C.R.; Li, Y.; Wang, Y.; Huang, H. Assessing potential climate change impacts and adaptive measures on rice yields: The case of zhejiang province in China. Sustainability 2019, 11, 2372. [Google Scholar] [CrossRef]
- Tao, F.; Zhang, Z.; Shi, W.; Liu, Y.; Xiao, D.; Zhang, S.; Zhu, Z.; Wang, M.; Liu, F. Single rice growth period was prolonged by cultivars shifts, but yield was damaged by climate change during 1981–2009 in China, and late rice was just opposite. Glob. Change Biol. 2013, 19, 3200–3209. [Google Scholar] [CrossRef]
- Xu, C.; Wu, W.; Ge, Q. Impact assessment of climate change on rice yields using the ORYZA model in the Sichuan Basin, China. Int. J. Climatol. 2018, 38, 2922–2939. [Google Scholar] [CrossRef]
- Timsina, J.; Humphreys, E. Performance of CERES-Rice and CERES-Wheat models in rice–wheat systems: A review. Agric. Syst. 2006, 90, 5–31. [Google Scholar] [CrossRef]
- Beusen, A.; Doelman, J.; Van Beek, L.; Van Puijenbroek, P.; Mogollón, J.; Van Grinsven, H.; Stehfest, E.; Van Vuuren, D.; Bouwman, A. Exploring river nitrogen and phosphorus loading and export to global coastal waters in the Shared Socio-economic pathways. Glob. Environ. Change 2022, 72, 102426. [Google Scholar] [CrossRef]
- Wang, T.; Sun, F. Global gridded GDP data set consistent with the shared socioeconomic pathways. Sci. Data 2022, 9, 221. [Google Scholar] [CrossRef] [PubMed]
- Dunne, J.P.; Horowitz, L.W.; Adcroft, A.J.; Ginoux, P.; Held, I.M.; John, J.G.; Krasting, J.P.; Malyshev, S.; Naik, V.; Paulot, F.; et al. The GFDL Earth System Model version 4.1 (GFDL-ESM 4.1): Overall coupled model description and simulation characteristics. J. Adv. Model. Earth Syst. 2020, 12, e2019MS002015. [Google Scholar] [CrossRef]
- Lurton, T.; Balkanski, Y.; Bastrikov, V.; Bekki, S.; Bopp, L.; Braconnot, P.; Brockmann, P.; Cadule, P.; Contoux, C.; Cozic, A.; et al. Implementation of the CMIP6 forcing data in the IPSL-CM6A-LR model. J. Adv. Model. Earth Syst. 2020, 12, e2019MS001940. [Google Scholar] [CrossRef]
- Müller, W.A.; Jungclaus, J.H.; Mauritsen, T.; Baehr, J.; Bittner, M.; Budich, R.; Bunzel, F.; Esch, M.; Ghosh, R.; Haak, H.; et al. A higher-resolution version of the max planck institute earth system model (MPI-ESM1. 2-HR). J. Adv. Model. Earth Syst. 2018, 10, 1383–1413. [Google Scholar] [CrossRef]
- Yukimoto, S.; Kawai, H.; Koshiro, T.; Oshima, N.; Yoshida, K.; Urakawa, S.; Tsujino, H.; Deushi, M.; Tanaka, T.; Hosaka, M.; et al. The Meteorological Research Institute Earth System Model version 2.0, MRI-ESM2.0: Description and basic evaluation of the physical component. J. Meteorol. Soc. Jpn. Ser. II 2019, 97, 931–965. [Google Scholar] [CrossRef]
- Tang, Y.; Rumbold, S.; Ellis, R.; Kelley, D.; Mulcahy, J.; Sellar, A.; Walton, J.; Jones, C. MOHC UKESM1.0-LL Model Output Prepared for CMIP6 CMIP Historical. 2019. Available online: https://ipcc-browser.ipcc-data.org/browser/dataset/6974/0 (accessed on 2 November 2025).
- Zhang, J.; Li, C.; Zhang, X.; Zhao, T. Improving simulations of extreme precipitation events in China by the CMIP6 global climate models through statistical downscaling. Atmos. Res. 2024, 303, 107344. [Google Scholar] [CrossRef]
- Gibson, P.B.; Stuart, S.; Sood, A.; Stone, D.; Rampal, N.; Lewis, H.; Broadbent, A.; Thatcher, M.; Morgenstern, O. Dynamical downscaling CMIP6 models over New Zealand: Added value of climatology and extremes. Clim. Dyn. 2024, 62, 8255–8281. [Google Scholar] [CrossRef]
- Eccles, R.; Syktus, J.; Trancoso, R.; Chapman, S.; Wasko, C.; Evans, J.P.; Thatcher, M.; Di Virgilio, G.; Stassen, C. Substantial increases in future precipitation extremes—Insights from a large ensemble of downscaled CMIP6 models. npj Nat. Hazards 2025, 2, 60. [Google Scholar] [CrossRef]
- Liu, F.; Wu, H.; Zhao, Y.; Li, D.; Yang, J.-L.; Song, X.; Shi, Z.; Zhu, A.-X.; Zhang, G.-L. Mapping high resolution national soil information grids of China. Sci. Bull. 2022, 67, 328–340. [Google Scholar] [CrossRef]
- Ji, R.; Yu, W.; Feng, R.; Wu, J.; Zhang, Y. Identification and characteristics of combined agrometeorological disasters caused by low temperature in a rice growing region in Liaoning Province, China. Sci. Rep. 2021, 11, 9968. [Google Scholar] [CrossRef]
- Hu, S.; Wang, Y.; Yang, L. Response of rice yield traits to elevated atmospheric CO2 concentration and its interaction with cultivar, nitrogen application rate and temperature: A meta-analysis of 20 years FACE studies. Sci. Total Environ. 2021, 764, 142797. [Google Scholar] [CrossRef]
- Xu, C.-C.; Wu, W.-X.; Ge, Q.-S.; Zhou, Y.; Lin, Y.-M.; Li, Y.-M. Simulating climate change impacts and potential adaptations on rice yields in the Sichuan Basin, China. Mitig. Adapt. Strateg. Glob. Change 2017, 22, 565–594. [Google Scholar] [CrossRef]
- Bai, H.; Xiao, D.; Zhang, H.; Tao, F.; Hu, Y. Impact of warming climate, sowing date, and cultivar shift on rice phenology across China during 1981–2010. Int. J. Biometeorol. 2019, 63, 1077–1089. [Google Scholar] [CrossRef]
- Osborne, T.; Rose, G.; Wheeler, T. Variation in the global-scale impacts of climate change on crop productivity due to climate model uncertainty and adaptation. Agric. For. Meteorol. 2013, 170, 183–194. [Google Scholar] [CrossRef]
- Shrestha, S.; Mahat, J.; Shrestha, J.; KC, M.; Paudel, K. Influence of high-temperature stress on rice growth and development. A review. Heliyon 2022, 8, e12651. [Google Scholar] [CrossRef] [PubMed]
- Zhang, Z.; Li, Y.; Chen, X.; Wang, Y.; Niu, B.; Liu, D.L.; He, J.; Pulatov, B.; Hassan, I.; Meng, Q. Impact of climate change and planting date shifts on growth and yields of double cropping rice in southeastern China in future. Agric. Syst. 2023, 205, 103581. [Google Scholar] [CrossRef]
- Lv, Z.; Zhu, Y.; Liu, X.; Ye, H.; Tian, Y.; Li, F. Climate change impacts on regional rice production in China. Clim. Change 2018, 147, 523–537. [Google Scholar] [CrossRef]
- Yoon, P.R.; Choi, J.-Y. Effects of shift in growing season due to climate change on rice yield and crop water requirements. Paddy Water Environ. 2020, 18, 291–307. [Google Scholar] [CrossRef]
- Li, Y.; Wu, W.; Ge, Q.; Zhou, Y.; Xu, C. Simulating climate change impacts and adaptive measures for rice cultivation in Hunan province, China. J. Appl. Meteorol. Climatol. 2016, 55, 1359–1376. [Google Scholar] [CrossRef]











| Station | Abbreviation | Latitude (N) | Longitude (E) | Altitude (m) | Cultivar | Rice Cropping System | Calibrated and Validated Years |
|---|---|---|---|---|---|---|---|
| Qiongshan | QS | 20°00′ N | 110°22′ E | 10 | Tezhanxian25 | Early mature rice | 2015, 2016, 2017 |
| BoIIyou15 | Late mature rice | 2014, 2015, 2016 | |||||
| Danzhou | DZ | 19°31′ N | 109°35′ E | 169 | IIyou128 | Early mature rice | 2012, 2015, 2016 |
| BoIIyou15 | Late mature rice | 2004, 2012, 2015 | |||||
| Qiongzhong | QZ | 19°02′ N | 109°50′ E | 301 | Teyou009 | Early mature rice | 2008, 2009, 2011 |
| BoIIyou312 | Late mature rice | 2014, 2015, 2017 | |||||
| Qionghai | QH | 19°14′ N | 110°28′ E | 23 | Kexuan13 | Early mature rice | 2014, 2015, 2016 |
| IIyou629 | Late mature rice | 2014, 2015, 2017 | |||||
| Ledong | LD | 18°45′ N | 109°10′ E | 155 | Tezhanxian25 | Early mature rice | 2014, 2015, 2017 |
| BoIIyou15 | Late mature rice | 2013, 2016, 2017 | |||||
| Lingshui | LS | 18°33′ N | 110°02′ E | 35 | Teyou009 | Early mature rice | 2007, 2008, 2009 |
| Boyou225 | Late mature rice | 2014, 2015, 2016 |
| Climate Factor | Climate Scenario | 2050s | 2070s | 2090s |
|---|---|---|---|---|
| SSP1-2.6 | 1.01 | 1.58 | 1.64 | |
| SSP3-7.0 | 0.94 | 2.12 | 3.69 | |
| SSP5-8.5 | 0.96 | 2.59 | 4.64 | |
| SSP1-2.6 | 0.97 | 1.53 | 1.56 | |
| SSP3-7.0 | 0.92 | 2.08 | 3.49 | |
| SSP5-8.5 | 0.93 | 2.53 | 4.42 | |
| SSP1-2.6 | 5.28 | 11.07 | 14.66 | |
| SSP3-7.0 | −0.22 | 1.17 | 0.27 | |
| SSP5-8.5 | 1.01 | 6.18 | 8.29 | |
| SSP1-2.6 | 1.33 | 6.20 | 7.21 | |
| SSP3-7.0 | −2.32 | −2.90 | 0.24 | |
| SSP5-8.5 | 0.28 | 3.50 | 6.91 |
| No. | Cultivar | Station | Rice Cropping System | P1 | P2R | P5 | P20 | G1 | G2 | G3 | G4 |
|---|---|---|---|---|---|---|---|---|---|---|---|
| 1 | Tezhanxian25 | Qiongshan | Early mature rice | 386.5 | 102.6 | 390.8 | 12.97 | 56.79 | 0.027 | 0.757 | 1.115 |
| 2 | IIyou128 | Danzhou | Early mature rice | 211.9 | 196.9 | 450.6 | 11.33 | 57.06 | 0.027 | 0.745 | 0.977 |
| 3 | Teyou009 | Qiongzhong | Early mature rice | 310.4 | 50.76 | 338.8 | 12.91 | 65.63 | 0.029 | 0.857 | 1.100 |
| 4 | Kexuan13 | Qionghai | Early mature rice | 302.4 | 91.63 | 332.5 | 12.06 | 78.67 | 0.029 | 0.514 | 1.250 |
| 5 | Tezhanxian25 | Ledong | Early mature rice | 210.7 | 53.93 | 335.1 | 12.96 | 78.19 | 0.029 | 0.821 | 0.849 |
| 6 | Teyou009 | Lingshui | Early mature rice | 220.3 | 142.4 | 341.4 | 12.84 | 79.76 | 0.027 | 0.443 | 1.221 |
| 7 | BoIIyou15 | Qiongshan | Late mature rice | 227.3 | 61.08 | 392.2 | 12.51 | 68.56 | 0.029 | 0.523 | 1.145 |
| 8 | BoIIyou15 | Danzhou | Late mature rice | 440.2 | 106.5 | 365.1 | 12.89 | 78.58 | 0.021 | 0.378 | 1.095 |
| 9 | BoIIyou312 | Qiongzhong | Late mature rice | 389.5 | 43.92 | 390.0 | 11.46 | 60.63 | 0.028 | 0.606 | 0.968 |
| 10 | IIyou629 | Qionghai | Late mature rice | 380.0 | 197.3 | 400.6 | 12.87 | 51.94 | 0.023 | 0.947 | 0.975 |
| 11 | BoIIyou15 | Ledong | Late mature rice | 229.7 | 128.3 | 344.0 | 12.16 | 54.16 | 0.026 | 0.930 | 1.204 |
| 12 | Boyou225 | Lingshui | Late mature rice | 363.4 | 68.88 | 330.5 | 11.30 | 51.07 | 0.020 | 0.852 | 1.146 |
| Cultivar | The Maximum Temperature During Rice Flowering Periods (°C) | ||
|---|---|---|---|
| SSP1-2.6 | SSP3-7.0 | SSP5-8.5 | |
| Tezhanxian25 (No. 1) | 33.9 | 35.1 | 36.3 |
| IIyou128 (No. 2) | 33.6 | 34.9 | 35.6 |
| −0.3 | −0.2 | −0.7 | |
| Cultivar | The Maximum Temperature During Rice Flowering Periods (°C) | ||
|---|---|---|---|
| SSP1-2.6 | SSP3-7.0 | SSP5-8.5 | |
| BoIIyou15 (No. 7) | 30.8 | 33.7 | 34.4 |
| Boyou225 (No. 12) | 30.7 | 32.9 | 34.0 |
| −0.1 | −0.8 | −0.4 | |
Disclaimer/Publisher’s Note: The statements, opinions and data contained in all publications are solely those of the individual author(s) and contributor(s) and not of MDPI and/or the editor(s). MDPI and/or the editor(s) disclaim responsibility for any injury to people or property resulting from any ideas, methods, instructions or products referred to in the content. |
© 2025 by the authors. Licensee MDPI, Basel, Switzerland. This article is an open access article distributed under the terms and conditions of the Creative Commons Attribution (CC BY) license.
Share and Cite
Yang, R.; Guo, Y.; Nie, J.; Zhou, W.; Ma, R.; Yang, B.; Shi, J.; Geng, J.; Wu, W.; Liu, J.; et al. Modeling Impacts of Climate Change and Adaptation Measures on Rice Growth in Hainan, China. Sustainability 2026, 18, 115. https://doi.org/10.3390/su18010115
Yang R, Guo Y, Nie J, Zhou W, Ma R, Yang B, Shi J, Geng J, Wu W, Liu J, et al. Modeling Impacts of Climate Change and Adaptation Measures on Rice Growth in Hainan, China. Sustainability. 2026; 18(1):115. https://doi.org/10.3390/su18010115
Chicago/Turabian StyleYang, Rongchang, Yahui Guo, Jiangwen Nie, Wei Zhou, Ruichen Ma, Bo Yang, Jinhe Shi, Jing Geng, Wenxiang Wu, Ji Liu, and et al. 2026. "Modeling Impacts of Climate Change and Adaptation Measures on Rice Growth in Hainan, China" Sustainability 18, no. 1: 115. https://doi.org/10.3390/su18010115
APA StyleYang, R., Guo, Y., Nie, J., Zhou, W., Ma, R., Yang, B., Shi, J., Geng, J., Wu, W., Liu, J., Kandegama, W. M. W. W., & Cunha, M. (2026). Modeling Impacts of Climate Change and Adaptation Measures on Rice Growth in Hainan, China. Sustainability, 18(1), 115. https://doi.org/10.3390/su18010115

