Abstract
This study examines the differences in growth patterns, biomass accumulation, and carbon storage between planted European beech and Norway spruce in the Western Carpathians, Slovakia. Two approaches were used to analyze young forest trees and stands: destructive tree sampling and repetitive tree measurements. Biomass modeling was conducted for individual tree components and entire trees, demonstrating that stem diameter and height were strong predictors of biomass. Notably, beeches exhibited greater tree biomass than spruces when analyzed at the same stem diameter, whereas the opposite trend was observed when tree height was used as the predictor. At the stand level, biomass modeling incorporated the mean diameter, mean height, or stand age. Two primary tree components were analyzed: woody parts, which store carbon long term, and foliage, which stores carbon for shorter periods. Stand age emerged as the most reliable predictor, providing real-time estimates of biomass and carbon storage. At a maximum modeled stand age of 12 years, beech biomass stock was 18 Mg ha−1, compared to 58 Mg ha−1 for spruce (uniform tree spacing of 2.0 × 2.0 m for both species was considered). Correspondingly, carbon storage values were 9 Mg ha−1 for beech and 29 Mg ha−1 for spruce, demonstrating a threefold difference in favor of spruce. The study also examined the biomass transition to necromass, specifically foliage litter loss. Over 12 years, spruce stands shed 10.3 Mg ha−1 of needle litter, while beech stands lost 5.4 Mg ha−1. A 12-year-old beech stand fixed-carbon (necromass in form of foliage litter was not included) equivalent to about 30 Mg CO2 per ha, while a spruce stand of the same age fixed nearly 107 Mg CO2 per ha. The carbon storage in live trees translates into financial values about EUR 2000 per ha for beech and over EUR 7000 per ha for spruce, highlighting an economic advantage for spruce in carbon sequestration markets as part of climate sustainability efforts. However, in practice, these differences could be partly reduced through denser (more than double) planting of beech compared to spruce.
1. Introduction
Forests play a crucial role in carbon sequestration the process of capturing and storing atmospheric carbon dioxide [1]. Through photosynthesis, trees absorb CO2 and convert it into organic matter [2]. As a result, forests help reduce atmospheric CO2 concentrations and serve as a natural means of mitigating climate change, contributing to the sustainability of human civilization [3]. Beyond tropical rainforests like the Amazon [4], temperate European forests [5] are also effective at storing large amounts of carbon in both biomass and soil. Sustainable forest management ensures that forests continue functioning as carbon sinks while also providing resources [6]. Additionally, agroforestry can contribute to this process [7]. Afforestation efforts further enhance carbon sequestration by increasing tree cover and absorbing atmospheric CO2 [8]. For example, in Central China, Ma et al. [9] found that planted monocultures provide an early advantage in carbon sequestration but that broadleaf mixed forests have greater long-term carbon sinks. Planted forests—often monocultures—refer to trees established by humans through afforestation, reforestation, or other greening initiatives [10]. Afforestation on previously utilized or unutilized lands, such as abandoned agricultural fields, can significantly enhance carbon sinks in the landscape [11].
Practically, CO2 is used in photosynthesis, and part of the carbon is incorporated into the plant’s body, primarily in the form of carbohydrates fixed in biomass. Simply put, the faster the growth, the more biomass is formed, and consequently, more carbon is sequestered in forests. At the same time, the tree growth rate is influenced by various factors. Internal factors mainly include the tree species and stand properties. Stand properties, especially in the early stages, are significantly influenced by the method of forest regeneration (artificial vs. natural). The main difference between planted and naturally regenerated forests lies in the tree density during the young growth stages. When beech or spruce seedlings are planted, they are typically established at a density of a few thousand individuals per hectare [12]. On the other hand, a dense brush of hundreds of thousands of seedlings can occur per hectare following a successful seed year (e.g., [13]). Therefore, the growth dynamics of planted and natural stands differ, especially during the early stages, with the availability of growing space in both the belowground and aboveground areas being the primary driver [14]. While intense competition arises after canopy closure in planted stands, it begins almost immediately in dense, naturally regenerated stands. As for external factors influencing tree growth and stand development, the most significant are soil and climatic conditions [15] and forest management practices [16].
Differences among young forest stands can occur not only in production (quantitative aspects) but also in biomass structure, i.e., the proportion of specific components within tree biomass (qualitative aspects). Both aspects influence carbon fixation and cycling. Total tree biomass consists of individual tree components, and the process of distributing carbohydrates among these components is referred to as “biomass allocation” (e.g., [17]). Biomass allocation to tree components—typically including assimilation organs, branches, stems, and roots—is influenced by various internal and external factors. Internal factors primarily involve genetic traits, not only at the interspecies level but also within species [18], as well as the developmental stage of the individual tree [19]. Among external factors, climate [20] and soil [21] conditions are the most relevant.
Considering the European temperate climate zone, European beech (Fagus sylvatica L.) and Norway spruce (Picea abies [L.] Karst.) are among the most common and economically important tree species in a significant portion of European temperate forests. Beech and spruce differ in their growth characteristics, ecological requirements, and responses to ongoing climate change [22]. In the context of climate change, beech is generally considered more resilient than spruce (e.g., [23]). However, at the regional level, their performance depends on various environmental factors. The Carpathians boast highly productive mixed forests with dominance of beech and spruce, highlighting the species’ suitability for the region. Future projections indicate that beech may further expand its presence in the area, potentially outcompeting tree species that are more vulnerable to climate change, such as spruce [24,25,26]. Nevertheless, both tree species play a crucial role in European temperate forests and contribute significantly to carbon sequestration and climate sustainability at both the European and global levels [27,28].
The objectives of this work, focusing on pure European beech and Norway spruce plantations, are as follows:
- -
- To model tree biomass components (foliage, branches, stems, and roots) at the individual tree level using tree height and/or stem diameter as predictors;
- -
- To model stand biomass stock, including all above- and belowground tree components, using the mean stand height, stem diameter, and age as predictive variables;
- -
- To estimate the amount of carbon fixed in young stands and discuss the price of carbon (potentially calculated via carbon dioxide), which could theoretically be implemented within the carbon credit market;
- -
- To make interspecific comparisons of all the above-mentioned dependent variables.
In fact, our primary intention in this work was to cover a variety of locations across the territory of Slovakia while simultaneously focusing on sites with an average fertility level (mostly Dystric Cambisols), which may be typical and, thus, applicable to a significant part of the Western Carpathians. The sites selected for sampling and measurement are characterized by the frequent occurrence of European beech and Norway spruce. We focused exclusively on young planted stands. When comparing the two species—beech and spruce—with respect to their differing leaf retention strategies, we hypothesized that they would exhibit contrasting carbon dynamics. Specifically, the deciduous beech losing more carbon annually (transferring it from biomass to necromass via litterfall) than evergreen spruce might be expected.
2. Materials and Methods
2.1. Stand Selection and Tree Measurements
In the summer of 2020, we selected 30 man-made stands: 15 for European beech and 15 for Norway spruce (Figure 1). Before conducting the fieldwork, the first step was to communicate with the authorities in the State Forests, who assisted us in selecting sites based on our criteria. The selection criteria were as follows:
Figure 1.
Location of the research sites for European beech and Norway spruce measurements in Slovakia. The neighboring countries are identified by the following codes: CZ—Czechia, PL—Poland, UA—Ukraine, HU—Hungary, and AT—Austria.
- (a)
- The contribution of beech or spruce had to be nearly 100%, with minimal admixture of other tree species.
- (b)
- All trees had to be planted, with none originating from natural regeneration.
- (c)
- The stands had to exhibit regular spacing among trees and be between 2 and 10 years old (excluding the time before planting, as seedlings were typically 2–3 years old when taken from the forest nursery).
- (d)
- The seedlings had to show no or minimal damage from harmful agents (e.g., browsing by game).
Our aim was to cover a variety of locations across Slovakia while focusing on moderately fertile sites. These sites were predominantly characterized by Dystric Cambisols, with some occurrences of Stagno-gleyic Cambisols and Eutric Cambisols, soil types that are typical and broadly applicable to a significant part of the Western Carpathians. The sites were situated at elevations ranging from 360 m to 1130 m (average 699 m) above sea level for beech plantations and from 490 m to 1257 m (average 757 m) above sea level for spruce plantations.
The spacing of planted trees varied between 1.0 m and 2.5 m (with an average of 1.7 m) in the beech plantations and between 1.1 m and 2.6 m (with an average of 1.9 m) in the Norway spruce plantations. This corresponded to a mean tree density of approximately 3500 trees per hectare in beech plantations and 2800 trees per hectare in spruce plantations, i.e., 25% more individuals in beech than in spruce plantations.
The selected sampling and measurement sites were characterized by the frequent occurrence of European beech and Norway spruce, with stands exclusively originating from artificial regeneration (Table 1). Within each stand, we established three rectangular plots, typically covering four to five rows of planted trees. To ensure independent sampling units, the distance between individual plots was at least 20 m. The plot sizes varied, adjusted to include slightly more than 30 trees, with a mean plot area of approximately 85 m2.
Table 1.
Descriptive statistics of stem diameters (d0) and heights (h) of all measured trees in the years 2020 and 2023 for European beech and Norway spruce in Western Carpathians.
All trees within the plots were labeled, and their height and stem diameter at the base (hereinafter referred to as d0) were recorded. We measured the stem diameter at d0 instead of the traditional diameter at breast height (d1.3; measured at 130 cm above the ground) because not all trees exceeded a height of 1.3 m. Tree heights were measured using a wooden measuring rod (±1 cm), while stem diameters were measured with a digital micrometer (±0.1 mm). Stem diameters were recorded twice, using measurements taken in two perpendicular directions. These measurements were conducted annually in late autumn from 2020 to 2023.
2.2. Tree Sampling and Biomass Quantification
In addition to the annual tree measurements, we conducted whole-tree sampling during the second half of the growing season in 2021 and 2022. For this, we selected seven beech stands and seven spruce stands, representing a subset of those used for the annual measurements. Stands were ranked by size (based on mean height), and every second stand was selected in order of size. In each stand, approximately 15 randomly selected trees were sampled, always outside the rectangular plots to avoid influencing conditions within them. This resulted in a total of 330 sample trees: 120 beeches and 110 spruces (Table 2). The selected trees were excavated, ensuring that all roots over 2 mm in diameter were carefully collected. The stem diameter d0 and tree height of each sampled tree were measured. The ages of the sample trees were a priori known because they correspond to the ages of the plantations. The belowground tree parts (hereinafter referred to as roots) were separated from the aboveground parts, and both segments were packed into labeled paper bags (coded by tree number) and transported to the laboratory at the National Forest Centre in Zvolen.
Table 2.
Descriptive statistics of stem diameters (d0) and heights (h) of the sampling trees of European beech and Norway spruce in Western Carpathians.
In the laboratory, branches were removed from the stems, and beech leaves were manually separated from the branches, resulting in four distinct components: leaves, branches, stems, and roots. For spruce trees, needle separation was performed after 5–6 weeks, once the needles had naturally detached due to moisture loss and could be easily removed by shaking. After separation, each tree component (i.e., foliage, branches, stems, and roots) was oven-dried at 105 °C for 4 to 5 days and then weighed with a precision of ±0.1 g. This procedure provided biomass (dry matter weight) data for each component of every sampled tree.
To create a mathematical model for biomass calculation, 120 samples of beech and 110 samples of spruce were implemented. The model development focuses on calculating the dry mass of individual tree components: stems, branches, foliage, and roots.
In the calculations of tree component dry mass, the dependent variable was the biomass of individual tree components expressed in weight units. Due to the small size of the trees, it was not possible to use the diameter at breast height (d1.3) as an independent variable. Instead, the diameter at the stem base (d0) was used. Although models where height is the only independent variable are generally rarely used, we applied this approach as well, since in the youngest developmental stages, height is easier to measure than diameter d0. Additionally, height can be used to connect models of mature stands with models of initial growth stages.
We tested three functions, where the independent variables were, in sequence, diameter d0, height h, and their combination. The functions were expressed using allometric equations in linearized forms (1–3).
However, the use of a linearized model requires obtaining the original, non-transformed biomass values. This is achieved through retransformation.
Here, Wi is the biomass production of the i-th tree component (g of dry mass expressed at the tree level), d0 is the diameter at the stem base (mm), h is the tree height (m), b0, b1, and b2 are equation parameters, and λ is a correction factor.
To develop mathematical models at the stand level, we utilized data on biomass stocks in subplots for different years, as well as data on the mean height, mean diameter, and stand age in these subplots. Biomass stock in a subplot was calculated as the sum of the biomass stocks of individual trees within the subplot. The biomass stock of individual trees was derived based on stem diameter d0 and height using the models developed at the tree level.
For each subplot, we determined its area and the number of trees within it. We calculated the mean diameter d0 and mean height of trees in the subplot, as well as the theoretical regular spacing. Biomass stock calculations were performed for a theoretical spacing of 2.0 × 2.0 m over an area of 1 hectare. The stand biomass stock was estimated using independent variables, including the mean stand diameter, mean stand height, their combination, and stand age. Stand age was defined as the number of years since the stand was planted (established). While leaf litter in beech equals the current year’s leaf stock, needle litter in spruce was calculated as one-sixth of the current year’s needle stock [29]. The same approach and the same type of logarithmically transformed allometric equation were used in model construction as in biomass modeling at the tree level.
The carbon stock per hectare was calculated as 50% of the biomass [30]. The CO2 equivalent was determined by multiplying the carbon stock per hectare by 3.6666, based on the atomic weights of carbon and oxygen. Finally, the value of sequestered carbon was expressed according to the latest information from online sources.
3. Results
3.1. Tree-Level Models
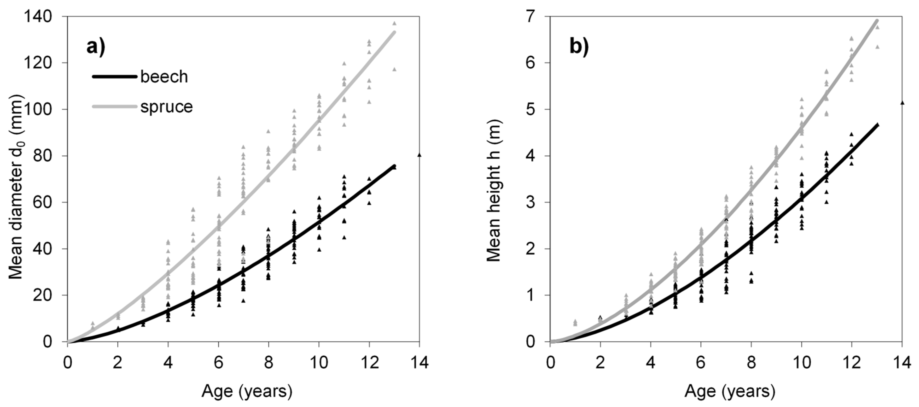
The sample trees showed that beeches with the same stem diameter d0 were taller than spruces (see also Figure 2). For instance, while spruces with a d0 of 70 mm had a height of approximately 3.2 m, beeches with the same d0 were 1.0 m taller. This difference suggests notable contrasts in stem height and/or thickness growth rates between the two species, which may also result in differences in productivity, at least in terms of stem biomass.
Figure 2.
Relationship between stem diameter d0 and tree height in European beech and Norway spruce. The formulas were with R2 = 0.94 in beech and with R2 = 0.93 in spruce.
Biomass modeling, conducted separately for specific tree components as well as for entire trees, showed that both diameter d0 and tree height were strong predictors (Table A1 in Appendix A). However, combining both predictors only slightly improved the models. Additionally, beeches had greater tree biomass than spruces when compared at the same d0 (Figure 3a). Conversely, when tree height was used as the predictor, the opposite trend of interspecific differences was observed (Figure 3b). For instance, at a tree height of 4.0 m, the modeled tree biomass for spruce was 9693 g, whereas for beech, it was only 6331 g.
Figure 3.
Tree biomass based on stem diameter d0 (a) and tree height (b) in European beech and Norway spruce. Formulas (4) and (5) were implemented (statistical characteristics are in Table A1).
3.2. Stand-Level Models
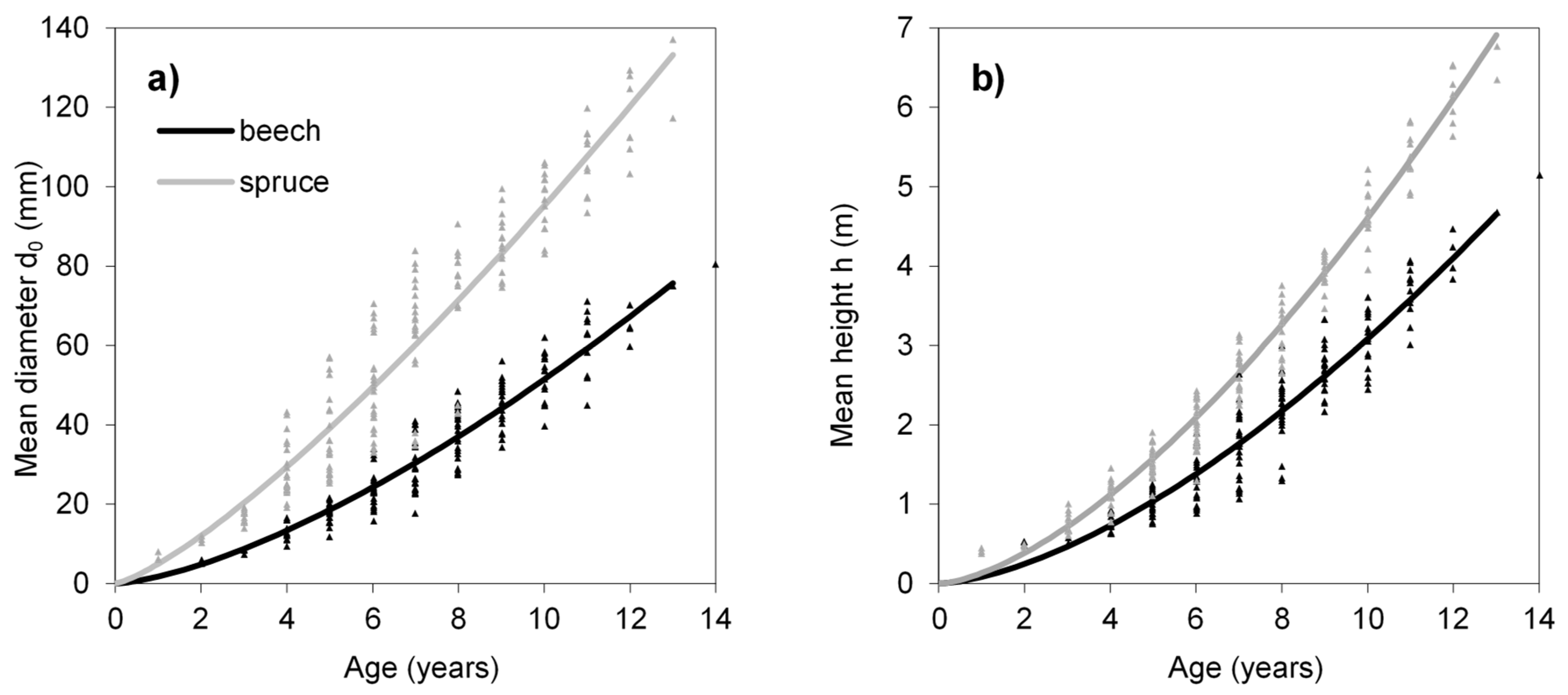
Our interspecies comparisons based on stand-level modeling showed that both the mean stand diameter d0 and the mean stand height were greater in spruce plantations than in beech plantations when the stand age was taken into account (Figure 4).
Figure 4.
Mean stand diameter d0 (a) and height (b) based on stand age in European beech and Norway spruce plantations. The formulas were with R2 = 0.90 in beech stands, with R2 = 0.90 in spruce stands, with R2 = 0.91 in beech stands, and with R2 = 0.98 in spruce stands.
Then, for modeling tree biomass at the stand level, we incorporated not only basic stand characteristics (i.e., mean stem diameter d0 and mean height) but also the temporal aspect: stand age (Table A2). We focused on two tree components: woody parts, which store carbon over the long term, and foliage, which stores carbon for a shorter period. The graphics illustrate stand biomass models based on mean diameter d0 (Figure 5a), mean height (Figure 5b), and stand age (Figure 6). The results showed that the mean diameter d0 as a predictor yielded opposite trends compared to the mean height: beech had higher modeled stand biomass than spruce when based on the diameter d0, whereas spruce had higher modeled stand biomass than beech when based on the mean height. This suggests that the stand age may be a more reliable predictor (specifically in young and middle-aged plantations) than the mean stand measures, as it provides estimates on a real-time basis. The relationship between stand age and biomass (or carbon) stock indicated higher values for spruce than for beech. For example, at the maximum modeled stand age of 12 years, the biomass stock was 18 Mg per ha for beech and 58 Mg per ha for spruce. In terms of carbon storage, this equates to 9 Mg of carbon per ha in beech and 29 Mg per ha in spruce, a more than threefold difference between the species. Here, we must point out that we implemented a theoretical tree spacing of 2.0 × 2.0 m for both species (although beech plantations are obviously denser than spruce ones).
Figure 5.
Stand biomass based on mean stem diameter d0 (a) and mean height in European beech and Norway spruce (b) plantations at a theoretical tree spacing of 2.0 × 2.0 m. Formulas (4) and (5) were implemented (statistical characteristics are in Table A2).
Figure 6.
Stand biomass in European beech and Norway spruce plantation at a theoretical tree spacing of 2.0 × 2.0 m with regard to stand age. Formula (4) was implemented (statistical characteristics are in Table A2).
These modeled values show the tree biomass or carbon amounts present in the stands at the time of measurement, in the form of living tree parts. This means that it does not include necromass, which was lost from trees as foliage litter. Therefore, the part of the tree that continuously transfers from biomass to necromass was also calculated (Figure 7). We show both the foliage litter lost in specific years (expressed via stand age; Figure 7a) and its cumulated amount for each year (Figure 7b). The results show that over 12 years, while the spruce stand lost as much as 10.3 Mg ha−1 of needle litter, the amount of this material in the beech stand was only half of that, specifically 5.4 Mg ha−1. It is important to note that this difference, with higher values in favor of spruce, appeared despite the fact that beech loses all its leaves at the end of the growing season, while spruce sheds only approximately one-sixth of needles.
Figure 7.
The amount of annual necromass (considering foliage litter; graph (a)) and cumulative necromass (foliage litter; graph (b)) in European beech and Norway spruce at a theoretical tree spacing of 2.0 × 2.0 m with regard to stand age. The formulas were in beech stand with R2 = 0.93, annual necromass = 0.001505t^3.05373 with R2 = 0.94 in spruce stand.
3.3. Carbon Dioxide Amount and Cost
Finally, we converted the carbon fixed in tree biomass to CO2, as the carbon market accounts for carbon in these units (Table 3). At the same time, we calculated its marketable price. The price of CO2 fluctuates significantly over time. For instance, in February 2023, it reached, in world trade, a notable value of EUR 100 (see: https://carboncredits.com/eu-carbon-prices-surge-to-100-euros/; accessed on 26 March 2025), but it has recently fluctuated around EUR 70 per Mg (i.e., ton). Our calculations showed that while a 12-year-old beech stand fixed carbon in biomass equivalent to 29.6 Mg CO2 per ha, the same-aged spruce stand had a value of 106.6 Mg CO2 per ha. In financial terms, these amounts are equivalent to EUR 2072 and EUR 7464 per ha, respectively. This represents a 3.6-fold difference in favor of the spruce stand. Table 3 not only presents our modeled scenario, which assumes the same plantation spacing of 2.0 × 2.0 m for both species, but also considers the common practice in Slovak forestry. This includes a spacing of 1.6 × 1.6 m for beech plantations and 1.8 × 1.8 m for spruce plantations. In this case, the interspecific differences in carbon sequestration are slightly lower than in the scenario with equal tree spacing.
Table 3.
The equivalent amount of CO2 fixed in European beech and Norway spruce plantations, based on carbon estimates, as well as their marketable prices concerning stand ages. Two scenarios were considered: tree spacing of 2.0 × 2.0 m (based on our modeling approach) and 1.6 × 1.6 m for beech or 1.8 × 1.8 m for spruce, which is the most common practice under Slovak conditions.
4. Discussion
4.1. Tree and Stand Biomasses
Our comparative study of beech and spruce growth dynamics and biomass accumulation reveals significant interspecies differences, with implications for forest productivity and carbon sequestration potential. The findings demonstrate that at the individual tree level, beech exhibited greater height than spruce for the same stem diameter, indicating species-specific growth patterns that influence overall biomass production. Simply put, spruce allocates more carbohydrates to stem diameter growth than height increment compared to beech, which may enhance stem mass production efficiency (see also Sharma et al. [31]).
At the stand level, spruce plantations exhibited a greater mean diameter and height than beech stands when accounting for the stand age. This difference in stand-level growth dynamics translates into substantial variations in biomass and carbon storage capacities, favoring spruce. Stand age emerged as the most reliable predictor for biomass and carbon stock estimation, reflecting real-time stand development and cumulative growth effects (see also Vangi et al. [32]). These results emphasize the superior carbon sequestration capacity of spruce plantations over beech in the studied context, which is critical for climate mitigation strategies. Marchand et al. [33] analyzed broad European data from temperate forests and found that, in general, spruce grows faster than beech. However, Jagodzinski et al. [34] observed, in Poland, only minor differences in biomass allocation, production, and carbon content between old beech and spruce stands of the same age. It is important to note that spruce is significantly more sensitive to water stress than beech [32]. Therefore, the assertion that spruce is generally more productive than beech during juvenile growth stages in the temperate zone of Europe does not hold true for all sites. In fact, spruce has distinct ecological requirements compared to beech [22]. Moreover, a major disadvantage of spruce is its high vulnerability, not only to physiological stress but also to abiotic factors and pests [25,26].
4.2. Carbon in Foliage Litter
An important aspect of forest carbon dynamics is the transition of biomass to necromass through litter fall. Surprisingly (in contrast with our initial hypothesis), spruce stands exhibited higher needle litter loss over 12 years (10.3 Mg ha−1) than beech stands (5.4 Mg ha−1), despite beech undergoing complete leaf abscission annually. This discrepancy can be attributed to spruce’s higher biomass accumulation, which result in greater annual litter input (see also [35]). Increased litter production in spruce contributes to long-term carbon storage in forest soils and influences nutrient cycling, with implications for forest management practices aimed at enhancing soil carbon pools [36]. From a forest management perspective, the superior carbon sequestration and biomass accumulation capacity of spruce support its use in climate mitigation strategies, particularly in temperate regions where spruce growth is optimal. However, management decisions should also consider ecological and biodiversity factors, as beech forests provide distinct ecological functions and support higher biodiversity levels [37].
4.3. Stand Origin and Carbon Sequestration
Another key question in the context of biomass productivity and carbon sequestration concerns stand origin: plantations versus natural regeneration. In Poland, Dlugosiewicz et al. [38] examined Scots pine (Pinus sylvestris L.) and concluded that the most significant factor affecting the final economic outcome of stand establishment and maintenance was the cost of regeneration operations, while differences in other analyzed costs were not significant. Additionally, a study from the Loess Plateau in China found that planted forests allocated a larger proportion of biomass carbon belowground than natural forests [39]. Moreover, under temperate conditions in China, Ma et al. [9] demonstrated that monocultures had an early advantage in carbon sequestration, while broadleaf mixed forests exhibited greater long-term carbon sink potential.
4.4. Carbon Stock and Market Value
In our study, converting biomass to carbon stocks and subsequently to CO2 equivalents reveals substantial economic implications for carbon markets. The carbon sequestration value of a 12-year-old spruce stand, at 107 Mg CO2 per hectare, corresponds to approximately EUR 7500 per hectare (at EUR 70 per Mg CO2), compared to EUR 2100 per hectare for beech (30 Mg CO2 per hectare). This financial difference underscores the potential of spruce plantations to generate higher carbon credits and revenues under carbon trading schemes. It may highlight spruce as a more economically viable species for carbon sequestration in afforestation and reforestation projects. This fact is even more relevant when considering that the cost of planting beech in present Slovak conditions (about EUR 3500 per hectare for tree spacing of 1.6 × 1.6 m) is 40% more than that of spruce (about EUR 2500 per hectare if spacing 1.8 × 1.8 m is considered; information from Gabriela Valuchová, MSc., the authority responsible for planting in the State Forests of Slovakia). This means that 12 years after plantation establishment, the potential income from carbon credits for spruce significantly exceeds the initial planting expenses. In contrast, for beech, the initial expenses are barely reached by the level of potential profit from the carbon market.
4.5. Carbon Sequestration Potential Versus Ecological Aspects
Nevertheless, we can identify a certain paradigm: while Norway spruce has higher productivity and carbon sequestration potential (e.g., [40]), European beech has greater resistance to climate change (e.g., [41]) and offers additional ecological benefits, such as supporting biodiversity (e.g., [23]). Most studies indicate that European beech will play a crucial role in adapting spruce forests, which will continue to be significantly affected by climate change in much of the European temperate and possibly hemiboreal forests [42,43].
In conclusion, promoting mixed stands of beech and spruce could be an effective strategy to harness the advantages of both species [44], particularly for long-term forest management under changing climate conditions [45]. At the same time, it is important to recall the fact that financial benefits from carbon credits apply only to the afforestation of formerly non-forest land. Reforestation does not qualify. It is important to note that in the case of forest lands, the selection of tree species for plantations should be based on traditional knowledge derived from forest typology, in order to respect the optimal ecological conditions for growth [46]. On the other hand, these principles have limited applicability on former agricultural lands.
5. Conclusions
This study provides a comparison of growth patterns, biomass accumulation, and carbon storage between European beech and Norway spruce trees in young plantations. At the stand level, age-based modeling provided real-time estimates of biomass and carbon storage, demonstrating that spruce-dominated stands accumulate more biomass and store more carbon over time compared to beech stands.
Although our results should be considered as estimates (the carbon content in biomass was assumed to be 50%, but its concentration may vary between approximately 48% and 51%) and perhaps also a simplification of the real situation, they provide a basis for potential implementation. The study indicates the economic advantages of spruce stands in carbon credit valuations. In fact, these differences could be reduced through denser planting of beech compared to spruce.
Overall, our findings underscore the importance of species selection in forest management strategies, particularly when considering biomass productivity, carbon sequestration potential, and economic returns. The superior carbon storage capacity of spruce suggests its greater suitability for afforestation projects aimed at climate change mitigation and carbon credit generation. On the other hand, European beech and Norway spruce differ in their ecological requirements, with ongoing climate change favoring beech, as it is more resistant to ecological changes. Moreover, the ecological implications of species-specific litter dynamics and long-term forest sustainability should also be carefully considered in forest planning and conservation efforts.
We suggest that future research explore longer-term growth trajectories and carbon dynamics beyond the 12-year period, including the role of necromass and soil carbon storage, to fully capture the carbon sequestration potential of these species. The elder, i.e., denser plantations, after the canopy layer has closed, will be characterized by intraspecific competitive relationships. As a result, both biomass allocation will change, and tree mortality will occur. This will significantly alter the situation in the plantations, including carbon sequestration and cycling patterns. Here, thinning (the intentional removal of some trees) in the stands can influence these processes and must also be a part of research activities. Additionally, assessing species-specific responses to climate change variables will inform adaptive forest management practices, optimizing carbon storage while maintaining forest ecosystem resilience.
Author Contributions
Conceptualization, B.K.; data curation, J.P.; funding acquisition, B.K. and J.P.; investigation, J.P., B.K. and V.Š.; methodology, J.P. and B.K.; visualization, V.Š.; supervision, B.K.; writing—original draft preparation, B.K. and J.P.; writing—review and editing, all authors. All authors have read and agreed to the published version of the manuscript.
Funding
This research was funded by the grant “EVA4.0”, No. Z.02.1.01/0.0/0.0/16_019/0000803, supported by OP RDE, as well as by the projects APVV-18-0086, APVV-19-0387, and APVV-22-0056 from the Slovak Research and Development Agency.
Institutional Review Board Statement
Not applicable.
Informed Consent Statement
Not applicable.
Data Availability Statement
Data are contained within the article.
Conflicts of Interest
The authors declare no conflicts of interest.
Appendix A
Table A1.
Mathematical models for calculating the biomass of individual tree components (expressed in grams) of European beech and Norway spruce from artificial plantations; regression coefficients b0, b1, and b2, their standard error (S.E.), p-value (p), coefficient of determination (R2), mean square error (MSE), logarithmic transformation bias (λ), and its standard deviation (S.D.).
Table A1.
Mathematical models for calculating the biomass of individual tree components (expressed in grams) of European beech and Norway spruce from artificial plantations; regression coefficients b0, b1, and b2, their standard error (S.E.), p-value (p), coefficient of determination (R2), mean square error (MSE), logarithmic transformation bias (λ), and its standard deviation (S.D.).
| European Beech | ||||||||
| Predictor (Unit) | Tree Component | b0 (S. E.) p | b1 (S. E.) p | b2 (S. E.) p | R2 | MSE | λ | S. D. |
| Stem diameter d0 (mm) | stem | −3.940 (0.078) < 0.001 | 2.782 (0.024) < 0.001 | 0.991 | 0.056 | 1.028 | 0.245 | |
| branches | −7.461 (0.149) < 0.001 | 3.584 (0.047) < 0.001 | 0.980 | 0.204 | 1.100 | 0.516 | ||
| leaves | −5.264 (0.117) < 0.001 | 2.780 (0.037) < 0.001 | 0.980 | 0.126 | 1.061 | 0.362 | ||
| roots | −3.110 (0.109) < 0.001 | 2.428 (0.034) < 0.001 | 0.977 | 0.109 | 1.021 | 0.354 | ||
| whole tree | −2.862 (0.079) < 0.001 | 2.735 (0.025) < 0.001 | 0.990 | 0.057 | 1.020 | 0.258 | ||
| Tree height (m) | stem | 3.704 (0.043) < 0.001 | 2.939 (0.048) < 0.001 | 0.969 | 0.192 | 1.101 | 0.514 | |
| branches | 2.400 (0.079) < 0.001 | 3.742 (0.090) < 0.001 | 0.936 | 0.663 | 1.355 | 1.186 | ||
| leaves | 2.374 (0.048) < 0.001 | 2.942 (0.054) < 0.001 | 0.961 | 0.243 | 1.130 | 0.621 | ||
| roots | 3.568 (0.052) < 0.001 | 2.543 (0.060) < 0.001 | 0.939 | 0.290 | 1.113 | 0.614 | ||
| whole tree | 4.656 (0.047) < 0.001 | 2.877 (0.054) < 0.001 | 0.960 | 0.239 | 1.115 | 0.577 | ||
| Stem diameter d0 (mm) and tree height (m) | stem | −1.874 (0.234) < 0.001 | 2.026 (0.085) < 0.001 | 0.828 (0.091) < 0.001 | 0.994 | 0.033 | 1.016 | 0.179 |
| branches | −7.057 (0.583) < 0.001 | 3.436 (0.211) < 0.001 | 0.162 (0.226) 0.475 | 0.980 | 0.205 | 1.099 | 0.503 | |
| leaves | −2.951 (0.403) < 0.001 | 1.935 (0.146) < 0.001 | 0.926 (0.156) < 0.001 | 0.984 | 0.098 | 1.047 | 0.319 | |
| roots | −2.398 (0.423) < 0.001 | 2.157 (0.153) < 0.001 | 0.284 (0.164) 0.086 | 0.977 | 0.108 | 1.054 | 0.351 | |
| whole tree | −1.459 (0.275) < 0.001 | 2.219 (0.100) < 0.001 | 0.561 (0.106) < a | 0.992 | 0.046 | 1.023 | 0.225 | |
| Norway Spruce | ||||||||
| Predictor (Unit) | Tree Component | b0 (S. E.) p | b1 (S. E.) p | b2 (S. E.) p | R2 | MSE | λ | S. D. |
| Stem diameter d0 (mm) | stem | −3.320 (0.113) < 0.001 | 2.486 (0.030) < 0.001 | 0.986 | 0.058 | 1.029 | 0.252 | |
| branches | −4.025 (0.139) < 0.001 | 2.607 (0.037) < 0.001 | 0.980 | 0.088 | 1.042 | 0.295 | ||
| needles | −3.164 (0.149) < 0.001 | 2.494 (0.040) < 0.001 | 0.975 | 0.101 | 1.048 | 0.312 | ||
| roots | −2.856 (0.149) < 0.001 | 2.289 (0.040) < 0.001 | 0.971 | 0.102 | 1.051 | 0.348 | ||
| whole tree | −1.903 (0.102) < 0.001 | 2.466 (0.027) < 0.001 | 0.988 | 0.048 | 1.023 | 0.215 | ||
| Tree height (m) | stem | 4.115 (0.035) < 0.001 | 2.661 (0.036) < 0.001 | 0.982 | 0.072 | 1.035 | 0.276 | |
| branches | 3.796 (0.061) < 0.001 | 2.753 (0.063) < 0.001 | 0.951 | 0.221 | 1.119 | 0.592 | ||
| needles | 4.311 (0.058) < 0.001 | 2.642 (0.059) < 0.001 | 0.952 | 0.197 | 1.107 | 0.580 | ||
| roots | 4.005 (0.055) < 0.001 | 2.426 (0.057) < 0.001 | 0.948 | 0.181 | 1.096 | 0.519 | ||
| whole tree | 5.485 (0.046) < 0.001 | 2.618 (0.047) < 0.001 | 0.969 | 0.126 | 1.067 | 0.430 | ||
| Stem diameter d0 (mm) and tree height (m) | stem | 0.0057 (0.321) 0.986 | 1.369 (0.107) < 0.001 | 1.221 (0.114) < 0.001 | 0.993 | 0.027 | 1.013 | 0.164 |
| branches | −3.276 (0.576) < 0.001 | 2.356 (0.191) < 0.001 | 0.275 (0.205) 0.184 | 0.981 | 0.088 | 1.041 | 0.298 | |
| needles | −1.820 (0.607) 0.003 | 2.042 (0.202) < 0.001 | 0.493 (0.216) 0.025 | 0.977 | 0.097 | 1.045 | 0.308 | |
| roots | −1.572 (0.610) 0.012 | 1.858 (0.203) < 0.001 | 0.471 (0.217) 0.033 | 0.972 | 0.098 | 1.049 | 0.339 | |
| whole tree | −0.187 (0.387) 0.631 | 1.889 (0.129) < 0.001 | 0.630 (0.138) < 0.001 | 0.990 | 0.040 | 1.019 | 0.198 | |
Table A2.
Mathematical models for calculating biomass stock (Mg ha−1) in beech and spruce stands from artificial plantations; regression coefficients b0, b1, and b2, their standard error (S.E.), p-value (p), coefficient of determination (R2), mean square error (MSE), logarithmic transformation bias (λ), and its standard deviation (S.D.). Biomass of individual stand segments is expressed in Mg (i.e., tons) per hectare at a theoretical tree spacing of 2.0 × 2.0 m.
Table A2.
Mathematical models for calculating biomass stock (Mg ha−1) in beech and spruce stands from artificial plantations; regression coefficients b0, b1, and b2, their standard error (S.E.), p-value (p), coefficient of determination (R2), mean square error (MSE), logarithmic transformation bias (λ), and its standard deviation (S.D.). Biomass of individual stand segments is expressed in Mg (i.e., tons) per hectare at a theoretical tree spacing of 2.0 × 2.0 m.
| European Beech | ||||||||
| Predictor (Unit) | Stand Segment | b0 (S. E.) p | b1 (S. E.) p | b2 (S. E.) p | R2 | MSE | λ | S. D. |
| Mean diameter d0 (mm) | woody parts | −9.247 (0.044) < 0.001 | 2.841 (0.013) < 0.001 | 0.996 | 0.013 | 1.006 | 0.113 | |
| leaves | −11.335 (0.071) < 0.001 | 2.827 (0.021) < 0.001 | 0.990 | 0.035 | 1.017 | 0.183 | ||
| whole tree | −8.881 (0.044) < 0.001 | 2.758 (0.013) < 0.001 | 0.996 | 0.013 | 1.006 | 0.114 | ||
| Mean height (m) | woody parts | −1.119 (0.042) < 0.001 | 2.698 (0.050) < 0.001 | 0.942 | 0.207 | 1.107 | 0.511 | |
| leaves | −3.264 (0.034) < 0.001 | 2.719 (0.041) < 0.001 | 0.961 | 0.139 | 1.071 | 0.403 | ||
| whole tree | −0.996 (0.039) < 0.001 | 2.624 (0.047) < 0.001 | 0.946 | 0.182 | 1.093 | 0.476 | ||
| Mean diameter d0 (mm) and mean height (m) | woody parts | −7.846 (0.064) < 0.001 | 2.346 (0.022) < 0.001 | 0.505 (0.022) < 0.001 | 0.999 | 0.003 | 1.002 | 0.058 |
| leaves | −8.787 (0.047) < 0.001 | 1.926 (0.016) < 0.001 | 0.919 (0.016) < 0.001 | 0.999 | 0.002 | 1.001 | 0.043 | |
| whole tree | −7.331 (0.037) < 0.001 | 2.210 (0.013) < 0.001 | 0.559 (0.013) < 0.001 | 0.999 | 0.001 | 1.001 | 0.034 | |
| Stand age (years) | woody parts | −7.867 (0.193) < 0.001 | 4.250 (0.097) < 0.001 | 0.921 | 0.211 | 1.104 | 0.488 | |
| leaves | −9.887 (0.183) < 0.001 | 4.194 (0.092) < 0.001 | 0.927 | 0.190 | 1.094 | 0.462 | ||
| whole tree | −7.480 (0.180) < 0.001 | 4.095 (0.091) < 0.001 | 0.926 | 0.184 | 1.090 | 0.449 | ||
| Norway Spruce | ||||||||
| Predictor (Unit) | Stand Segment (Mg ha−1) | b0 (S. E.) p | b1 (S. E.) p | b2 (S. E.) p | R2 | MSE | λ | S. D. |
| Mean diameter d0 (mm) | woody parts | −8.322 (0.045) < 0.001 | 2.481 (0.012) < 0.001 | 0.996 | 0.016 | 1.008 | 0.126 | |
| needles | −9.157 (0.032) < 0.001 | 2.507 (0.008) < 0.001 | 0.998 | 0.008 | 1.004 | 0.089 | ||
| whole tree | −7.950 (0.041) < 0.001 | 2.485 (0.011) < 0.001 | 0.997 | 0.013 | 1.006 | 0.113 | ||
| Mean height (m) | woody parts | −0.659 (0.034) < 0.001 | 2.507 (0.033) < 0.001 | 0.970 | 0.120 | 1.062 | 0.382 | |
| needles | −1.406 (0.038) < 0.001 | 2.522 (0.037) < 0.001 | 0.963 | 0.150 | 1.077 | 0.433 | ||
| whole tree | −0.272 (0.035) < 0.001 | 2.507 (0.034) < 0.001 | 0.968 | 0.129 | 1.066 | 0.396 | ||
| Mean diameter d0 (mm) and mean height (m) | woody parts | −6.362 (0.026) < 0.001 | 1.840 (0.008) < 0.001 | 0.675 (0.009) < 0.001 | 0.999 | 0.001 | 1.000 | 0.021 |
| needles | −7.780 (0.027) < 0.001 | 2.057 (0.009) < 0.001 | 0.474 (0.009) < 0.001 | 0.999 | 0.001 | 1.000 | 0.021 | |
| whole tree | −6.184 (0.027) < 0.001 | 1.908 (0.009) < 0.001 | 0.608 (0.009) < 0.001 | 0.999 | 0.001 | 1.000 | 0.021 | |
| Stand age (years) | woody parts | −4.666 (0.138) < 0.001 | 3.314 (0.074) < 0.001 | 0.924 | 0.213 | 1.112 | 0.553 | |
| needles | −5.414 (0.144) < 0.001 | 3.324 (0.077) < 0.001 | 0.918 | 0.231 | 1.120 | 0.564 | ||
| whole tree | −4.268 (0.139) < 0.001 | 3.310 (0.074) < 0.001 | 0.923 | 0.216 | 1.112 | 0.549 | ||
References
- Buotte, P.C.; Law, B.E.; Ripple, W.J.; Berner, L.T. Carbon sequestration and biodiversity co-benefits of preserving forests in the western United States. Ecol. Appl. 2020, 30, e02039. [Google Scholar] [CrossRef] [PubMed]
- Kozlowski, T.T.; Pallardy, S.G. Physiology of Wood Plants; Academic Press: San Diego, CA, USA, 1996; 411p. [Google Scholar]
- Fawzy, S.; Osman, A.I.; Doran, J.; Rooney, D.W. Strategies for mitigation of climate change: A review. Environ. Chem. Lett. 2020, 18, 2069–2094. [Google Scholar] [CrossRef]
- Phillips, O.L.; Brienen, R.J.W. Carbon uptake by mature Amazon forests has mitigated Amazon nations’ carbon emissions. Carbon Balance Manag. 2017, 12, 1. [Google Scholar] [CrossRef] [PubMed]
- Dalmonech, D.; Marano, G.; Amthor, J.S.; Cescatti, A.; Lindner, M.; Trotta, C.; Collalti, A. Feasibility of enhancing carbon sequestration and stock capacity in temperate and boreal European forests via changes to management regimes. Agric. For. Meteorol. 2022, 327, 109203. [Google Scholar] [CrossRef]
- Jandl, R.; Vesterdal, L.; Olsson, M.; Bens, O.; Badeck, F.; Rock, J. Carbon sequestration and forest management. CAB Rev. 2007, 17, 2–16. [Google Scholar] [CrossRef]
- Ghale, B.; Mitra, E.; Sodhi, H.S.; Verma, A.K.; Kumar, S. Carbon Sequestration Potential of Agroforestry Systems and Its Potential in Climate Change Mitigation. Water Air Soil Pollut. 2022, 233, 228. [Google Scholar] [CrossRef]
- Yosef, G.; Walko, R.; Avisar, R.; Tatarinov, F.; Rotenberg, E.; Yakir, D. Large-scale semi-arid afforestation can enhance precipitation and carbon sequestration potential. Sci. Rep. 2018, 8, 996. [Google Scholar] [CrossRef]
- Ma, F.; Zhang, W.; Yan, J.; Zhang, T.; Lu, N.; Yao, M.; Zhang, T.; Zheng, J.; Yin, S. Early advantage for carbon sequestration of monocultures and greater long-term carbon sink potential of broadleaf mixed forests: 20-Year evidence from the Shanghai Green Belt. Ecol. Indic. 2024, 159, 111655. [Google Scholar] [CrossRef]
- Shen, G. Three decades of urban forestry in China. Urban For. Urban Green. 2023, 82, 127877. [Google Scholar] [CrossRef]
- Holl, K.D.; Ashton, M.S.; Bukoski, J.J.; Culberston, K.A.; Curran, S.R.; Harris, T.B.; Potts, M.D.; Valverde, L.Y.; Vincent, J.R. Redefining “abandoned” agricultural land in the context of reforestation. Front. Glob. Chang. 2022, 5, 933887. [Google Scholar] [CrossRef]
- Repáč, I.; Parobeková, Z.; Sendecký, M. Reforestation in Slovakia: History, current practice and perspectives. Reforesta 2017, 12, 53–88. [Google Scholar] [CrossRef]
- Šebeň, V.; Bošeľa, M.; Konôpka, B.; Pajtík, J. Indices of tree competition in dense spruces stand originated from natural regeneration. Lesn. Čas.—For. J. 2013, 59, 172–179. [Google Scholar] [CrossRef]
- Holgén, P.; Hånell, B. Performance of planted and naturally regenerated seedlings in Picea abies-dominated shelterwood stands and clearcuts in Sweden. For. Ecol. Manag. 2000, 127, 129–138. [Google Scholar] [CrossRef]
- Soubeyrand, M.; Marchand, P.; Duchesne, L.; Bergeron, Y.; Gennaretti, F. Interactions between climate, soil and competition drive tree growth in Quebec forests. For. Ecol. Manag. 2024, 555, 121731. [Google Scholar] [CrossRef]
- Luo, M.; Daigneault, A.; Zhao, X.; Hao, D.; Chen, M. Impacts of Forest Management-Induced Productivity Changes on Future Land Use and Land Cover Change. Earth’s Future 2024, 12, e2024EF004878. [Google Scholar] [CrossRef]
- Poorter, H.; Niklas, K.J.; Reich, P.B.; Oleksyn, J.; Poot, P.; Mommer, L. Biomass allocation to leaves, stems and roots: Meta-analyses of interspecific variation and environmental control. New Phytol. 2011, 193, 30–50. [Google Scholar] [CrossRef]
- Poorter, H.; Jagodzinski, A.M.; Ruiz-Peinado, R.; Kuyah, S.; Luo, Y.; Oleksyn, J.; Usoltsev, V.A.; Buckley, T.N.; Reich, P.B.; Sack, L. How does biomass distribution change with size and differ among species? An analysis for 1200 plant species from five continents. New Phytol. 2015, 208, 736–7849. [Google Scholar] [CrossRef]
- Kantola, A.; Mäkelä, A. Development of biomass proportions in Norway spruce (Picea abies [L.] Karst.). Trees 2006, 20, 111–121. [Google Scholar] [CrossRef]
- Zhang, H.; Song, T.; Wang, T.; Wang, K.; Liao, J.; Xu, G.; Zeng, F. Biogeographical patterns of forest biomass allocation vary by climate, soil and forest characteristics in China. Environ. Res. Lett. 2015, 10, 044014. [Google Scholar] [CrossRef]
- Zhang, X.; Zhou, Y.; Ji, Y.; Yu, M.; Li, X.; Duan, J.; Wang, Y.; Gao, J.; Guo, X. Climate Factors Affect Above–Belowground Biomass Allocation in Broad-Leaved and Coniferous Forests by Regulating Soil Nutrients. Plants 2023, 12, 3926. [Google Scholar] [CrossRef]
- San-Miguel-Ayanz, J.; de Rigo, D.; Caudullo, G.; Durrant, T.H.; Mauri, A.; Tinner, W.; Ballian, D.; Beck, P.S.A.; Birks, H.J.B.; Eaton, E.; et al. European Atlas of Forest Tree Species; Publications Office of the European Union: Luxembourg, 2016; 200p. [Google Scholar]
- Motte, F.; Rötzer, T.; Bibier, P.; Uhl, E.; Pritsch, K.; Pretzsch, H. Growth of European beech recovered faster than that of Norway spruce after a five-year experimental drought in a mixed forest stand. Trees 2023, 37, 1695–1715. [Google Scholar] [CrossRef]
- Lindner, M.; Maroschek, M.; Netherer, S.; Kremer, A.; Barbati, A.; Garcia-Gonzalo, J.; Seidl, R.; Delzon, S.; Corona, P.; Kolström, M.; et al. Climate change impacts, adaptive capacity, and vulnerability of European forest ecosystems. For. Ecol. Manag. 2010, 259, 698–709. [Google Scholar] [CrossRef]
- Kunca, A.; Zúbrik, M.; Vakula, J.; Leontovyč, R.; Konôpka, B.; Nikolov, C.; Gubka, A.; Longauerová, V.; Mal’ová, M.; Kaštier, P. Salvage felling in the Slovak forests in the period 2004–2013. Lesn. Čas.—For. J. 2015, 61, 188–195. [Google Scholar] [CrossRef]
- Kunca, A.; Zúbrik, M.; Vakula, J.; Leontovyč, R.; Konôpka, B.; Nikolov, C.; Gubka, A.; Longauerová, V.; Maľová, M.; Rell, S. Salvage felling in the Slovak Republic’s forests during the last twenty years (1998–2017). Cent. Eur. For. J. 2019, 65, 3–11. [Google Scholar] [CrossRef]
- Vacek, Z.; Vacek, S.; Slanař, J.; Bílek, L.; Bulušek, D.; Šteafnčík, I.; Králíček, I.; Vančura, K. Adaption of Norway spruce and European beech forests under climate change: From resistance to close-to-nature silviculture. Cent. Eur. For. J. 2019, 65, 129–144. [Google Scholar] [CrossRef]
- Lie, M.H.; Asplund, J.; Göhl, M.; Ohlson, M.; Nybakken, L. Similar growth responses to climatic variations in Norway spruce (Picea abies) and European beech (Fagus sylvatica) at the northern range limit of beech. Eur. J. For. Res. 2013, 142, 1059–1068. [Google Scholar] [CrossRef]
- Konôpka, B.; Pajtík, J.; Šebeň, V.; Surový, P.; Merganičová, K. Young Silver Birch Grows Faster and Allocates Higher Portion of Biomass into Stem than Norway Spruce, a Case Study from a Post-Disturbance Forest. Forests 2021, 12, 433. [Google Scholar] [CrossRef]
- Bown, S. Measuring carbon in forests: Current status and future challenges. Environ. Pollut. 2002, 116, 363–372. [Google Scholar]
- Sharma, R.P.; Vacek, Z.; Vacek, S. Modeling individual tree height to diameter ratio for Norway spruce and European beech in Czech Republic. Trees 2016, 30, 1969–1982. [Google Scholar] [CrossRef]
- Vangi, E.; Dalmonech, D.; Morichetti, M.; Grieco, E.; Giannetti, F.; D’Amico, G.; Nakhavali, M.; Chirici, G.; Collalti, A. Stand Age and Climate Change Effects on Carbon Increments and Stock Dynamics. Forests 2024, 15, 1120. [Google Scholar] [CrossRef]
- Marchand, W.; Buechling, A.; Rydval, M.; Čada, V.; Stegegis, A.I.; Frulex, A.; Poláček, M.; Hofmeister, J.; Pavlin, J.; Ralhan, D.; et al. Accelerated growth rates of Norway spruce and European beech saplings from Europe’s temperate primary forests are related to warmer conditions. Agric. For. Meteorol. 2023, 329, 109280. [Google Scholar] [CrossRef]
- Jagodzinski, A.M.; Dyderski, M.K.; Horodecki, P. Differences in biomass production and carbon sequestration between highland and lowland stands of Picea abies (L.) H. Karst. and Fagus sylvatica L. For. Ecol. Manag. 2020, 474, 118329. [Google Scholar] [CrossRef]
- Konôpka, B.; Pajtík, J.; Noguchi, K.; Lukac, M. Replacing Norway spruce with European beech: A comparison of biomass and net primary production patterns in young stands. For. Ecol. Manag. 2013, 302, 185–192. [Google Scholar] [CrossRef]
- Kirova, L. Soils after forestry management activities in spruce plantations. Silva Balc. 2024, 25, 37–60. [Google Scholar] [CrossRef]
- Springer, K.; Manning, P.; Boesing, A.L.; Ammer, C.; Fiore-Donno, A.M.; Fischer, M.; Goldmann, K.; Le Provost, G.; Overmann, J.; Ruess, L.; et al. Identifying the stand properties that support both high biodiversity and carbon storage in German forests. For. Ecol. Manag. 2024, 572, 122328. [Google Scholar] [CrossRef]
- Długosiewicz, J.; Zajac, S.; Wysocka-Fijorek, E.; Sułkowska, M. Comparative analysis of natural and artificial regeneration in Nowa Deba Forest District. Folia For. Pol. Ser. A—For. 2019, 61, 230–241. [Google Scholar] [CrossRef]
- Li, B.; Gao, G.; Niklas, K.J.; Luo, Y.; Xu, M.; Liu, G.; Fu, B. Biomass carbon stock and allocation of planted and natural forests in the Loess Plateau of China. Agric. For. Meteorol. 2024, 355, 110154. [Google Scholar] [CrossRef]
- Pretzsch, H.; Grams, T.; Häberle, K.H.; Pritsch, K.; Bauerle, T.; Rötzer, T. Growth and mortality of Norway spruce and European beech in monospecific and mixed-species stands under natural episodic and experimentally extended drought. Results of the KROOF throughfall exclusion experiment. Trees 2020, 34, 957–970. [Google Scholar] [CrossRef]
- Bourke, R.; Yousefpour, R.; Hanewinkel, M. Under storm risk, economic productivity of Norway spruce (Picea abies (L.) H. Karst) in monoculture shows sharper decline than in mixture with European beech (Fagus sylvatica L.). Ann. For. Sci. 2023, 80, 19. [Google Scholar] [CrossRef]
- Kobler, J.; Hochbichler, E.; Pröll, G.; Dirnböck, T. How to Optimize Carbon Sinks and Biodiversity in the Conversion of Norway Spruce to Beech Forests in Austria? Forests 2024, 15, 359. [Google Scholar] [CrossRef]
- Liepiš, K.; Bleive, A. The Potential of European Beech (Fagus sylvatica L.) in the Hemiboreal Baltic Region: A Review. Forests 2025, 16, 109. [Google Scholar] [CrossRef]
- Paul, C.; Brandl, S.; Friedrich, S.; Falk, W.; Härtl, F.; Knoke, T. Climate change and mixed forests: How do altered survival probabilities impact economically desirable species proportions of Norway spruce and European beech? Ann. For. Sci. 2019, 76, 14. [Google Scholar] [CrossRef]
- Vacek, Z.; Prokupkova, A.; Vacek, S.; Bulušek, D.; Šimunek, V.; Hájek, V.; Králíček, I. Mixed vs. monospecific mountain forests in response to climate change: Structural and growth perspectives of Norway spruce and European beech. For. Ecol. Manag. 2021, 488, 119019. [Google Scholar] [CrossRef]
- Ivanova, N.; Fomin, V.; Kusbach, A. Experience of Forest Ecological Classification in Assessment of Vegetation Dynamics. Sustainability 2022, 14, 3384. [Google Scholar] [CrossRef]
Disclaimer/Publisher’s Note: The statements, opinions and data contained in all publications are solely those of the individual author(s) and contributor(s) and not of MDPI and/or the editor(s). MDPI and/or the editor(s) disclaim responsibility for any injury to people or property resulting from any ideas, methods, instructions or products referred to in the content. |
© 2025 by the authors. Licensee MDPI, Basel, Switzerland. This article is an open access article distributed under the terms and conditions of the Creative Commons Attribution (CC BY) license (https://creativecommons.org/licenses/by/4.0/).